Reconstruction Algorithm of Absorption Spectral Field Distribution Based on a Priori Constrained Bivariate Polynomial Model
Abstract
1. Introduction
2. Materials and Methods
2.1. Principles of CT-TDLAS
2.2. Constrained Polynomial Fitting Reconstruction Algorithm
2.3. Adaptive Polynomial Order Selection Algorithm
3. Results
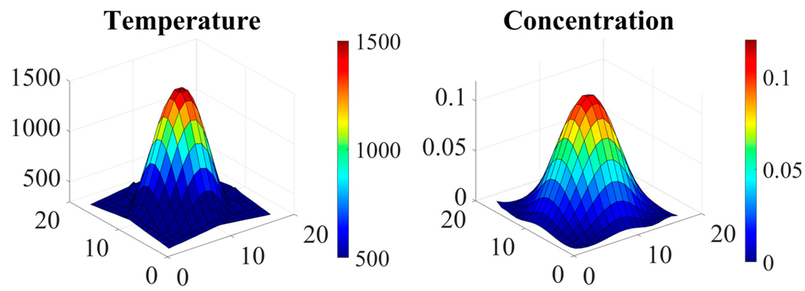
3.1. Numerical Simulations
3.1.1. Analysis of Polynomial Order Effects
3.1.2. Simulation Results
3.2. Effect of Noise on Reconstruction Accuracy
3.3. Experimental Verification
4. Conclusions
Author Contributions
Funding
Data Availability Statement
Conflicts of Interest
Abbreviations
| CT-TDLAS | Computed Tomography–Tunable Diode Laser Absorption Spectroscopy |
| ART | Algebraic Reconstruction Technique |
| RBF | Radial Basis Function |
| SA | Simulated Annealing |
| CPF | Constrained Polynomial Fitting |
| SQP | Sequential Quadratic Programming |
| NCPF | Non-Constraint Polynomial Fitting |
References
- Rieker, G.; Jeffries, J.; Hanson, R.; Mathur, T.; Gruber, M. Diode laser-based detection of combustor instabilities with application to a scramjet engine. Proc. Combust. Inst. 2009, 32, 831–838. [Google Scholar] [CrossRef]
- Spearrin, R.M.; Goldenstein, C.S.; Schultz, I.A.; Jeffries, J.B.; Hanson, R.K. Simultaneous sensing of temperature, CO, and CO2 in a scramjet combustor using quantum cascade laser absorption spectroscopy. Appl. Phys. B 2014, 117, 689–698. [Google Scholar] [CrossRef]
- Schultz, I.A.; Goldenstein, C.S.; Spearrin, R.M.; Jeffries, J.B.; Hanson, R.K.; Rockwell, R.D.; Goyne, C.P. Multispecies midinfrared absorption measurements in a hydrocarbonfueled scramjet combustor. J. Propul. Power 2014, 30, 1595–1604. [Google Scholar] [CrossRef]
- Schultz, I.A.; Goldenstein, C.S.; Jeffries, J.B.; Hanson, R.K.; Rockwell, R.D.; Goyne, C.P. Diode laser absorption sensor for combustion progress in a model scramjet. J. Propuls. Power 2014, 30, 550–557. [Google Scholar] [CrossRef]
- Schultz, I.; Goldenstein, C.; Jeffries, J.; Hanson, R.; Rockwell, R.; Goyne, C. TDL absorption sensor for in situ determination of combustion progress in scramjet ground testing. In Proceedings of the 28th Aerodynamic Measurement Technology, Ground Testing, and Flight Testing Conference including the Aerospace T&E Days Forum, New Orleans, LA, USA, 25–28 June 2012. [Google Scholar]
- Chang, L.S.; Strand, C.L.; Jeffries, J.B.; Hanson, R.K.; Diskin, G.S.; Gaffney, R.L.; Capriotti, D.P. Supersonic mass-flux measurements via tunable diode laser absorption and nonuniform flow modeling. AIAA J. 2011, 49, 2783–2791. [Google Scholar] [CrossRef]
- Busa, K.; Bryner, E.; McDaniel, J.; Goyne, C.; Smith, C.; Diskin, G. Demonstration of capability of water flux measurement in a scramjet combustor using tunable diode laser absorption tomography and stereoscopic PIV. In Proceedings of the 49th AIAA Aerospace Sciences Meeting Including the New Horizons Forum and Aerospace Exposition, Orlando, FL, USA, 4–7 January 2011. [Google Scholar]
- Fu, P.; Hou, L.; Chao, X.; Wang, Z. Time-resolved multi-parameter detection in a kerosene-fueled combustor using tunable diode laser absorption spectroscopy. Exp. Therm. Fluid Sci. 2023, 148, 110978. [Google Scholar] [CrossRef]
- Bao, Y.; Zhang, R.; Enemali, G.; Cao, Z.; Zhou, B.; McCann, H.; Liu, C. Relative entropy regularized TDLAS tomography for robust temperature imaging. IEEE Trans. Instrum. Meas. 2020, 70, 4501909. [Google Scholar] [CrossRef]
- Gao, X.; Cao, Z.; Tian, Y.; Xu, L. RBF-based reconstruction method for tomographic imaging of temperature and water vapor concentration in flames. In Proceedings of the 2021 IEEE International Conference on Imaging Systems and Techniques (IST), New York, NY, USA, 24 August 2021; IEEE: Piscataway, NJ, USA, 2021; pp. 1–6. [Google Scholar]
- Busa-Rice, K.M.; Brown, M.S.; Nadir, Z.; Bouman, C.A.; Comer, M.L. Implementation of Model-Based Iterative Reconstruction Approach to Tomographic Tunable Diode Laser Absorption Spectroscopy. In Proceedings of the 2018 AIAA Aerospace Sciences Meeting, Kissimmee, FL, USA, 8–12 January 2018; Volume 1361. [Google Scholar]
- Ma, L.; Cai, W. Numerical investigation of hyperspectral tomography for simultaneous temperature and concentration imaging. Appl. Opt. 2008, 47, 3751–3759. [Google Scholar] [CrossRef]
- Yi-Peng, Z.; Zhen-Yu, X.; An, H.; Ai, S.-M.; Xia, H.-H.; Kan, R.-F. Distribution reconstruction of non-uniform combustion field based on improved simulated annealing algorithm. Acta Phys. Sin. 2021, 70, 134205. [Google Scholar]
- Huang, J.; Liu, H.; Dai, J.; Cai, W. Reconstruction for limited-data nonlinear tomographic absorption spectroscopy via deep learning. J. Quant. Spectrosc. Radiat. Transf. 2018, 218, 187–193. [Google Scholar] [CrossRef]
- Yu, T.; Cai, W.; Liu, Y. Rapid tomographic reconstruction based on machine learning for time-resolved combustion diagnostics. Rev. Sci. Instruments 2018, 89, 043101. [Google Scholar] [CrossRef] [PubMed]
- Si, J.; Li, G.; Cheng, Y.; Zhang, R.; Enemali, G.; Liu, C. Hierarchical temperature imaging using pseudoinversed convolutional neural network aided TDLAS tomography. IEEE Trans. Instrum. Meas. 2021, 70, 4506711. [Google Scholar] [CrossRef]
- Wang, Z.; Zhou, W.; Kamimoto, T.; Deguchi, Y.; Yan, J.; Yao, S.; Girase, K.; Jeon, M.-G.; Kidoguchi, Y.; Nada, Y. Two-dimensional temperature measurement in a high-temperature and high-pressure combustor using computed tomography tunable diode laser absorption spectroscopy (CT-TDLAS) with a wide-scanning laser at 1335–1375 nm. Appl. Spectrosc. 2020, 74, 210–222. [Google Scholar] [CrossRef] [PubMed]
- Allen, M.G. Diode laser absorption sensors for gas-dynamic and combustion flows. Meas. Sci. Technol. 1998, 9, 545. [Google Scholar] [CrossRef] [PubMed]
- Kan, R.F.; Xia, H.H.; Xu, Z.Y.; Yao, L.; Ruan, J.; Fan, X. Research and progress of flow field diagnosis based on laser absorption spectroscopy. Chin. J. Lasers 2018, 45, 0911005. [Google Scholar]
- Cai, W.; Kaminski, C.F. Tomographic absorption spectroscopy for the study of gas dynamics and reactive flows. Prog. Energy Combust. Sci. 2017, 59, 1–31. [Google Scholar] [CrossRef]
- Jeon, M.G.; Deguchi, Y.; Kamimoto, T.; Doh, D.H.; Cho, G.R. Performances of new reconstruction algorithms for CT-TDLAS (computer tomography-tunable diode laser absorption spectroscopy). Appl. Therm. Eng. 2017, 115, 1148–1160. [Google Scholar] [CrossRef]














| (a) Single Peak | |||
| NCRF | CPF | ART | |
| Temperature | 13.3% | 2% | 7.4% |
| Concentration | 47.1% | 2% | 14.6% |
| (b) Double Peak | |||
| NCRF | CPF | ART | |
| Temperature | 6.2% | 1.6% | 3.1% |
| Concentration | 29.5% | 1.8% | 7.9% |
| (c) Mixed Peak | |||
| NCRF | CPF | ART | |
| Temperature | 2.9% | 2% | 3% |
| Concentration | 11.5% | 2.6% | 7.9% |
| (a) Single Peak | |||||||
| Noise Level | 0.5% | 1% | 2% | 3% | 4% | 5% | |
| CPF | Temperature | 2.45% | 2.91% | 4.61% | 5.35% | 7.96% | 8.48% |
| Concentration | 2.94% | 4.85% | 10.58% | 13.3% | 18.82% | 19.28% | |
| ART | Temperature | 7.51% | 7.55% | 7.54% | 7.71% | 7.88% | 7.97% |
| Concentration | 15.47% | 15.43% | 15.98% | 16.08% | 15.97% | 16.16% | |
| (b) Double Peak | |||||||
| Noise Level | 0.5% | 1% | 2% | 3% | 4% | 5% | |
| CPF | Temperature | 2.86% | 3.36% | 4.11% | 4.61% | 6.38% | 7.02% |
| Concentration | 3.16% | 4.01% | 5.45% | 5.61% | 9.42% | 10.6% | |
| ART | Temperature | 3.12% | 3.16% | 3.26% | 3.48% | 3.63% | 3.94% |
| Concentration | 8.18% | 8.13% | 8.39% | 8.77% | 9.38% | 9.15% | |
| (c) Mixed Peak | |||||||
| Noise Level | 0.5% | 1% | 2% | 3% | 4% | 5% | |
| CPF | Temperature | 2.73% | 3.02% | 3.55% | 4.36% | 4.82% | 6.01% |
| Concentration | 4.64% | 5.79% | 6.24% | 9.05% | 9.58% | 10.62% | |
| ART | Temperature | 3.36% | 3.38% | 3.55% | 3.75% | 3.99% | 4.34% |
| Concentration | 7.85% | 8.05% | 8.17% | 8.51% | 8.57% | 8.97% | |
Disclaimer/Publisher’s Note: The statements, opinions and data contained in all publications are solely those of the individual author(s) and contributor(s) and not of MDPI and/or the editor(s). MDPI and/or the editor(s) disclaim responsibility for any injury to people or property resulting from any ideas, methods, instructions or products referred to in the content. |
© 2025 by the authors. Licensee MDPI, Basel, Switzerland. This article is an open access article distributed under the terms and conditions of the Creative Commons Attribution (CC BY) license (https://creativecommons.org/licenses/by/4.0/).
Share and Cite
Chen, C.; Shi, D.; Huang, A.; Ai, S.; Niu, R.; Jiao, T.; Xu, Z. Reconstruction Algorithm of Absorption Spectral Field Distribution Based on a Priori Constrained Bivariate Polynomial Model. Photonics 2025, 12, 394. https://doi.org/10.3390/photonics12040394
Chen C, Shi D, Huang A, Ai S, Niu R, Jiao T, Xu Z. Reconstruction Algorithm of Absorption Spectral Field Distribution Based on a Priori Constrained Bivariate Polynomial Model. Photonics. 2025; 12(4):394. https://doi.org/10.3390/photonics12040394
Chicago/Turabian StyleChen, Chuge, Dingfeng Shi, An Huang, Suman Ai, Rantong Niu, Ting Jiao, and Zhenyu Xu. 2025. "Reconstruction Algorithm of Absorption Spectral Field Distribution Based on a Priori Constrained Bivariate Polynomial Model" Photonics 12, no. 4: 394. https://doi.org/10.3390/photonics12040394
APA StyleChen, C., Shi, D., Huang, A., Ai, S., Niu, R., Jiao, T., & Xu, Z. (2025). Reconstruction Algorithm of Absorption Spectral Field Distribution Based on a Priori Constrained Bivariate Polynomial Model. Photonics, 12(4), 394. https://doi.org/10.3390/photonics12040394
