Metal Hydride Hydrogen Storage (Compression) Units Operating at Near-Atmospheric Pressure of the Feed H2
Abstract
:1. Introduction
2. Results
2.1. MH Materials
2.2. System Development
2.2.1. MH Hydrogen Storage Unit Charged from Solid Oxide Electrolyzer
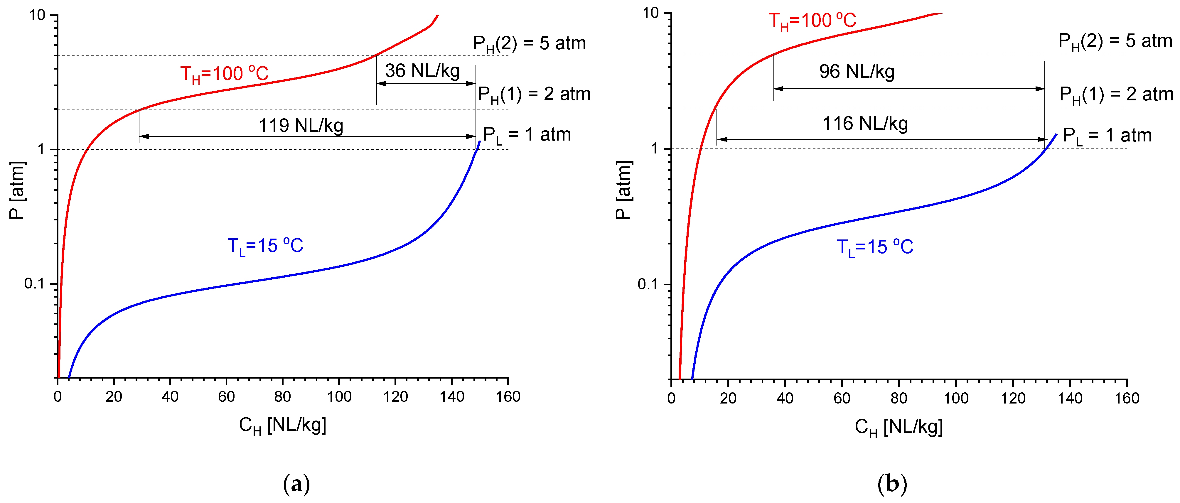
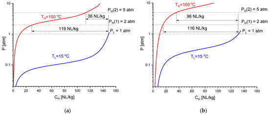
2.2.2. MH Unit for Low-Pressure Hydrogen Compression
3. Discussion
4. Materials and Methods
5. Conclusions
6. Patents
- Metal hydride bed, metal hydride container, and method for the making thereof, by M. Lototskyy, M.W. Davids, B.G. Pollet, V.M. Linkov and Y. Klochko. WO 2015/189758 A1 (2015).
- Nickel-graphene hydrogenation catalyst and method of its production, by A.A. Arbuzov, S.A. Mozhzhukhin, A.A. Volodin, P.V. Fursikov and B.P. Tarasov. RU 2660232 C1 (2018).
- Low-pressure hydrogen accumulator of multiple action, by B.P. Tarasov, A.A. Arbuzov, S.A. Mozhzhukhin, A.A. Volodin, P.V. Fursikov and M.V. Lototskyy. Application RU2023108442 (2023).
Supplementary Materials
Author Contributions
Funding
Data Availability Statement
Acknowledgments
Conflicts of Interest
References
- Brisse, A.; Schefold, J.; Léon, A. High-Temperature Steam Electrolysis. In Electrochemical Power Sources: Fundamentals, Systems, and Applications; Elsevier: Amsterdam, The Netherlands, 2022; pp. 229–280. [Google Scholar]
- Lee, D.-Y.; Elgowainy, A.; Dai, Q. Life Cycle Greenhouse Gas Emissions of Hydrogen Fuel Production from Chlor-Alkali Processes in the United States. Appl. Energy 2018, 217, 467–479. [Google Scholar] [CrossRef]
- Sdanghi, G.; Maranzana, G.; Celzard, A.; Fierro, V. Review of the Current Technologies and Performances of Hydrogen Compression for Stationary and Automotive Applications. Renew. Sustain. Energy Rev. 2019, 102, 150–170. [Google Scholar] [CrossRef]
- Lototskyy, M.; Linkov, V. Thermally Driven Hydrogen Compression Using Metal Hydrides. Int. J. Energy Res. 2022, 46, 22049–22069. [Google Scholar] [CrossRef]
- Cuevas, F.; Latroche, M. Intermetallic Alloys as Hydrogen Getters. J. Alloys Compd. 2022, 905, 164173. [Google Scholar] [CrossRef]
- Lototsky, M.V.; Yartys, V.A.; Klochko, Y.V.; Borisko, V.N.; Starovoitov, R.I.; Azhazha, V.M.; V’yugov, P.N. Applications of Zr–V Hydrogen Getters in Vacuum-Plasma Devices: Phase-Structural and Hydrogen Sorption Characteristics. J. Alloys Compd. 2005, 404, 724–727. [Google Scholar] [CrossRef]
- Sandrock, G. A Panoramic Overview of Hydrogen Storage Alloys from a Gas Reaction Point of View. J. Alloys Compd. 1999, 293, 877–888. [Google Scholar] [CrossRef]
- Joubert, J.-M.; Paul-Boncour, V.; Cuevas, F.; Zhang, J.; Latroche, M. LaNi5 Related AB5 Compounds: Structure, Properties and Applications. J. Alloys Compd. 2021, 862, 158163. [Google Scholar] [CrossRef]
- Dashbabu, D.; Kumar, E.A.; Jain, I.P. Thermodynamic Analysis of a Metal Hydride Hydrogen Compressor with Aluminium Substituted LaNi5 Hydrides. Int. J. Hydrogen Energy 2022. [Google Scholar] [CrossRef]
- Diaz, H.; Percheron Guegan, A.; Achard, J.; Chatillon, C.; Mathieu, J. Thermodynamic and Structural Properties of LaNi5∓yAly Compounds and Their Related Hydrides. Int. J. Hydrogen Energy 1979, 4, 445–454. [Google Scholar] [CrossRef]
- Chen, X.; Xu, J.; Zhang, W.; Zhu, S.; Zhang, N.; Ke, D.; Liu, J.; Yan, K.; Cheng, H. Effect of Mn on the Long-Term Cycling Performance of AB5-Type Hydrogen Storage Alloy. Int. J. Hydrogen Energy 2021, 46, 21973–21983. [Google Scholar] [CrossRef]
- Lv, L.; Lin, J.; Yang, G.; Ma, Z.; Xu, L.; He, X.; Han, X.; Liu, W. Hydrogen Storage Performance of LaNi3.95Al0.75Co0.3 Alloy with Different Preparation Methods. Prog. Nat. Sci. Mater. Int. 2022, 32, 206–214. [Google Scholar] [CrossRef]
- Lototskyy, M.V.; Yartys, V.A.; Tarasov, B.P.; Davids, M.W.; Denys, R.V.; Tai, S. Modelling of Metal Hydride Hydrogen Compressors from Thermodynamics of Hydrogen—Metal Interactions Viewpoint: Part I. Assessment of the Performance of Metal Hydride Materials. Int. J. Hydrogen Energy 2021, 46, 2330–2338. [Google Scholar] [CrossRef]
- Lototsky, M.V.; Williams, M.; Yartys, V.A.; Klochko, Y.V.; Linkov, V.M. Surface-Modified Advanced Hydrogen Storage Alloys for Hydrogen Separation and Purification. J. Alloys Compd. 2011, 509, S555–S561. [Google Scholar] [CrossRef]
- Tarasov, B.P.; Arbuzov, A.A.; Volodin, A.A.; Fursikov, P.V.; Mozhzhuhin, S.A.; Lototskyy, M.V.; Yartys, V.A. Metal Hydride—Graphene Composites for Hydrogen Based Energy Storage. J. Alloys Compd. 2022, 896, 162881. [Google Scholar] [CrossRef]
- Atalmis, G.; Sattarkhanov, K.; Demiralp, M.; Kaplan, Y. The Effect of Expanded Natural Graphite Added at Different Ratios of Metal Hydride on Hydrogen Storage Amount and Reaction Kinetics. Int. J. Hydrogen Energy 2023. [Google Scholar] [CrossRef]
- Sreeraj, R.; Aadhithiyan, A.K.; Anbarasu, S. Integration of Thermal Augmentation Methods in Hydride Beds for Metal Hydride Based Hydrogen Storage Systems: Review and Recommendation. J. Energy Storage 2022, 52, 105039. [Google Scholar] [CrossRef]
- Kodama, T. The Thermodynamic Parameters for the LaNi5−xAlx–H2 and MmNi5−xAlx–H2 Systems. J. Alloys Compd. 1999, 289, 207–212. [Google Scholar] [CrossRef]
- Vivet, S.; Joubert, J.-M.; Knosp, B.; Percheron-Guégan, A. Effects of Cobalt Replacement by Nickel, Manganese, Aluminium and Iron on the Crystallographic and Electrochemical Properties of AB5-Type Alloys. J. Alloys Compd. 2003, 356, 779–783. [Google Scholar] [CrossRef]
- Ma, J. Effect of Heat Treatment on the Microstructure and Electrochemical Properties of AB5-Type MlNi3.60Co0.85Mn0.40Al0.15 Hydride Alloy: 1. The Microstructure and P-C Isotherms. Int. J. Hydrogen Energy 2002, 27, 57–62. [Google Scholar] [CrossRef]
- Lototskyy, M.V. New Model of Phase Equilibria in Metal—Hydrogen Systems: Features and Software. Int. J. Hydrogen Energy 2016, 41, 2739–2761. [Google Scholar] [CrossRef]
- Lototskyy, M.V.; Yartys, V.A.; Tarasov, B.P.; Denys, R.V.; Eriksen, J.; Bocharnikov, M.S.; Tai, S.; Linkov, V. Modelling of Metal Hydride Hydrogen Compressors from Thermodynamics of Hydrogen—Metal Interactions Viewpoint: Part II. Assessment of the Performance of Metal Hydride Compressors. Int. J. Hydrogen Energy 2021, 46, 2339–2350. [Google Scholar] [CrossRef]
- Tarasov, B.P.; Arbuzov, A.A.; Mozhzhuhin, S.A.; Volodin, A.A.; Fursikov, P.V. Composite Materials with 2D Graphene Structures: Applications for Hydrogen Energetics and Catalysis with Hydrogen Participation. J. Struct. Chem. 2018, 59, 830–838. [Google Scholar] [CrossRef]






| Sample | a [Å] | c [Å] | c/a | V [Å3] | ΔV/V0 [%] | |
|---|---|---|---|---|---|---|
| LaNi4.45Al0.55 | Alloy | 5.0355 (1) | 4.0230 (1) | 0.80 | 88.344 (4) | 16.37 |
| Hydride | 5.3302 (2) | 4.1783 (3) | 0.78 | 102.808 (8) | ||
| La0.41Ce0.59Ni3.71Co0.52Mn0.36Al0.29 | Alloy | 4.97948 (4) | 4.05629 (6) | 0.81 | 87.102 (2) | 21.08 |
| Hydride | 5.34975 (8) | 4.2550 (1) | 0.80 | 105.462 (3) | ||
Disclaimer/Publisher’s Note: The statements, opinions and data contained in all publications are solely those of the individual author(s) and contributor(s) and not of MDPI and/or the editor(s). MDPI and/or the editor(s) disclaim responsibility for any injury to people or property resulting from any ideas, methods, instructions or products referred to in the content. |
© 2023 by the authors. Licensee MDPI, Basel, Switzerland. This article is an open access article distributed under the terms and conditions of the Creative Commons Attribution (CC BY) license (https://creativecommons.org/licenses/by/4.0/).
Share and Cite
Tarasov, B.; Arbuzov, A.; Mozhzhukhin, S.; Volodin, A.; Fursikov, P.; Davids, M.W.; Adeniran, J.; Lototskyy, M. Metal Hydride Hydrogen Storage (Compression) Units Operating at Near-Atmospheric Pressure of the Feed H2. Inorganics 2023, 11, 290. https://doi.org/10.3390/inorganics11070290
Tarasov B, Arbuzov A, Mozhzhukhin S, Volodin A, Fursikov P, Davids MW, Adeniran J, Lototskyy M. Metal Hydride Hydrogen Storage (Compression) Units Operating at Near-Atmospheric Pressure of the Feed H2. Inorganics. 2023; 11(7):290. https://doi.org/10.3390/inorganics11070290
Chicago/Turabian StyleTarasov, Boris, Artem Arbuzov, Sergey Mozhzhukhin, Aleksey Volodin, Pavel Fursikov, Moegamat Wafeeq Davids, Joshua Adeniran, and Mykhaylo Lototskyy. 2023. "Metal Hydride Hydrogen Storage (Compression) Units Operating at Near-Atmospheric Pressure of the Feed H2" Inorganics 11, no. 7: 290. https://doi.org/10.3390/inorganics11070290
APA StyleTarasov, B., Arbuzov, A., Mozhzhukhin, S., Volodin, A., Fursikov, P., Davids, M. W., Adeniran, J., & Lototskyy, M. (2023). Metal Hydride Hydrogen Storage (Compression) Units Operating at Near-Atmospheric Pressure of the Feed H2. Inorganics, 11(7), 290. https://doi.org/10.3390/inorganics11070290

