Next Issue
Volume 31, February
Previous Issue
Volume 30, October
 
 

Math. Comput. Appl., Volume 30, Issue 6 (December 2025) – 24 articles

Cover Story (view full-size image): This study presents a comprehensive machine learning framework for predicting the unconfined compressive strength (UCS) of fine-grained soils stabilized with various cementitious materials and nano-SiO2. A database compiled from published experimental studies was used to train and evaluate ten prediction models. Among them, the CatBoost showed superior predictive accuracy compared with other methods. Interpretation techniques were employed to identify the most influential parameters, showing that curing time, soil liquid limit, and additive content were the top influential factors on the UCS of soil stabilized with nano-SiO2. The proposed approach offers a cost-effective and reliable alternative to extensive laboratory testing and provides valuable insight into the nonlinear mechanisms controlling the performance of nano-stabilized soils. View this paper
  • Issues are regarded as officially published after their release is announced to the table of contents alert mailing list.
  • You may sign up for e-mail alerts to receive table of contents of newly released issues.
  • PDF is the official format for papers published in both, html and pdf forms. To view the papers in pdf format, click on the "PDF Full-text" link, and use the free Adobe Reader to open them.
Order results
Result details
Section
Select all
Export citation of selected articles as:
27 pages, 904 KB  
Article
An Interpretable Hybrid RF–ANN Early-Warning Model for Real-World Prediction of Academic Confidence and Problem-Solving Skills
by Mostafa Aboulnour Salem and Zeyad Aly Khalil
Math. Comput. Appl. 2025, 30(6), 140; https://doi.org/10.3390/mca30060140 - 18 Dec 2025
Cited by 2 | Viewed by 832
Abstract
Early identification of students at risk for low academic confidence, poor problem-solving skills, or poor academic performance is crucial to achieving equitable and sustainable learning outcomes. This research presents a hybrid artificial intelligence (AI) framework that combines feature selection using a Random Forest [...] Read more.
Early identification of students at risk for low academic confidence, poor problem-solving skills, or poor academic performance is crucial to achieving equitable and sustainable learning outcomes. This research presents a hybrid artificial intelligence (AI) framework that combines feature selection using a Random Forest (RF) algorithm with data classification via an Artificial Neural Network (ANN) to predict risks related to Academic Confidence and Problem-Solving Skills (ACPS) among higher education students. Three real-world datasets from Saudi universities were used: MSAP, EAAAM, and MES. Data preprocessing included Min–Max normalisation, class balancing using SMOTE (Synthetic Minority Oversampling Technique), and recursive feature elimination. Model performance was evaluated using five-fold cross-validation and a paired t-test. The proposed model (RF-ANN) achieved an average accuracy of 98.02%, outperforming benchmark models such as XGBoost, TabNet, and an Autoencoder–ANN. Statistical tests confirmed the significant performance improvement (p < 0.05; Cohen’s d = 1.1–2.7). Feature importance and explainability analysis using a Random Forest and Shapley Additive Explanations (SHAP) showed that psychological and behavioural factors—particularly study hours, academic engagement, and stress indicators—were the most influential drivers of ACPS risk. Hence, the findings demonstrate that the proposed framework combines high predictive accuracy with interpretability, computational efficiency, and scalability. Practically, the model supports Sustainable Development Goal 4 (Quality Education) by enabling early, transparent identification of at-risk students, thereby empowering educators and academic advisors to deliver timely, targeted, and data-driven interventions. Full article
Show Figures

Figure 1

25 pages, 2608 KB  
Article
Comparing Meta-Learners for Estimating Heterogeneous Treatment Effects and Conducting Sensitivity Analyses
by Jingxuan Zhang, Yanfei Jin and Xueli Wang
Math. Comput. Appl. 2025, 30(6), 139; https://doi.org/10.3390/mca30060139 - 16 Dec 2025
Viewed by 1601
Abstract
In disciplines such as epidemiology, economics, and public health, inference and estimation of heterogeneous treatment effects (HTE) are critical. This approach helps reveal differences in treatment effect estimates between subgroups, which supports personalized decision-making processes. While a variety of meta-learners (e.g., S-, T-, [...] Read more.
In disciplines such as epidemiology, economics, and public health, inference and estimation of heterogeneous treatment effects (HTE) are critical. This approach helps reveal differences in treatment effect estimates between subgroups, which supports personalized decision-making processes. While a variety of meta-learners (e.g., S-, T-, X-learners) have been proposed for estimating HTE, there is a lack of consensus on their relative strengths and weaknesses under different data conditions. To address this gap and provide actionable guidance for applied researchers, this study conducts a comprehensive simulation-based comparison of these methods. We first introduce the causal inference framework and review the underlying principles of the methods used to estimate these effects. We then simulate different data generating processes (DGPs) and compare the performance of S-, T-, X-, DR-, and R-learners with the causal forest, highlighting the potential of meta-learners for HTE estimation. Our evaluation reveals that each learner excels under distinct conditions: the S-learner yields the least bias and is most robust when the conditional average treatment effect (CATE) is approximately zero; the T-learner provides accurate estimates when the response functions differ significantly between the treatment and control groups, resulting in a complex CATE structure, and the X-learner can accurately estimate the HTE in imbalanced data.Additionally, by integrating Z-bias—a bias that may arise when adjusting the covariate only affects the treatment variable—with a specific sensitivity analysis, this study demonstrates its effectiveness in reducing the bias of causal effect estimates. Finally, through an empirical analysis of the Trends in International Mathematics and Science Study (TIMSS) 2019 data, we illustrate how to implement these insights in practice, showcasing a workflow for HTE assessment within the meta-learner framework. Full article
Show Figures

Figure 1

29 pages, 4359 KB  
Article
An Interpretable Financial Statement Fraud Detection Framework Enhanced by Temporal–Spatial Patterns
by Hui Xia, Jinhong Jiang and Qin Wang
Math. Comput. Appl. 2025, 30(6), 138; https://doi.org/10.3390/mca30060138 - 15 Dec 2025
Viewed by 814
Abstract
In recent years, financial statement fraud schemes have evolved to become markedly more sophisticated and concealed, thereby posing severe threats to both social stability and economic health. Traditional detection methods, which rely primarily on fragmented corporate data, exhibit significant limitations in capturing the [...] Read more.
In recent years, financial statement fraud schemes have evolved to become markedly more sophisticated and concealed, thereby posing severe threats to both social stability and economic health. Traditional detection methods, which rely primarily on fragmented corporate data, exhibit significant limitations in capturing the dynamic evolution and spatial diffusion characteristics of fraudulent behaviors over time and space. To address this issue, in this study, we undertake a thorough analysis of the intrinsic nature of fraud risk from a sociotechnical systems perspective and construct a multi-level indicator system to comprehensively quantify risk elements. Furthermore, recognizing the dynamic evolution nature and propagating characteristics of fraud risk, we propose a novel financial statement fraud detection framework to capture behavior patterns in temporal and spatial dimensions. Experiments on A-share-listed companies of high-risk industries in China demonstrate that the proposed framework significantly outperforms other mainstream machine learning and deep learning techniques. In addition, we open the “black box” of the detection framework and empirically validate fraud risk patterns with respect to social–technical elements by leveraging explainable AI techniques. Practically, the proposed framework and interpretable analysis are capable of providing precise early warnings and supervision. Full article
Show Figures

Figure 1

16 pages, 2613 KB  
Article
Prediction of Compressive Strength in Fine-Grained Soils Stabilized with a Combination of Various Stabilization Agents and Nano-SiO2 Using Machine Learning Algorithms
by Sadegh Ghavami and Hamed Naseri
Math. Comput. Appl. 2025, 30(6), 137; https://doi.org/10.3390/mca30060137 - 14 Dec 2025
Cited by 3 | Viewed by 848
Abstract
Conducting laboratory tests in geotechnical engineering is a costly, time-consuming, and labor-intensive process. As an alternative solution, this study employs various machine learning methods to predict the unconfined compressive strength (UCS) of fine-grained soils stabilized by combining chemical additives (such as Portland cement, [...] Read more.
Conducting laboratory tests in geotechnical engineering is a costly, time-consuming, and labor-intensive process. As an alternative solution, this study employs various machine learning methods to predict the unconfined compressive strength (UCS) of fine-grained soils stabilized by combining chemical additives (such as Portland cement, lime, and industrial and agricultural waste) and nanosilica. After preparing a comprehensive database of a collection of studies from the literature, ten machine learning models were developed for modeling, and their performances were compared using various metrics. After comparing the performance of the models in predicting the UCS with experimental results, the CatBoost model was determined as the optimal model. The variables of curing time, liquid limit of soil, and additive contents were identified as the most effective parameters on the stabilized soil’s UCS. The best-performing model on the applied dataset was determined and compared with experimental models. After determining the effective parameters for predicting the strength of stabilized soil, the nonlinear relationships between the most important variables and the stabilized soil’s UCS were analyzed and investigated. Full article
Show Figures

Figure 1

84 pages, 1141 KB  
Review
Integrating Emotion-Specific Factors into the Dynamics of Biosocial and Ecological Systems: Mathematical Modeling Approaches Accounting for Psychological Effects
by Sangeeta Saha and Roderick Melnik
Math. Comput. Appl. 2025, 30(6), 136; https://doi.org/10.3390/mca30060136 - 12 Dec 2025
Viewed by 2756
Abstract
Understanding how emotions and psychological states influence both individual and collective actions is critical for expressing the real complexity of biosocial and ecological systems. Recent breakthroughs in mathematical modeling have created new opportunities for systematically integrating these emotion-specific elements into dynamic frameworks ranging [...] Read more.
Understanding how emotions and psychological states influence both individual and collective actions is critical for expressing the real complexity of biosocial and ecological systems. Recent breakthroughs in mathematical modeling have created new opportunities for systematically integrating these emotion-specific elements into dynamic frameworks ranging from human health to animal ecology and socio-technical systems. This review builds on mathematical modeling approaches by bringing together insights from neuroscience, psychology, epidemiology, ecology, and artificial intelligence to investigate how psychological effects such as fear, stress, and perception, as well as memory, motivation, and adaptation, can be integrated into modeling efforts. This article begins by examining the influence of psychological factors on brain networks, mental illness, and chronic physical diseases (CPDs), followed by a comparative discussion of model structures in human and animal psychology. It then turns to ecological systems, focusing on predator–prey interactions, and investigates how behavioral responses such as prey refuge, inducible defense, cooperative hunting, group behavior, etc., modulate population dynamics. Further sections investigate psychological impacts in epidemiological models, in which risk perception and fear-driven behavior greatly affect disease spread. This review article also covers newly developing uses in artificial intelligence, economics, and decision-making, where psychological realism improves model accuracy. Through combining these several strands, this paper argues for a more subtle, emotionally conscious way to replicate intricate adaptive systems. In fact, this study emphasizes the need to include emotion and cognition in quantitative models to improve their descriptive and predictive ability in many biosocial and environmental contexts. Full article
Show Figures

Figure 1

13 pages, 287 KB  
Article
Projected Gradient Method with Global Convergence for Spherically Constrained Nonlinear Eigenvalue Problems in Bose-Einstein Condensates
by Yaozong Tang
Math. Comput. Appl. 2025, 30(6), 135; https://doi.org/10.3390/mca30060135 - 10 Dec 2025
Viewed by 494
Abstract
A spherically constrained nonlinear eigenvalue problem (NEPv) arising in Bose–Einstein condensates (BEC) is investigated. The Projected Gradient Method (PGM) is proposed and analyzed in detail. Rigorous theoretical analysis establishes its global convergence for both “easy” and “hard” cases, including Lipschitz continuity of the [...] Read more.
A spherically constrained nonlinear eigenvalue problem (NEPv) arising in Bose–Einstein condensates (BEC) is investigated. The Projected Gradient Method (PGM) is proposed and analyzed in detail. Rigorous theoretical analysis establishes its global convergence for both “easy” and “hard” cases, including Lipschitz continuity of the gradient, monotonic objective decrease, and convergence to optimality. Numerical experiments in 1D, 2D, and 3D BEC models demonstrate that PGM achieves competitive accuracy compared to other methods while offering significant advantages in computational efficiency and scalability, enabling large-scale simulations. Full article
Show Figures

Figure 1

24 pages, 13793 KB  
Article
Reinforcement Learning-Driven Evolutionary Stackelberg Game Model for Adaptive Breast Cancer Therapy
by Fatemeh Tavakoli, Davud Mohammadpur, Javad Salimi Sartakhti and Mohammad Hossein Manshaei
Math. Comput. Appl. 2025, 30(6), 134; https://doi.org/10.3390/mca30060134 - 5 Dec 2025
Cited by 2 | Viewed by 1032
Abstract
In this paper, we present an integrative framework based on Evolutionary Stackelberg Game Theory to model the strategic interaction between a physician, acting as a rational leader, and a heterogeneous population of treatment-sensitive and treatment-resistant breast cancer cells. The model incorporates ecological competition, [...] Read more.
In this paper, we present an integrative framework based on Evolutionary Stackelberg Game Theory to model the strategic interaction between a physician, acting as a rational leader, and a heterogeneous population of treatment-sensitive and treatment-resistant breast cancer cells. The model incorporates ecological competition, evolutionary adaptation, and spatial heterogeneity, enabling prediction of tumor progression under clinically relevant treatment protocols. Using tumor volume data obtained from breast cancer-bearing mice treated with Capecitabine and Gemcitabine, we estimated treatment and subject-specific parameters via the GEKKO optimization package in Python. Benchmarking against classical tumor growth models (Exponential, Logistic, and Gompertz) showed that while classical models capture monotonic growth, they fail to reproduce complex, non-monotonic behaviors such as treatment-induced regression, rebound, and phenotypic switching. The game-theoretic approach achieved superior alignment with experimental data across Maximum Tolerated Dose, Dose-Modulation Adaptive Therapy, and Intermittent Adaptive Therapy protocols. To enhance adaptability, we integrated reinforcement learning (RL) for both single-agent and combination chemotherapy. The RL agent learned dosing policies that maximized tumor regression while minimizing cumulative drug exposure and resistance, with combination therapy exploiting dose diversification to improve control without exceeding total dose budgets. Incorporating reaction diffusion equations allowed the model to capture spatial dispersal of sensitive (cooperative) and resistant (defector) phenotypes, revealing that spatially aware adaptive strategies more effectively suppress resistant clones than non-spatial approaches. These results demonstrate that evolutionarily informed, spatially explicit, and computationally optimized strategies can outperform conventional fixed-dose regimens in reducing resistance, lowering toxicity, and improving efficacy. This framework offers a biologically interpretable tool for guiding evolution-aware, patient-tailored cancer therapies toward improved long-term outcomes. Full article
(This article belongs to the Special Issue Feature Papers in Mathematical and Computational Applications 2025)
Show Figures

Figure 1

20 pages, 3456 KB  
Article
RBF-Based Meshless Collocation Method for Time-Fractional Interface Problems with Highly Discontinuous Coefficients
by Faisal Bilal, Muhammad Asif, Mehnaz Shakeel and Ioan-Lucian Popa
Math. Comput. Appl. 2025, 30(6), 133; https://doi.org/10.3390/mca30060133 - 5 Dec 2025
Cited by 1 | Viewed by 818
Abstract
Time-fractional interface problems arise in systems where interacting materials exhibit memory effects or anomalous diffusion. These models provide a more realistic description of physical processes than classical formulations and appear in heat conduction, fluid flow, porous media diffusion, and electromagnetic wave propagation. However, [...] Read more.
Time-fractional interface problems arise in systems where interacting materials exhibit memory effects or anomalous diffusion. These models provide a more realistic description of physical processes than classical formulations and appear in heat conduction, fluid flow, porous media diffusion, and electromagnetic wave propagation. However, the presence of complex interfaces and the nonlocal nature of fractional derivatives makes their numerical treatment challenging. This article presents a numerical scheme that combines radial basis functions (RBFs) with the finite difference method (FDM) to solve time-fractional partial differential equations involving interfaces. The proposed approach applies to both linear and nonlinear models with constant or variable coefficients. Spatial derivatives are approximated using RBFs, while the Caputo definition is employed for the time-fractional term. First-order time derivatives are discretized using the FDM. Linear systems are solved via Gaussian elimination, and for nonlinear problems, two linearization strategies, a quasi-Newton method and a splitting technique, are implemented to improve efficiency and accuracy. The method’s performance is assessed using maximum absolute and root mean square errors across various grid resolutions. Numerical experiments demonstrate that the scheme effectively resolves sharp gradients and discontinuities while maintaining stability. Overall, the results confirm the robustness, accuracy, and broad applicability of the proposed technique. Full article
(This article belongs to the Special Issue Radial Basis Functions)
Show Figures

Figure 1

17 pages, 1722 KB  
Article
Detection in Road Crack Images Based on Sparse Convolution
by Yang Li, Xinhang Li, Ke Shen, Yacong Li, Dong Sui and Maozu Guo
Math. Comput. Appl. 2025, 30(6), 132; https://doi.org/10.3390/mca30060132 - 3 Dec 2025
Viewed by 647
Abstract
Ensuring the structural integrity of road infrastructure is vital for transportation safety and long-term sustainability. This study presents a lightweight and accurate pavement crack detection framework named SpcNet, which integrates a Sparse Encoding Module, ConvNeXt V2-based decoder, and a Binary Attention Module (BAM) [...] Read more.
Ensuring the structural integrity of road infrastructure is vital for transportation safety and long-term sustainability. This study presents a lightweight and accurate pavement crack detection framework named SpcNet, which integrates a Sparse Encoding Module, ConvNeXt V2-based decoder, and a Binary Attention Module (BAM) within an asymmetric encoder–decoder architecture. The proposed method first applies a random masking strategy to generate sparse pixel inputs and employs sparse convolution to enhance computational efficiency. A ConvNeXt V2 decoder with Global Response Normalization (GRN) and GELU activation further stabilizes feature extraction, while the BAM, in conjunction with Channel and Spatial Attention Bridge (CAB/SAB) modules, strengthens global dependency modeling and multi-scale feature fusion. Comprehensive experiments on four public datasets demonstrate that SpcNet achieves state-of-the-art performance with significantly fewer parameters and lower computational cost. On the Crack500 dataset, the method achieves a precision of 91.0%, recall of 85.1%, F1 score of 88.0%, and mIoU of 79.8%, surpassing existing deep-learning-based approaches. These results confirm that SpcNet effectively balances detection accuracy and efficiency, making it well-suited for real-world pavement condition monitoring. Full article
Show Figures

Figure 1

45 pages, 2785 KB  
Article
The Algebraic Theory of Operator Matrix Polynomials with Applications to Aeroelasticity in Flight Dynamics and Control
by Belkacem Bekhiti, Kamel Hariche, Vasilii Zaitsev, Guangren R. Duan and Abdel-Nasser Sharkawy
Math. Comput. Appl. 2025, 30(6), 131; https://doi.org/10.3390/mca30060131 - 29 Nov 2025
Cited by 1 | Viewed by 665
Abstract
This paper develops an algebraic framework for operator matrix polynomials and demonstrates its application to control-design problems in aeroservoelastic systems. We present constructive spectral-factorization and linearization tools (block spectral divisors, companion forms and realization algorithms) that enable systematic block-pole assignment for large-scale MIMO [...] Read more.
This paper develops an algebraic framework for operator matrix polynomials and demonstrates its application to control-design problems in aeroservoelastic systems. We present constructive spectral-factorization and linearization tools (block spectral divisors, companion forms and realization algorithms) that enable systematic block-pole assignment for large-scale MIMO models. Building on this theory, an adaptive block-pole placement strategy is proposed and cast in a practical implementation that augments a nominal state-feedback law with a compact neural-network compensator (single hidden layer) to handle un-modeled nonlinearities and uncertainty. The method requires state feedback and the system’s nominal model and admits Laplace-domain analysis and straightforward implementation for a two-degree-of-freedom aeroelastic wing with cubic stiffness nonlinearity and Roger aerodynamic lag is validated in MATLAB R2023a. Comprehensive simulations (Runge–Kutta 4) for different excitations and step disturbances demonstrate the approach’s advantages: compared with Eigenstructure assignment, LQR and H2-control, the proposed method achieves markedly better robustness and transient performance (e.g., closed-loop Hiω2 ≈ 4.64, condition number χ ≈ 11.19, and reduced control efforts μ ≈ 0.41, while delivering faster transients and tighter regulation (rise time ≈ 0.35 s, settling time ≈ 1.10 s, overshoot ≈ 6.2%, steady-state error ≈ 0.9%, disturbance-rejection ≈ 92%). These results confirm that algebraic operator-polynomial techniques, combined with a compact adaptive NN augmentation, provide a well-conditioned, low-effort solution for robust control of aeroelastic systems. Full article
Show Figures

Figure 1

18 pages, 2060 KB  
Article
A Context-Aware Representation-Learning-Based Model for Detecting Human-Written and AI-Generated Cryptocurrency Tweets Across Large Language Models
by Muhammad Asad Arshed, Ştefan Cristian Gherghina, Iqra Khalil, Hasnain Muavia, Anum Saleem and Hajran Saleem
Math. Comput. Appl. 2025, 30(6), 130; https://doi.org/10.3390/mca30060130 - 29 Nov 2025
Viewed by 1342
Abstract
The extensive use of large language models (LLMs), particularly in the finance sector, raises concerns about the authenticity and reliability of generated text. Developing a robust method for distinguishing between human-written and AI-generated financial content is therefore essential. This study addressed this challenge [...] Read more.
The extensive use of large language models (LLMs), particularly in the finance sector, raises concerns about the authenticity and reliability of generated text. Developing a robust method for distinguishing between human-written and AI-generated financial content is therefore essential. This study addressed this challenge by constructing a dataset based on financial tweets, where original financial tweet texts were regenerated using six LLMs, resulting in seven distinct classes: human-authored text, LLaMA3.2, Phi3.5, Gemma2, Qwen2.5, Mistral, and LLaVA. A context-aware representation-learning-based model, namely DeBERTa, was extensively fine-tuned for this task. Its performance was compared to that of other transformer variants (DistilBERT, BERT Base Uncased, ELECTRA, and ALBERT Base V1) as well as traditional machine learning models (logistic regression, naive Bayes, random forest, decision trees, XGBoost, AdaBoost, and voting (AdaBoost, GradientBoosting, XGBoost)) using Word2Vec embeddings. The proposed DeBERTa-based model achieved an impressive test accuracy, precision, recall, and F1-score, all reaching 94%. In contrast, competing transformer models achieved test accuracies ranging from 0.78 to 0.80, while traditional machine learning models yielded a significantly lower performance (0.39–0.80). These results highlight the effectiveness of context-aware representation learning in distinguishing between human-written and AI-generated financial text, with significant implications for text authentication, authorship verification, and financial information security. Full article
Show Figures

Figure 1

20 pages, 4781 KB  
Article
Optimization for Sustainability: A Comparative Analysis of Evolutionary Crossover Operators for the Traveling Salesman Problem (TSP) with a Case Study on Croatia
by Petar Curkovic
Math. Comput. Appl. 2025, 30(6), 129; https://doi.org/10.3390/mca30060129 - 29 Nov 2025
Viewed by 950
Abstract
This study presents a systematic comparison of five crossover operators used in genetic algorithms (GA) for the Traveling Salesman Problem (TSP). Partially Mapped Crossover (PMX), Order Crossover (OX), Cycle Crossover (CX), Edge Recombination (ERX), and Alternating Edges (AEX) are evaluated within an identical [...] Read more.
This study presents a systematic comparison of five crossover operators used in genetic algorithms (GA) for the Traveling Salesman Problem (TSP). Partially Mapped Crossover (PMX), Order Crossover (OX), Cycle Crossover (CX), Edge Recombination (ERX), and Alternating Edges (AEX) are evaluated within an identical GA framework using tournament selection, inversion mutation, generational replacement, and elitism. Experiments were conducted on seven datasets, including three TSPLIB benchmarks, a clustered synthetic instance, a uniformly random instance, and two real-world Croatian city sets of 50 and 100 cities. Thirty independent GA runs per operator were analyzed using the Friedman test followed by Holm-corrected Wilcoxon pairwise comparisons. The Friedman test shows highly significant global performance differences. After applying Holm correction, the top four operators (PMX, OX, CX, and ERX) are statistically comparable on most datasets, as the correction eliminates most pairwise differences among them. All pairwise comparisons involving AEX remain significant across every dataset, confirming its consistently inferior performance. OX achieves the best average ranks across all datasets consistently, while PMX, CX, and ERX exhibit comparable mid-range performance. To illustrate practical relevance, optimized routes for Croatian instances were used to estimate fuel consumption and CO2 emissions for petrol, diesel, and electric vehicles. The results demonstrate meaningful sustainability benefits achievable through optimized routing. Full article
(This article belongs to the Section Engineering)
Show Figures

Figure 1

29 pages, 4503 KB  
Article
Comparative Performance Analysis of Machine Learning Models for Compressive Strength Prediction in Concrete Mix Design
by Junyu Liu, Dayou Guan and Xi Liu
Math. Comput. Appl. 2025, 30(6), 128; https://doi.org/10.3390/mca30060128 - 27 Nov 2025
Cited by 3 | Viewed by 1517
Abstract
Recycled aggregate concrete (RAC) is a sustainable alternative to conventional concrete, reducing environmental hazards and conserving resources. Accurate compressive strength (CS) prediction is critical for its broader acceptance. This study uses machine learning (ML) models (elastic net regression, KNN, ANN, SVR, RF, XGBoost, [...] Read more.
Recycled aggregate concrete (RAC) is a sustainable alternative to conventional concrete, reducing environmental hazards and conserving resources. Accurate compressive strength (CS) prediction is critical for its broader acceptance. This study uses machine learning (ML) models (elastic net regression, KNN, ANN, SVR, RF, XGBoost, CatBoost, symbolic regression, stacking) trained on 1030 conventional concrete mixtures from UCI to support RAC’s CS prediction. The best model achieved R2 = 0.92; performance order: CatBoost > XGBoost > RF > SVR > ANN > symbolic regression > KNN > elastic net regression. Stacking improved RMSE by 6% over CatBoost. During the testing, sensitivity analysis revealed that CS exhibits pronounced sensitivity to the cement (C) content and testing age (TA). This aligns with existing experimental research. External validation, which is often neglected by prediction model research, was performed, from which a high-quality evaluating model was used for generalizability and reliability, enhancing the heterogenicity of its usefulness. Lastly, a user-friendly graphical interface was developed that allows users to input custom parameters to obtain sustainable RAC mixtures. This study offers insights into optimizing concrete mix designs for RAC, improving its performance and sustainability. It also advances the knowledge of cementitious materials, aligning with industrial and environmental objectives. Full article
Show Figures

Figure 1

26 pages, 1869 KB  
Article
Error Estimates and Generalized Trial Constructions for Solving ODEs Using Physics-Informed Neural Networks
by Atmane Babni, Ismail Jamiai and José Alberto Rodrigues
Math. Comput. Appl. 2025, 30(6), 127; https://doi.org/10.3390/mca30060127 - 24 Nov 2025
Cited by 1 | Viewed by 985
Abstract
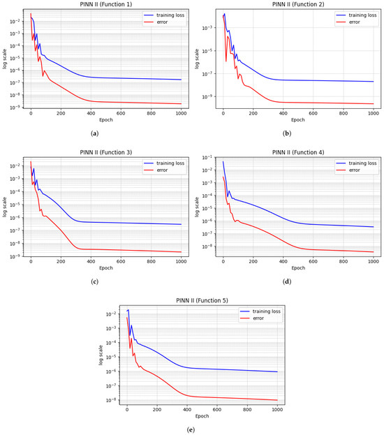
In this paper, we address the challenge of solving differential equations using physics-informed neural networks (PINNs), an innovative approach that integrates known physical laws into neural network training. The PINN approach involves three main steps: constructing a neural-network-based solution ansatz, defining a suitable [...] Read more.
In this paper, we address the challenge of solving differential equations using physics-informed neural networks (PINNs), an innovative approach that integrates known physical laws into neural network training. The PINN approach involves three main steps: constructing a neural-network-based solution ansatz, defining a suitable loss function, and minimizing this loss via gradient-based optimization. We review two primary PINN formulations: the standard PINN I and an enhanced PINN II. The latter explicitly incorporates initial, final, or boundary conditions. Focusing on first-order differential equations, PINN II methods typically express the approximate solution as u˜(x,θ)=P(x)+Q(x)N(x,θ), where N(x,θ) is the neural network output with parameters θ, and P(x) and Q(x) are polynomial functions. We generalize this formulation by replacing the polynomial Q(x) with a more flexible function ϕ(x). We demonstrate that this generalized form yields a uniform approximation of the true solution, based on Cybenko’s universal approximation theorem. We further show that the approximation error diminishes as the loss function converges. Numerical experiments validate our theoretical findings and illustrate the advantages of the proposed choice of ϕ(x). Finally, we outline how this framework can be extended to higher-order or other classes of differential equations. Full article
Show Figures

Figure 1

36 pages, 25371 KB  
Article
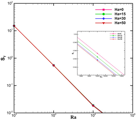
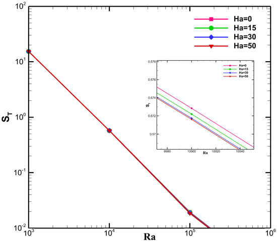
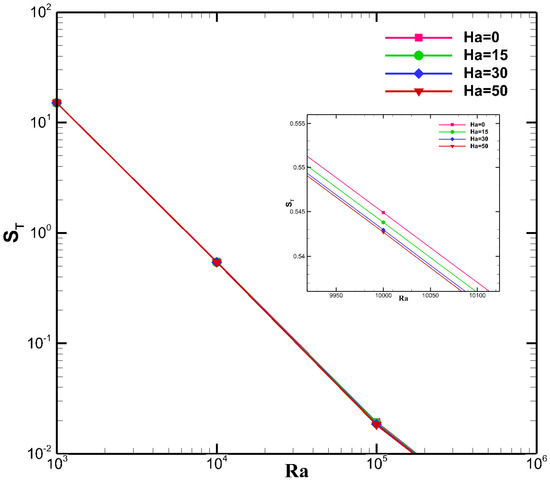
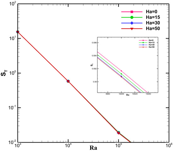
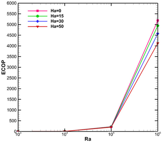
Performance Evaluation of Various Nanofluids in MHD Natural Convection Within a Wavy Trapezoidal Cavity Containing Heated Square Obstacles
by Sree Pradip Kumer Sarker and Md. Mahmud Alam
Math. Comput. Appl. 2025, 30(6), 126; https://doi.org/10.3390/mca30060126 - 18 Nov 2025
Viewed by 833
Abstract
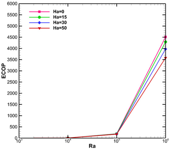
Natural convection enhanced by magnetic fields and nanofluids has broad applications in thermal management systems. This study investigates magnetohydrodynamic (MHD) natural convection in a wavy trapezoidal cavity containing centrally located heated square obstacles, filled with various nanofluids Cu–H2O, Fe3O [...] Read more.
Natural convection enhanced by magnetic fields and nanofluids has broad applications in thermal management systems. This study investigates magnetohydrodynamic (MHD) natural convection in a wavy trapezoidal cavity containing centrally located heated square obstacles, filled with various nanofluids Cu–H2O, Fe3O4–H2O, and Al2O3–H2O. A uniform magnetic field is applied horizontally, and the effects of key parameters such as Rayleigh number, Ra (103–106), Hartmann number, Ha (0–50), and nanoparticle volume fraction, φ (0.00, 0.02, 0.04) are analyzed. The numerical simulations are performed using the finite element method, incorporating a wavy upper boundary and slanted sidewalls to model realistic enclosures. Results show that an increasing Rayleigh number enhances heat transfer, while a stronger magnetic field reduces convective flow. Among the nanofluids, Cu–H2O demonstrates the highest Nusselt number and ecological coefficient of performance (ECOP), whereas Fe3O4–H2O exhibits superior performance under stronger magnetic fields due to its magnetic nature. Entropy generation, ST decreases with increasing Ra and φ, indicating reduced thermodynamic irreversibility. These results provide insights into designing energy-efficient enclosures using nanofluids under magnetic control. Full article
Show Figures

Figure 1

20 pages, 711 KB  
Article
A Mean-Risk Multi-Period Optimization Model for Cooperative Risk in the Shipbuilding Supply Chain
by Ziquan Xiang, Muhammad Hamza Naseem, Xiuqian Pan and Fatima Sayeeda Ahmad
Math. Comput. Appl. 2025, 30(6), 125; https://doi.org/10.3390/mca30060125 - 13 Nov 2025
Viewed by 511
Abstract
This study addresses the cooperative development problem between shipbuilding enterprises and suppliers under supply risk by improving and optimizing the Markowitz model. A mean-risk multi-period linear programming decision model and a nonlinear programming decision model are constructed under uncertain conditions. First, the connotation [...] Read more.
This study addresses the cooperative development problem between shipbuilding enterprises and suppliers under supply risk by improving and optimizing the Markowitz model. A mean-risk multi-period linear programming decision model and a nonlinear programming decision model are constructed under uncertain conditions. First, the connotation of supply chain cooperation risks in shipbuilding enterprises is analyzed, and key risk characteristics are identified. Then, based on lifecycle theory, the cooperation process is examined, and corresponding risk prevention strategies are proposed. Finally, an enhanced mean-risk multi-period linear programming model is developed, and a nonlinear programming decision model is introduced. Numerical experiments and sensitivity analysis using real-world shipbuilding enterprise data validate the correctness and effectiveness of the proposed models. The results demonstrate that, compared to linear programming models, nonlinear programming models achieve a lower risk for equivalent returns. The findings suggest that the proposed approach can effectively optimize cooperative decision-making under uncertainty, providing valuable insights for risk management in the shipbuilding supply chain. Full article
Show Figures

Figure 1

25 pages, 2450 KB  
Systematic Review
The Preference Selection Index (PSI) in Multi-Criteria Decision-Making: A Systematic and Critical Review of Applications, Integrations, and Future Directions
by Mohammed Said Obeidat, Hala Al Sliti and Abdullah Obeidat
Math. Comput. Appl. 2025, 30(6), 124; https://doi.org/10.3390/mca30060124 - 13 Nov 2025
Cited by 1 | Viewed by 1775
Abstract
This paper presents a systematic review of the performance of the Preference Selection Index (PSI) application in multi-criteria decision-making (MCDM) problems based on PRISMA. This work extensively reviewed more than 100 studies to investigate the methodological bases of the PSI and its synergistic [...] Read more.
This paper presents a systematic review of the performance of the Preference Selection Index (PSI) application in multi-criteria decision-making (MCDM) problems based on PRISMA. This work extensively reviewed more than 100 studies to investigate the methodological bases of the PSI and its synergistic combination with other decision-making methodologies. Interestingly, the PSI is highly commended as one of the most straightforward applications with low computational effort, which implies that the PSI in this context is receiving wide attention for complex decisions and sensitive judgments, where assigning criteria weights is challenging. However, in some circumstances, the PSI mechanism in assigning weights becomes a drawback when the accuracy of the decision is crucial. However, despite the increased use of the PSI, there is still a lack of systematic evaluation of its methodological sensitivity of weighting assumptions, consistency, and comparative performance in the hybrid MCDM problems. Addressing these gaps will help make the PSI more accurate in the evolving landscape of decision-making techniques. This review underscores the wide use of the PSI, encouraging further research in terms of its applications and methodology enhancement, ensuring that the PSI remains a relevant option that evolves the complexity and sensitivity of decision-making in various areas. Full article
(This article belongs to the Special Issue Applied Optimization in Automatic Control and Systems Engineering)
Show Figures

Figure 1

26 pages, 3049 KB  
Article
Numerical Aggregation and Evaluation of High-Dimensional Multi-Expert Decisions Based on Triangular Intuitionistic Fuzzy Modeling
by Yanshan Qian, Junda Qiu, Jiali Tang, Chuanan Li and Senyuan Chen
Math. Comput. Appl. 2025, 30(6), 123; https://doi.org/10.3390/mca30060123 - 6 Nov 2025
Viewed by 571
Abstract
To address the challenges of high-dimensional complexity and increasing heterogeneity in expert opinions, this study proposes a novel numerical aggregation model for multi-expert decision making based on triangular intuitionistic fuzzy numbers (TIFNs) and the Plant Growth Simulation Algorithm (PGSA). The proposed framework transforms [...] Read more.
To address the challenges of high-dimensional complexity and increasing heterogeneity in expert opinions, this study proposes a novel numerical aggregation model for multi-expert decision making based on triangular intuitionistic fuzzy numbers (TIFNs) and the Plant Growth Simulation Algorithm (PGSA). The proposed framework transforms experts’ fuzzy preference information into five-dimensional geometric vectors and employs the PGSA to perform global optimization, thereby yielding an optimized collective decision matrix. To comprehensively evaluate the aggregation performance, several quantitative indicators—such as weighted Hamming distance, correlation sum, information intuition energy, and weighted correlation coefficient—are introduced to assess the results from the perspectives of consensus, stability, and informational strength. Extensive numerical experiments and comparative analyses demonstrate that the proposed method significantly improves expert consensus reliability and aggregation robustness, achieving higher decision accuracy than conventional approaches. This framework provides a scalable and generalizable tool for high-dimensional fuzzy group decision making, offering promising potential for complex real-world applications. Full article
Show Figures

Figure 1

30 pages, 877 KB  
Article
Fractional Optimal Control of Anthroponotic Cutaneous Leishmaniasis with Behavioral and Epidemiological Extensions
by Asiyeh Ebrahimzadeh, Amin Jajarmi and Mehmet Yavuz
Math. Comput. Appl. 2025, 30(6), 122; https://doi.org/10.3390/mca30060122 - 6 Nov 2025
Cited by 3 | Viewed by 679
Abstract
Sandflies spread the neglected vector-borne disease anthroponotic cutaneous leishmaniasis (ACL), which only affects humans. Despite decades of control, asymptomatic carriers, vector pesticide resistance, and low public awareness prevent eradication. This study proposes a fractional-order optimal control model that integrates biological and behavioral aspects [...] Read more.
Sandflies spread the neglected vector-borne disease anthroponotic cutaneous leishmaniasis (ACL), which only affects humans. Despite decades of control, asymptomatic carriers, vector pesticide resistance, and low public awareness prevent eradication. This study proposes a fractional-order optimal control model that integrates biological and behavioral aspects of ACL transmission to better understand its complex dynamics and intervention responses. We model asymptomatic human illnesses, insecticide-resistant sandflies, and a dynamic awareness function under public health campaigns and collective behavioral memory. Four time-dependent control variables—symptomatic treatment, pesticide spraying, bed net use, and awareness promotion—are introduced under a shared budget constraint to reflect public health resource constraints. In addition, Caputo fractional derivatives incorporate memory-dependent processes and hereditary effects, allowing for epidemic and behavioral states to depend on prior infections and interventions; on the other hand, standard integer-order frameworks miss temporal smoothness, delayed responses, and persistence effects from this memory feature, which affect optimal control trajectories. Next, we determine the optimality conditions for fractional-order systems using a generalized Pontryagin’s maximum principle, then solve the state–adjoint equations numerically with an efficient forward–backward sweep approach. Simulations show that fractional (memory-based) dynamics capture behavioral inertia and cumulative public response, improving awareness and treatment efforts. Furthermore, sensitivity tests indicate that integer-order models do not predict the optimal allocation of limited resources, highlighting memory effects in epidemiological decision-making. Consequently, the proposed method provides a realistic and flexible mathematical basis for cost-effective and sustainable ACL control plans in endemic settings, revealing how memory-dependent dynamics may affect disease development and intervention efficiency. Full article
(This article belongs to the Special Issue Mathematics and Applied Data Science)
Show Figures

Figure 1

15 pages, 4417 KB  
Article
Efficient Biomedical Image Recognition Using Radial Basis Function Neural Networks and Quaternion Legendre Moments
by Kamal Okba, Amal Hjouji, Omar El Ogri, Jaouad El-Mekkaoui, Karim El Moutaouakil, Asmae Blilat and Mohamed Benslimane
Math. Comput. Appl. 2025, 30(6), 121; https://doi.org/10.3390/mca30060121 - 6 Nov 2025
Viewed by 728
Abstract
Biomedical images, whether acquired by techniques such as magnetic resonance imaging (MRI), computed tomography (CT), ultrasound, X-ray, or other methods, are commonly obtained and permanently stored for diagnostic purposes. Therefore, leveraging this large number of images has become essential for the development of [...] Read more.
Biomedical images, whether acquired by techniques such as magnetic resonance imaging (MRI), computed tomography (CT), ultrasound, X-ray, or other methods, are commonly obtained and permanently stored for diagnostic purposes. Therefore, leveraging this large number of images has become essential for the development of intelligent medical diagnostic systems. In this work, we propose a new biomedical image recognition in two stages: the first stage is to introduce a new image feature extraction technique using quaternion Legendre orthogonal moments (QLOMs) to extract features from biomedical images. The second stage is to use radial basis function (RBF) neural networks for image classification to know the type of disease. To evaluate our computer-aided medical diagnosis system, we present a series of experiments were conducted. Based on the results of a comparative study with recent approaches, we conclude that our method is very promising for the detection and recognition of dangerous diseases. Full article
Show Figures

Figure 1

14 pages, 470 KB  
Article
A Fav-Jerry Distribution Under Joint Type-II Censoring: Quantifying Cross-Cultural Differences in Autism Knowledge
by Asmaa S. Al-Moisheer, Khalaf S. Sultan and Mahmoud M. M. Mansour
Math. Comput. Appl. 2025, 30(6), 120; https://doi.org/10.3390/mca30060120 - 1 Nov 2025
Cited by 1 | Viewed by 666
Abstract
The given paper proposes a new statistical framework based on the combination of the Fav-Jerry distribution (FJD) and a joint type-II censoring scheme (JT-II-CS) to examine heterogeneous and censored data. The FJD offers tractability in analysis by using its closed form of the [...] Read more.
The given paper proposes a new statistical framework based on the combination of the Fav-Jerry distribution (FJD) and a joint type-II censoring scheme (JT-II-CS) to examine heterogeneous and censored data. The FJD offers tractability in analysis by using its closed form of the quantile function, whereas with missing or incomplete data, the JT-II-CS offers multi-sample comparisons. Bayesian estimation is based on Markov chain Monte Carlo procedures, while the maximum likelihood estimation is obtained via a Newton–Raphson method. Both estimation strategies provide estimates of the parameters along with corresponding measures of uncertainty. The proposed methodology is also used on coded survey data on the knowledge of autism in both Hong Kong and Canada, which illustrates its potential in the measurement of cultural variance. In addition to this use, the framework highlights the potential for integrating more complex distributional modeling with censoring methods for general applications in engineering, natural sciences, and social sciences. Full article
Show Figures

Figure 1

17 pages, 942 KB  
Article
Mathematical Modeling and Analysis of Tumor Growth Models Integrating Treatment Therapy
by Mohsin Kamran, Johari Yap Abdullah, Afaf Syahira Ahmad Satmi, Maya Genisa, Abdul Majeed and Tayyaba Nadeem
Math. Comput. Appl. 2025, 30(6), 119; https://doi.org/10.3390/mca30060119 - 30 Oct 2025
Cited by 2 | Viewed by 3164
Abstract
This study presents a comparative analysis of tumor growth models based on logistic, exponential, and Gompertz formulations. Their response to therapeutic intervention is examined to identify which model shows better behavior with minimal decline of immune cells. The framework incorporates three main cell [...] Read more.
This study presents a comparative analysis of tumor growth models based on logistic, exponential, and Gompertz formulations. Their response to therapeutic intervention is examined to identify which model shows better behavior with minimal decline of immune cells. The framework incorporates three main cell populations as follows: natural killer cells, cytotoxic T cells, and tumor cells, along with treatment effects. Dynamical properties such as positive invariance, existence, boundedness, and equilibrium stability are investigated. Numerical simulations indicate that the logistic model gives more favorable treatment outcomes compared to the exponential and Gompertz models. The results also show a faster decline of immune cell populations in the exponential and Gompertz models than in the logistic model under varying drug flux. Full article
(This article belongs to the Special Issue Feature Papers in Mathematical and Computational Applications 2025)
Show Figures

Figure 1

4 pages, 1994 KB  
Correction
Correction: Phan Thi et al. Secure Communication of Electric Drive System Using Chaotic Systems Base on Disturbance Observer and Fuzzy Brain Emotional Learning Neural Network. Math. Comput. Appl. 2025, 30, 73
by Huyen Chau Phan Thi, Nhat Quang Dang and Van Nam Giap
Math. Comput. Appl. 2025, 30(6), 118; https://doi.org/10.3390/mca30060118 - 30 Oct 2025
Viewed by 378
Abstract
In the original publication [...] Full article
Show Figures

Figure 2

25 pages, 1507 KB  
Article
Type-2 Backstepping T-S Fuzzy Control Based on Niche Situation
by Yang Cai, Yunli Hao and Yongfang Qi
Math. Comput. Appl. 2025, 30(6), 117; https://doi.org/10.3390/mca30060117 - 22 Oct 2025
Viewed by 619
Abstract
The niche situation can reflect the advantages and disadvantages of biological individuals in the ecosystem environment as well as the overall operational status of the ecosystem. However, higher-order niche systems generally exhibit complex nonlinearities and parameter uncertainties, making it difficult for traditional Type-1 [...] Read more.
The niche situation can reflect the advantages and disadvantages of biological individuals in the ecosystem environment as well as the overall operational status of the ecosystem. However, higher-order niche systems generally exhibit complex nonlinearities and parameter uncertainties, making it difficult for traditional Type-1 fuzzy control to accurately handle their inherent fuzziness and environmental disturbances in complex environments. To address this, this paper introduces the backstepping control method based on Type-2 T-S fuzzy control, incorporating the niche situation function as the consequent of the T-S backstepping fuzzy control. The stability analysis of the system is completed by constructing a Lyapunov function, and the adaptive law for the parameters of the niche situation function is derived. This design reflects the tendency of biological individuals to always develop in a direction beneficial to themselves, highlighting the bio-inspired intelligent characteristics of the proposed method. The results of case simulations show that the Type-2 backstepping T-S fuzzy control has significantly superior comprehensive performance in dealing with the complexity and uncertainty of high-order niche situation systems compared with the traditional Type-1 control and Type-2 T-S adaptive fuzzy control. These results not only verify the adaptive and self-development capabilities of biological individuals, as well as their efficiency in environmental utilization, but also endow this control method with a solid practical foundation. Full article
Show Figures

Figure 1

Previous Issue
Next Issue
Back to TopTop