Next Article in Journal
Effect of CaO Content on the Photoluminescence Excitation and Emission Properties of Bi2O3 and ZnO-Co-Doped Ca2+xGa4O8+x Phosphors
Next Article in Special Issue
Dual-Component Beat-Frequency Quartz-Enhanced Photoacoustic Spectroscopy Gas Detection System
Previous Article in Journal
A 5 Gb/s Optoelectronic Receiver IC in 180 nm CMOS for Short-Distance Optical Interconnects
Previous Article in Special Issue
Structural Health Monitoring by Fiber Optic Sensors
 
 
Font Type:
Arial Georgia Verdana
Font Size:
Aa Aa Aa
Line Spacing:
Column Width:
Background:
Article

Temperature Estimation Method on Optic–Electric Composite Submarine Power Cable Based on Optical Fiber Distributed Sensing

1
State Key Laboratory of HVDC, Electric Power Research Institute, China Southern Power Grid, Guangzhou 510663, China
2
National Ocean Technology Center, Tianjin 300112, China
3
School of Electrical and Electronic Engineering, North China Electric Power University, Baoding 071003, China
*
Author to whom correspondence should be addressed.
Photonics 2025, 12(6), 622; https://doi.org/10.3390/photonics12060622
Submission received: 28 May 2025 / Revised: 17 June 2025 / Accepted: 17 June 2025 / Published: 19 June 2025
(This article belongs to the Special Issue Advances in Optical Fiber Sensing Technology)

Abstract

The status of an optic–electric composite high-voltage submarine cable (referred to as submarine cable) can be monitored based on optical fiber-distributed sensing technology, and at the same time, no additional sensor is needed in the monitoring system. Currently, this technology is widely used in submarine cable monitoring systems. To estimate the temperatures of conductor and XLPE (cross-linked polyethylene) insulation of the submarine cable based on the ambient temperature and optical fiber temperature, the thermoelectric coupling field model of the 110 kV single-core submarine cable is established and validated. The thermoelectric coupling field models of the submarine cable with different values of ambient temperature and ampacity are built, and the influence of ambient temperature and ampacity on the temperatures of conductor, insulation and optical fiber is investigated. Furthermore, the relationship between the temperatures of the conductor and insulation and the ambient temperature and optical fiber temperature is obtained. Then, estimation formulas for temperatures of conductor and insulation of submarine cable according to ambient temperature and optical fiber temperature are obtained and preliminarily validated. This work lays the foundation for condition evaluation of the submarine cable insulation, life expectancy and maximum allowable ampacity estimation.

1. Introduction

High-voltage optic–electric composite submarine power cables (referred to as submarine cables) play a crucial role in long-distance high-voltage power transmission across seas, ensuring the industrial and agricultural production and daily life of island residents, the normal operation of offshore working platforms, and consolidating maritime borders [1]. In recent years, to simultaneously transmit electrical energy and information, people have begun to embed optical fibers in submarine cables, forming optic–electric composite submarine cables that can transmit both power and communication information. Compared with conventional submarine power cables and submarine optical cables, it has lower costs and requires less subsequent maintenance, while also conserving marine routing resources [2]. Optic–electric composite high-voltage submarine cables (referred to as submarine cables) are an inevitable trend in the future development of high-voltage submarine cables, and their application will surely become increasingly widespread [3]. Laid on the seabed, submarine cables gradually age under the effects of electrical, thermal, mechanical and environmental stresses. Moreover, due to the complex operational environment, the maintenance of submarine cables is not convenient. Therefore, how to effectively predict faults and ensure the safe and reliable operation of submarine cables is important.
Methods such as the insulation resistance method, partial discharge method [3,4], leakage current method [5], and damped oscillating voltage method [6] have played a significant role in the condition assessment and fault diagnosis of power cables. To improve the power supply reliability, higher requirements have been put forward for the detection methods of submarine cables. Since optical fibers are embedded in the optic–electric composite submarine cable, the temperature or strain along the optical fiber can be effectively measured based on the optical fiber-distributed sensing technology [7,8], providing a reference for the condition assessment and fault diagnosis of the submarine cable. Another advantage of this method is that it can easily locate the fault. This monitoring method is one of the most intensively investigated topics with regard to submarine cables [9,10,11,12,13]. The temperature, strain and vibration of the optical fibers in submarine cables can be measured. The temperatures of the cable conductor and XLPE (cross-linked polyethylene) insulation (referred to as insulation) are important operational information for submarine cables, which will affect the maximum allowable load of the submarine cable, the aging rate and service life. How to calculate the conductor and insulation temperatures of the submarine cable based on the optical fiber temperature measured by the optical fiber-distributed sensing monitoring system will be of great value. Existing studies have involved the modeling of the temperature field of submarine cables. For example, in Ref. [14], considering the convective and conductive heat transfer of submarine cables, a temperature field model with less computational cost was proposed. The results show that the difference in the calculated temperature between the one-dimensional model and the two-dimensional model is no more than 1.5 °C. Compared with the two-dimensional model, the one-dimensional one can greatly reduce the computational burden. Ref. [15] proposed a thermal circuit model for submarine cables considering the variation of seawater parameters and applied it to the calculation of the allowable ampacity of submarine cables. The results reveal that, compared with the IEC thermal circuit model, the difference in the calculated temperature between the two methods when the extreme values of seawater parameters are selected can reach 123 A. Although the above models can calculate the temperature distribution of submarine cables, this does not provide the temperature estimation formula for submarine cables based on the temperature of optical fibers. Although Ref. [16] provides an estimation formula for the conductor temperature of three-core submarine cables, no estimation formula for insulation temperature is presented. More importantly, only the estimation formula for the three-core submarine cables rather than the single-core ones is presented. Ref. [17] established the temperature field models of single-core and three-core submarine cables, and the temperature estimation formulas of the cable conductor, insulation and sheath based on the temperature of the optical fiber are presented. In actual situations, the temperatures in the above parts are not only related to the optical fiber temperature but also to the ambient temperature. However, the formulas provided in Ref. [17] do not take the ambient temperature into account. Clearly, it is difficult to directly apply this method in actual situations. In conclusion, for the conductor and insulation temperature estimation for the single-core submarine cable involved in this work, no reliable estimation formula has been found, which has affected the promotion and application of the submarine cable online monitoring system based on optical fiber-distributed sensing.
To fix the above problem, combined with the improved IEC method [18], in this work, a thermoelectric coupling field model of submarine cable was established in Comsol. The temperature distribution of the submarine cable and its surroundings was obtained, and the model was preliminarily validated. Based on this model, the influence of ambient temperature and ampacity on the temperatures of the cable conductor, insulation and optical fiber are investigated. At the same time, the relationship between the temperature of the cable conductor and insulation and the temperature of the optical fiber and the ambient temperature is obtained. The estimation formulas of the temperature of the cable conductor and insulation based on the ambient temperature and the temperature of the optical fiber are obtained and validated by simulation.

2. Submarine Cable Temperature Monitoring Method Based on Optical Fibers Distributed Sensing

Rayleigh scattering, Raman scattering and Brillouin scattering may occur when light propagates in optical fibers. The temperature, strain and vibration on the optical fiber can affect the parameters of the scattered light. By detecting the scattered light propagating to the incident end, the temperature, strain or vibration of the optical fiber can be measured. The corresponding optical fiber-distributed sensing technologies mainly include Raman optical time domain reflectometer (ROTDR), Brillouin optical time domain reflectometer (BOTDR) [19], and phase-sensitive optical time-domain reflectometry (φ-OTDR).
Since the Brillouin frequency shift is linear to the temperature and strain of optical fiber [20], the temperature or strain of optical fiber can be measured based on Brillouin scattering. Similar to the point of optical fiber sensors [20], optical fiber-distributed sensing also suffers from temperature cross-sensitivity problems. According to Equations (1) and (2), the temperature or strain that causes the Brillouin frequency shift variation can be calculated [21].
T ( l ) = T 0 + v B ( l ) v B 1 C 1
ε ( l ) = ε 0 + ν B ( l ) ν B 1 C 2
where l represents the distance between the spatial point and the beginning end of the optical fiber; T(l) and ε(l), respectively, are the temperature and strain at l; vB(l) represents the Brillouin frequency shift at l; vB1 is the Brillouin frequency shift when the strain is 0 and the temperature is T0; T0 and ε0 are the reference temperature and strain, respectively; C1 and C2 are the temperature and strain sensitivity coefficients when Brillouin frequency shift is used, respectively.
However, Equations (1) to (2) attribute the Brillouin frequency shift variation only to temperature or strain, and cannot measure temperature or strain simultaneously. To achieve simultaneous measurement, parameters such as Brillouin scattered light intensity can be introduced. The corresponding formula is shown as Equation (3) [22].
T ( l ) ε ( l ) = T 0 ε 0 + 1 C 1 C 4 C 2 C 3 C 4 C 2 C 3 C 1 δ ν B ( l ) δ P B ( l )
where δvB(l) and δPB(l), respectively, are the variations in Brillouin frequency shift and scattered light intensity at l; C3 and C4, respectively, are the temperature and strain sensitivity coefficients when the scattered light intensity is used.
The ratio of the anti-Stokes signal to the Stokes signal is related to temperature but it is insensitive to strain. The ROTDR technique adopts this ratio to measure temperature [23].
T ( l ) = 1 k B h Δ v ( ln φ AS ( l 0 ) φ ST ( l ) φ AS ( l ) φ ST ( l 0 ) + ( α ST α AS ) l ) + 1 T ( l 0 )
where kB is the Boltzmann constant; h is Planck’s constant; Δv is the Raman frequency shift; T(l0) is the temperature at l0 of the optical fiber and is a known quantity. φAS and φST, respectively, are the anti-Stokes and Stokes luminous fluxes of the measured optical fiber; αAS and αST, respectively, are the attenuation coefficients of anti-Stokes and Stokes light.
Whether it is based on the combined detection method of Brillouin frequency shift and Brillouin light intensity [24] or the Raman scattering method [13], there have been successful reports of temperature measurement of submarine cables on site, which lays the foundation for the subsequent application of submarine cable temperature estimation methods based on ambient temperature and optical fiber temperature.

3. Thermoelectric Coupling Model of Submarine Cables and Its Validation

The submarine cable investigated in this work is a 110 kV AC single-core optic–electric composite high-voltage cable (model 110 kV YJQ41 × 300 mm2), and its cross-section is shown in Figure 1.
When voltage is applied to the submarine cable, the resistance of the cable conductor will be heated up. The insulation will be subjected to voltage, resulting in dielectric loss. In addition, the current in the cable conductor will form an electromagnetic field, causing current to flow through the metal shielding layer and armor, thus generating heat. The heat generated above is conducted to the cable sheath through insulation, lead alloy sheath, brass tape, armoring and PP (polypropylene) outer sheath layer, and then transmitted to distant places through the seabed and seawater by means of conduction and convection, etc.
The thermoelectric coupling model of the submarine cable is established below to obtain its temperature distribution. In order to reduce the error caused by the temperature deviation from the true value and increase the accuracy of the heat generation rate calculation of the submarine cable heating unit, the iteration improvement IEC60287 standard [18] is adopted to obtain the heat generation rate of the metal shielding layer and armor under the given working conditions, and at the same time, the resistivity of the cable conductor at the reference temperature is calculated.
The heat generation rate P of insulation is calculated based on Equation (5).
P = ωCU2 tan δ
where ω represents the angular frequency, that is, 100π; C is the capacitor of the submarine cable insulation; U is the effective value of the voltage applied to the insulation; tan δ is the dielectric loss factor. In this case, 0.001 is taken.
The heat generation rate of the cable conductor is calculated directly in the thermoelectric coupling model. Referring to the existing temperature field modeling of power cables [25,26], the model structure and boundary conditions are shown in Figure 2. There exists a thermostatic layer in the deep soil, which meets the first type of boundary conditions. The soil above the submarine cable comes into contact with seawater, and it is considered that its upper surface meets the third type of boundary conditions. When the soil on both sides of the submarine cable is relatively far from the cable, it can be considered that there is no heat exchange at the interface, which meets the second type of boundary condition. In the existing submarine cable temperature field models, the value of d in Figure 2 generally does not exceed 2 to 3 m [25]. To ensure the calculation accuracy, in this work, d is set to 5 m. Considering that the submarine cable is buried 2 m below the seabed, d2 is 2 m, and the length of the submarine cable in the model is set to 1 m. In the model, the ambient temperature (seawater temperature) is 20 °C. Therefore, in Figure 2, T1 = T2 = 20 °C, and the convective heat transfer coefficient h of seawater is set to 200 W/(m2·K). The ampacity is 500 A.
Several attempts were made to determine whether or not the fineness of the mesh can meet the accuracy requirements, and the meshed model is shown in Figure 3. Note that the z-axis coordinate represents the axial position of the submarine cable; the x and y-axis coordinates represent the horizontal and vertical positions in the cross-section of the submarine cable.
After loading the excitation, the finite element method was used to calculate the model, and the results are shown in Figure 4. In order to display the temperature distribution of the submarine cable and the surrounding soil more clearly, the temperature distribution along the x-axis and y-axis directions through the center of the cable conductor is presented in Figure 5. Note, however, that R means the radius of the submarine cable.
It can be seen from Figure 4 and Figure 5 that the submarine cable, especially the cable conductor, reached the highest temperature, and the entire temperature field was approximately symmetrically distributed with the cable conductor as the center. The temperature drops rapidly from the conductor and then gradually tends to a stable value, but the temperature of the outer sheath of the submarine cable still rises by more than 20 °C compared with the ambient temperature. The temperature rise can still reach about 10 °C even when it is 10 times the radius of the submarine cable from the conductor. Note that, since there is soil and seawater above the submarine cable and soil below it, the temperature distribution along the y-axis direction is asymmetrical.
To validate the above modeling methods and take into account the reliability and wide application of the IEC60287 standard, the IEC60287 standard improved by the iteration method was also adopted to calculate the temperature distribution of submarine cables under the same working conditions. The temperatures of submarine cable key parts calculated by the two methods are listed in Table 1.
As can be seen from Table 1, except for the surface temperature of the submarine cable, the key temperatures of other components calculated by the two methods are basically the same. The temperature differences at the center point of the cable conductor, the outer layer of the insulation, the outer layer of the lead alloy sheath, the outer layer of the HDPE sheath and the optical fiber are all no more than 0.1 °C. Based on the above results, it can be considered that the modeling method has high reliability. However, there is a slight difference between the above two methods in terms of the surface temperature of submarine cables. This might be because the (improved) IEC60287 standard uses empirical values when calculating the thermal resistance of submarine cable twisted structures, which may introduce errors, while the modeling method does not involve the above issues. Therefore, the subsequent calculation of the temperature distribution of submarine cables is obtained by using the above-mentioned thermoelectric coupling model.

4. The Relationship Between Ambient Temperature, Optical Fiber Temperature and Submarine Cable Temperature

Once the model and laying situation of the submarine cable are determined, the temperature and distribution of the submarine cable are mainly determined by the ambient temperature and the ampacity. The influence of the ambient temperature and the ampacity on the temperature of the submarine cable should be investigated. Not only the qualitative and quantitative influence laws of the temperature and its distribution of the submarine cable should be obtained, but also the foundation for the subsequent estimation of the temperature of the submarine cable should be laid. The seabed temperature of the submarine cable laying site was investigated. Meanwhile, the simulation range of seabed temperature was appropriately expanded (which would not reduce the reliability). Finally, the ambient temperature of the seabed where the submarine cable was laid varies from 0 °C to 40 °C with a step of 5 °C. According to the specification of the 110 kV YJQ41 × 300 mm2 submarine cable, its allowable ampacity is no more than 700 A. Therefore, during the modeling and analysis, the ampacity varies from 100 to 700 A with a step of 100 A. Sixty-three thermoelectric coupling models of submarine cables under different values of ambient temperature and ampacity were established by using the modeling method in Section 3. The temperature distribution of submarine cable cross-sections under typical parameters is shown in Figure 6. The temperatures of optical fiber, insulation and cable conductors under different values of ambient temperature and ampacity are shown in Figure 7. As can be seen from Figure 7, with the increase in ambient temperature and ampacity, the temperatures of the cable conductor, insulation and optical fiber gradually increase, which is consistent with the practical situation.
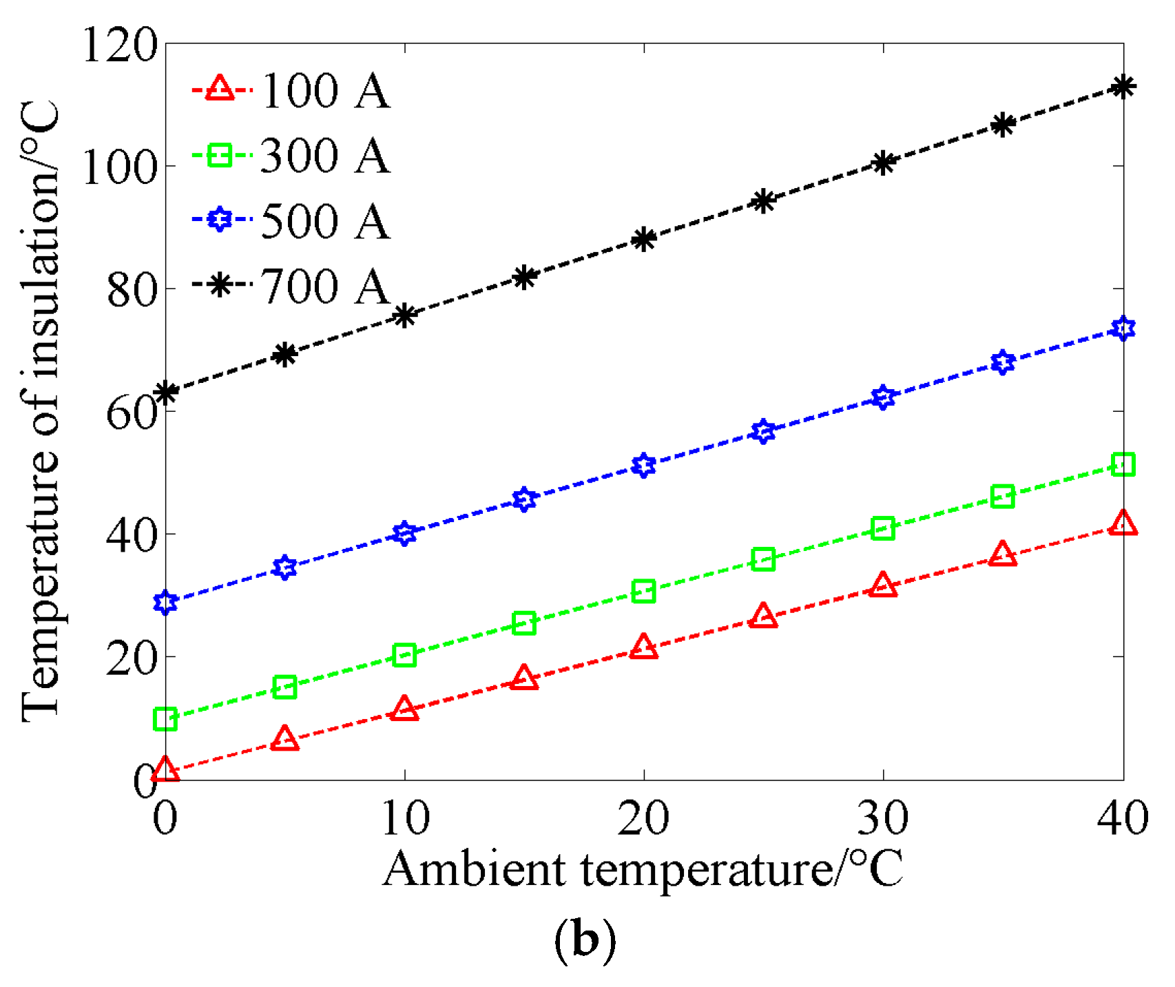
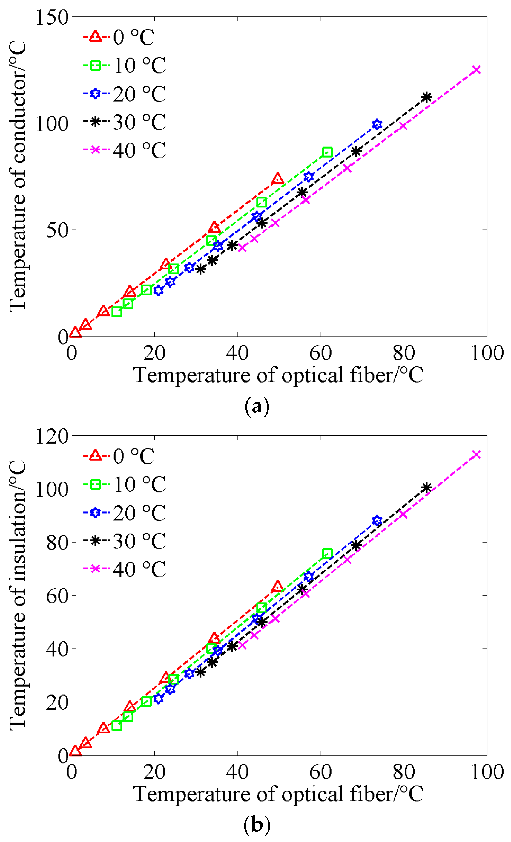
The relationships between the conductor temperature, insulation temperature and ambient temperature under different values of ampacity were further obtained. Change of the conductor temperature and insulation temperature with the ambient temperature were plotted in Figure 8. Obviously, both the conductor temperature and the insulation temperature are approximately linear to the ambient temperature. Meanwhile, the relationship was obtained by fitting Equation (6) to the ambient temperature and the obtained coefficients. The root mean square of the temperature error is shown in Table 2. Among them, Erms1 is the root mean square of the error. Considering that the actual submarine cable monitoring system can measure the temperature along the optical fiber, the relationship between the conductor temperature, the insulation temperature and the optical fiber temperature at different values of ambient temperature was also investigated, as shown in Figure 9. Obviously, for any fixed ambient temperature, both the conductor temperature and the insulation temperature are approximately linear to the optical fiber temperature. Meanwhile, the relationships are obtained by fitting Equation (6) to both the calculated conductor temperature and insulation temperature. The obtained coefficients and the root mean square of the temperature errors are also shown in Table 3.
TC = aTA + b
TX = cTF + d
where TC and TX are the conductor temperature and insulation temperature, respectively; TA or TF, respectively, are the ambient temperature and the optical fiber temperature; a, b, c and d are coefficients.
It can be seen from Figure 8 and Figure 9 as well as Table 2 and Table 3 that both the conductor temperature and the insulation temperature are linear to the ambient temperature and the optical fiber temperature. To further demonstrate the relationship, the change in insulation temperature, conductor temperature and ambient temperature, optical fiber temperature, respectively, are shown in Figure 10a and Figure 10b.
Considering that the insulation temperature and the conductor temperature are linear to the ambient temperature and the optical fiber temperature, respectively, and when both the ambient temperature and the optical fiber temperature are 0 °C, the conductor temperature and the insulation temperature must also be 0 °C (if the optical fiber temperature is equal to the ambient temperature, the ampacity must be 0). Therefore, Equations (8) and (9) are adopted to represent the conductor temperature and insulation temperature of the cable.
TC = eTA + fTF
TX = gTA + hTF
The relationships were obtained by fitting Equations (8) and (9) to the calculated temperatures of the conductor and insulation. The calculation formulas for the cable conductor temperature and insulation temperature obtained are shown in Equations (10) and (11), and the optimal coefficients and error statistics are presented in Table 4. Erms2 is the root mean square of the relative error.
TC = −0.48TA + 1.48TF
TX = −0.27TA + 1.27TF
The corresponding errors of the conductor temperature and insulation temperature under different ambient temperatures and optical fiber temperatures are shown in Figure 11.
It can be seen from Table 4 and Figure 11 that based on Equations (9) to (11), as well as the ambient temperature and optical fiber temperature, the conductor temperature and insulation temperature of the 110 kV YJQ41 × 300 mm2 type submarine cable can be estimated.

5. Simulation Validation of Insulation and Conductor Temperature Estimation Formulas

In order to preliminarily validate the accuracy of the obtained estimation formulas for conductor and insulation temperatures, a thermoelectric coupling model of submarine cables with different values of ambient temperatures and ampacity is established, similar to Section 3. To enhance the reliability, the selected ambient temperature and ampacity should differ as much as possible from those in Section 4. Finally, the ambient temperature of the seawater and seabed for laying the submarine cable varies from 2.5 °C to 42.5 °C with a step of 5 °C. The ampacity ranges from 50 to 750 A with a step of 100 A. Seventy-two thermoelectric coupling models of submarine cables with different values of ambient temperatures and ampacity were established by using the modeling method introduced in Section 3. The conductor temperature and insulation temperature of the cable under different values of ambient temperature and optical fiber temperature are shown in Figure 12. The estimation errors of the conductor temperature and insulation temperature under different values of ambient temperature and optical fiber temperature obtained by using Equations (10) and (11) are shown in Figure 13. The statistical values of the estimation errors are shown in Table 5. In the table, Emax, Emin, Emean and Estd, respectively, represent the maximum value, minimum value, mean and standard deviation of the error amplitude.
It can be seen from Figure 13 and Table 5 that even though the ambient temperature and ampacity are different from those used in Equations (10) and (11), the conductor temperature and insulation temperature of the 110 kV YJQ41 × 300 mm2 submarine cable can be estimated relatively accurately based on the ambient temperature, optical fiber temperature and Equations (10) to (11), with the maximum estimation error being less than 0.15 °C. The above results preliminarily validate Equations (10) and (11).
Based on the proposed formula combined with the measured ambient temperature and optical fiber temperature, the temperatures of the conductor and insulation can be obtained. The temperature of the conductor is a key parameter affecting the ampacity. Thus, this work could lay the foundation for the prediction of the ampacity of submarine cables. Meanwhile, the lifespan of insulation is mainly determined by thermal aging, and the relationship between the lifespan of thermal aging and temperature follows the Montsinger thermal aging rule shown in Equation (12).
L = L 0 e α ( T T 0 )
where L represents the insulation thermal aging life at the actual operating temperature; L0 is the insulation thermal aging life at the reference operating temperature; T and T0, respectively, are the actual operating temperature and reference operating temperature of the insulation; α is the aging coefficient.
The thermal aging life of insulation can be predicted and the thermal aging rate of insulation can be evaluated based on Equation (12). Therefore, this work lays the foundation for the assessment of the rate and lifespan of insulation thermal aging, and the prediction of ampacity.

6. Conclusions

The estimation for conductor and insulation temperature of optical fiber composite high-voltage submarine cables are investigated. A thermoelectric coupling field model of 110 kV YJQ41 × 300 mm2 submarine cable is established. The model is preliminarily validated. Based on this model, the influence of ambient temperature and ampacity on the conductor temperature and insulation temperature are investigated. The estimation formulas were proposed and preliminarily validated, and the conclusions are as follows:
(1)
The conductor temperature and insulation temperature of the cable increase linearly with ambient temperature and optical fiber temperature.
(2)
The estimation formulas for the conductor and insulation temperatures of the cable are TC = −0.48TA + 1.48TF and TX = −0.27TA + 1.27TF.
This work lays a foundation for the assessment of the insulation state and service life of submarine cables and the prediction of ampacity.

Author Contributions

Methodology, writing—original draft preparation, C.L.; supervision, conceptualization, Z.F.; writing—review and editing, visualization, investigation, Y.Z. (Yihua Zhu), Y.L., Y.Z. (Yi Zhang), Y.Z. (Ying Zhou), M.Z. and L.Z. All authors have read and agreed to the published version of the manuscript.

Funding

Research Project of the National Key R&D Program of China (Grant No. 2023YFB4203200).

Institutional Review Board Statement

Not applicable.

Informed Consent Statement

Not applicable.

Data Availability Statement

Data are contained within the article.

Conflicts of Interest

Authors Chao Luo, Yihua Zhu and Yuyan Liu were employed by the company China Southern Power Grid. The remaining authors declare that the research was conducted in the absence of any commercial or financial relationships that could be construed as a potential conflict of interest.

References

  1. Purvins, A.; Sereno, L.; Ardelean, M.; Covrig, C.-F.; Efthimiadis, T.; Minnebo, P. Submarine power cable between Europe and North America: A techno-economic analysis. J. Clean. Prod. 2018, 186, 131–145. [Google Scholar] [CrossRef]
  2. Zhao, Z.; Wang, J.; Gao, G.; Wang, H.; Wang, D. Multi-objective optimization for submarine cable route planning based on the ant colony optimization algorithm. Photonics 2023, 10, 896. [Google Scholar] [CrossRef]
  3. Zhang, X.; Qi, J.; Liang, X.; Guan, Z.; Liu, Z.; Zhang, C.; Chen, D.; Deng, W.; Xu, C.; Wang, X.; et al. Fiber-optic distributed acoustic sensing for smart grid application. Photonics 2025, 12, 7. [Google Scholar] [CrossRef]
  4. Li, Y.; Han, J.; Du, Y.; Jin, H. Time-frequency maps for multiple partial discharge sources separation in cable terminations. IEEE Trans. Power Deliv. 2023, 38, 2228–2231. [Google Scholar] [CrossRef]
  5. Wu, Y.; Zhang, P. A novel online monitoring scheme for underground power cable insulation based on common-mode leakage current measurement. IEEE Trans. Ind. Electron. 2022, 69, 13586–13596. [Google Scholar] [CrossRef]
  6. Bi, X.; Ren, A.; Sun, X.; Zhang, W. A novel sinusoidal damped oscillating voltage generator for the detection of partial discharge in MV distribution power cables. IEEE Trans. Power Deliv. 2016, 31, 410–411. [Google Scholar]
  7. Motil, A.; Bergman, A.; Tur, M. State of the art of Brillouin fiber-optic distributed sensing. Opt. Laser Technol. 2016, 78, 81–103. [Google Scholar] [CrossRef]
  8. Bao, X.; Chen, L. Recent progress in Brillouin scattering based fiber sensors. Sensors 2011, 11, 4152–4187. [Google Scholar] [CrossRef]
  9. Xu, Z.; Hu, Z.; Zhao, L.; Zhang, Y.; Yang, Z.; Hu, S.; Li, Y. Application of temperature field modeling in monitoring of optic-electric composite submarine cable with insulation degradation. Measurement 2019, 133, 479–494. [Google Scholar] [CrossRef]
  10. Zhao, L.; Li, Y.; Xu, Z.; Yang, Z.; Lü, A. On-line monitoring system of 110 kV submarine cable based on BOTDR. Sens. Actuators A Phys. 2014, 216, 28–35. [Google Scholar] [CrossRef]
  11. Lv, A.; Li, J. On-line monitoring system of 35 kV 3-core submarine power cable based on φ-OTDR. Sens. Actuators A Phys. 2018, 273, 134–139. [Google Scholar] [CrossRef]
  12. Paap, B.; Vandeweijer, V.; van Wees, J.D.; Kraaijpoel, D. Leveraging distributed acoustic sensing for monitoring vessels using submarine fiber-optic cables. Appl. Ocean. Res. 2025, 154, 104422. [Google Scholar] [CrossRef]
  13. Zhang, C.; Guo, X.; Liu, L.; Liu, H.; Xu, Z.; Liu, Y. Study on integrated online monitoring system of HVDC submarine cable. Electr. Meas. Instrum. 2016, 53, 27–33. [Google Scholar]
  14. Callender, G.; Ellis, D.; Goddard, K.F.; Dix, J.K.; Pilgrim, J.A.; Erdmann, M. Low computational cost model for convective heat transfer from submarine cables. IEEE Trans. Power Deliv. 2021, 36, 760–768. [Google Scholar] [CrossRef]
  15. Ma, A.; Zheng, M.; Zhang, S.; Qin, T. Thermal circuit model of DC submarine cable considering the influence of seawater property variations. Electr. Power Syst. Res. 2024, 230, 110268. [Google Scholar] [CrossRef]
  16. Lü, A.; Kou, X.; Yin, C.; Li, Y. Modeling of temperature relation between optical fiber and conductor in 3-core submarine power cable. Trans. China Electrotech. Soc. 2016, 31, 59–65. [Google Scholar]
  17. Zhang, Y.; Tang, X.; Huang, Y.; Xia, M.; Du, X.; Sui, J. Analysis of thermal field distribution characteristics of different structure submarine cables in diverse laying dnvironments. In Proceedings of the 2023 2nd International Conference on Optical Lmaging and Measurement (ICOlM), Xi’an, China, 20–22 October 2023; pp. 121–126. [Google Scholar]
  18. IEC60287-1; Calculation of the Current Rating-Part 1: Current Rating Equations (100% Load Factor) and Calculation Of Losses. International Electrotechnical Commission: Geneva, Switzerland, 2006.
  19. Bao, X.; Chen, L. Recent progress in distributed fiber optic sensors. Sensors 2012, 12, 8601–8639. [Google Scholar] [CrossRef]
  20. Liu, C.; Wang, J.; Lv, J.; Song, X.; Liu, W.; Liu, Q.; Li, R.; Li, L.; Yi, Z.; Chu, P.K. Economical and easily implemented Vernier effect bubble microcavity FPI for strain sensing with extreme low-temperature cross-sensitivity. Infrared Phys. Technol. 2025, 150, 105939. [Google Scholar] [CrossRef]
  21. Krishnan, R.S. Fine structure of the Rayleigh line in amorphous substances. Nature 1950, 165, 933–934. [Google Scholar] [CrossRef]
  22. Parker, T.R.; Farhadiroushan, M.; Handerek, V.A.; Rogers, A.J. Temperature and strain dependence of the power level and frequency of spontaneous Brillouin scattering in optical fibers. Opt. Lett. 1997, 22, 787–789. [Google Scholar] [CrossRef]
  23. Li, J.; Zhang, Q.; Xu, Y.; Zhang, M.; Zhang, J.; Qiao, L.; Mehjabin, M.P.; Wang, T. High-accuracy distributed temperature measurement using difference sensitive-temperature compensation for Raman-based optical fiber sensing. Opt. Express 2019, 27, 38163–38196. [Google Scholar] [CrossRef] [PubMed]
  24. Lv, A.; Li, Y.; Li, J.; Liu, Z. Distinguish measurement of temperature and strain of laid sensing optical fibers based on BOTDR. Infrared Laser Eng. 2015, 44, 2952–2958. [Google Scholar]
  25. Naskar, A.K.; Bhattacharya, N.K.; Saha, S.; Kundu, S.N. Thermal analysis of underground power cables using two dimensional finite element method. In Proceedings of the 2013 IEEE 1st International Conference on Condition Assessment Techniques in Electrical Systems, Kolkata, India, 6–8 December 2013; pp. 94–99. [Google Scholar]
  26. Karahan, M.; Varol, H.S.; Kalenderli, O. Thermal analysis of power cables using finite element method and current-carrying capacity evaluation. Int. J. Eng. Educ. 2009, 25, 1158–1165. [Google Scholar]
Figure 1. Cross-section of 110 kV optic–electric composite submarine cable.
Figure 1. Cross-section of 110 kV optic–electric composite submarine cable.
Photonics 12 00622 g001
Figure 2. Structure and boundary conditions of thermoelectric coupling model of submarine cable.
Figure 2. Structure and boundary conditions of thermoelectric coupling model of submarine cable.
Photonics 12 00622 g002
Figure 3. Meshed thermoelectric coupling model of submarine cable. (a) Whole. (b) Partial.
Figure 3. Meshed thermoelectric coupling model of submarine cable. (a) Whole. (b) Partial.
Photonics 12 00622 g003
Figure 4. Temperature distributions of submarine cable and its surrounding area, 500 A, 20 °C. (a) Whole. (b) Partial.
Figure 4. Temperature distributions of submarine cable and its surrounding area, 500 A, 20 °C. (a) Whole. (b) Partial.
Photonics 12 00622 g004aPhotonics 12 00622 g004b
Figure 5. Temperature distributions along the x-axis and y-axis passing through the center of the conductor, z = 0, 500 A, 20 °C. (a) x-axis, y = 0. (b) y-axis, x = 0.
Figure 5. Temperature distributions along the x-axis and y-axis passing through the center of the conductor, z = 0, 500 A, 20 °C. (a) x-axis, y = 0. (b) y-axis, x = 0.
Photonics 12 00622 g005
Figure 6. Temperature distributions of submarine cable with different values of ambient temperature and ampacity. (a) 0 °C, 100 A. (b) 40 °C, 100 A.
Figure 6. Temperature distributions of submarine cable with different values of ambient temperature and ampacity. (a) 0 °C, 100 A. (b) 40 °C, 100 A.
Photonics 12 00622 g006
Figure 7. Change of temperatures of the conductor, insulation, optical fiber with ambient temperature, and ampacity. (a) Conductor. (b) Insulation. (c) Optical fiber.
Figure 7. Change of temperatures of the conductor, insulation, optical fiber with ambient temperature, and ampacity. (a) Conductor. (b) Insulation. (c) Optical fiber.
Photonics 12 00622 g007aPhotonics 12 00622 g007b
Figure 8. Change of temperatures of conductor, insulation with ambient temperature. (a) Temperature of conductor. (b) Temperature of insulation.
Figure 8. Change of temperatures of conductor, insulation with ambient temperature. (a) Temperature of conductor. (b) Temperature of insulation.
Photonics 12 00622 g008aPhotonics 12 00622 g008b
Figure 9. Change of temperatures of the conductor, insulation with optical fiber temperature. (a) Temperature of conductor. (b) Temperature of insulation.
Figure 9. Change of temperatures of the conductor, insulation with optical fiber temperature. (a) Temperature of conductor. (b) Temperature of insulation.
Photonics 12 00622 g009
Figure 10. Change of conductor temperature, insulation temperature and ambient temperature, optical fiber temperature. (a) Temperature of conductor. (b) Temperature of insulation.
Figure 10. Change of conductor temperature, insulation temperature and ambient temperature, optical fiber temperature. (a) Temperature of conductor. (b) Temperature of insulation.
Photonics 12 00622 g010
Figure 11. Fitted errors in temperatures of conductor and insulation. (a) Temperature of conductor. (b) Temperature of optical fiber.
Figure 11. Fitted errors in temperatures of conductor and insulation. (a) Temperature of conductor. (b) Temperature of optical fiber.
Photonics 12 00622 g011
Figure 12. Change of temperatures of conductor, insulation and ambient temperature, optical fiber temperature. (a) Temperature of conductor. (b) Temperature of insulation.
Figure 12. Change of temperatures of conductor, insulation and ambient temperature, optical fiber temperature. (a) Temperature of conductor. (b) Temperature of insulation.
Photonics 12 00622 g012aPhotonics 12 00622 g012b
Figure 13. Estimated errors in temperatures of conductor and insulation. (a) Temperature of conductor. (b) Temperature of insulation.
Figure 13. Estimated errors in temperatures of conductor and insulation. (a) Temperature of conductor. (b) Temperature of insulation.
Photonics 12 00622 g013
Table 1. Comparison of temperatures calculated by IEC60287 and proposed thermoelectric coupling field model/°C.
Table 1. Comparison of temperatures calculated by IEC60287 and proposed thermoelectric coupling field model/°C.
Center of ConductorSurface of InsulationSurface of Lead AlloySurface of HDPEOptical FiberSurface of Cable
IEC56.2747.4347.2646.0842.5741.88
Modeling56.1847.4147.2446.0642.6741.37
Difference0.090.020.020.02−0.100.51
Table 2. Obtained parameters in Equations (6) and (7) and the corresponding errors for data in Figure 8.
Table 2. Obtained parameters in Equations (6) and (7) and the corresponding errors for data in Figure 8.
TCTX
Ampacityab/°CErms1/°Ccd/°CErms1/°C
100 A11.374.85 × 10−311.194.44 × 10−3
300 A1.0411.365.28 × 10−31.049.84.57 × 10−3
500 A1.1333.511.11 × 10−21.1128.849.67 × 10−3
700 A1.2973.492.71 × 10−21.2563.042.40 × 10−2
Table 3. Obtained parameters in Equations (6) and (7) and the corresponding errors for data in Figure 9.
Table 3. Obtained parameters in Equations (6) and (7) and the corresponding errors for data in Figure 9.
TCTX
Ambient Temperatureab/°CErms1/°Ccd/°CErms1/°C
0 °C1.48−9.57 × 10−27.07 × 10−21.27−2.88 × 10−22.89 × 10−2
10 °C1.48−4.97.48 × 10−21.27−2.723.04 × 10−2
20 °C1.48−9.698.10 × 10−21.27−5.43.32 × 10−2
30 °C1.48−14.498.76 × 10−21.27−8.083.61 × 10−2
40 °C1.48−19.299.42 × 10−21.27−10.763.91 × 10−2
Table 4. Obtained parameters in Equations (10) and (11) and the corresponding errors by least-squares fit.
Table 4. Obtained parameters in Equations (10) and (11) and the corresponding errors by least-squares fit.
e + 0.48/
(g + 0.27)
f − 1.48/
(h − 1.27)
Erms1/°CErms2/%
Conductor−1.91 × 10−3−1.27 × 10−37.99 × 10−22.18 × 10−1
Insulation−1.75 × 10−34.93 × 10−43.11 × 10−28.75 × 10−2
Table 5. Statistical result of estimated errors in temperatures of conductor and insulation/°C.
Table 5. Statistical result of estimated errors in temperatures of conductor and insulation/°C.
EmaxEminEmeanEstd
Conductor1.44 × 10−1−4.31 × 10−19.92 × 10−21.41 × 10−1
Insulation5.38 × 10−2−1.37 × 10−13.89 × 10−25.34 × 10−2
Disclaimer/Publisher’s Note: The statements, opinions and data contained in all publications are solely those of the individual author(s) and contributor(s) and not of MDPI and/or the editor(s). MDPI and/or the editor(s) disclaim responsibility for any injury to people or property resulting from any ideas, methods, instructions or products referred to in the content.

Share and Cite

MDPI and ACS Style

Luo, C.; Feng, Z.; Zhu, Y.; Liu, Y.; Zhang, Y.; Zhou, Y.; Zhang, M.; Zhao, L. Temperature Estimation Method on Optic–Electric Composite Submarine Power Cable Based on Optical Fiber Distributed Sensing. Photonics 2025, 12, 622. https://doi.org/10.3390/photonics12060622

AMA Style

Luo C, Feng Z, Zhu Y, Liu Y, Zhang Y, Zhou Y, Zhang M, Zhao L. Temperature Estimation Method on Optic–Electric Composite Submarine Power Cable Based on Optical Fiber Distributed Sensing. Photonics. 2025; 12(6):622. https://doi.org/10.3390/photonics12060622

Chicago/Turabian Style

Luo, Chao, Zhitao Feng, Yihua Zhu, Yuyan Liu, Yi Zhang, Ying Zhou, Muning Zhang, and Lijuan Zhao. 2025. "Temperature Estimation Method on Optic–Electric Composite Submarine Power Cable Based on Optical Fiber Distributed Sensing" Photonics 12, no. 6: 622. https://doi.org/10.3390/photonics12060622

APA Style

Luo, C., Feng, Z., Zhu, Y., Liu, Y., Zhang, Y., Zhou, Y., Zhang, M., & Zhao, L. (2025). Temperature Estimation Method on Optic–Electric Composite Submarine Power Cable Based on Optical Fiber Distributed Sensing. Photonics, 12(6), 622. https://doi.org/10.3390/photonics12060622

Note that from the first issue of 2016, this journal uses article numbers instead of page numbers. See further details here.

Article Metrics

Back to TopTop