Controllable Burst-Mode Nd3+:YAG/Cr4+:YAG Laser Pumped by 808 nm Polarization-Combined Laser Diodes
Abstract
1. Introduction
2. Theoretical Research and Composition of Laser System
2.1. Passively Q-Switched Nd3+:YAG/Cr4+:YAG Laser Theory
2.2. Experimental Setup and Methods
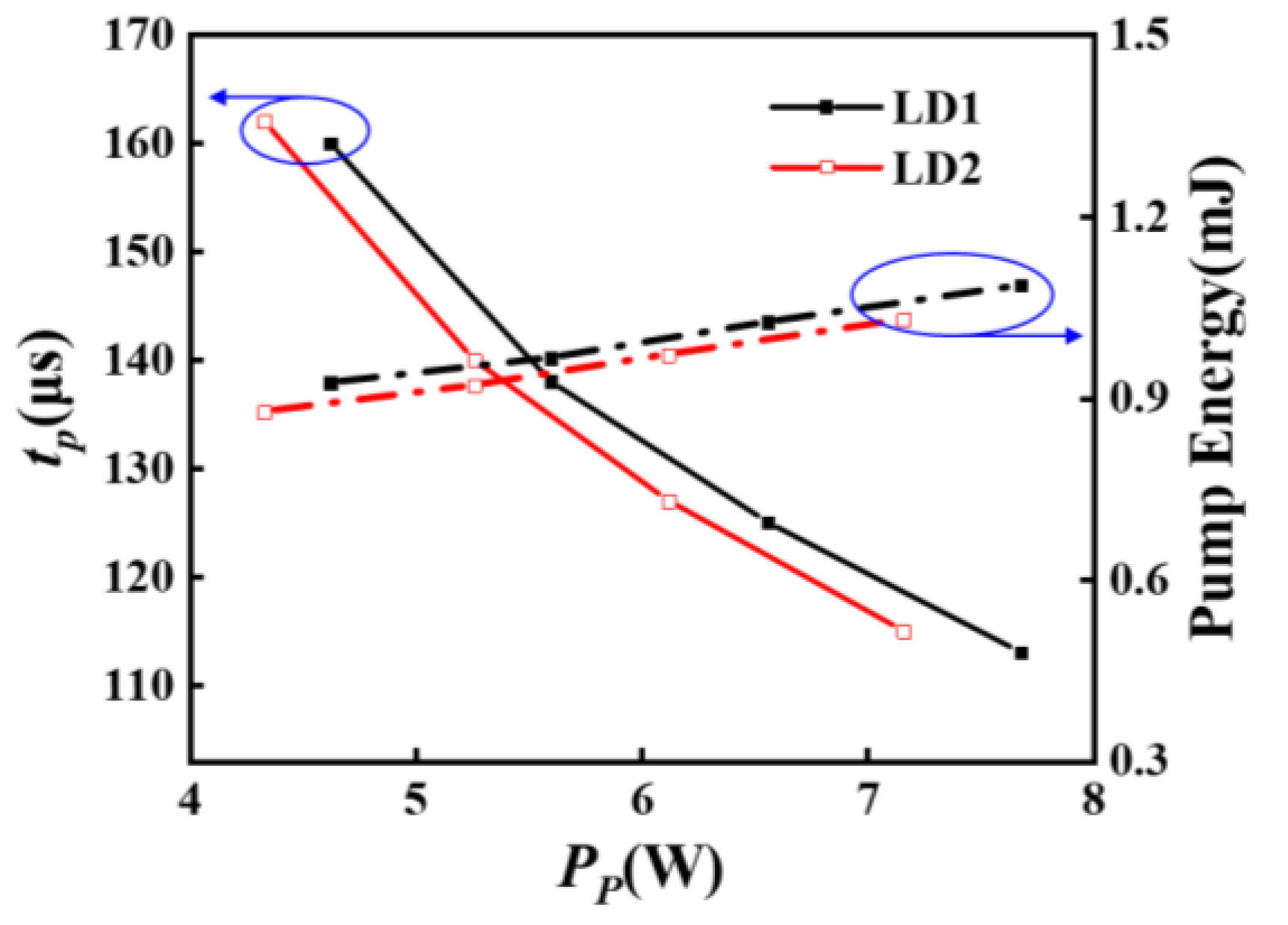
3. Results and Discussion
4. Conclusions
Author Contributions
Funding
Institutional Review Board Statement
Informed Consent Statement
Data Availability Statement
Conflicts of Interest
References
- Zheng, L.H.; Kausas, A.; Taira, T. >MW peak power at 266 nm, low jitter kHz repetition rate from intense pumped microlaser. Opt. Express 2016, 24, 28748–28760. [Google Scholar] [CrossRef] [PubMed]
- Pan, R.C.; Retzer, U.; Werblinski, T.; Slipchenko, M.N.; Meyer, T.R.; Zigan, L.; Will, S. Generation of highenergy, kilohertzrate narrowband tunable ultraviolet pulses using a burst modedye laser system. Opt. Lett. 2018, 43, 1191–1194. [Google Scholar] [CrossRef] [PubMed]
- Thurow, B.S.; Satija, A.; Lynch, K. Third-generation megahertz-rate pulse burst laser system. Appl. Opt. 2009, 48, 2086–2093. [Google Scholar] [CrossRef] [PubMed]
- Liu, Q.; Meng, J.Q.; Zu, J.F.; Jang, J.; Chen, S.L.; Chen, W.B. High repetition frequency narrow pulse electro-optically Q-switched laser for space applications. Chin. J. Laser 2017, 44, 49–54. [Google Scholar]
- Li, H.B.; Dong, Y.; Wang, P.F.; Jin, Y.J.; Li, J.X.; Feng, J.; Li, Q. Passive Q-switch high power burst laser. Laser Infrared 2012, 42, 762–765. [Google Scholar]
- Slipchenko, M.N.; Miller, J.D.; Roy, S.; Gord, J.R.; Meyer, T.R. All-diode-pumped quasi-continuous burst-mode laser for extended high-speed planar imaging. Opt. Express 2013, 21, 681–689. [Google Scholar] [CrossRef]
- Chen, S.S.; Zhang, H.; Xu, X.B. Modeling and simulation of acquisition for ground target by pulsed laser circular-viewing detection. Infrared Laser Eng. 2018, 47, 0206001. [Google Scholar] [CrossRef]
- Kerse, C.; Kalaycıoğlu, H.; Elahi, P.; Çetin, B.; Kesim, D.K.; Akçaalan, Ö.; Yavaş, S.; Aşık, M.D.; Öktem, B.; Hoogland, H.; et al. Ablation-cooled material removal with ultrafast bursts of pulses. Nature 2016, 537, 84–88. [Google Scholar] [CrossRef] [PubMed]
- Coroado, J.; Ganguly, S.; Suder, W.; Williams, S.; Meco, S.; Pardal, G. Selection of parameters in nanosecond pulsed wave laser micro-welding. Int. J. Adv. Manuf. Technol. 2021, 115, 2929–2944. [Google Scholar] [CrossRef]
- Pajic, B.; Pajic-Eggspuehler, B.; Rathjen, C.; Resan, M.; Cvejic, Z. Why Use Ultrashort Pulses in Ophthalmology and Which Factors Affect Cut Quality. Int. J. Adv. Manuf. Technol. 2007, 33, 95–102. [Google Scholar] [CrossRef] [PubMed]
- Knowles, M.R.H.; Rutterford, G.; Karnakis, D.; Ferguson, A. Micro-machining of metals, ceramics and polymers using nanosecond lasers. Medicina 2021, 57, 700. [Google Scholar] [CrossRef]
- Refaat, T.F.; Ismail, S.; Nehrir, A.R.; Hair, J.W.; Crawford, J.H.; Leifer, I.; Shuman, T. Performance evaluation of a 1.6μm methane DIAL system from ground, aircraft and UAV platforms. Opt. Express 2013, 21, 30415–30432. [Google Scholar] [CrossRef]
- Lemmerz, C.; Lux, O.; Reitebuch, O.; Witschas, B.; Wührer, C. Frequency and timing stability of an airborne injection-seeded Nd:YAG laser system for direct-detection wind lidar. Appl. Opt. 2017, 56, 9057–9068. [Google Scholar] [CrossRef] [PubMed]
- Duan, J.L.; Li, X.D.; Wu, W.T.; Lin, S.; Fan, R.W.; Dong, Z.W.; Zhou, Z.G.; Chen, D.Y. Research on LD pumped 1.06μm burst-mode laser and the amplification systems. Infrared Laser Eng. 2019, 48, 82–86. [Google Scholar]
- Yi, J.; Lee, K.; Kim, Y.; Gwag, J.S.; Kwon, J.H. Comparison of CW pumping and quasi-CW pumping for a passively Q-switched Nd: YAG laser. J. Korean Phys. Soc. 2010, 57, 359–363. [Google Scholar] [CrossRef]
- Sandu, O.; Salamu, G.; Pavel, N.; Dascalu, T.; Chuchumishev, D.; Gaydardzhiev, A.; Buchvarov, I. High-peak power, passively Q-switched, composite, all-polycrystalline ceramic Nd:YAG/Cr4+:YAG lasers. Quantum Electron. 2012, 42, 211–215. [Google Scholar] [CrossRef]
- Yan, R.P.; Li, X.D.; Zhang, Y.B.; Liu, Z.X.; Wen, X.L.; Chen, D.Y.; Zhou, Z.X. High-repetition-rate, high-peak-power burst-mode laser with YAG/Nd:YAG/Cr4+:YAG composite crystal. Optik 2018, 175, 263–267. [Google Scholar] [CrossRef]
- Zhang, N.H.; Yao, M.J.; Ge, W.Q.; Zhang, H.B. Pulse Characteristics of Quasi Continuous-Wave Pumped Yb:KYW/Cr4+:YAG Q-Switched Laser. Laser Optoelectron. Prog. 2023, 60, 188–195. [Google Scholar]
- Zhang, N.H.; Xin, D.; Shan, Z.J.; Dong, F.X.; Zhou, X.Y.; Zhang, H.B.; Zheng, W.H. Burst-Mode Nd: YAG/Cr4+:YAG Laser With Tunable Pulse Chain Sequence and Intervals. IEEE J. Quantum Electron. 2024, 60, 1700107. [Google Scholar] [CrossRef]
- Wang, R.M.; Li, Y.; Zhou, G.L.; Liu, J.L.; Chen, X.Y. LD double ended co-polarization pumped Tm:YLF laser. Laser Infrared 2021, 51, 771–775. [Google Scholar]
- Wang, Y.; Jiang, M.H.; Hui, Y.L. Passively Q switched Nd:YAG/Cr4+:YAG microchip laser with low time jitter and high repetition rate. Acta Opt. Sin. 2018, 38, 1014004. [Google Scholar] [CrossRef]
- Sakai, H.; Kan, H.; Taira, T. >1 MW peak power single-modehigh-brightness passively Q-switched Nd3+:YAG microchip laser. Opt. Express 2008, 16, 19891–19899. [Google Scholar] [CrossRef]
- Zheng, Q.; Zhao, L. LD-pumped passively Q-switched Nd:YAG/KTP green laser. Acta Photonica Sin. 2002, 31, 60–62. [Google Scholar]
- He, H.S.; Zhang, M.M.; Dong, J.; Ueda, K.I. Linearly polarized pumped passively Q-switched Nd:YVO4 microchip laser for Ince–Gaussian laser modes with controllable orientations. J. Opt. 2016, 18, 125202. [Google Scholar] [CrossRef]
- Wang, X.B.; Lu, C.Y.; Liu, X.; Zeng, W.F.; Liu, J. Anisotropic of Cr4+:YAG affects to output characteristic in compact IOPO laser. Laser J. 2010, 31, 9–10. [Google Scholar]
- Tang, J.L.; Bai, Z.X.; Zhang, D.; Qi, Y.Y.; Ding, J.; Wang, Y.L.; Lu, Z.W. Advances in All-Solid-State Passively Q-Switched Lasers Based on Cr4+:YAG Saturable Absorber. Photonics 2021, 8, 93. [Google Scholar] [CrossRef]
- Zhang, N.H.; Zhang, H.B.; Yao, M.J.; Bian, S.W.; Zhou, R.Q.; Ge, W.Q.; Fan, Z.W. High-energy and high-beam-quality passively Q-switched Yb:KYW laser with extracavity frequency doubling. Opt. Eng. 2022, 61, 066111. [Google Scholar] [CrossRef]
- Guo, H.W.; Jia, C.Y.; Ye, S.; Yao, Y.P.; Ma, T.J.; Zhang, J.Y.; Bai, M.; Xia, J.B.; Nie, H.K.; Yao, B.; et al. Burst-Mode 355 nm UV Laser Based on a QCW LD-Side-Pumped Electro-Optical Q-Switched Nd: YAG Laser. Photonics 2024, 11, 1071. [Google Scholar] [CrossRef]








| Parameter | Value | Parameter | Value |
|---|---|---|---|
| /m2 | 6.5 × 10−23 | h/(J·s) | 6.63 × 10−34 |
| /m2 | 40 × 10−23 | c/(m·s−1) | 3 × 108 |
| /m2 | 7.8 × 10−23 | 0.5 | |
| /μs | 230 | 15 | |
| /μs | 30 | R | 0.85 |
| /μs | 3.4 | T0 | 0.91 |
| L/m−1 | 0.02 | /m−1 | 270 |
Disclaimer/Publisher’s Note: The statements, opinions and data contained in all publications are solely those of the individual author(s) and contributor(s) and not of MDPI and/or the editor(s). MDPI and/or the editor(s) disclaim responsibility for any injury to people or property resulting from any ideas, methods, instructions or products referred to in the content. |
© 2025 by the authors. Licensee MDPI, Basel, Switzerland. This article is an open access article distributed under the terms and conditions of the Creative Commons Attribution (CC BY) license (https://creativecommons.org/licenses/by/4.0/).
Share and Cite
Dang, X.; Zhang, N.; Wang, H.; Xin, D.; Li, T.; Zhang, W.; Zhou, X.; Zheng, W.; Zhang, H. Controllable Burst-Mode Nd3+:YAG/Cr4+:YAG Laser Pumped by 808 nm Polarization-Combined Laser Diodes. Photonics 2025, 12, 202. https://doi.org/10.3390/photonics12030202
Dang X, Zhang N, Wang H, Xin D, Li T, Zhang W, Zhou X, Zheng W, Zhang H. Controllable Burst-Mode Nd3+:YAG/Cr4+:YAG Laser Pumped by 808 nm Polarization-Combined Laser Diodes. Photonics. 2025; 12(3):202. https://doi.org/10.3390/photonics12030202
Chicago/Turabian StyleDang, Xincheng, Nihui Zhang, Hai Wang, Di Xin, Tongtong Li, Weiqiao Zhang, Xuyan Zhou, Wanhua Zheng, and Hongbo Zhang. 2025. "Controllable Burst-Mode Nd3+:YAG/Cr4+:YAG Laser Pumped by 808 nm Polarization-Combined Laser Diodes" Photonics 12, no. 3: 202. https://doi.org/10.3390/photonics12030202
APA StyleDang, X., Zhang, N., Wang, H., Xin, D., Li, T., Zhang, W., Zhou, X., Zheng, W., & Zhang, H. (2025). Controllable Burst-Mode Nd3+:YAG/Cr4+:YAG Laser Pumped by 808 nm Polarization-Combined Laser Diodes. Photonics, 12(3), 202. https://doi.org/10.3390/photonics12030202

