Recovering the Reduced Scattering and Absorption Coefficients of Turbid Media from a Single Image
Abstract
1. Introduction
2. Materials and Methods
2.1. Radiative Transfer Modelling via GPU-Based Monte Carlo Simulation
2.2. Parameter Estimation via Levenberg–Marquardt Fitting of Monte Carlo Simulated Data
- Initialisation: Accept an initial guess for the scattering and absorption coefficients. Use the MC simulation to obtain the corresponding intensity profile, and compute the cost function based on the discrepancy between the simulated and reference intensity curves. A gradient-based method then determines the direction and magnitude of the coefficient adjustments [34].
- Iteration: Update the optical coefficients and run the MC simulation to obtain the new intensity profile. Compute the new cost and decide whether to accept or reject the updated coefficients based on cost minimisation.
- Convergence: Repeat the iterative process until the algorithm converges on the optimal set of coefficients that best reproduce the reference intensity curve.
2.3. Setup of the Virtual Camera and Reference Data Computation
3. Results
3.1. Simple Geometry
3.2. Filter Setup
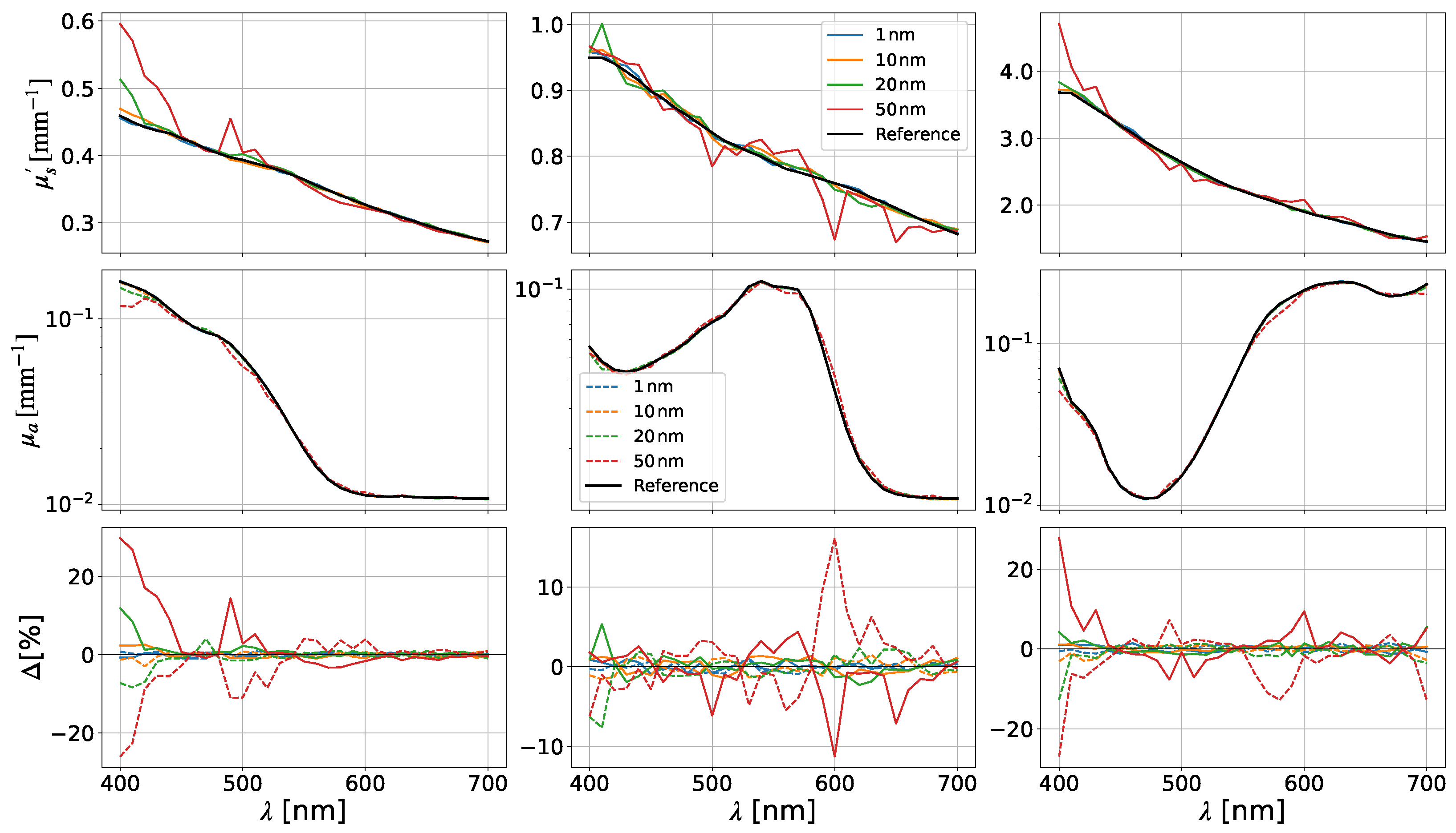
3.3. RGB–Channel Filters
3.4. Complex Geometry
4. Discussion
Author Contributions
Funding
Data Availability Statement
Conflicts of Interest
References
- Hevisov, D.; Foschum, F.; Wagner, M.; Kienle, A. Physically accurate rendering of translucent objects. Opt. Express 2025, 33, 22791–22804. [Google Scholar] [CrossRef]
- Kissel, A.; Nguyen, P.; Hevisov, D.; Foschum, F.; Kienle, A. Optical property-based rendering of 3D prints. Opt. Express 2025, 33, 15187–15206. [Google Scholar] [CrossRef] [PubMed]
- Foschum, F.; Bergmann, F.; Kienle, A. Precise determination of the optical properties of turbid media using an optimized integrating sphere and advanced Monte Carlo simulations. Part 1: Theory. Appl. Opt. 2020, 59, 3203–3215. [Google Scholar] [CrossRef]
- Bergmann, F.; Foschum, F.; Zuber, R.; Kienle, A. Precise determination of the optical properties of turbid media using an optimized integrating sphere and advanced Monte Carlo simulations. Part 2: Experiments. Appl. Opt. 2020, 59, 3216–3226. [Google Scholar] [CrossRef]
- Nothelfer, S.; Foschum, F.; Kienle, A. Goniometer for determination of the spectrally resolved scattering phase function of suspended particles. Rev. Sci. Instrum. 2019, 90, 083110. [Google Scholar] [CrossRef] [PubMed]
- Pickering, J.W.; Prahl, S.A.; van Wieringen, N.; Beek, J.F.; Sterenborg, H.J.C.M.; van Gemert, M.J.C. Double-integrating-sphere system for measuring the optical properties of tissue. Appl. Opt. 1993, 32, 399–410. [Google Scholar] [CrossRef] [PubMed]
- Nelson, N.B.; Prézelin, B.B. Calibration of an integrating sphere for determining the absorption coefficient of scattering suspensions. Appl. Opt. 1993, 32, 6710–6717. [Google Scholar] [CrossRef]
- Simpson, C.R.; Kohl, M.; Essenpreis, M.; Cope, M. Near-infrared optical properties of ex vivo human skin and subcutaneous tissues measured using the Monte Carlo inversion technique. Phys. Med. Biol. 1998, 43, 2465. [Google Scholar] [CrossRef]
- Terán, E.; Méndez, E.R.; Quispe-Siccha, R.; Peréz-Pacheco, A.; Cuppo, F.L.S. Application of single integrating sphere system to obtain the optical properties of turbid media. OSA Contin. 2019, 2, 1791–1806. [Google Scholar] [CrossRef]
- Frisvad, J.R.; Jensen, S.A.; Madsen, J.S.; Correia, A.; Yang, L.; Gregersen, S.K.S.; Meuret, Y.; Hansen, P.E. Survey of models for acquiring the optical properties of translucent materials. In Computer Graphics Forum; Wiley Online Library: Hoboken, NJ, USA, 2020; Volume 39, pp. 729–755. [Google Scholar]
- Van Veen, R.L.; Sterenborg, H.J.; Pifferi, A.; Torricelli, A.; Chikoidze, E.; Cubeddu, R. Determination of visible near-IR absorption coefficients of mammalian fat using time-and spatially resolved diffuse reflectance and transmission spectroscopy. J. Biomed. Opt. 2005, 10, 054004. [Google Scholar] [CrossRef]
- Bal, G. Inverse transport theory and applications. Inverse Probl. 2009, 25, 053001. [Google Scholar] [CrossRef]
- Gkioulekas, I.; Levin, A.; Zickler, T. An evaluation of computational imaging techniques for heterogeneous inverse scattering. In Proceedings of the Computer Vision–ECCV 2016: 14th European Conference, Amsterdam, The Netherlands, 11–14 October 2016; Proceedings, Part III 14. Springer: Berlin/Heidelberg, Germany, 2016; pp. 685–701. [Google Scholar]
- Narasimhan, S.G.; Gupta, M.; Donner, C.; Ramamoorthi, R.; Nayar, S.K.; Jensen, H.W. Acquiring scattering properties of participating media by dilution. In ACM SIGGRAPH 2006 Papers; Association for Computing Machinery: New York, NY, USA, 2006; pp. 1003–1012. [Google Scholar]
- Fuchs, C.; Chen, T.; Goesele, M.; Theisel, H.; Seidel, H.P. Density estimation for dynamic volumes. Comput. Graph. 2007, 31, 205–211. [Google Scholar] [CrossRef]
- Dong, B.; Moore, K.D.; Zhang, W.; Peers, P. Scattering parameters and surface normals from homogeneous translucent materials using photometric stereo. In Proceedings of the IEEE Conference on Computer Vision and Pattern Recognition, Columbus, OH, USA, 23–28 June 2014; pp. 2291–2298. [Google Scholar]
- Papas, M.; Regg, C.; Jarosz, W.; Bickel, B.; Jackson, P.; Matusik, W.; Marschner, S.; Gross, M. Fabricating translucent materials using continuous pigment mixtures. ACM Trans. Graph. (TOG) 2013, 32, 1–12. [Google Scholar] [CrossRef]
- Pranovich, A.; Hannemose, M.R.; Jensen, J.N.; Tran, D.M.; Aanæs, H.; Gooran, S.; Nyström, D.; Frisvad, J.R. Digitizing the appearance of 3D printing materials using a spectrophotometer. Sensors 2024, 24, 7025. [Google Scholar] [CrossRef] [PubMed]
- Elek, O.; Zhang, R.; Sumin, D.; Myszkowski, K.; Bickel, B.; Wilkie, A.; Křivánek, J.; Weyrich, T. Robust and practical measurement of volume transport parameters in solid photo-polymer materials for 3D printing. Opt. Express 2021, 29, 7568–7588. [Google Scholar] [CrossRef]
- Elek, O.; Sumin, D.; Zhang, R.; Weyrich, T.; Myszkowski, K.; Bickel, B.; Wilkie, A.; Krivanek, J. Scattering-aware texture reproduction for 3D printing. ACM Trans. Graph. 2017, 36, 241. [Google Scholar] [CrossRef]
- Iser, T.; Rittig, T.; Nogué, E.; Nindel, T.K.; Wilkie, A. Affordable spectral measurements of translucent materials. ACM Trans. Graph. (TOG) 2022, 41, 1–13. [Google Scholar] [CrossRef]
- Gkioulekas, I.; Zhao, S.; Bala, K.; Zickler, T.; Levin, A. Inverse volume rendering with material dictionaries. ACM Trans. Graph. (TOG) 2013, 32, 1–13. [Google Scholar] [CrossRef]
- Chen, Z.; Guo, J.; Lai, S.; Fu, R.; Kong, M.; Wang, C.; Sun, H.; Zhang, Z.; Li, C.; Guo, Y. Practical measurements of translucent materials with inter-pixel translucency prior. In Proceedings of the IEEE/CVF Conference on Computer Vision and Pattern Recognition, Seattle, WA, USA, 17–21 June 2024; pp. 20932–20942. [Google Scholar]
- Deng, X.; Luan, F.; Walter, B.; Bala, K.; Marschner, S. Reconstructing translucent objects using differentiable rendering. In Proceedings of the ACM SIGGRAPH 2022 Conference Proceedings, Vancouver, BC, Canada, 7–11 August 2022; pp. 1–10. [Google Scholar]
- Azinovic, D.; Li, T.M.; Kaplanyan, A.; Nießner, M. Inverse path tracing for joint material and lighting estimation. In Proceedings of the IEEE/CVF Conference on Computer Vision and Pattern Recognition, Long Beach, CA, USA, 15–20 June 2019; pp. 2447–2456. [Google Scholar]
- Levis, A.; Schechner, Y.Y.; Aides, A.; Davis, A.B. Airborne three-dimensional cloud tomography. In Proceedings of the IEEE International Conference on Computer Vision, Santiago, Chile, 7–13 December 2015; pp. 3379–3387. [Google Scholar]
- Leonard, L.; Westermann, R. Image-based reconstruction of heterogeneous media in the presence of multiple light-scattering. Comput. Graph. 2024, 119, 103877. [Google Scholar] [CrossRef]
- Khan, M.S.U.; Pagani, A.; Liwicki, M.; Stricker, D.; Afzal, M.Z. Three-dimensional reconstruction from a single RGB image using deep learning: A review. J. Imaging 2022, 8, 225. [Google Scholar] [CrossRef]
- Ding, D.; Sun, J. 3-D shape measurement of translucent objects based on fringe projection. IEEE Sens. J. 2023, 24, 3172–3179. [Google Scholar] [CrossRef]
- Feng, S.; Zhang, L.; Zuo, C.; Tao, T.; Chen, Q.; Gu, G. High dynamic range 3d measurements with fringe projection profilometry: A review. Meas. Sci. Technol. 2018, 29, 122001. [Google Scholar] [CrossRef]
- Xu, Y.; Zhao, H.; Jiang, H.; Li, X. High-accuracy 3D shape measurement of translucent objects by fringe projection profilometry. Opt. Express 2019, 27, 18421–18434. [Google Scholar] [CrossRef] [PubMed]
- Feng, S.; Zuo, C.; Zhang, L.; Tao, T.; Hu, Y.; Yin, W.; Qian, J.; Chen, Q. Calibration of fringe projection profilometry: A comparative review. Opt. Lasers Eng. 2021, 143, 106622. [Google Scholar] [CrossRef]
- Martelli, F.; Binzoni, T.; Del Bianco, S.; Liemert, A.; Kienle, A. Light Propagation Through Biological Tissue and Other Diffusive Media: Theory, Solutions, and Validations; SPIE Press: Bellingham, WA, USA, 2022. [Google Scholar]
- Transtrum, M.K.; Sethna, J.P. Improvements to the Levenberg-Marquardt algorithm for nonlinear least-squares minimization. arXiv 2012, arXiv:1201.5885. [Google Scholar]
- Tao, F.; Xiao, B.; Qi, Q.; Cheng, J.; Ji, P. Digital twin modeling. J. Manuf. Syst. 2022, 64, 372–389. [Google Scholar] [CrossRef]
- Haag, S.; Anderl, R. Digital twin–Proof of concept. Manuf. Lett. 2018, 15, 64–66. [Google Scholar] [CrossRef]
- Pranovich, A. Modelling Appearance Printing: Acquisition and Digital Reproduction of Translucent and Goniochromatic Materials; Linkopings Universitet: Linköping, Sweden, 2024. [Google Scholar]
- Patil, R.A.; Fairchild, M.D.; Johnson, G.M. 3D simulation of prints for improved soft proofing. In Proceedings of the Color and Imaging Conference, Aachen, Germany, 5–8 April 2004; Society of Imaging Science and Technology: Springfield, VA, USA, 2004; Volume 12, pp. 193–199. [Google Scholar]
- Liemert, A.; Reitzle, D.; Kienle, A. Analytical solutions of the radiative transport equation for turbid and fluorescent layered media. Sci. Rep. 2017, 7, 3819. [Google Scholar] [CrossRef]
- Liemert, A.; Geiger, S.; Kienle, A. Solutions for single-scattered radiance in the semi-infinite medium based on radiative transport theory. J. Opt. Soc. Am. A 2021, 38, 405–411. [Google Scholar] [CrossRef] [PubMed]
- Reitzle, D.; Geiger, S.; Liemert, A.; Kienle, A. Semianalytical solution for the transient temperature in a scattering and absorbing slab consisting of three layers heated by a light source. Sci. Rep. 2021, 11, 8424. [Google Scholar] [CrossRef]
- Geiger, S.; Liemert, A.; Reitzle, D.; Bijelic, M.; Ramazzina, A.; Ritter, W.; Heide, F.; Kienle, A. Single scattering models for radiative transfer of isotropic and cone-shaped light sources in fog. Opt. Express 2023, 31, 125–142. [Google Scholar] [CrossRef] [PubMed]
- Henyey, L.G.; Greenstein, J.L. Diffuse radiation in the galaxy. Astrophys. J. 1941, 93, 70–83. [Google Scholar] [CrossRef]
- Fresnel, A.J. Mémoire sur la loi des Modifications que la Réflexion Imprime à la Lumière Polarisée; De l’Imprimerie De Firmin Didot Fréres: Paris, France, 1834. [Google Scholar]
- Metropolis, N.; Ulam, S. The monte carlo method. J. Am. Stat. Assoc. 1949, 44, 335–341. [Google Scholar] [CrossRef]
- Sharma, G.; Wu, W.; Dalal, E.N. The CIEDE2000 color-difference formula: Implementation notes, supplementary test data, and mathematical observations. Color Res. Appl. 2005, 30, 21–30. [Google Scholar] [CrossRef]
- Wagner, M.; Fugger, O.; Foschum, F.; Kienle, A. Development of silicone-based phantoms for biomedical optics from 400 to 1550 nm. Biomed. Opt. Express 2024, 15, 6561–6572. [Google Scholar] [CrossRef] [PubMed]
- The Stanford 3D Scanning Repository. 2025. Available online: https://graphics.stanford.edu/data/3Dscanrep/ (accessed on 7 March 2025).















Disclaimer/Publisher’s Note: The statements, opinions and data contained in all publications are solely those of the individual author(s) and contributor(s) and not of MDPI and/or the editor(s). MDPI and/or the editor(s) disclaim responsibility for any injury to people or property resulting from any ideas, methods, instructions or products referred to in the content. |
© 2025 by the authors. Licensee MDPI, Basel, Switzerland. This article is an open access article distributed under the terms and conditions of the Creative Commons Attribution (CC BY) license (https://creativecommons.org/licenses/by/4.0/).
Share and Cite
Nguyen, P.; Hevisov, D.; Foschum, F.; Kienle, A. Recovering the Reduced Scattering and Absorption Coefficients of Turbid Media from a Single Image. Photonics 2025, 12, 1118. https://doi.org/10.3390/photonics12111118
Nguyen P, Hevisov D, Foschum F, Kienle A. Recovering the Reduced Scattering and Absorption Coefficients of Turbid Media from a Single Image. Photonics. 2025; 12(11):1118. https://doi.org/10.3390/photonics12111118
Chicago/Turabian StyleNguyen, Philipp, David Hevisov, Florian Foschum, and Alwin Kienle. 2025. "Recovering the Reduced Scattering and Absorption Coefficients of Turbid Media from a Single Image" Photonics 12, no. 11: 1118. https://doi.org/10.3390/photonics12111118
APA StyleNguyen, P., Hevisov, D., Foschum, F., & Kienle, A. (2025). Recovering the Reduced Scattering and Absorption Coefficients of Turbid Media from a Single Image. Photonics, 12(11), 1118. https://doi.org/10.3390/photonics12111118

