You are currently viewing a new version of our website. To view the old version click .
Photonics
  • Article
  • Open Access

24 October 2025

Solitons in a One-Dimensional Rhombic Waveguide Array

and
Department of Physics, Russian University of Transport (RUT-MIIT), 127994 Moscow, Russia
*
Author to whom correspondence should be addressed.
This article belongs to the Section Lasers, Light Sources and Sensors

Abstract

We present an analytical and numerical study of nonlinear wave localization in a one-dimensional rhombic (diamond) waveguide array that combines forward- and backward-propagating channels. This mixed-index configuration, realizable through Bragg-type couplers or corrugated waveguides, produces a tunable spectral gap and supports nonlinear self-localized states in both transmission and forbidden-band regimes. Starting from the full set of coupled-mode equations, we derive the effective evolution model, identify the role of coupling asymmetry and nonlinear coefficients, and obtain explicit soliton solutions using the method of multiple scales. The resulting envelopes satisfy a nonlinear Schrödinger equation with an effective nonlinear parameter θ , which determines the conditions for soliton existence ( θ > 0 ) for various combinations of focusing and defocusing nonlinearities. We distinguish solitons formed outside and inside the bandgap and analyze their dependence on the dispersion curvature and nonlinear response. Direct numerical simulations confirm the analytical predictions and reveal robust propagation and interactions of counter-propagating soliton modes. Order-of-magnitude estimates show that the predicted effects are accessible in realistic integrated photonic platforms. These results provide a unified theoretical framework for soliton formation in mixed-index lattices and suggest feasible routes for realizing controllable nonlinear localization in Bragg-type photonic structures.

1. Introduction

Nonlinear waveguide arrays provide a versatile platform for exploring the interplay between discreteness, nonlinearity, and dispersion in optical systems [1,2]. By tailoring their geometry and material composition, such arrays can support a wide variety of localized states, including discrete solitons, flat-band modes, and topological edge states [3,4,5,6,7,8,9]. Among different geometries, the rhombic (diamond) lattice is often associated with flat-band phenomena in purely transverse band diagrams [10,11,12,13,14].
An additional degree of freedom arises when combining waveguides with positive and negative refractive indices [15,16,17]. This mixed-index configuration modifies the coupling between sublattices and produces a band structure with a spectral gap and a flat band, thus creating favorable conditions for nonlinear localization [18,19]. While linear propagation in such systems has been investigated extensively, systematic analytical results for soliton formation remain scarce. Previous studies have reported soliton solutions only in reduced models, for instance, when nonlinearities were absent in two of the sublattices [14].
Moreover, it is worth emphasising that the realization of effectively negative refractive index channels in photonic structures need not rely solely on canonical metamaterials. In practice, backward-wave guidance, resonant coupling, and periodic waveguide or photonic crystal architectures can yield effective opposite-sign phase and energy velocities (and thus mimic “negative index” behaviour) in frequency windows of interest [20,21,22].
In this work, we present a comprehensive analytical derivation of soliton solutions in a one-dimensional rhombic waveguide array with both positive and negative refractive indices. Using the method of multiple scales, we construct longitudinal solitons in the form of envelope states propagating outside the gap, at the gap edge, and within the gap. Explicit conditions for soliton existence are obtained, revealing the role of nonlinearities and coupling asymmetry. Direct numerical simulations confirm the analytical predictions and demonstrate the robustness of the solutions.
The results presented here broaden the understanding of nonlinear localization in flat-band lattices with alternating refractive indices. Beyond their fundamental significance, they provide new opportunities for engineering robust localized states in complex photonic structures, with potential applications in light-guiding, switching, and integrated signal processing. To place our contribution in context, we next review the most relevant prior work in this area.

3. Theoretical Model

We consider wave propagation in a rhombic lattice of coupled nonlinear waveguides, schematically shown in Figure 1. To describe the system dynamics, we begin with the standard coupled-mode approach [16,55,56], which accounts for the mutual interaction of the electric field envelopes in the neighboring channels:
i 1 v a A t + σ a A x + k a b B e + i ω 1 z + k a c C e + i ω 2 z + μ a | A | 2 A = 0 , i 1 v b B t + σ b B x + k b a A e i ω 1 z + μ b | B | 2 B = 0 , i 1 v c C t + σ c C x + k c a A e i ω 2 z + μ c | C | 2 C = 0 .
Here, A , B , C are the slowly varying complex field amplitudes in the respective waveguides, v a , b , c are the group velocities, and σ a , b , c = ± 1 determine the propagation direction (forward or backward) of each channel. The coupling coefficients k i j describe the influence of the field in waveguide j on the field in waveguide i, μ a , b , c = n 2 ω 0 / ( c A eff ) are the nonlinear coefficients related to the Kerr response n 2 , and the effective mode area is A eff . Here, c is the speed of light in vacuum, and ω 0 is the carrier angular frequency. The terms with ω 1 , 2 represent small mismatches between propagation constants. If ω 1 = ω 2 , the exponential factors can be eliminated by redefining the envelopes, whereas for ω 1 ω 2 , the corresponding beating terms can be neglected under the assumption of synchronism ( ω 1 = ω 2 = 0 ) or for sufficiently short interaction lengths. We further restrict our consideration to slowly varying, quasi-continuous pulses, for which higher-order dispersion and Raman effects can be neglected [57].
Figure 1. Rhombic array of three types of waveguides A, B, and C. Nearest-neighbor coupling between A and B waveguides is set to unity, while the coupling between A and C waveguides is denoted by γ .
For simplicity, we assume symmetric coupling k a b = k b a and k a c = k c a . By introducing dimensionless variables and normalizing all coefficients, the system for the discrete array of waveguides, including the nearest-neighbor interactions, takes the form
i t + σ a x A n + B n + B n 1 + γ C n + C n 1 + μ a | A n | 2 A n = 0 , i t + σ b x B n + A n + A n + 1 + μ b | B n | 2 B n = 0 , i t + σ c x C n + γ A n + A n + 1 + μ c | C n | 2 C n = 0 ,
where all quantities have been renormalized, and γ denotes the relative coupling strength between sublattices A and C.
In our equations, the parameters σ a , b , c = ± 1 encode the sign of the group velocity in each channel (forward vs. backward propagation) rather than the sign of the material refractive index. Hence, a true negative-index medium is not required. A practical and widely used route is to realize a backward-propagating Bloch mode via Bragg reflection: integrated waveguides with shallow surface corrugations (distributed Bragg reflectors) or fiber/planar Bragg gratings. Near the Bragg condition, a forward wave couples to a counter-propagating wave; the coupled-mode equations are contra-directional and map directly onto Equation (2) with opposite signs of the / x terms [56,57,58]. In the rhombic geometry, this is achieved by designing one arm to support a backward Bragg mode while the central arm supports a forward mode, thus realizing the mixed-index (mixed- σ ) unit cell without invoking metamaterials.
In the linear regime ( μ a = μ b = μ c = 0 ), plane-wave solutions of the form
A n , B n , C n e i ( k x ω t + q n ) ,
lead to the dispersion relation
ω 2 = k 2 + 2 ( 1 + γ 2 ) ( 1 + cos q ) ,
in addition to a trivial branch ω = k . Here, ω is the temporal frequency, k is the longitudinal propagation constant along the array (continuous coordinate x), and q is the Bloch quasi-momentum associated with the discrete transverse index n.
Equation (3) reveals the presence of a forbidden bandgap
δ 2 = 2 ( 1 + γ 2 ) ( 1 + cos q ) ,
and a flat band (a q–independent branch that is flat with respect to the transverse Bloch wavenumber q) in the spectrum. These features are responsible for the existence of localized nonlinear excitations such as solitons. Previously, a soliton solution was obtained only in the reduced case of μ b = μ c = 0 [14], where system (2) simplifies to a two-waveguide model.
Analytical expressions for the field amplitudes in the linear regime of a rhombic waveguide array can be found in [59], where exact solutions of the coupled-mode equations were derived using the generating function method.
To facilitate the analysis of soliton formation in the system (2), the subsequent sections are organized as follows. In Section 4, we perform a linear analysis and highlight the key distinctions between arrays containing negative-index channels and conventional all-positive-index lattices [60,61,62]. For this purpose, we also consider an auxiliary configuration consisting of two coupled waveguides, whose properties are later inherited by the three-waveguide rhombic cell that constitutes our main object of study. In Section 5, we analyze modulated wave packets and identify the characteristic features that precede the formation of localized nonlinear states. Section 6 is devoted to constructing stable soliton configurations in different spectral regions and discussing their parameter dependence. Finally, in Section 7, we provide a physical interpretation of the obtained results and discuss the mechanisms responsible for soliton formation in mixed-index lattices.

4. Linear Problems

4.1. Three Waveguides with Positive Refractive Indices

We begin by recalling the properties of a homogeneous rhombic system consisting of three waveguides with σ a = σ b = σ c = + 1 . By substituting plane-wave solutions of the form e i ( k x + q n ω t ) into the governing Equation (2), we obtain the following linear algebraic system:
( ω k ) A + ( 1 + e i q ) B + γ ( 1 + e i q ) C = 0 , ( ω k ) B + ( 1 + e i q ) A = 0 , ( ω k ) C + γ ( 1 + e i q ) A = 0 ,
which can be regarded as an eigenvalue problem for ω (dispersion relation) with corresponding eigenvectors v = { A , B , C } .
This yields three branches of solutions:
ω I = 2 ( 1 + γ 2 ) ( 1 + cos q ) + k , v I ( q = 0 ) = 1 + γ 2 , 1 , γ , ω I I = 2 ( 1 + γ 2 ) ( 1 + cos q ) + k , v I I ( q = 0 ) = 1 + γ 2 , 1 , γ , ω I I I = k , v I I I ( q = 0 ) = { 0 , γ , 1 } .
Here, only the amplitude ratios { A , B , C } are essential, so we set q = 0 for convenience. Figure 2 illustrates the dispersion curves and the corresponding eigenvectors. Note that degeneracy occurs as q ± π . Importantly, the eigenvectors are constant in this case.
Figure 2. Dispersion relations ω I , I I (a) and corresponding eigenvectors v I , I I from Equation (6) (b,c).

4.2. A Pair of Waveguides

The two-waveguide system with σ a = + 1 and σ b = 1 is well known from Bragg scattering problems, and also appears in the context of waveguide arrays. Its governing equations are
i t + x A n + γ ( B n + B n + 1 ) = 0 , i t x B n + γ ( A n + A n 1 ) = 0 .
The dispersion relations and eigenvectors are given by
ω + = 2 γ 2 ( 1 + cos q ) + k 2 , v + ( q = 0 ) = { k + k 2 + 4 γ 2 , 2 γ } , ω = 2 γ 2 ( 1 + cos q ) + k 2 , v ( q = 0 ) = { k + k 2 + 4 γ 2 , 2 γ } .
Unlike the previous case, the eigenvectors v ± , i.e., the amplitudes in A and B, now depend explicitly on the wave number k. For k γ , suppression occurs in one of the channels (Figure 3):
{ k + k 2 + 4 γ 2 , 2 γ } { 1 , 0 } , { k + k 2 + 4 γ 2 , 2 γ } { 0 , 1 } .
This feature is characteristic of arrays with alternating positive and negative refractive indices.
Figure 3. Dispersion relations ω ± (a) and corresponding eigenvectors v ± from Equation (8) (b,c).

4.3. Three Waveguides with Alternating Refractive Indices

Finally, we focus on the system of principal interest in this study, namely the array characterized by σ a = + 1 and σ b = σ c = 1 :
i t + x A n + ( B n + B n 1 ) + γ ( C n + C n 1 ) = 0 , i t x B n + ( A n + A n + 1 ) = 0 , i t x C n + γ ( A n + A n + 1 ) = 0 .
Its dispersion relations and eigenvectors are
ω 1 = 2 ( 1 + γ 2 ) ( 1 + cos q ) + k 2 , v 1 ( q = 0 ) = k + 4 ( 1 + γ 2 ) + k 2 , 2 , 2 γ , ω 2 = 2 ( 1 + γ 2 ) ( 1 + cos q ) + k 2 , v 2 ( q = 0 ) = k + 4 ( 1 + γ 2 ) + k 2 , 2 , 2 γ , ω 3 = k , v 3 ( q = 0 ) = { γ , 0 , 1 } .
Equations (10) can be rearranged to highlight the effective pair interaction between A and B + γ C :
i t x ( B n + γ C n ) + ( 1 + γ 2 ) ( A n + A n + 1 ) = 0 ,
i t x ( B n γ C n ) + ( 1 γ 2 ) ( A n + A n + 1 ) = 0 .
This representation clarifies that the system supports suppression of light in two different modes. For k γ , 1 , one finds
{ k 4 ( 1 + γ 2 ) + k 2 , 2 , 2 γ } { 1 , 0 , 0 } , { k + 4 ( 1 + γ 2 ) + k 2 , 2 , 2 γ } { 0 , 1 , γ } .
Thus, one can control light distribution among the waveguides using high-frequency wave packets. The corresponding mode profiles are shown in Figure 4.
Figure 4. Dispersion relations ω 1 , 2 (a) and eigenvectors v 1 , 2 from Equation (11) (b,c).
Interestingly, these modes propagate with different group velocities ω / k , similar to the case of the two-waveguide system. From an application perspective, this suggests the possibility of transmitting signals in opposite directions along different channels (A versus B , C ). Interactions between such counter-propagating packets would occur at their crossing points, a phenomenon that merits further investigation beyond the scope of this work.
Note that ω 3 = k is independent of q, which suppresses transverse diffraction for that branch, yet the longitudinal dispersion persists through k–dependence. The soliton families constructed below do not require compact-localized eigenstates; their parameters are set by the longitudinal curvature ω k k and the nonlinear coefficient θ (see below).

5. Modulated Linear Waves

The study of ordinary linear waves is an important but not sufficient part of the study of wave packet propagation. Here, we will touch upon the topic of modulated packets and their characteristics for the case σ a = + 1 and σ b = σ c = 1 .
We now proceed from the full array of waveguides (Equation (2)) to a single elementary cell by setting
A n = A e i q n , B n = B e i q n , C n = C e i q n .
This reduction yields three coupled equations. Their solutions are sought in the form of slowly modulated wave packets [53,54]:
A ( x , t ) = A ˜ ( ξ ) e i ( k x ω t + φ ( ξ ) ) ,
B ( x , t ) = B ˜ ( ξ ) + i b ˜ ( ξ ) e i ( k x ω t + φ ( ξ ) ) ,
C ( x , t ) = C ˜ ( ξ ) + i c ˜ ( ξ ) e i ( k x ω t + φ ( ξ ) ) ,
where ξ = x V t is the comoving coordinate moving with velocity V, which physically corresponds to the group velocity of the envelope, A ˜ , B ˜ , C ˜ are real-valued slowly varying amplitudes of the three sublattice fields, b ˜ , c ˜ denote small quadrature components accounting for phase shifts between the B and C sublattice waves and the reference phase, and φ ( ξ ) is the slowly varying envelope phase. Here, ω is the carrier frequency of the wave packet and k is the longitudinal wave number along the array.
Substitution into Equation (2) yields the following system:
i ( 1 V ) A ˜ ˙ k ω + ( 1 V ) φ ˙ A ˜ + ( 1 + e i q ) B ˜ + i b ˜ + γ ( C ˜ + i c ˜ ) + μ a A ˜ 3 = 0 , i ( 1 + V ) B ˜ ˙ + i b ˜ ˙ + ( k + ω + ( 1 + V ) φ ˙ ) B ˜ + i b ˜ + A ˜ ( 1 + e i q ) + μ b B ˜ 2 + b ˜ 2 ( B ˜ + i b ˜ ) = 0 , i ( 1 + V ) C ˜ ˙ + i c ˜ ˙ + ( k + ω + ( 1 + V ) φ ˙ ) C ˜ + i c ˜ + A ˜ ( 1 + e i q ) + μ c C ˜ 2 + c ˜ 2 ( C ˜ + i c ˜ ) = 0 .
Here, dots denote derivatives with respect to ξ . By separating the real and imaginary parts, one obtains a closed system of six equations, which will be analyzed below.
By setting A , B , C = const and linearizing these equations, we obtain dispersion law (3).
Now let us consider an exponentially modulated packet, which we will need to find soliton solutions. To carry this out, we assume the amplitude functions are exp ( Ω ξ ) and linearize the system of six equations obtained from Equation (19). This linear system does not contain φ , since it was included in the form of multiplication by amplitude functions. Thus, we have five unknowns and six equations in a system whose compatibility is possible only under the fulfillment of two conditions:
k m 2 = Ω 2 + ω m 2 2 ( 1 + γ 2 ) ( 1 + cos q ) 1 + Ω 2 / ω m 2 ,
V m = k m / ω m ,
where we use the index m to emphasize that ω and k belong to the dispersion law of modulated waves. Their meaning is easily revealed in the limit of Ω 0 : the first is the dispersion law (3) written in an inverted form, and the second is the group velocity. Relation (20) implies that when | Ω | 0 , the gap in the spectrum narrows (it closes at | Ω | 2 ( 1 + γ 2 ) ( 1 + cos q ) ), and we have the opportunity to utilize previously inaccessible harmonics. Generally speaking, at q π , the gap in the spectrum closes, as can be seen in Figure 4, but we note that at q = ± π , the spectrum becomes degenerate. Formula (20) states that for exponentially modulated packets, the gap closes even at a fixed q, without spectral degradation (Figure 5). Based on this fact, in the next section, we will obtain gap solitons at a fixed q.
Figure 5. Dispersion relation (20) for modulated waves.
Let us show what the eigenvectors { A ˜ , B ˜ , b ˜ , C ˜ , c ˜ } look like in the presence of modulation Ω , using the decomposition ω m ± :
for ω m + v 1 m ( q = 0 ) = { 2 ω m 2 , ω m , Ω , ω m γ , Ω γ } for ω m v 2 m ( q = 0 ) = { ( 1 + γ 2 ) , 2 | ω m | , 2 Ω , 2 | ω m | γ , 2 Ω γ } .
As we can see, modulation does not have a significant impact. Assuming weak modulation Ω ω m , we again arrive at the vectors (14).

6. Solitons

We will assume Ω = ε ω with ε 1 , since we want to consider wave packets containing a large number of oscillations. To analyze the soliton envelope, we then switch to the slow variable Ω ξ .

6.1. Outside the Gap ( ω m > δ )

Since a small parameter ε is present in our problem, we expand the solution as a power series:
{ A ˜ , B ˜ , b ˜ , C ˜ , c ˜ , φ } = n = 1 ε n { A ˜ n , B ˜ n , b ˜ n , C ˜ n , c ˜ n , φ n } .
We also expand the dispersion relation:
k = k 0 + k 2 ε 2 + o ( ε 2 ) ,
where for brevity we introduce
k 0 = ω m 2 δ 2 , k 2 = δ 2 2 ω m 2 δ 2 .
Here, δ denotes the gap width (see Equation (4)).
Substituting these expansions into system (19), separating real and imaginary parts, and analyzing terms of each order in ε , we obtain the following results.
At order ε :
B ˜ 1 = C ˜ 1 γ = α ω m + k 0 A ˜ 1 , { b ˜ 1 , c ˜ 1 } = β α { B ˜ 1 , C ˜ 1 } .
At order ε 3 :
A ˜ ¨ 1 = A ˜ 1 2 θ ( A ˜ 1 ) 3 ,
which is the standard nonlinear oscillator equation admitting a soliton solution, where
θ = δ 2 2 ( 1 + γ 2 ) 2 ( ω m + k 0 ) 3 μ b + γ 4 μ c + μ a ( ω m + k 0 ) 2 ( 1 + γ 2 ) δ 2 .
Thus, to lead the order in ε , the soliton solution takes the form
A ˜ ( ξ ) = ε e i ( k m x ω m t ) θ cosh ( Ω ξ / 2 ) .
Equation (25) then determines the corresponding soliton profiles in the B and C waveguides. From Equation (25), it is clear that the ratio of amplitudes approximately satisfies Equation (22). The number of internal oscillations within the soliton is controlled by the scaling Ω 1 / ε , while the peak amplitude scales as ∼ ε .
In Figure 6, we illustrate the collision of solitons corresponding to the eigenvectors given in Equation (14), where the fields are nearly suppressed in certain channels. The trajectories of solitons are shown for different values of q. It can be verified that both branches ω 1 , 2 allow for θ > 0 . In particular, a simple asymptotic analysis in the limit ω 1 demonstrates that for μ a = μ b , c = 1 , both modes can simultaneously support soliton formation.
Figure 6. Oncoming movement of solitons from different modes for ω = ± 12 , γ = 2 , ε = 0.03 , μ a = μ b , c = 1 .
Solitons obtained outside the spectral gap correspond to nonlinear envelope states that can propagate across the array without distortion. In this regime, the carrier frequency lies well within the transmission band, and localization arises primarily from the balance between dispersion and nonlinearity. As a result, these solitons resemble conventional envelope solitons in continuous media, yet are strongly modified by the underlying lattice geometry and the alternating refractive indices of the waveguides.

6.2. On the Gap and Inside the Gap ( ω δ )

The expansion of the dispersion relation (24) at the band edge ( ω = δ ) is
k = ε δ + o ( ε 2 ) = ε k 1 + o ( ε 2 ) ,
with k 1 = ω = δ .
Inside the gap, we set ω = δ d · ε 2 , which yields
k = ε δ 2 2 d δ + o ( ε 2 ) = ε k 1 + o ( ε 2 ) ,
where k 1 = δ 2 2 d δ and hence d δ / 2 . Since the two expansions are identical up to notation, the resulting system of equations derived from Equation (19) must coincide in both cases.
At order ε we obtain
B ˜ 1 = C ˜ 1 γ = α δ A ˜ 1 , { b ˜ 1 , c ˜ 1 } = β α { B ˜ 1 , C ˜ 1 } .
At order ε 3 we arrive at
A ˜ ¨ 1 = A ˜ 1 2 θ ( A ˜ 1 ) 3 ,
with
θ = 1 δ ( 1 + γ 2 ) 2 ( 1 + γ 2 ) 2 μ a + μ b + γ 4 μ c .
The form of the soliton solution is the same as in Equation (28). The difference is that the characteristic number of oscillations supported by this soliton is of order k / Ω 1 . For example, if we set d = δ / m , then according to Equation (21), the soliton velocity is approximately
V ε 1 2 / m .
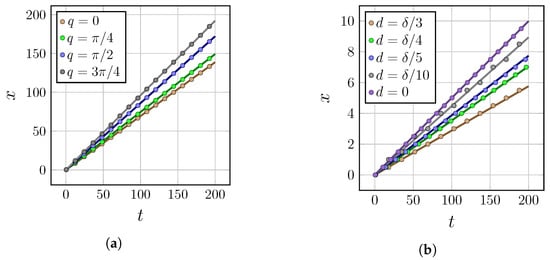
In Figure 7, the analytical trajectories are compared with direct numerical simulations. The agreement confirms that solitons can propagate both outside and inside the forbidden gap.
Figure 7. Trajectories of solitons in a rhombic waveguide array with mixed positive- and negative-index channels. Circles represent numerical simulations, while solid lines show the analytical prediction according to Equation (21). Panel (a) corresponds to soliton propagation outside the forbidden gap ( ω = 5 ), and panel (b) shows the case of solitons inside the gap ( q = 0 ). Parameters: γ = 1.5 , ε = 0.05 .
The type of solution is the same as that described in Equation (32). The difference is that the characteristic number of oscillations carried by this soliton is on the order of k / Ω 1 . If we put d = δ / m for simplicity, then the velocity of the soliton is approximately equal to ε 1 2 / m according to Equation (21). Figure 7b shows the soliton trajectories for different values of the d.
The situation inside the forbidden gap differs qualitatively from that outside the gap. Here, linear modes cannot propagate, but nonlinearity enables the formation of localized states that effectively “self-create” a propagation channel. These gap solitons owe their existence to the delicate compensation between the bandgap-induced evanescence and the nonlinear phase shift. Consequently, they are more strongly localized than their outside-the-gap counterparts and exhibit only a small number of oscillations within their envelope, as confirmed by the analytical estimates of their velocity and structure.

7. Formation of Solitons

7.1. Benchmark Against Bragg-Type Couplers and Standard Metrics

To connect our model to well-established results, consider the reduction of Equation (2) at q = 0 with γ = 1 and μ c = 0 , which suppresses one arm of the rhombic cell. In this limit, the system reduces to a contra-directional (Bragg-type) two-mode coupler for { A , B } with forward–backward coupling and a bandgap centered at ω = ± k , recovering the classical coupled-mode description of gap solitons [56,57,58]. The dispersion curves (8) and the group velocity v g = ω / k coincide with the textbook Bragg model, while our mixed-index rhombic array generalizes it by (i) an additional arm C and (ii) the tunable asymmetry parameter γ .
For later use, we also record the standard soliton metrics in the nonlinear Schrödinger (NLS) equation reduction (42). Writing the envelope equation in the canonical form
i U τ + 1 2 β 2 eff 2 U ξ 2 + γ eff | U | 2 U = 0 ,
we identify β 2 eff = 2 ω k k and γ eff = θ . The soliton number (a commonly used metric) for an initial pulse of duration T 0 and peak envelope U 0 is
N 2 = L D L N L = T 0 2 | β 2 eff | γ eff U 0 2 = T 0 2 2 | ω k k | θ U 0 2 .
Fundamental solitons correspond to N 1 ; higher N predicts fission into multi-soliton trains. Equation (35) will be used below to estimate experimental power levels.

7.2. Formation of the Soliton Profile

When considering an extended array of coupled waveguides, it is not sufficient to launch identical single–waveguide soliton profiles into each channel to obtain a collective soliton inside the structure. As follows from the dispersion analysis, each individual channel supports waves with a normalized group velocity v = 1 , whereas the collective modes of the array propagate with a reduced effective velocity V = k / ω (see Equation (21) and Figure 4), which is always smaller than unity. Consequently, the temporal envelopes of simultaneously injected pulses become progressively desynchronized along the propagation direction. If the initial pulse duration is T 0 , its spatial length v T 0 contracts to V T 0 , implying that the peak power of the coupled pulse increases approximately as P P in v / V .
Physically, the reduced velocity of the composite wave arises from the interference between counter-propagating components, analogous to the mechanism observed in Bragg reflection waveguides [56]. In our system, two eigenmodes ω 1 , 2 with eigenvectors v 1 , 2 correspond to forward- and backward-propagating waves. Any excitation inside the array inevitably contains both components, and their interference leads to a net slowdown of the resulting envelope.
To analyze how an input pulse evolves into localized nonlinear states, we consider, following [58], the case q = 0 in Equations (2) and (11). We represent the total field vector as a superposition of the two eigenmodes ω ± :
V = B A C = ε U v + + ε 2 W v e i ( k x 0 ω + t 0 ) ,
where U and W are the slowly varying modal amplitudes (Bloch envelopes). Introducing the multiple-scale expansion
t = t 0 + ε t 1 + , x = x 0 + ε x 1 + ,
and substituting Equation (36) into the evolution system, we obtain
i E t + i E x + L + N V = 0 ,
where E is the identity matrix
E = 1 0 0 0 1 0 0 0 1 , L = 0 2 0 2 0 γ 0 2 γ 0 , N = E μ b | B | 2 μ a | A | 2 μ c | C | 2 .
At order ε 2 , one obtains
i t 1 + E x 1 v + U = ( ω ω + ) v W .
Multiplying from the left by v + T and v T gives
t 1 + v g x 1 U = 0 , W = v T E v + ( ω ω + ) v T v U x 1 ,
where v g = ( v + T E v + ) / ( v + T v + ) = ω + / k is the group velocity. Hence, U and W depend on x 1 and t 1 only through ξ 1 = x 1 v g t 1 .
Proceeding to order ε 3 , we obtain the nonlinear Schrödinger equation for the envelope U:
i U t 2 + v g U x 2 + ω k k 2 U ξ 1 2 θ | U | 2 U = 0 ,
where ω k k = 2 ω / k 2 and θ = v T N v + defines the effective nonlinear coefficient. Equation (42) coincides with the standard nonlinear Schrödinger equation, implying that the system supports stable solitons provided θ > 0 . This condition links the nonlinear coefficients μ a , b , c in the same manner as derived in the previous section.
If θ > 0 , the evolution of a sufficiently strong initial pulse leads to the formation of a dispersive shock wave, which subsequently breaks into a soliton train [63,64]. The number of emerging solitons can be estimated using the well-known Bohr–Sommerfeld quantization rule for the integrable NLS equation [65,66]. In the dimensionless variables t θ t and x x θ / ω k k , and for
U ( x , t ) = ρ ( x , t ) exp i 0 x v ( x , t ) d x ,
the approximate number of solitons N generated from an initial smooth pulse is
N 1 2 π + p ( ρ ( x ) , v ( x ) , 0 ) d x ,
where p 2 ( ρ , v , q ) = ( q v ( x ) ) 2 4 ρ ( x ) . The discrete soliton parameters correspond to quantized values q n satisfying
x 1 ( q n ) x 2 ( q n ) p ( ρ ( x ) , v ( x ) , q n ) d x = 2 π n ,
with x 1 , 2 being the turning points defined by p = 0 . This approach provides a natural physical picture for the transformation of an incoming nonlinear pulse into a sequence of solitons within the rhombic lattice.
In practice, the expected number of emerging solitons and the corresponding power thresholds follow from (35) and (45) for the chosen operating point ( k , q ) .

7.3. Order-of-Magnitude Power Levels

To provide an intuitive scale, we translate the NLS envelope (42) to physical units. Let A phys denote the optical field envelope in one arm, with nonlinear coefficient γ NL = n 2 ω 0 / ( c A eff ) (SI units) and effective second-order dispersion β 2 eff = 2 ω k k extracted from the linear spectrum at the operating point. For a transform-limited input pulse of duration T 0 and peak power P 0 , the fundamental-soliton condition ( N 1 ) in the canonical NLS form is [57]:
P 0 | β 2 eff | γ NL T 0 2 .
Typical parameters for integrated platforms in the telecom band are as follows:
  • Si3N4 waveguidesat λ 0 1550 nm: n 2 2.4 × 10 19 m2/W, A eff 0.5 1.0 μ m2 γ NL 0.6 1.2 W−1m−1 [67,68].
  • Effective dispersion near a Bragg point can reach | β 2 eff | 10 25 s2/m, depending on design [69].
Inserting T 0 = 1 ps and these values into Equation (45) gives P 0 0.05 0.2 W, while for T 0 = 100 fs the estimate increases to several watts, consistent with the 1 / T 0 2 scaling. Such levels are routinely achieved in pulsed on-chip experiments. In our mixed-index lattice, the effective coefficients β 2 eff and γ eff = θ are tunable through the operating point ( k , q ) and coupling ratio γ , allowing a reduction of P 0 by approaching steeper portions of the dispersion (larger | ω k k | ) while maintaining θ > 0 .

7.4. Concrete Device Sketches

Two practical realizations compatible with the present theory are as follows:
  • Corrugated (Bragg) rhombic cell. The A-arm is a straight waveguide (forward mode), while the B/C arms incorporate weak Bragg corrugations tuned to contra-directionally couple forward/backward Bloch modes at the operating wavelength. The lattice constant is set by the horizontal pitch of the rhombi; the grating period obeys Λ λ 0 / ( 2 n eff ) .
  • FBG-assisted coupler chain. A 1D array in which every second arm carries a shallow Bragg grating (backward mode), interleaved with unmodulated arms (forward mode). The nearest-neighbour couplings implement the rhombic connectivity; the coupling asymmetry is adjusted to set γ .
Both designs map directly onto Equation (2) with σ a = + 1 , σ b , c = 1 and support the soliton families constructed in Section 3, Section 4, Section 5, Section 6 and Section 7.

8. Conclusions

We have investigated nonlinear wave localization in a rhombic waveguide array composed of three types of waveguides, including channels with opposite signs of the refractive index. Within this framework, longitudinal soliton solutions were derived in the form of exponentially modulated envelope states that propagate robustly across all three sublattices. Their analytical description was obtained using the method of multiple scales.
In contrast to conventional rhombic lattices with only positive refractive indices, the inclusion of a negative-index channel enables selective control of the field intensity within individual cells of the structure, offering enhanced tunability for potential applications. Numerical simulations demonstrate that pulses propagating through such mixed-index arrays can exhibit asymmetric suppression of individual field components and mutual interactions between counter-propagating waves, consistent with the analytical predictions.
The existence of soliton solutions is governed by the effective nonlinear parameter θ , defined by Equations (27) and (33). Solitons arise whenever θ > 0 , which imposes explicit constraints on the nonlinear coefficients μ a , b , c and allows for various combinations of focusing and defocusing nonlinearities. Direct numerical simulations confirm the analytical results and illustrate the robustness of the obtained soliton families across a broad range of parameters.
Furthermore, by reducing the initial system to a nonlinear Schrödinger equation for the Bloch envelope describing the superposition of forward- and backward-propagating fields, we have outlined a mechanism for soliton formation from an intense smooth input pulse. Within this approach, the number and parameters of emergent solitons can be evaluated using standard methods of the integrable NLS theory, linking the present model to the broader framework of dispersive shock waves and soliton trains in nonlinear optics.
Our results highlight several important aspects of nonlinear localization in rhombic lattices with positive- and negative-index waveguides. First, the interplay between the spectral gap and the coupling asymmetry between forward- and backward-propagating channels strongly affects the conditions for localization, enabling both outside-the-gap and gap solitons. Second, the explicit dependence of the soliton parameter on the nonlinear coefficients provides a route to engineer and control the stability of localized states. From a broader perspective, these findings are conceptually related to recent studies of solitons in lattices with suppressed diffraction or engineered dispersion [28,29,70,71], and open possibilities for applications in robust light guiding, nonlinear filtering, and compact photonic devices.
In this study, we neglected linear losses, higher-order dispersion, self-steepening, Raman scattering, and structural disorder. These effects can, in principle, be included perturbatively and are not expected to alter the fundamental soliton existence condition θ > 0 , although they may impose practical limitations on the achievable soliton length and interaction distance. The nonlinear Schrödinger reduction used here assumes slowly varying envelopes and operation away from strong avoided crossings, except near the targeted Bragg resonance.
Beyond their fundamental interest, the presented analytical framework can be extended to higher-dimensional and topological lattices, offering new insights into nonlinear effects in structured photonic media and paving the way for controllable soliton-based light transport in integrated photonic circuits.

Author Contributions

Conceptualization, N.V.B. and D.V.S.; methodology, D.V.S.; formal analysis, D.V.S.; writing—original draft preparation, D.V.S. and N.V.B.; writing—review and editing, N.V.B.; visualization, D.V.S. and N.V.B.; supervision, N.V.B.; project administration, N.V.B.; funding acquisition, N.V.B. All authors have read and agreed to the published version of the manuscript.

Funding

This research was carried out with budgetary funding as part of applied scientific research activities under the state assignment, dated 20 March 2025, No. 103-00001-25-02 (code 5).

Data Availability Statement

Data is contained within the article.

Acknowledgments

D.S. is deeply grateful to his teacher, A.M. Kamchatnov, for his constant guidance and valuable support throughout this work. The approach to finding soliton solutions used in this study was originally suggested by him. N.B. gratefully acknowledges his teacher, A.I. Maimistov (1951–2022), for many enlightening discussions on this subject, which greatly influenced the author’s understanding of nonlinear wave phenomena.

Conflicts of Interest

The authors declare no conflicts of interest.

References

  1. Ablowitz, M.J.; Cole, J.T. Nonlinear optical waveguide lattices: Asymptotic analysis, solitons, and topological insulators. Phys. D Nonlinear Phenom. 2022, 440, 133440. [Google Scholar] [CrossRef]
  2. Lederer, F.; Stegeman, G.I.; Christodoulides, D.N.; Assanto, G.; Segev, M.; Silberberg, Y. Discrete solitons in optics. Phys. Rep. 2008, 463, 1–126. [Google Scholar] [CrossRef]
  3. Kang, J.; Wei, R.; Zhang, Q.; Dong, G. Topological Photonic States in Waveguide Arrays. Adv. Phys. Res. 2023, 2, 2200053. [Google Scholar] [CrossRef]
  4. Smirnova, D.; Leykam, D.; Chong, Y.; Kivshar, Y. Nonlinear topological photonics. Appl. Phys. Rev. 2020, 7, 021306. [Google Scholar] [CrossRef]
  5. Hofstrand, A.; Li, H.; Weinstein, M.I. Discrete Breathers of Nonlinear Dimer Lattices: Bridging the Anti-continuous and Continuous Limits. J. Nonlinear Sci. 2023, 33, 49. [Google Scholar] [CrossRef]
  6. Leykam, D.; Andreanov, A.; Flach, S. Artificial flat band systems: From lattice models to experiments. Adv. Phys. X 2018, 3, 1473052. [Google Scholar] [CrossRef]
  7. Danieli, C.; Andreanov, A.; Leykam, D.; Flach, S. Flat band fine-tuning and its photonic applications. Nanophotonics 2024, 13, 3925–3944. [Google Scholar] [CrossRef] [PubMed]
  8. Poblete, R.A.V. Photonic flat band dynamics. Adv. Phys. X 2021, 6, 1878057. [Google Scholar] [CrossRef]
  9. Tan, D.X.T.H. Topological silicon photonics. Adv. Photonics Res. 2021, 2, 2100010. [Google Scholar] [CrossRef]
  10. Longhi, S. Aharonov–Bohm photonic cages in waveguide and coupled resonator lattices by synthetic magnetic fields. Opt. Lett. 2014, 39, 5892–5895. [Google Scholar] [CrossRef]
  11. Mukherjee, S.; Thomson, R.R. Observation of localized flat-band modes in a quasi-one-dimensional photonic rhombic lattice. Opt. Lett. 2015, 40, 5443–5446. [Google Scholar] [CrossRef]
  12. Zegadlo, K.; Dror, N.; Viet Hung, N.; Trippenbach, M.; Malomed, B.A. Single and double linear and nonlinear flatband chains: Spectra and modes. Phys. Rev. E 2017, 96, 012204. [Google Scholar] [CrossRef] [PubMed]
  13. Roy, N.; Ramachandran, A.; Sharma, A. Interplay of disorder and interactions in a flat-band supporting diamond chain. Phys. Rev. Res. 2020, 2, 043395. [Google Scholar] [CrossRef]
  14. Maimistov, A.I.; Lyashko, E.I.; Elyutin, E.O. Localized waves in the nonlinear rhombic waveguide array. J. Phys. Conf. Ser. 2020, 1628, 012010. [Google Scholar] [CrossRef]
  15. Veselago, V.G. The electrodynamics of substances with simultaneously negative values of ϵ and μ. Sov. Phys. Usp. 1968, 10, 509–514. [Google Scholar] [CrossRef]
  16. Litchinitser, N.M.; Gabitov, I.R.; Maimistov, A.I. Optical Bistability in a Nonlinear Optical Coupler with a Negative Index Channel. Phys. Rev. Lett. 2007, 99, 113902. [Google Scholar] [CrossRef]
  17. Bykov, N.V.; Maimistov, A.I. Diffraction of electromagnetic radiation near an interface between discrete positive and negative refractive media. Bull. Russ. Acad. Sci. Phys. 2016, 80, 770–773. [Google Scholar] [CrossRef]
  18. Zezyulin, D.A.; Konotop, V.V.; Abdullaev, F.K. Discrete solitons in arrays of positive and negative index waveguides. Opt. Lett. 2012, 37, 3930–3932. [Google Scholar] [CrossRef]
  19. Dovgiy, A.A.; Besedin, I.S. Discrete gap solitons in binary positive-negative index nonlinear waveguide arrays with strong second-order couplings. Phys. Rev. E 2015, 92, 032904. [Google Scholar] [CrossRef]
  20. Hill, M.T. Optical waveguide switch based on a negative-index metamaterial load. Opt. Lett. 2023, 48, 948–951. [Google Scholar] [CrossRef]
  21. De Corte, A.; Koufidis, S.F.; McCall, M.W.; Maes, B. Exceptional points in negatively refracting chirowaveguides due to giant chirality. Phys. Rev. A 2024, 110, 053513. [Google Scholar] [CrossRef]
  22. Mutter, P.; Laurell, F.; Pasiskevicius, V.; Zukauskas, A. Backward wave optical parametric oscillation in a waveguide. npj Nanophotonics 2024, 1, 38. [Google Scholar] [CrossRef]
  23. Braunstein, S.L.; Faizal, M.; Krauss, L.M.; Marino, F.; Shah, N.A. Analogue simulations of quantum gravity with fluids. Nat. Rev. Phys. 2023, 5, 612–622. [Google Scholar] [CrossRef]
  24. Nguyen, H.S.; Gerace, D.; Carusotto, I.; Sanvitto, D.; Galopin, E.; Lemaître, A.; Sagnes, I.; Bloch, J.; Amo, A. Acoustic Black Hole in a Stationary Hydrodynamic Flow of Microcavity Polaritons. Phys. Rev. Lett. 2015, 114, 036402. [Google Scholar] [CrossRef]
  25. Altman, E.; Brown, K.R.; Carleo, G.; Carr, L.D.; Demler, E.; Chin, C.; DeMarco, B.; Economou, S.E.; Eriksson, M.A.; Fu, K.M.C.; et al. Quantum Simulators: Architectures and Opportunities. PRX Quantum 2021, 2, 017003. [Google Scholar] [CrossRef]
  26. Smolyaninova, V.N.; Cartelli, J.; Augstein, B.; Spickard, S.; Devadas, M.S.; Smolyaninov, I.I. Experimental observation of effective gravity and two-time physics in ferrofluid-based hyperbolic metamaterials. Adv. Photonics 2020, 2, 056001. [Google Scholar] [CrossRef]
  27. Leykam, D.; Flach, S. Perspective: Photonic flatbands. APL Photonics 2018, 3, 070901. [Google Scholar] [CrossRef]
  28. Goblot, V.; Rauer, B.; Vicentini, F.; Le Boité, A.; Galopin, E.; Lemaître, A.; Le Gratiet, L.; Harouri, A.; Sagnes, I.; Ravets, S.; et al. Nonlinear Polariton Fluids in a Flatband Reveal Discrete Gap Solitons. Phys. Rev. Lett. 2019, 123, 113901. [Google Scholar] [CrossRef]
  29. Tang, L.; Song, D.; Xia, S.; Xia, S.; Ma, J.; Yan, W.; Hu, Y.; Xu, J.; Leykam, D.; Chen, Z. Photonic flat-band lattices and unconventional light localization. Nanophotonics 2020, 9, 1161–1176. [Google Scholar] [CrossRef]
  30. Xia, S.; Danieli, C.; Zhang, Y.; Zhao, X.; Lu, H.; Tang, L.; Li, D.; Song, D.; Chen, Z. Higher-order exceptional point and Landau–Zener Bloch oscillations in driven non-Hermitian photonic Lieb lattices. APL Photonics 2021, 6, 126106. [Google Scholar] [CrossRef]
  31. Ota, Y.; Takata, K.; Ozawa, T.; Amo, A.; Iwamoto, S.; Arakawa, Y. Active topological photonics. Nanophotonics 2020, 9, 547–567. [Google Scholar] [CrossRef]
  32. Wang, S.; Wang, B.; Liu, C.; Qin, C.; Zhao, L.; Liu, W.; Longhi, S.; Lu, P. Nonlinear Non-Hermitian Skin Effect and Skin Solitons in Temporal Photonic Feedforward Lattices. Phys. Rev. Lett. 2025, 134, 243805. [Google Scholar] [CrossRef] [PubMed]
  33. Hao, L. One-dimensional flat bands and Dirac cones in narrow zigzag dice lattice ribbons. Mater. Sci. Eng. B 2023, 293, 116486. [Google Scholar] [CrossRef]
  34. Maimaiti, W.; Andreanov, A.; Park, H.C.; Gendelman, O.; Flach, S. Compact localized states and flat-band generators in one dimension. Phys. Rev. B 2017, 95, 115135. [Google Scholar] [CrossRef]
  35. Ji, K.; Qi, X.; Li, S.; Han, K.; Wen, Z.; Zhang, G.; Bai, J. Nonlinearity-dependent asymmetric transmission in a sawtooth photonic lattice with defects. Laser Phys. 2018, 28, 045404. [Google Scholar] [CrossRef]
  36. Shen, S.Q. Topological Insulators: Dirac Equation in Condensed Matter, 2nd ed.; Springer: Singapore, 2017. [Google Scholar] [CrossRef]
  37. Ozawa, T.; Price, H.M.; Amo, A.; Goldman, N.; Hafezi, M.; Lu, L.; Rechtsman, M.C.; Schuster, D.; Simon, J.; Zilberberg, O.; et al. Topological photonics. Rev. Mod. Phys. 2019, 91, 015006. [Google Scholar] [CrossRef]
  38. Szameit, A.; Rechtsman, M.C. Discrete nonlinear topological photonics. Nat. Phys. 2024, 20, 905–915. [Google Scholar] [CrossRef]
  39. Yang, J.; Li, Y.; Yang, Y.; Xie, X.; Zhang, Z.; Yuan, J.; Cai, H.; Wang, D.W.; Gao, F. Realization of all-band-flat photonic lattices. Nat. Commun. 2024, 15, 1484. [Google Scholar] [CrossRef]
  40. Tetarwal, A.; Sharma, S.; Mukherjee, S. Nonlinearity-induced band gap transmission in dispersive and flat-band photonic lattices. Opt. Lett. 2025, 50, 4626–4629. [Google Scholar] [CrossRef]
  41. Lara, A.P.; Roy, S. A comprehensive study on beam dynamics inside symmetrically chirped waveguide array mimicking the graded index media. arXiv 2025, arXiv:2506.00901. [Google Scholar] [CrossRef]
  42. Guo, M.; Xia, S.; Wang, N.; Song, D.; Chen, Z.; Yang, J. Weakly nonlinear topological gap solitons in Su–Schrieffer–Heeger photonic lattices. Opt. Lett. 2020, 45, 6466–6469. [Google Scholar] [CrossRef]
  43. Sabour, K.; Kartashov, Y.V. Topological solitons in coupled Su–Schrieffer–Heeger waveguide arrays. Opt. Lett. 2024, 49, 3580–3583. [Google Scholar] [CrossRef]
  44. Song, W.; Sun, W.; Chen, C.; Li, X.; Li, Z. Robust and Broadband Optical Coupling by Topological Waveguide Arrays. Laser Photonics Rev. 2020, 14, 1900193. [Google Scholar] [CrossRef]
  45. Efremidis, N.K.; Christodoulides, D.N. Discrete solitons in nonlinear zigzag optical waveguide arrays with tailored diffraction properties. Phys. Rev. E 2002, 65, 056607. [Google Scholar] [CrossRef]
  46. Conforti, M.; De Angelis, C.; Akylas, T.R. Energy localization and transport in binary waveguide arrays. Phys. Rev. A 2011, 83, 043822. [Google Scholar] [CrossRef]
  47. Su, W.P.; Schrieffer, J.R.; Heeger, A.J. Solitons in Polyacetylene. Phys. Rev. Lett. 1979, 42, 1698–1701. [Google Scholar] [CrossRef]
  48. Parto, M.; Lopez-Aviles, H.; Khajavikhan, M.; Amezcua-Correa, R.; Christodoulides, D.N. Topological Aharonov-Bohm suppression of optical tunneling in twisted nonlinear multicore fibers. Phys. Rev. A 2017, 96, 043816. [Google Scholar] [CrossRef]
  49. Betancourt, A.V.; González, G.M.; Pavón, L.C.G.; Ramos, A.L.; Panameño, E.A.M. Influence of geometry of waveguide arrays to get discrete solitons. In Proceedings of the Volume 8011, 22nd Congress of the International Commission for Optics: Light for the Development of the World, Puebla, Mexico, 15–19 August 2011; SPIE: Bellingham, WA, USA, 2011; Volume 8011, pp. 1492–1499. [Google Scholar] [CrossRef]
  50. Beder, I.; Brandão, P.A. Quantum state transfer in a ring geometry of optical waveguides having nonuniform couplings. Phys. Lett. A 2024, 525, 129926. [Google Scholar] [CrossRef]
  51. Mukherjee, S.; Di Liberto, M.; Öhberg, P.; Thomson, R.R.; Goldman, N. Experimental Observation of Aharonov-Bohm Cages in Photonic Lattices. Phys. Rev. Lett. 2018, 121, 075502. [Google Scholar] [CrossRef]
  52. Longhi, S. Inverse Anderson transition in photonic cages. Opt. Lett. 2021, 46, 2872–2875. [Google Scholar] [CrossRef]
  53. Akimoto, O.; Ikeda, K. Steady propagation of a coherent light pulse in a dielectric medium. I. J. Phys. A Math. Gen. 1977, 10, 425. [Google Scholar] [CrossRef]
  54. Darmanyan, S.A.; Kamchatnov, A.M.; Nevière, M. Polariton effect in nonlinear pulse propagation. J. Exp. Theor. Phys. 2003, 96, 876–884. [Google Scholar] [CrossRef][Green Version]
  55. Yariv, A. Coupled-mode theory for guided-wave optics. IEEE J. Quantum Electron. 1973, 9, 919–933. [Google Scholar] [CrossRef]
  56. Kivshar, Y.S.; Agrawal, G.P. Optical Solitons: From Fibers to Photonic Crystals; Academic Press: New York, NY, USA, 2003. [Google Scholar]
  57. Agrawal, G.P. Nonlinear Fiber Optics, 6th ed.; Academic Press: New York, NY, USA, 2019. [Google Scholar]
  58. De Sterke, C.M.; Sipe, J. Coupled modes and the nonlinear Schrödinger equation. Phys. Rev. A 1990, 42, 550. [Google Scholar] [CrossRef]
  59. Maimistov, A.I.; Patrikeev, V.A. Electromagnetic field distribution in a quasi-1D rhombic waveguide array. J. Phys. Conf. Ser. 2016, 737, 012008. [Google Scholar] [CrossRef]
  60. Leykam, D.; Flach, S.; Bahat-Treidel, O.; Desyatnikov, A.S. Flat band states: Disorder and nonlinearity. Phys. Rev. B 2013, 88, 224203. [Google Scholar] [CrossRef]
  61. Yulin, A.; Konotop, V. Conservative and PT-symmetric compactons in waveguide networks. Optics Lett. 2013, 38, 4880–4883. [Google Scholar] [CrossRef] [PubMed]
  62. Gligorić, G.; Maluckov, A.; Hadžievski, L.; Flach, S.; Malomed, B.A. Nonlinear localized flat-band modes with spin-orbit coupling. Phys. Rev. B 2016, 94, 144302. [Google Scholar] [CrossRef]
  63. Kamchatnov, A.M. Nonlinear Periodic Waves and Their Modulations: An Introductory Course; World Scientific: Singapore, 2000. [Google Scholar]
  64. El, G.; Hoefer, M. Dispersive shock waves and modulation theory. Phys. D Nonlinear Phenom. 2016, 333, 11–65. [Google Scholar] [CrossRef]
  65. Kamchatnov, A.; Kraenkel, R.; Umarov, B. Asymptotic soliton train solutions of the defocusing nonlinear Schrödinger equation. Phys. Rev. E 2002, 66, 036609. [Google Scholar] [CrossRef]
  66. Kamchatnov, A. Asymptotic theory of not completely integrable soliton equations. Chaos Interdiscip. J. Nonlinear Sci. 2023, 33, 093105. [Google Scholar] [CrossRef] [PubMed]
  67. Moss, D.J.; Morandotti, R.; Gaeta, A.L.; Lipson, M. New CMOS-compatible platforms based on silicon nitride and Hydex for nonlinear optics. Nat. Photonics 2013, 7, 597–607. [Google Scholar] [CrossRef]
  68. Kippenberg, T.J.; Gaeta, A.L.; Lipson, M.; Gorodetsky, M.L. Dissipative Kerr solitons in optical microresonators. Science 2018, 361, eaan8083. [Google Scholar] [CrossRef]
  69. Blanco-Redondo, A.; Husko, C.; Eades, D.; Zhang, W.; Grillet, C.; Eggleton, B. Pure-quartic solitons. Nat. Commun. 2016, 7, 10427. [Google Scholar] [CrossRef]
  70. Xue, H.; Yang, Y.; Gao, F.; Chong, Y.D.; Zhang, B. Acoustic higher-order topological insulator on a kagome lattice. Nat. Mater. 2019, 18, 108–112. [Google Scholar] [CrossRef]
  71. Guo, P.Y.; Wang, L.W.; Li, W.; Hu, J.; Jiang, J.H.; Wang, H.X. Multiband topology in acoustic coupled Su–Schrieffer–Heeger chains. Phys. Rev. Appl. 2024, 22, 054079. [Google Scholar] [CrossRef]
Disclaimer/Publisher’s Note: The statements, opinions and data contained in all publications are solely those of the individual author(s) and contributor(s) and not of MDPI and/or the editor(s). MDPI and/or the editor(s) disclaim responsibility for any injury to people or property resulting from any ideas, methods, instructions or products referred to in the content.

Article Metrics

Citations

Article Access Statistics

Multiple requests from the same IP address are counted as one view.