A Novel Measurement Method for Spin Polarization Three Axis Spatial Distribution in Spin-Exchange Relaxation Free Atomic Magnetometer
Abstract
1. Introduction
2. Basic Principles
2.1. Principle of Slowing-Down Effect in the SERF Regime
2.2. Theoretical Model of Spin Polarization Measurement
3. Experimental Setup
4. Results and Discussion
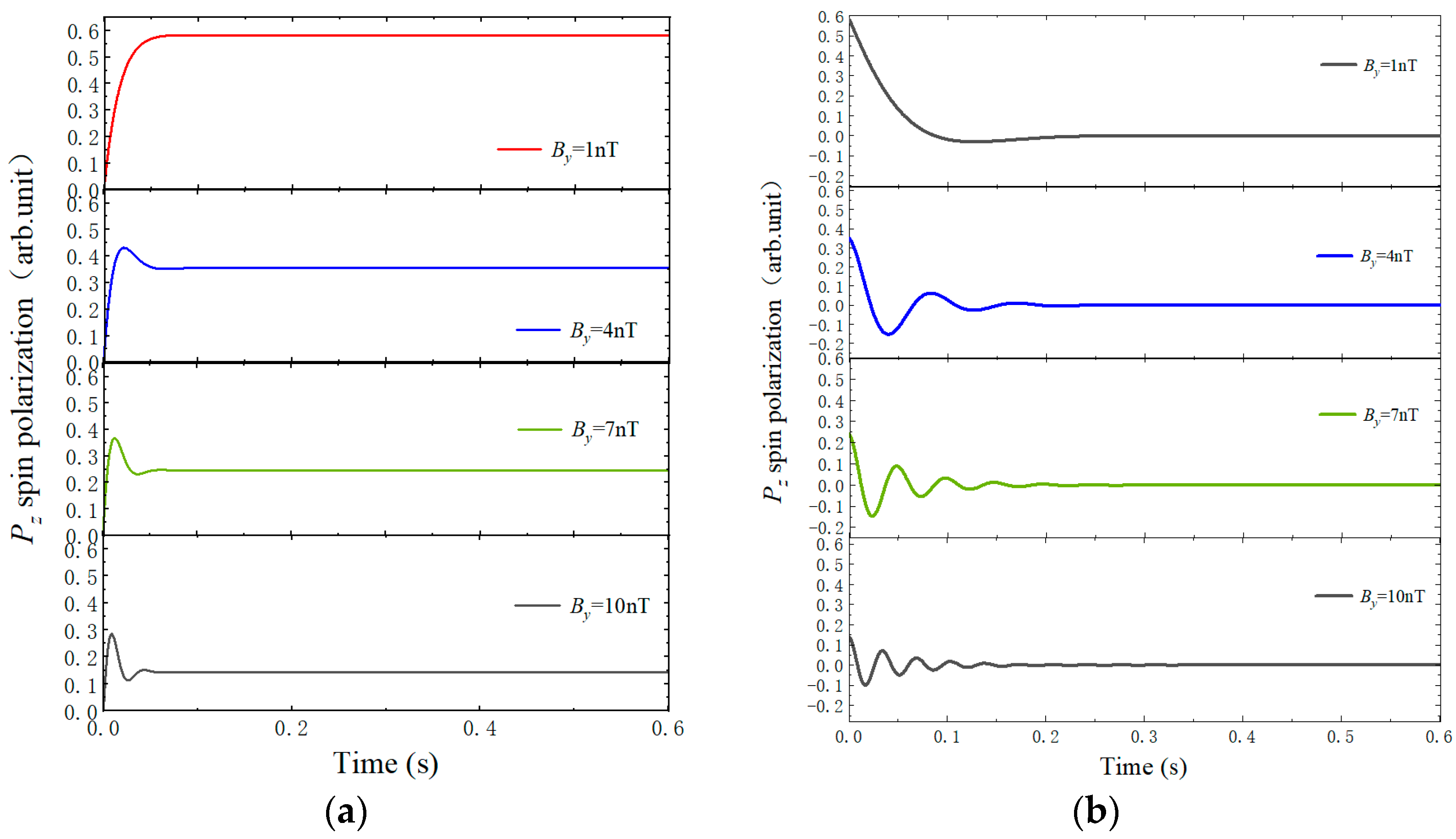
4.1. Polarization Measurements Based on Pump Light Modulation
4.2. Polarization Spatial Distribution Measurement
5. Conclusions
- By using the Px and Pz transient responses, the slowing factor q(P) at the center point of the cell at different By magnetic fields was obtained, and the polarization was calculated based on the fast spin-exchange interaction effect.
- The device’s residual magnetic field Bres was obtained from the linear relationship of precession frequency ωpr and By.
- Measuring the one-dimensional polarization distribution of the x, y, and z axes with 0.1 cm resolution. The measurement results were consistent with the Lambert–Beer absorption law and the Gaussian distribution law.
- Two-dimensional spatial distribution measurements of the polarization of the xy and yz planes with a measurement range of 0.75 cm2 × 0.75 cm2. The nonuniformity of the xy plane was 1.04, and that of the yz plane was 1.82.
- It can measure three-axis spatial distribution spin polarization in the SERF region.
- It is independent of the OD and does not require a large background or RF field for applications suitable for both low and high polarization.
- It uses a square cell to avoid measurement errors caused by optical aberrations due to the circular cell’s curvature.
- DMD distribution measurements provide high spatial resolution and are accurate in their positioning.
Author Contributions
Funding
Institutional Review Board Statement
Informed Consent Statement
Data Availability Statement
Conflicts of Interest
References
- Romalis, M.V. Hybrid optical pumping of optically dense alkali-metal vapor without quenching gas. Phys. Rev. Lett. 2010, 105, 243001. [Google Scholar] [CrossRef]
- Lu, J.X.; Zhang, S.W.; Zhou, Y.; Yan, Y.G.; Lu, F.; Wang, K.; Zhai, Y.Y.; Ye, M. Optimal buffer gas pressure in dual-beam spin-exchange relaxation-free magnetometers. Sens. Actuator A Phys. 2022, 347, 113928. [Google Scholar] [CrossRef]
- Lu, F.; Lu, J.X.; Li, B.; Yan, Y.G.; Zhang, S.W.; Yin, K.F.; Ye, M.; Han, B.C. Triaxial Vector Operation in Near-Zero Field of Atomic Magnetometer with Femtotesla Sensitivity. IEEE Trans. Instrum. Meas. 2022, 71, 1501210. [Google Scholar] [CrossRef]
- Wei, K.; Zhao, T.; Fang, X.J.; Xu, Z.T.; Zhai, Y.Y.; Quan, W. Accurate Polarimetry of Hybrid K-Rb and 21Ne Atoms Based on Spin-Exchange Interactions. IEEE Sens. J. 2021, 21, 5879. [Google Scholar] [CrossRef]
- Xu, Z.T.; Wei, K.; Zhao, T.; Cao, Q.; Liu, Y.; Hu, D.; Zhai, Y.Y. Fast Dynamic Frequency Response-Based Multiparameter Measurement in Spin-Exchange Relaxation-Free Comagnetometers. IEEE Trans. Instrum. Meas. 2021, 70, 7007. [Google Scholar] [CrossRef]
- Gill, P. Precision measurements: Optical clocks coming of age. Nature 2000, 407, 6804. [Google Scholar] [CrossRef]
- Jiménez-Martínez, R.; Kennedy, D.J.; Rosenbluh, M.; Donley, E.A.; Knappe, S.; Seltzer, S.J.; Ring, H.L.; Bajaj, V.S.; Kitching, J. Optical hyperpolarization and NMR detection of 129Xe on a microfluidic chip. Nat. Commun. 2014, 5, 3908. [Google Scholar] [CrossRef] [PubMed]
- Yao, K.W.; Liu, M.; Zheng, Z.Y.; Shih, T.; Xie, J.Y.; Sun, H.J.; Chen, Z. Automatic Shimming Method Using Compensation of Magnetic Susceptibilities and Adaptive Simplex for Low-Field NMR. IEEE Trans. Instrum. Meas. 2021, 70, 6007012. [Google Scholar] [CrossRef]
- Sherson, J.; Krauter, H.; Olsson, R.K.; Julsgaard, B.; Polzik, E.S. Quantum memory and teleportation using macroscopic gas samples. Phys. B At. Mol. Opt. Phys. 2008, 41, 223001. [Google Scholar] [CrossRef]
- Vasilakis, G.; Shen, H.; Jensen, K.; Balabas, M.; Salart, D.; Chen, B.; Polzik, E.S. Generation of a squeezed state of an oscillator by stroboscopic back-action-evading measurement. Nat. Phys. 2015, 11, 389. [Google Scholar] [CrossRef]
- Dang, H.B.; Maloof, A.C.; Romalis, M.V. Ultra-high sensitivity magnetic field and magnetization measurements with an atomic magnetometer. Appl. Phys. Lett. 2010, 97, 15. [Google Scholar] [CrossRef]
- Sheng, J.; Wan, S.G.; Sun, Y.F.; Dou, R.S.; Guo, Y.H.; Wei, K.Q.; He, K.Y.; Qin, J.; Gao, J.H. Magnetoencephalography with a Cs-based highsensitivity compact atomic magnetometer. Rev. Sci. Instrum. 2017, 88, 9. [Google Scholar] [CrossRef] [PubMed]
- Boto, E.; Holmes, N.; Leggett, J.; Roberts, G.; Shah, V.; Meyer, S.S.; Munoz, L.D.; Mullinger, K.J.; Tierney, T.M.; Bestmann, S.; et al. Moving magnetoencephalography towards real-world applications with a wearable system. Nature 2018, 555, 7698. [Google Scholar] [CrossRef] [PubMed]
- Zhang, J.; Liu, K.N.; Zhang, J.F.; Wang, Z.J.; Shang, J.T. Magnetocardiography Measurements by Microfabricated Atomic Magnetometer with a 3-D Spherical Alkali Vapor Cell. IEEE Trans. Instrum. Meas. 2021, 70, 4007907. [Google Scholar] [CrossRef]
- Li, Z.; Wakai, R.T.; Walker, T.G. Parametric modulation of an atomic magnetometer. Appl. Phys. Lett. 2006, 89, 13. [Google Scholar] [CrossRef]
- Baranga, B.A.; Appelt, S.; Erickson, C.J.; Young, A.R.; Happer, W. Alkali-metal-atom polarization imaging in high-pressure optical-pumping cells. Phys. Rev. A 1998, 58, 3. [Google Scholar] [CrossRef]
- Seltzer, S.J. Developments in Alkali-Metal Atomic Magnetometry. Ph.D. Thesis, Princeton University, Princeton, NJ, USA, 2008. [Google Scholar]
- Gillen-Christandl, K.; Gillen, G.D.; Piotrowica, M.J.; Saffman, M. Comparison of Gaussian and super Gaussian laser beams for addressing atomic qubits. Appl. Phys. B 2016, 122, 131. [Google Scholar] [CrossRef]
- Appelt, S.; Unlu, T.; Zilles, K.; Shah, N.J.; Baer, S.; Halling, H. Experimental studies of rubidium absolute polarization at high temperatures. Appl. Phys. Lett. 1999, 75, 3. [Google Scholar] [CrossRef]
- Young, A.R.; Appelt, S.; Baranga, A.B.; Erickson, C.; Happer, W. Three-dimensional imaging of spin polarization of alkali-metal vapor in optical pumping cells. Appl. Phys. Lett. 1997, 70, 23. [Google Scholar] [CrossRef]
- Lancor, B.; Babcock, E.; Wyllie, R.; Walker, T.G. Circular dichroism of RbHe and RbN2 molecules. Phys. Rev. A 2010, 82, 43435. [Google Scholar] [CrossRef]
- Gusarov, A.; Levron, D.; Baranga, A.B.A.; Paperno, E.; Shuker, R. An all-optical scalar and vector spin-exchange relaxation-free magnetometer employing on-off pump modulation. J. Appl. Phys. 2011, 109, 130801. [Google Scholar] [CrossRef]
- Li, R.J.; Quan, W.; Fang, J.C. Polarization measurement of Cs using the pump laser beam. IEEE Photon. J. 2017, 9, 1. [Google Scholar] [CrossRef]
- Fang, X.J.; Wei, K.; Zhao, T.; Zhai, Y.Y.; Ma, D.Y.; Xing, B.Z.; Xiao, Z.X. High spatial resolution multichannel optically pumped atomic magnetometer based on spatial light modulator. Opt. Express 2020, 28, 26447–26460. [Google Scholar] [CrossRef] [PubMed]
- Zhao, J.P.; Ding, M.; Lu, J.X.; Yang, K.; Ma, D.Y.; Yao, H.; Liu, G. Determination of Spin Polarization in Spin-Exchange Relaxation-Free Atomic Magnetometer Using Transient Response. IEEE Trans. Instrum. Meas. 2022, 69, 845. [Google Scholar] [CrossRef]
- Kim, K.; Begus, S.; Xia, H.; Lee, S.K.; Jazbinsek, V.; Trontelj, Z.; Romalis, M.V. Multi-channel atomic magnetometer for magnetoencephalography: A configuration study. Neuroimage 2014, 89, 143. [Google Scholar] [CrossRef]
- Ito, Y.; Sato, D.; Kamada, K.; Kobayashi, T. Measurements of Magnetic Field Distributions with an Optically Pumped K-Rb Hybrid Atomic Magnetometer. IEEE Trans. Magn. 2014, 50, 1. [Google Scholar] [CrossRef]
- Ressler, N.W.; Sands, R.H.; Stark, T.E. Measurement of Spin-Exchange Cross Sections for 133Cs, 87Rb, 85Rb, 39K, and 23Na. Phys. Rev. 1969, 84, 102. [Google Scholar] [CrossRef]
- Happer, W.; Tang, H. Spin-Exchange Shift and Narrowing of Magnetic Resonance Lines in Optically Pumped Alkali Vapors. Phys. Rev. Lett. 1973, 31, 273. [Google Scholar] [CrossRef]
- Savukov, I.M.; Romalis, M.V. Effects of spin-exchange collisions in a high-density alkali-metal vapor in low magnetic fields. Phys. Rev. A 2005, 71, 23405. [Google Scholar] [CrossRef]
- Happer, W.; Tam, A.C. Effect of rapid spin exchange on the magnetic-resonance spectrum of alkali vapors. Phys. Rev. A 1977, 16, 1877. [Google Scholar] [CrossRef]
- Anderson, L.W.; Pipkin, F.M.; Baird, J.C., Jr. Hyperfine Structure of Hydrogen, Deuterium, and Tritium. Phys. Rev. 1960, 121, 1864. [Google Scholar] [CrossRef]
- Huang, H.C.; Dong, H.F.; Hu, X.Y.; Chen, L.; Gao, Y. Three-axis atomic magnetometer based on spin precession modulation. Appl. Phys. Lett. 2015, 107, 182403. [Google Scholar] [CrossRef]
- Duan, L.H.; Fang, J.C.; Li, R.J.; Jiang, L.W.; Ding, M.; Wang, W. Light intensity stabilization based on the second harmonic of the photoelastic modulator detection in the atomic magnetometer. Opt. Express 2015, 23, 32481. [Google Scholar] [CrossRef]
- Ma, D.Y.; Lu, J.X.; Fang, X.J.; Yang, K.; Wang, K.; Zhang, N.; Han, B.C.; Ding, M. Parameter modeling analysis of a cylindrical ferrite magnetic shield to reduce magnetic noise. IEEE Trans. Ind. Electron. 2022, 69, 991. [Google Scholar] [CrossRef]
- Lu, J.X.; Quan, W.; Ding, M.; Qi, L.; Fang, J.C. Suppression of light shift for high-density alkali-metal atomic magnetometer. IEEE Sens. J. 2019, 19, 492. [Google Scholar] [CrossRef]
- Ledbetter, M.P.; Savukov, I.M.; Acosta, V.M.; Budker, D.; Romalis, M.V. Spin-exchange-relaxation-free magnetometry with Cs vapor. Phys. Rev. A 2008, 77, 33408. [Google Scholar] [CrossRef]
- Ito, Y.; Ohnishi, H.; Kamada, K.; Kobayashi, T. Sensitivity improvement of spin-exchange relaxation free atomic magnetometers by hybrid optical pumping of potassium and rubidium. IEEE Trans. Magn. 2011, 47, 3550. [Google Scholar] [CrossRef]
- Chen, X.; Fang, X.J.; Ma, D.; Liu, Y.; Cao, L.; Zhai, Y.Y. Optimization of beam shaping for ultrasensitive inertial measurement using a phase-only spatial light modulator. Appl. Opt. 2022, 61, C55. [Google Scholar] [CrossRef]






| Alkali Metal Atoms | Nuclear Quantum Number I | Natural Abundance | Slow-Down Factor q(P) | Range of Slow-Down Factor q(P = 0~1) |
|---|---|---|---|---|
| 85Rb | 5/2 | 72.2% | 38/3~6 | |
| 87Rb | 3/2 | 27.8% | 6~4 | |
| 39K | 3/2 | 93.3% | 6~4 | |
| 41K | 3/2 | 6.7% | 6~4 | |
| 133Cs | 7/2 | 100% | 22~8 |
| Parameter | Value | Unit |
|---|---|---|
| Diameter of the cubic cell | 2.5 | cm |
| Coil constant of z axis | 114.03 | nT/V |
| Coil constant of y axis | 15.23 | nT/V |
| Coil constant of x axis | 15.24 | nT/V |
| Wavelength of the pump laser | 794.972 | nm |
| Wavelength of the probe laser | 779.242 | nm |
| Power of the pump laser | 23 | mW |
| Power of the probe laser (each point) | 15 | mW |
| Modulation frequency of PEM | 50 | kHz |
| Modulation amplitude of PEM | 0.08 | rad |
| Temperature | 150 | °C |
| Magnetic Fields By(nT) | Precession Frequency (Hz) | Slow-Down Factor q(P) | Polarization |
|---|---|---|---|
| 1 | 3.33 ± 0.35 | 8.42 ± 0.81 | 0.57 ± 0.11 |
| 4 | 10.35 ± 0.33 | 10.82 ± 0.33 | 0.31 ± 0.04 |
| 7 | 17.14 ± 0.21 | 11.43 ± 0.14 | 0.24 ± 0.01 |
| 10 | 23.55 ± 0.20 | 11.89 ± 0.10 | 0.18 ± 0.01 |
| Magnetic Fields By(nT) | Precession Frequency (Hz) | Slow-Down Factor q(P) | Polarization |
|---|---|---|---|
| 1 | 3.13 ± 0.41 | 8.94 ± 1.04 | 0.51 ± 0.13 |
| 4 | 10.07± 0.52 | 11.12 ± 0.44 | 0.27 ± 0.05 |
| 7 | 16.97 ± 0.22 | 11.55 ± 0.15 | 0.23 ± 0.02 |
| 10 | 23.23 ± 0.24 | 12.06 ± 0.12 | 0.16 ± 0.02 |
Disclaimer/Publisher’s Note: The statements, opinions and data contained in all publications are solely those of the individual author(s) and contributor(s) and not of MDPI and/or the editor(s). MDPI and/or the editor(s) disclaim responsibility for any injury to people or property resulting from any ideas, methods, instructions or products referred to in the content. |
© 2023 by the authors. Licensee MDPI, Basel, Switzerland. This article is an open access article distributed under the terms and conditions of the Creative Commons Attribution (CC BY) license (https://creativecommons.org/licenses/by/4.0/).
Share and Cite
Fang, X.; Li, J.; Ma, Y.; Wei, K.; Fan, W.; Zhai, Y.; Quan, W.; Xiao, Z. A Novel Measurement Method for Spin Polarization Three Axis Spatial Distribution in Spin-Exchange Relaxation Free Atomic Magnetometer. Photonics 2023, 10, 332. https://doi.org/10.3390/photonics10030332
Fang X, Li J, Ma Y, Wei K, Fan W, Zhai Y, Quan W, Xiao Z. A Novel Measurement Method for Spin Polarization Three Axis Spatial Distribution in Spin-Exchange Relaxation Free Atomic Magnetometer. Photonics. 2023; 10(3):332. https://doi.org/10.3390/photonics10030332
Chicago/Turabian StyleFang, Xiujie, Jin Li, Yanning Ma, Kai Wei, Wenfeng Fan, Yueyang Zhai, Wei Quan, and Zhisong Xiao. 2023. "A Novel Measurement Method for Spin Polarization Three Axis Spatial Distribution in Spin-Exchange Relaxation Free Atomic Magnetometer" Photonics 10, no. 3: 332. https://doi.org/10.3390/photonics10030332
APA StyleFang, X., Li, J., Ma, Y., Wei, K., Fan, W., Zhai, Y., Quan, W., & Xiao, Z. (2023). A Novel Measurement Method for Spin Polarization Three Axis Spatial Distribution in Spin-Exchange Relaxation Free Atomic Magnetometer. Photonics, 10(3), 332. https://doi.org/10.3390/photonics10030332

