Integrated Multiband-Mode Multiplexing Photonic Lantern for Selective Mode Excitation and Preservation
Abstract
1. Introduction
2. Design of an Integrated Multiband-Mode Multiplexing Photonic Lantern (IM3PL)
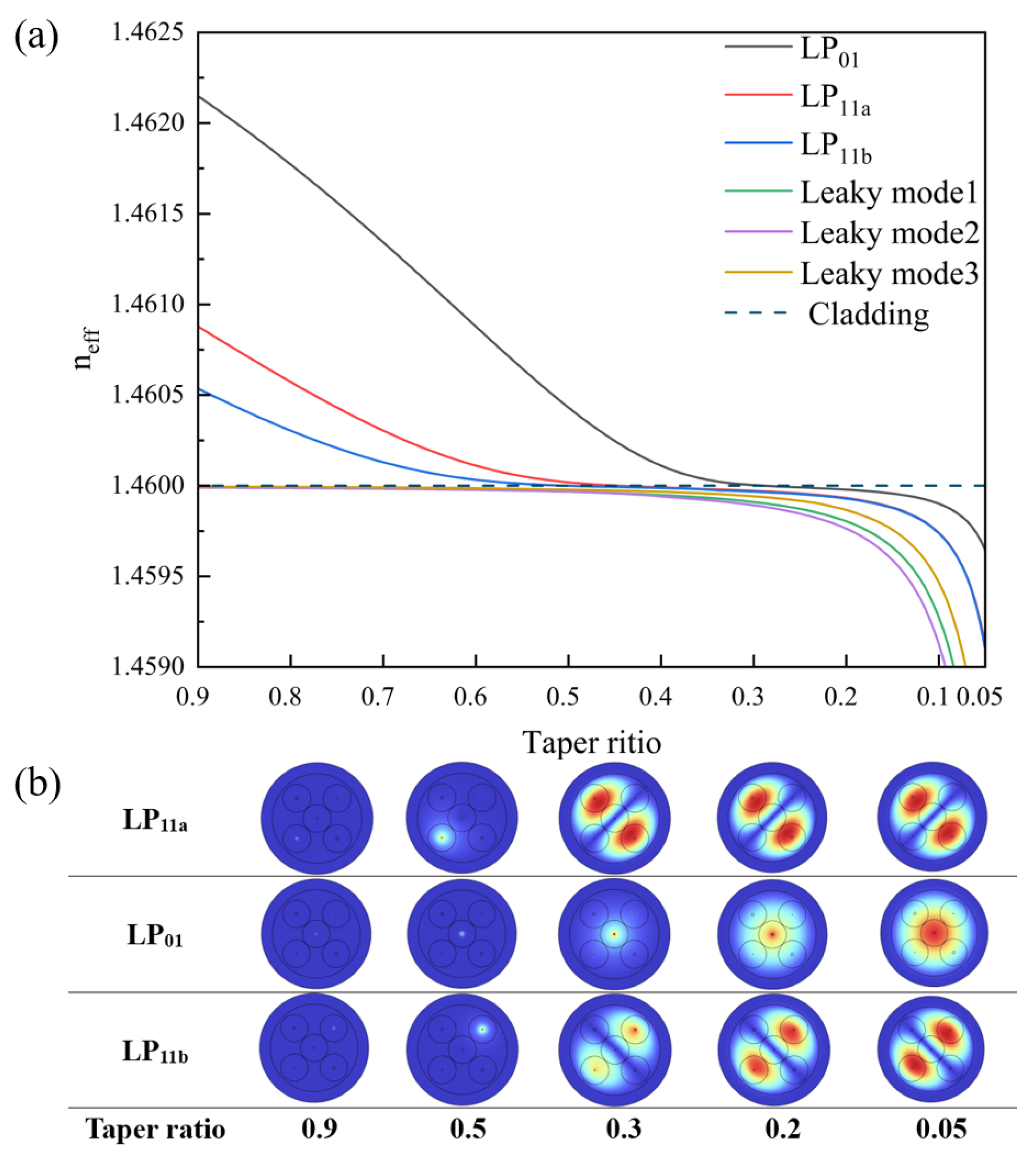
3. Simulation and Analysis of the IM3PL
3.1. Mode-Selective Excitation at 980 nm
3.2. Mode Preservation at 1310 nm and 1550 nm
4. Fabrication of the IM3PL Device
5. Transmission Characterization of the IM3PL Device
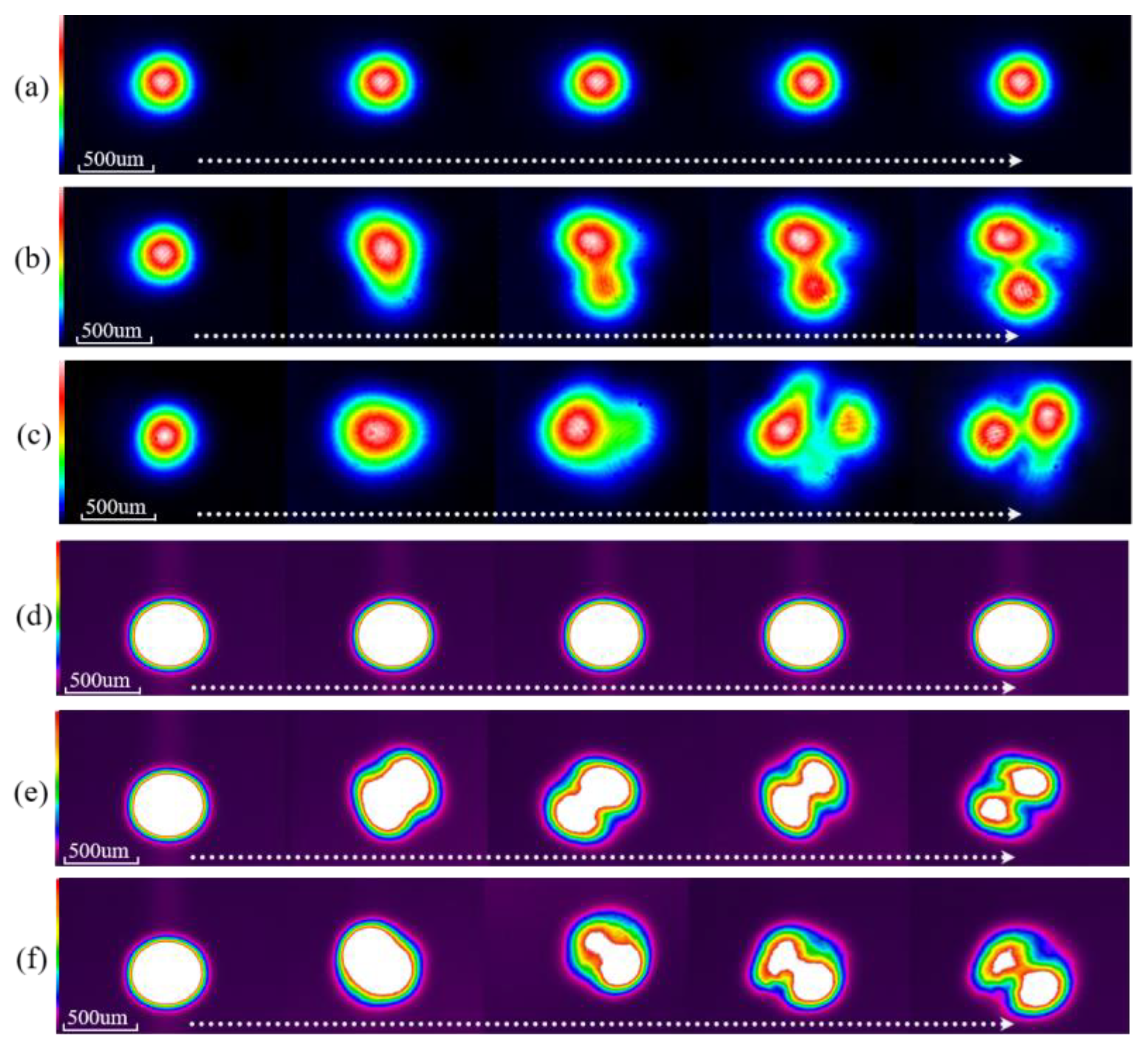
5.1. Mode-Selective Excitation at 980 nm
5.2. Mode Preservation at 1310 nm and 1550 nm
6. Conclusions
Author Contributions
Funding
Institutional Review Board Statement
Informed Consent Statement
Data Availability Statement
Conflicts of Interest
References
- Richardson, D.; Fini, J.; Nelson, L. Space-division multiplexing in optical fibres. Nat. Photonics 2013, 7, 354–362. [Google Scholar] [CrossRef]
- Winzer, P.J.; Neilson, D.T.; Chraplyvy, A.R. Fiber-optic transmission and networking: The previous 20 and the next 20 years [Invited]. Opt. Express 2018, 26, 24190–24239. [Google Scholar] [CrossRef] [PubMed]
- Bozinovic, N.; Yue, Y.; Ren, Y.; Tur, M.; Kristensen, P.; Huang, H.; Willner, A.E.; Ramachandran, S. Terabit-Scale Orbital Angular Momentum Mode Division Multiplexing in Fibers. Science 2013, 340, 1545–1548. [Google Scholar] [CrossRef] [PubMed]
- Mori, T.; Sakamoto, T.; Wada, M.; Yamamoto, T.; Nakajima, K. Few-mode fiber technology for mode division multiplexing. Opt. Fiber Technol. 2017, 35, 37–45. [Google Scholar] [CrossRef]
- Zervas, M.N.; Codemard, C.A. High Power Fiber Lasers: A Review. IEEE J. Sel. Top. Quantum Electron. 2014, 20, 219–241. [Google Scholar] [CrossRef]
- Huang, Y.; Shi, F.; Wang, T.; Liu, X.; Zeng, X.; Pang, F.; Wang, T.; Zhou, P. High-order mode Yb-doped fiber lasers based on mode-selective couplers. Opt. Express 2018, 26, 19171–19181. [Google Scholar] [CrossRef]
- Richardson, D.J.; Nilsson, J.; Clarkson, W.A. High power fiber lasers: Current status and future perspectives [Invited]. J. Opt. Soc. Am. B 2010, 27, B63–B92. [Google Scholar] [CrossRef]
- Zhou, Q.; Lu, Y.; Li, C.; Chai, J.; Zhang, D.; Liu, P.; Zhang, J.; Jiang, Z.; Liu, W. Transmission Matrix-Inspired Optimization for Mode Control in a 6 × 1 Photonic Lantern-Based Fiber Laser. Photonics 2023, 10, 390. [Google Scholar] [CrossRef]
- Birks, T.A.; Gris-Sánchez, I.; Yerolatsitis, S.; Leon-Saval, S.G.; Thomson, R.R. The photonic lantern. Adv. Opt. Photon. 2015, 7, 107–167. [Google Scholar] [CrossRef]
- Puttnam, B.J.; Rademacher, G.; Luís, R.S. Space-division multiplexing for optical fiber communications. Optica 2021, 8, 1186–1203. [Google Scholar] [CrossRef]
- Leon-Saval, S.G.; Birks, T.A.; Bland-Hawthorn, J.; Englund, M. Multimode fiber devices with single-mode performance. Opt. Lett. 2005, 30, 2545–2547. [Google Scholar] [CrossRef]
- Leon-Saval, S.G.; Argyros, A.; Bland-Hawthorn, J. Photonic lanterns: A study of light propagation in multimode to single-mode converters. Opt. Express 2010, 18, 8430–8439. [Google Scholar] [CrossRef]
- Dana, Y.; Garcia, Y.; Kukin, A.; Dallachiesa, L.; Guerrier, S.; Fontaine, N.K.; Marom, D.M. Free-standing microscale photonic lantern spatial mode (De-)multiplexer fabricated using 3D nanoprinting. Light Sci. Appl. 2024, 13, 126. [Google Scholar] [CrossRef]
- Zhou, W.; Zhang, Z.; Chen, H.; Tsang, H.K.; Tong, Y. Ultra-compact and efficient integrated multichannel mode multiplexer in silicon for few-mode fibers. Laser Photonics Rev. 2024, 18, 2300460. [Google Scholar] [CrossRef]
- Spaleniak, I.; Gross, S.; Jovanovic, N.; Williams, R.J.; Lawrence, J.S.; Ireland, M.J.; Withford, M.J. Multiband processing of multimode light: Combining 3D photonic lanterns with waveguide Bragg gratings. Laser Photonics Rev. 2014, 8, L1–L5. [Google Scholar] [CrossRef]
- Liang, J.; Ye, J.; Ma, X.; Lu, Y.; Li, J.; Xu, J.; Chen, Z.; Leng, J.; Jiang, Z.; Zhou, P. Mode division multiplexing reconstructive spectrometer with an all-fiber photonics lantern. Front. Optoelectron. 2024, 17, 23. [Google Scholar] [CrossRef]
- Velázquez-Benítez, A.M.; Antonio-López, J.E.; Alvarado-Zacarías, J.C.; Fontaine, N.K.; Ryf, R.; Chen, H.; Hernández-Cordero, J.; Sillard, P.; Okonkwo, C.; Leon-Saval, S.G.; et al. Scaling photonic lanterns for space-division multiplexing. Sci. Rep. 2018, 8, 8897. [Google Scholar] [CrossRef] [PubMed]
- Leon-Saval, S.G.; Fontaine, N.K.; Salazar-Gil, J.R.; Ercan, B.; Ryf, R.; Bland-Hawthorn, J. Mode-selective photonic lanterns for space-division multiplexing. Opt. Express 2014, 22, 1036–1044. [Google Scholar] [CrossRef] [PubMed]
- Lu, Y.; Jiang, Z.; Liu, W.; Chen, Z.; Jiang, M.; Zhou, Q.; Zhang, J. Laser Mode Control in Fiber with Core Diameter of 30 μm Based on 3 × 1 Photonic Lantern. Acta Opt. Sin. 2021, 41, 1736001. [Google Scholar] [CrossRef]
- Ryf, R.; Randel, S.; Gnauck, A.H.; Bolle, C.; Sierra, A.; Mumtaz, S.; Esmaeelpour, M.; Burrows, E.C.; Essiambre, R.-J.; Winzer, P.J.; et al. Mode-Division Multiplexing Over 96 km of Few-Mode Fiber Using Coherent 6 × 6 MIMO Processing. J. Light. Technol. 2012, 30, 521–531. [Google Scholar] [CrossRef]
- Fontaine, N.K.; Doerr, C.R.; Mestre, M.A.; Ryf, R.R.; Winzer, P.J.; Buhl, L.L.; Sun, Y.; Jiang, X.; Lingle, R. Space-Division Multiplexing and All-Optical MIMO Demultiplexing Using a Photonic Integrated Circuit, OFC/NFOEC; IEEE: Los Angeles, CA, USA, 2012; pp. 1–3. [Google Scholar]
- Liu, Z.; Zhang, S.; Qian, Z.; Gao, Z.; Tang, M.; Zhao, L. Intelligent few-mode multi-wavelength fiber laser based on photonic lantern comb filter. Opt. Laser Technol. 2025, 180, 111501. [Google Scholar] [CrossRef]
- Huang, B.; Li, M.; Ping, H.; Wang, J.; Li, X.; Shao, X. Impact of Geometric Input Fibers’ Core Positioning on the Adiabaticity of Photonic Lanterns. Photonics 2024, 11, 222. [Google Scholar] [CrossRef]
- Lu, S.; Xiao, Y.; Jiang, X. Research on Fused Taper All Fiber Multi-Mode Multiplexer/De-Multiplexer. Chin. J. Lasers 2018, 45, 0706002. [Google Scholar] [CrossRef]
- Zhao, L.; Li, W.; Chen, Y.; Zhao, E.; Tang, J. Design of Self-Matching Photonic Lantern for High-Order Transverse-Mode Laser Systems. Photonics 2024, 11, 208. [Google Scholar] [CrossRef]








| Processing Stage | H2/O2 Flow Rate (SCCM) | Pulling Speed (μm/s) | Pulling Length (μm) | Core Diameter After Tapering (μm) | Taper Waist Diameter (μm) | |
|---|---|---|---|---|---|---|
| Pre-tapered 980 nm SMFs | Pre-tapered 980 nm SMF1 | 190/0 | 80 | 9000 | 4.5/97.2 | / |
| Pre-tapered 980 nm SMF2 | 190/0 | 80 | 10,000 | 3.5/74.1 | / | |
| Two-Step Tapering for IM3PL Fabrication | First-stage Tapering | 220/60 | 220 | 15,000 | / | 151.8 |
| Second-stage Tapering | 160/0 | 220 | 50,000 | / | 16.7 | |
Disclaimer/Publisher’s Note: The statements, opinions and data contained in all publications are solely those of the individual author(s) and contributor(s) and not of MDPI and/or the editor(s). MDPI and/or the editor(s) disclaim responsibility for any injury to people or property resulting from any ideas, methods, instructions or products referred to in the content. |
© 2025 by the authors. Licensee MDPI, Basel, Switzerland. This article is an open access article distributed under the terms and conditions of the Creative Commons Attribution (CC BY) license (https://creativecommons.org/licenses/by/4.0/).
Share and Cite
Zhao, L.; Yu, T.; Chen, Y.; Tang, J. Integrated Multiband-Mode Multiplexing Photonic Lantern for Selective Mode Excitation and Preservation. Photonics 2025, 12, 729. https://doi.org/10.3390/photonics12070729
Zhao L, Yu T, Chen Y, Tang J. Integrated Multiband-Mode Multiplexing Photonic Lantern for Selective Mode Excitation and Preservation. Photonics. 2025; 12(7):729. https://doi.org/10.3390/photonics12070729
Chicago/Turabian StyleZhao, Li, Ting Yu, Yunhao Chen, and Jianing Tang. 2025. "Integrated Multiband-Mode Multiplexing Photonic Lantern for Selective Mode Excitation and Preservation" Photonics 12, no. 7: 729. https://doi.org/10.3390/photonics12070729
APA StyleZhao, L., Yu, T., Chen, Y., & Tang, J. (2025). Integrated Multiband-Mode Multiplexing Photonic Lantern for Selective Mode Excitation and Preservation. Photonics, 12(7), 729. https://doi.org/10.3390/photonics12070729

