Abstract
Sandflies spread the neglected vector-borne disease anthroponotic cutaneous leishmaniasis (ACL), which only affects humans. Despite decades of control, asymptomatic carriers, vector pesticide resistance, and low public awareness prevent eradication. This study proposes a fractional-order optimal control model that integrates biological and behavioral aspects of ACL transmission to better understand its complex dynamics and intervention responses. We model asymptomatic human illnesses, insecticide-resistant sandflies, and a dynamic awareness function under public health campaigns and collective behavioral memory. Four time-dependent control variables—symptomatic treatment, pesticide spraying, bed net use, and awareness promotion—are introduced under a shared budget constraint to reflect public health resource constraints. In addition, Caputo fractional derivatives incorporate memory-dependent processes and hereditary effects, allowing for epidemic and behavioral states to depend on prior infections and interventions; on the other hand, standard integer-order frameworks miss temporal smoothness, delayed responses, and persistence effects from this memory feature, which affect optimal control trajectories. Next, we determine the optimality conditions for fractional-order systems using a generalized Pontryagin’s maximum principle, then solve the state–adjoint equations numerically with an efficient forward–backward sweep approach. Simulations show that fractional (memory-based) dynamics capture behavioral inertia and cumulative public response, improving awareness and treatment efforts. Furthermore, sensitivity tests indicate that integer-order models do not predict the optimal allocation of limited resources, highlighting memory effects in epidemiological decision-making. Consequently, the proposed method provides a realistic and flexible mathematical basis for cost-effective and sustainable ACL control plans in endemic settings, revealing how memory-dependent dynamics may affect disease development and intervention efficiency.
Keywords:
anthroponotic cutaneous leishmaniasis (ACL); fractional optimal control; asymptomatic infection; insecticide resistance; awareness dynamics; Caputo derivative MSC:
34A08; 34H05; 49K15; 92D30
1. Introduction
Cutaneous leishmaniasis (CL) is a sandfly-transmitted protozoal infection caused by Leishmania protozoa and transmitted principally by the bite of infected females of Phlebotomus sandflies. CL is a neglected disease, which disproportionately affects low-resource settings in the Middle East, South America, and South Asia, where CL causes skin ulcers commonly leading to permanent scarring and social discrimination [1]. Of all the forms of leishmaniasis, the anthroponotic form (ACL) is particularly epidemiologically challenging in that it is transmitted from person to person by vectors with humans as the primary reservoir [2]. Control is harder because interruption of transmission involves controlling human infectivity directly [3]. The main contribution of this study is to develop and analyze an epidemiological and behavioral fractional-order optimal control model for ACL. To better understand ACL transmission, we add a memory-dependent awareness function and real-world characteristics such as asymptomatic carriers, insecticide-resistant sandflies, and restricted public reactivity. Caputo-type fractional derivatives account for delayed intervention effects and behavioral inertia to better describe temporal dynamics than integer-order methods. The study establishes generalized Pontryagin optimality conditions for four control measures—treatment, insecticide spraying, bed net use, and awareness campaigns—subject to a single budget constraint; it provides comprehensive numerical simulations to assess various control scenarios’ cost-effectiveness. As a result, memory effects enhance the scientific and practical comprehension of sustained ACL control by altering intervention strategies and facilitating long-term illness management.
Ecological and behavioral factors such as sandfly population density, biting frequency, and infection rates greatly influence the ACL transmission cycle. Certain environments have found effectiveness in traditional vector control interventions like insecticide-treated bed nets, indoor residual spraying, and environmental sanitation. The increased resistance to insecticides among sandflies [4], combined with inadequate public awareness and behavioral resistance, significantly reduces the long-term efficacy of such interventions.
Mathematical modeling has become an important way to learn about how diseases spread and how to control them best. Classical compartmental models (e.g., SIR and SEIR) have been widely utilized to represent vector-borne diseases and estimate transmission thresholds, evaluate control impacts, and forecast outbreak scenarios [5,6,7,8,9]. Such models are typically too limiting in application because they use integer-order differential equations with instantaneous transitions and no provision to incorporate biological memory or behavioral feedback—the key ingredients in real epidemiological systems.
Recent advances have witnessed the application of fractional-order differential equations to disease modeling. Fractional derivatives, especially in their Caputo form, are capable of more accurately modeling systems where memory and non-locality are important features, such as diseases with delayed onset, time-varying response to treatment, or long-term behavioral modification [10,11,12]. Fractional differential equations have, in particular, shown greater correspondence with empirical disease data in cases such as COVID-19 and dengue fever [13,14]. Additionally, recent work has explored fractional epidemic models incorporating vaccination and external influences [15]. At the same time, inclusion of behavioral dynamics—awareness, risk perception, and intervention fatigue—in disease models has been under closer examination. Dynamizing awareness as a model parameter enables simulations derived from feedback in actual behaviors, especially in response to health campaigns, outbreak severity, and social adjustment [16].
Epidemiological models have utilized optimal control theory to create cost-effective interventions [17,18,19]. However, these studies often overlook time-dependent and historical effects in real-world epidemics when employing integer-order differential frameworks. In addition, fractional calculus effectively models hereditary and memory-dependent systems in engineering, physics, and biology [20,21,22]. Specifically, fractional-order derivatives capture delayed transmission dynamics, permanent immunity, and the cumulative effect of earlier treatments that integer-order models miss in epidemiology. Due to these benefits, this study presents a fractional-order optimal control model for ACL with biological and behavioral extensions in a realistic, resource-limited framework. We introduce three new state variables for asymptomatic human carriers, compared to the integer-order model in [23]. Further, Caputo fractional derivatives encode historical dependencies and smooth epidemic phase transitions, better depicting delayed reactions and behavioral persistence in human–vector interactions in our case. Additionally, we use an extended Pontryagin’s maximum principle for fractional-order systems and an efficient forward–backward sweep technique to derive and quantify the optimality criteria for intervention strategies. The new framework shows how fractional dynamics change optimal control trajectories compared to integer-order models and how memory effects affect epidemiological and behavioral processes. Thus, this study presents a comprehensive, memory-aware, and behaviorally enhanced ACL management control framework, demonstrating the importance of fractional calculus in building sustainable and cost-effective public health interventions for complex vector-borne diseases.
The remainder of the paper is organized as follows. Section 2 presents the mathematical preliminaries about fractional calculus. Section 3 introduces the proposed fractional-order model for ACL, together with its properties and stability analysis. Section 4 defines the optimal control problem, incorporates the effects of multiple control strategies, and establishes the necessary optimality conditions. Section 5 develops a numerical method to solve the fractional optimal control model at hand along with its convergence analysis. Section 6 reports and discusses the numerical simulations, including scenario analysis and policy implications. Finally, Section 7 concludes the paper with a summary of key findings and recommendations for future research.
2. Mathematical Preliminaries
In this section, we recall essential definitions and properties from fractional calculus that will be used throughout the formulation and numerical analysis of our model. Standard references include [10,20,21,22].
Definition 1.
The left-sided Riemann–Liouville fractional integral of order for a function is defined by [10,20]:
where denotes the Gamma function.
Definition 2.
The left-sided Riemann–Liouville fractional derivative of order α for a function is defined as [10,20]:
where n is the smallest integer greater than or equal to α (i.e., ).
Definition 3.
The left-sided Caputo derivative with respect to of order , where , is given by [10,20]:
When , we have:
Definition 4.
Let and . The right-sided Riemann–Liouville fractional integral with respect to of order α is [10,20]:
Definition 5.
Let and . The right-sided Riemann–Liouville fractional derivative with respect to of order α is [10,20]:
Definition 6.
Let and . The right-sided Caputo fractional derivative with respect to of order α is [10,20]:
Lemma 1.
Let and ; then the following identity holds [10,20]:
Key Properties
Let and . Then [10,20]:
- Linearity: ,
- Composition of integrals: ,
- Commutativity: .
These fundamental tools enable us to define and analyze the fractional-order epidemic model, derive the associated adjoint system, and construct the numerical scheme for solving the optimal control problem.
3. Mathematical Structure of the Model
In this section, we introduce a new model formulation for the ACL and investigate its properties and stability analysis.
3.1. Formulation of the Anthroponotic Cutaneous Leishmaniasis (ACL) Model
Fractional calculus has helped engineers, physicists, and biologists model complex systems, and epidemiology uses it for diseases with delayed responses, behavioral inertia, and long-term effects because it can account for past states. Previous research has shown that fractional-order modeling effectively captures infectious disease dynamics [20,21,22]. Due to these features, we extend the integer-order ACL model of [23] to a fractional-order framework using Caputo derivatives, driven by the following advantages and rationality: Epidemiological and behavioral processes in ACL, such as delayed treatment effects, asymptomatic carrier persistence, insecticide-resistant vector development, and memory-dependent awareness, are non-local and history-dependent and cannot be explained by classical integer-order derivatives. By including fractional derivatives, the model realistically represents memory effects and improves disease progression and control intervention predictions. In addition, the new model, compared to that previously presented in [23], is augmented by additional state variables: asymptomatic human infections , an insecticide-resistant vector population , and a dynamic awareness function within the human population . Therefore, we formulate the novel fractional-order ACL model as follows:
Following the proposed approach in [24], a time-scaling parameter (with the unit of day) is introduced in (9) to ensure that both sides of each fractional equation are dimensionally consistent. In addition, the forces of infection are provided by:
In this equation, a is the biting rate, and express transmission probabilities, , , represents the relative infectiousness of asymptomatic humans, and denotes the relative infectiousness of insecticide-resistant vectors compared to the reference groups. Table 1 presents the state variables, in which the initial conditions are adopted from [25] to maintain consistency with previously established integer-order model of ACL. Model parameter values are also given in Table 2.
Table 1.
State variables and their initial conditions at .
Table 2.
Model parameters and baseline values (all values adapted from the main source [25]).
3.2. Positivity of Solutions
To ensure the biological consistency of the proposed fractional-order model (9), we establish that its solutions remain non-negative for all time , provided the initial conditions are non-negative. Let:
be the vector of state variables, and assume that . Define:
Suppose, by contradiction, that there is a first time at which and for all . Without loss of generality, assume that and are equal to zero. According to (9), the susceptible human population satisfies:
where is the force of infection. Multiplying both sides by gives:
Thus:
Since , dividing by it preserves the inequality sign, and we can write the equivalent scalar inequality:
The explicit solution of the corresponding linear Caputo fractional differential equation:
is given by:
where denotes the one-parameter Mittag–Leffler function defined as:
Thus, since all involved parameters in (16) are positive and is completely monotone for , it follows from the above discussion that remains positive for all . Hence, on , contradicting . The same reasoning applies to all other compartments because:
- 1.
- The factor is positive and thus does not affect the sign structure of the system.
- 2.
- Each right-hand side contains non-negative inflows (, , or transfers from other non-negative compartments).
- 3.
- All loss terms are proportional to the corresponding variable (linear decay or bilinear incidence), so they cannot produce negative values.
For the awareness variable , we have:
which, by the fractional comparison principle, ensures . Therefore:
and the system remains biologically well-posed.
3.3. Boundedness of Solutions
To establish the uniform boundedness of solutions of system (9), we consider the total human and vector populations defined by:
Summing the fractional equations for the human compartments in (9) gives:
Multiplying both sides by gives:
Applying the fractional comparison principle (see [10,20]), the scalar fractional differential Equation (24) admits the explicit solution in terms of the Mittag–Leffler function:
where is the one-parameter Mittag–Leffler function defined by (19). Since as for any , we have:
Therefore, one can directly conclude that:
Similarly, summing the vector equations in (9) yields:
Multiplying both sides of (28) by gives:
By the fractional comparison principle, it follows that:
Finally, for the awareness function , we have:
Multiplying both sides by yields:
Since the ratio is bounded between 0 and , we can conclude:
By the fractional comparison principle, remains positive and bounded for all , and:
Therefore, the solutions evolve in the positively invariant compact region:
which guarantees the global boundedness of all state variables on .
3.4. Existence of Disease-Free Equilibrium (DFE)
We analyze the existence of a disease-free equilibrium (DFE) in the fractional-order ACL model introduced in Section 3.1. The DFE represents a biologically meaningful state in which no individuals are infected, and all disease-related compartments vanish. In our case, the DFE is defined by:
Substituting these values into the fractional system, the equilibrium conditions reduce to the following algebraic equations:
Solving these, we obtain the DFE values:
All other compartments related to exposed and infected individuals are zero in the DFE, by definition. Hence, the disease-free steady state is given by:
3.5. Basic Reproduction Number
To quantify the initial transmission potential of ACL in the absence of acquired immunity, we derive the basic reproduction number using the next-generation matrix approach [6]. In this framework, the set of infected compartments is identified as:
At the DFE, the total populations and are constant, and the susceptible compartments satisfy:
Hence, the forces of infection become linear in the infected variables:
where represents the relative infectiousness of asymptomatic humans, and denotes the relative infectiousness of insecticide-resistant vectors compared to the reference groups. The vectors of new infection terms and transition terms are defined as:
The Jacobian matrices of and with respect to , evaluated at the DFE, are given by:
where:
The next-generation matrix is defined as , and the basic reproduction number corresponds to its spectral radius. After algebraic simplifications and substituting the DFE values, the explicit expression of the basic reproduction number is obtained as:
This quantity represents the expected number of secondary human infections generated by a single infected individual in a completely susceptible population. The parameters and directly scale the contributions of asymptomatic humans and insecticide-resistant vectors, respectively. When , the infection tends to die out; conversely, indicates the potential for sustained transmission in the absence of interventions.
3.6. Existence of Endemic Equilibrium (EE)
An endemic equilibrium (EE) corresponds to a steady-state solution of the model (9), where the disease persists in the population. This implies that at least one of the infectious compartments has a positive value:
Let:
denote the EE point. Since the system is governed by Caputo fractional derivatives, at equilibrium all time derivatives vanish, and the system reduces to the following set of algebraic equations:
The forces of infection at equilibrium, consistent with (10), are given by:
where:
From the last equation, it follows that:
If is sufficiently small or the infectious proportions are low, then , and the control impact becomes negligible at equilibrium. Substituting the third and fourth equations gives:
From the fifth equation:
From the eighth and ninth equations:
According to the first and sixth equations, the susceptible compartments are:
Substituting these expressions into the remaining equations reduces the system to a pair of nonlinear algebraic equations in the variables and , which can be solved numerically for given parameter values. The model admits a biologically meaningful endemic equilibrium provided that the basic reproduction number satisfies . The explicit dependence of the forces of infection on equilibrium state variables, including the factors and , plays a key role in determining the feasibility and stability of .
3.7. Stability Analysis of Equilibria
In this section, we investigate the local stability conditions for both the DFE and the EE of the uncontrolled system.
3.7.1. Stability of the DFE
We consider the DFE given by:
At this equilibrium, all infected compartments are zero. To analyze local stability, we linearize system (9) around and compute the Jacobian matrix. According to the standard theory of fractional-order differential equations, the DFE is locally asymptotically stable if the following fractional stability condition holds [10,26]:
where the symbols represent the eigenvalues of the Jacobian matrix evaluated at , while indicates the order of the Caputo derivative. The basic reproduction number is computed using the next-generation matrix method, yielding:
Therefore, under the given parameter values and in the absence of control measures, the DFE is unstable. In general, if , then the DFE is locally asymptotically stable for any fractional order ; if , the DFE is unstable.
3.7.2. Stability of the EE
Let the EE be:
where at least one of the infectious compartments is positive. To assess the local stability of , we compute the Jacobian matrix evaluated at the equilibrium values obtained from solving the steady-state system (Section 3.6). Using the parameter values in Table 2 and setting , the eigenvalues of are computed numerically as:
Since all eigenvalues are real and negative, we have , and for :
which holds for all i. Therefore, the endemic equilibrium is locally asymptotically stable for the given parameter values and fractional order [10,26].
3.8. Sensitivity Analysis
Researchers carried out a global sensitivity analysis using the Partial Rank Correlation Coefficient (PRCC) method in conjunction with Latin Hypercube Sampling (LHS) to identify the most influential parameters affecting the transmission potential of ACL [27,28]. In this analysis, the basic reproduction number was used as the output (response) variable, while all biological and epidemiological parameters served as input variables. The PRCC-LHS approach quantifies the strength and direction of the monotonic relationship between each model parameter and the response variable , while controlling for the effects of other parameters [29,30,31]. This type of analysis is therefore global, rather than local, because it explores the sensitivity of over a broad multidimensional parameter space instead of relying on single-point partial derivatives.
Figure 1 illustrates the PRCC values obtained from 1000 LHS runs, and Table 3 summarizes the corresponding numerical results. Parameters with larger absolute PRCC values (either positive or negative) exert a stronger influence on . The most sensitive parameters were identified as the average biting rate a (PRCC = 0.5916), the vector-to-human transmission probability (0.2454), the human recruitment rate (0.2369), and the human-to-vector transmission probability (0.2126). These positive PRCC values indicate that increasing these parameters leads to a rise in , thereby enhancing disease transmission potential. Conversely, the vector natural death rate (PRCC = ) and the human natural death rate (PRCC = ) have the strongest negative correlations with , implying that higher mortality rates reduce the likelihood of disease spread. Parameters such as p, q, and exhibit very small PRCC values close to zero, suggesting minimal influence on within the considered parameter ranges.
Figure 1.
Global sensitivity analysis using the PRCC-LHS method.
Table 3.
PRCC values of the model parameters with respect to .
Overall, the PRCC-LHS-based global sensitivity analysis reveals that transmission-related and demographic parameters play dominant roles in determining the basic reproduction number , and thus should be prioritized in the design of effective intervention and control strategies.
4. Objective Functional and Constraints
The controlled fractional-order model is given by:
The control variables are defined in Table 4.
Table 4.
Control variables.
Also, the forces of infection are modified to incorporate the bed-net/repellent control :
where and . The objective is to determine optimal controls over a finite time horizon that minimize both the disease burden (number of infected and exposed individuals) and the implementation costs. Thus, the corresponding performance index is:
where (for to 4) represents the weights assigned to disease burden, while (for to 4) denotes the cost coefficients. Notice that the constants assign relative importance to the associated state components, and minimizing the integral ensures that these infection-related states remain small. In addition, the constants () represent the weighting coefficients corresponding to the relative costs of each control strategy in the objective functional. They appear through the quadratic penalty terms , and consequently influence the optimality conditions, where larger values discourage excessive use of the corresponding control. Specifically, in our case, the objective functional weighting coefficients are chosen as , , , and , while the control cost coefficients are selected as , , , and for numerical implementation. These coefficients balance the trade-off between infection reduction and control effort. Finally, the controls satisfy the bounds:
Pontryagin’s Maximum Principle
To derive necessary conditions for optimality in the fractional-order control problem, we apply Pontryagin’s maximum principle adapted for systems governed by Caputo derivatives. This principle introduces adjoint variables and defines a Hamiltonian function to characterize the optimal controls. The Hamiltonian function , corresponding to the system (79) and the objective functional (81), is given by:
where , for , denote the adjoint variables associated with the state variables . These satisfy the system of right-sided Riemann–Liouville fractional differential equations:
with:
The explicit adjoint equations are:
The optimal control functions , for , minimize the Hamiltonian point-wise and satisfy the control constraints :
The partial derivatives of the Hamiltonian with respect to the controls are:
Finally, the method for obtaining the state equations from the Hamiltonian is:
These expressions incorporate both the necessary optimality conditions and the box constraints on the controls.
5. Numerical Technique
To numerically approximate the fractional-order state system and associated adjoint equations arising from the application of Pontryagin’s maximum principle, we adopt an iterative forward-backward sweep method. The system of Caputo fractional differential equations governing the dynamics of the model is expressed in compact vector form as follows:
where and are defined, respectively, as the state vector and the right-hand side of the system (9):
Using the Caputo definition of fractional derivative, Equation (91) can be rewritten in integral form:
We discretize the interval using a uniform step size and define time nodes , for . Applying the trapezoidal quadrature rule to approximate the integral in (94), we obtain the numerical scheme:
where equals when k is either 0 or j, while equals 1 for all other values of k. Additionally, represents the local truncation error that satisfies:
The system (95) is solved recursively using Newton’s method due to its nonlinear dependence on . To solve the optimal control problem, we apply the forward-backward sweep algorithm. First, the state equations in (79) are integrated forward in time using the above numerical method and initial conditions. Then, the adjoint equations in (87)—derived from the Hamiltonian—are solved backward in time using the transversality conditions. At each iteration, the control variables to are updated by minimizing the Hamiltonian function, according to the characterizations provided by the necessary optimality conditions in (89). The overall procedure is summarized in Algorithm 1. The associated flowchart is also given in Figure 2.
| Algorithm 1 Forward–backward sweep method for solving the fractional optimal control problem |
|
Figure 2.
Flowchart of the forward–backward sweep algorithm.
Convergence Analysis
The primary goal of our convergence analysis is to demonstrate that the numerical method we use to approximate the solution of the fractional-order optimal control system converges to the true solution as the step size h approaches zero. Recall the integral approximation error in the fractional trapezoidal method, given by:
where is the numerical approximation of the state vector at node . Subtracting the exact integral representation from its numerical approximation yields the error:
where , are trapezoidal weights, and is the local truncation error of the quadrature rule. Assuming that satisfies the Lipschitz condition with constant L, and letting , , we have:
For sufficiently small h, the following recursive bound applies:
which leads to:
Therefore, as , we conclude that , proving the convergence of the numerical scheme for the fractional-order epidemic model at hand.
6. Numerical Results
In the numerical simulations, we applied the method described in Section 5, implemented using the Python 3.14 software, and the simulations were executed in the Visual Studio Code (VS Code v1.105.1) integrated development environment. Furthermore, we consider various simulation scenarios, which we will discuss hereinafter.
6.1. Simulation Scenarios
To assess the effectiveness of various intervention strategies in mitigating the spread of ACL, we define a set of control-based simulation scenarios. Each scenario corresponds to a distinct combination of the four available control functions in our model: use of bed nets and repellents (), treatment of symptomatic individuals (), insecticide spraying (), and awareness campaigns (). These controls are applied subject to resource constraints, and their configurations are chosen to reflect both practical public health policies and theoretical significance. The following scenarios are considered:
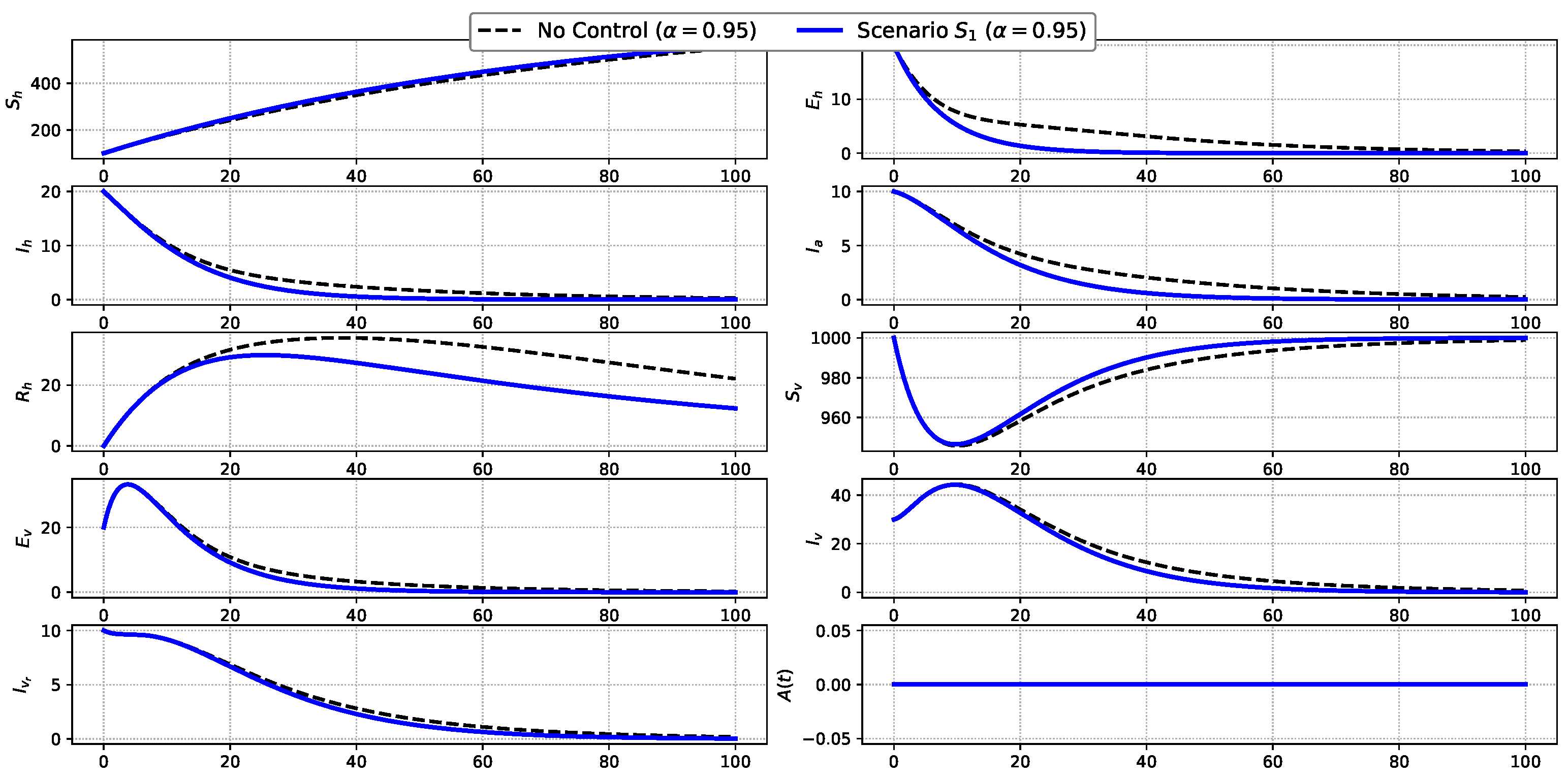
- Scenario S1 (Vector Avoidance Only): Figure 3 illustrates the temporal evolution of all ten state variables under Scenario , where only the personal protection control (e.g., use of bed nets and repellents) is active, and compares it to the uncontrolled baseline. The fractional order is fixed at to account for memory effects inherent in both the biological and behavioral dynamics of the system. The implementation of significantly reduces the force of infection between humans and vectors by lowering effective contact rates. Consequently, throughout the simulation period, we note a slight but steady decrease in the number of exposed () and symptomatic infected individuals () compared to the no-control scenario. Due to their indirect dependence on exposure rather than contact intensity, the impact on asymptomatic infections () is less pronounced. For the vector population, a slight reduction in exposed () and infected vectors (, ) is observed due to the reduced likelihood of acquiring infection from protected human hosts. However, this scenario does not directly target vector dynamics, resulting in relatively subdued changes. Importantly, the awareness function shows no deviation between the two cases, as no awareness-related control is employed. Overall, Scenario demonstrates that personal protection can contribute meaningfully to reducing human infections, especially during the early and middle phases of the outbreak. However, its isolated application yields limited control over the broader transmission cycle, suggesting that more comprehensive strategies are required to achieve substantial disease suppression.
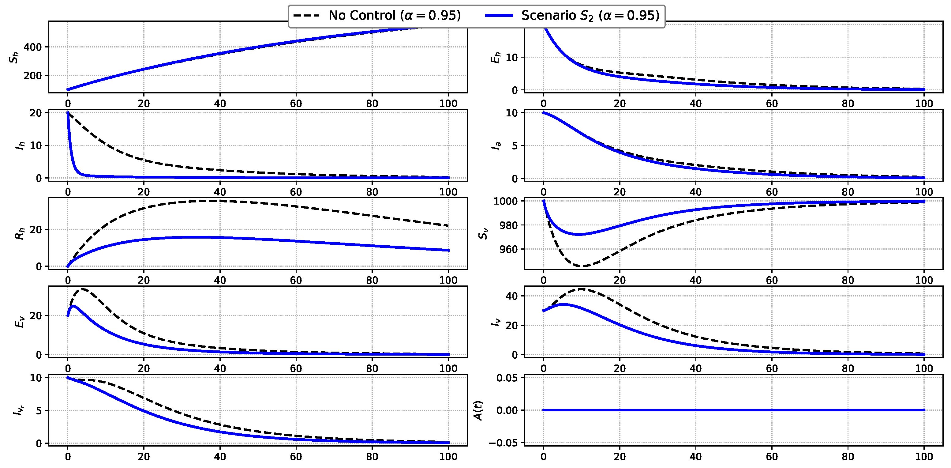
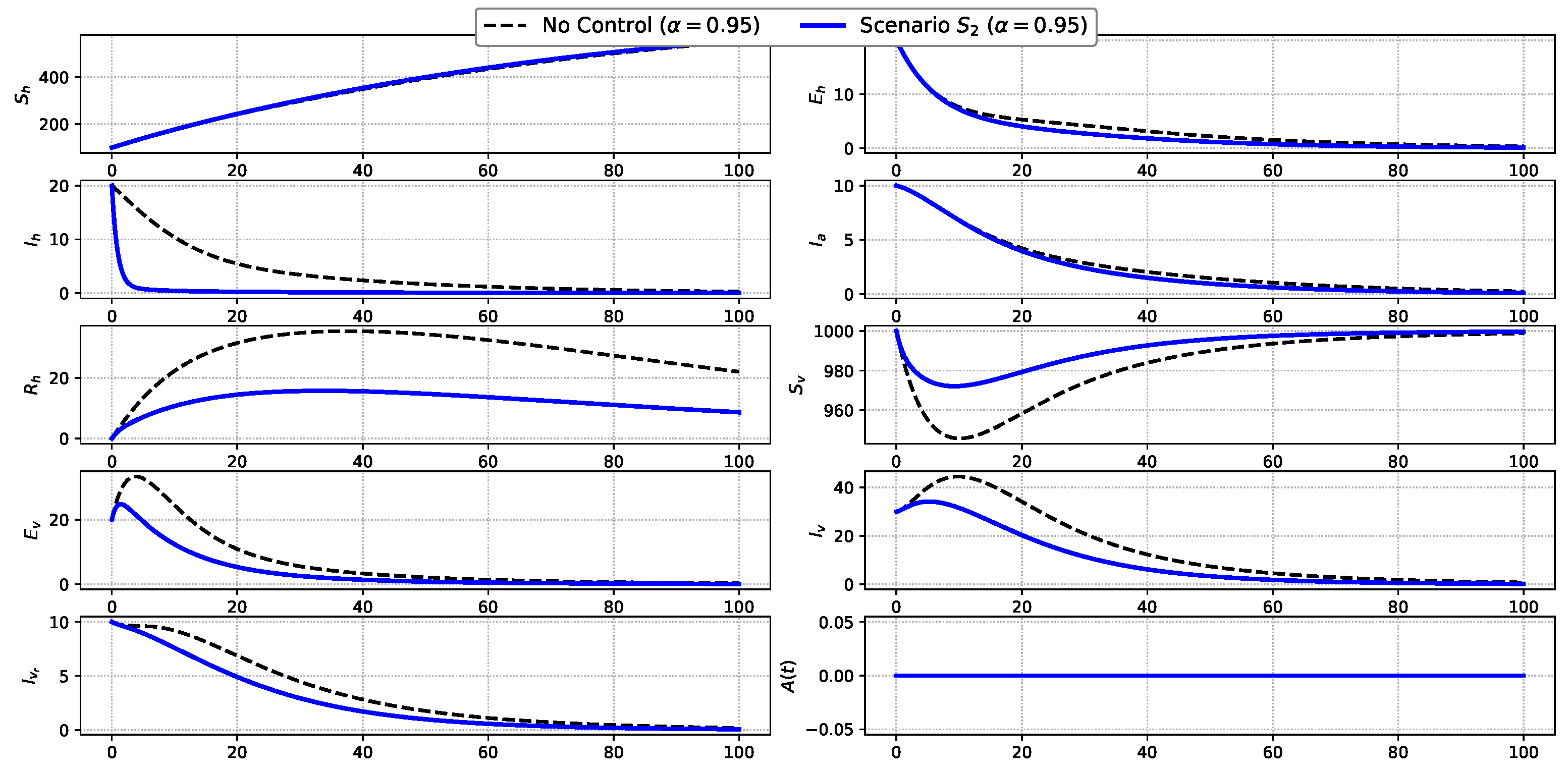
Figure 3. Comparison of state variables under Scenario and the uncontrolled baseline. - Scenario S2 (Treatment Only): Figure 4 presents the model dynamics under Scenario , where treatment of symptomatic individuals via control is the sole intervention. A significant decrease in the symptomatic infected population () is observed compared to the baseline, especially during the initial and middle phases of the epidemic. This decline results from a shortened infectious period, which also indirectly reduces secondary infections. Consequently, a delayed but observable decline in the number of exposed humans () emerges due to the weakened forward transmission. The asymptomatic class (), unaffected directly by treatment, exhibits minor differences from the baseline. For the vector populations, a mild reduction in exposed and infected compartments (, , ) occurs, driven by the lowered human-to-vector transmission intensity. No change is observed in the awareness level (A), as no awareness-related intervention is employed. Overall, Scenario proves effective in rapidly reducing symptomatic infections and partially suppressing the transmission cycle, but it does not fully disrupt vector-driven dynamics without complementary controls.
Figure 4. Comparison of state variables under Scenario and the uncontrolled baseline. - Scenario S3 (Vector Spraying Only): Figure 5 depicts the evolution of state variables under Scenario , where insecticide spraying () is the only active control. The most pronounced impact is observed in the vector-related compartments, with substantial reductions in susceptible (), exposed (), and both infected classes (, ), indicating the direct mortality effect of the intervention on the vector population. This reduction in vector density effectively lowers the force of infection toward humans, leading to a delayed but meaningful decline in exposed () and symptomatic infected humans (). Indirectly affected, the asymptomatic class () also shows a slight downward shift compared to the no-control case. Since treatment and awareness controls are inactive, the recovery and awareness levels (, A) follow trajectories similar to the baseline. Overall, vector spraying in isolation demonstrates notable efficiency in disrupting vector dynamics and indirectly suppressing human transmission, though it falls short of completely halting disease propagation in the absence of host-directed interventions.
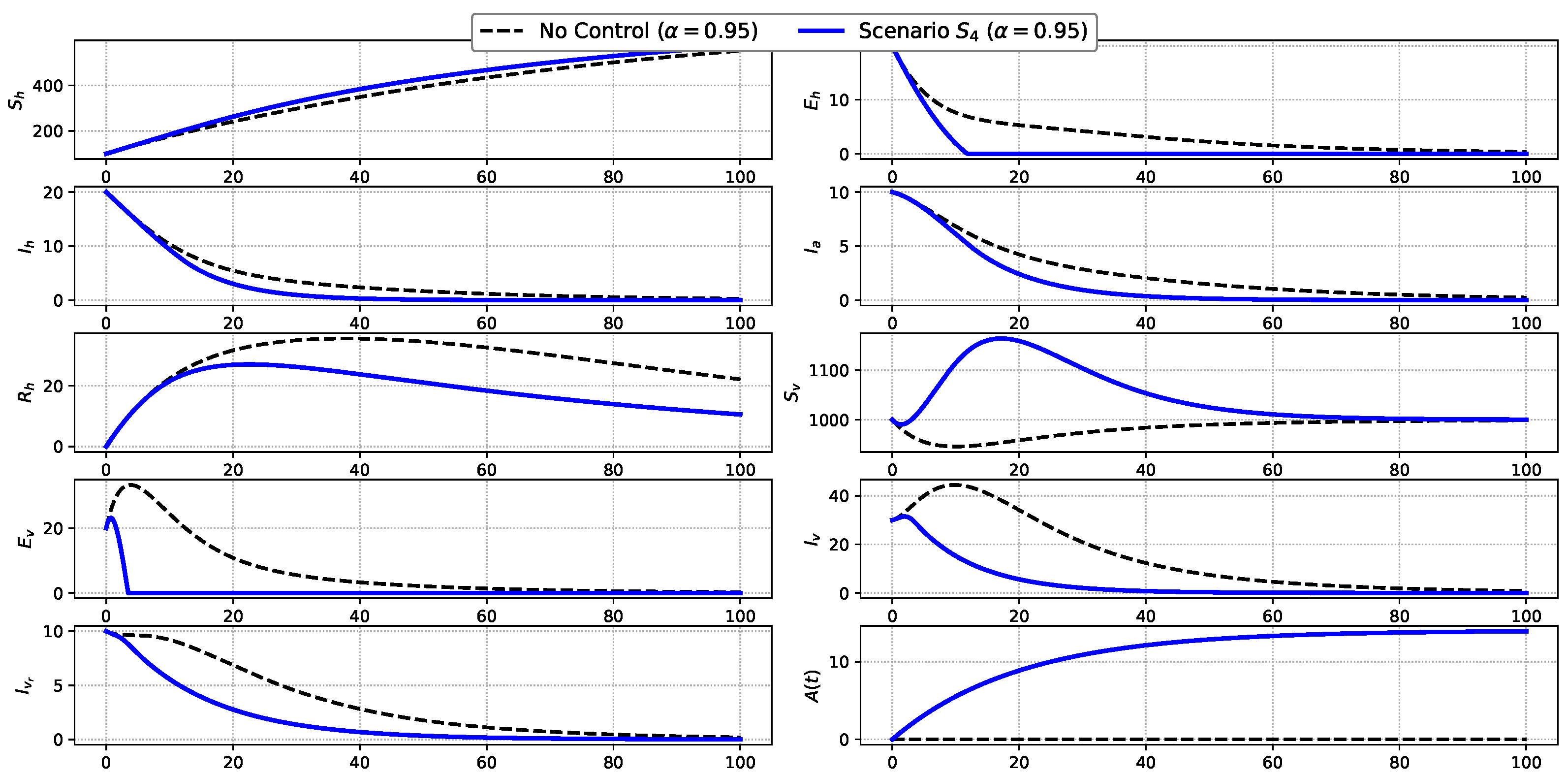
Figure 5. Comparison of state variables under Scenario and the uncontrolled baseline. - Scenario S4 (Awareness Campaign Only): Figure 6 shows the system trajectories under Scenario , where only public awareness efforts () are implemented. The awareness level (A) exhibits a sustained and significant increase over time, reflecting the direct effect of the control. This rise in awareness reduces the effective contact rate between humans and vectors, which in turn mildly suppresses transmission. The effect on epidemiological compartments is small but steady: there are small drops in the exposed (), symptomatic (), and asymptomatic () human classes, as well as small drops in the infected vectors (, ). However, due to the indirect nature of this intervention and the absence of direct treatment or vector-killing measures, the declines are not pronounced. Overall, Scenario highlights the role of behavioral modification as a supportive control. While awareness alone does not significantly alter the disease trajectory, it contributes to reducing transmission intensity, especially when integrated with other strategies.
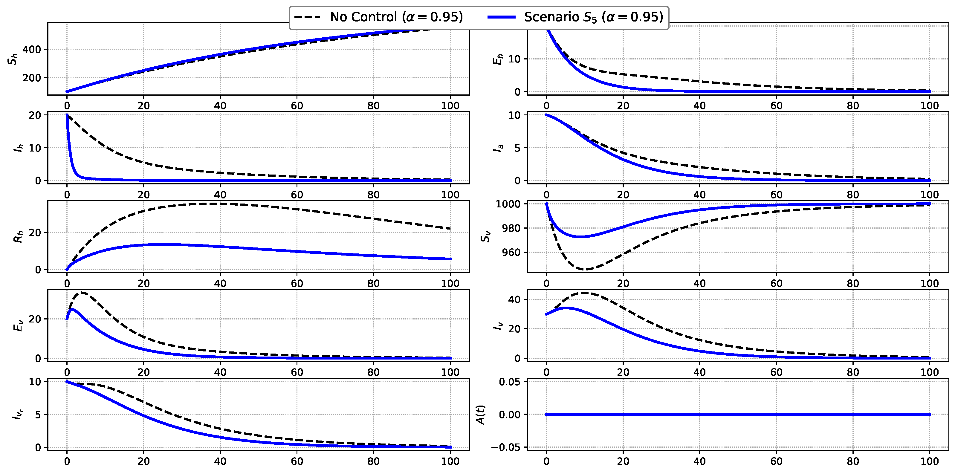
Figure 6. Comparison of state variables under Scenario and the uncontrolled baseline. - Scenario S5 (Combined Treatment and Personal Protection): Figure 7 illustrates the dynamics under Scenario , which combines personal protection () and treatment of symptomatic individuals (). This dual intervention targets both the infection source and the transmission pathway, leading to a more pronounced suppression of the epidemic compared to single-control strategies. A significant reduction in symptomatic infections () is observed, resulting from both shortened infectious periods and decreased exposure risk. The exposed class () also declines benefiting from the synergistic effect of reduced contact and diminished secondary transmission. Asymptomatic infections (), while not directly treated, follow a downward trend as a result of reduced upstream exposure. In the vector population, moderate declines are observed in exposed and infected compartments due to the reduced infectivity of human hosts. The susceptible vector pool () and awareness level (A) stay mostly the same because there is no vector-targeted control or awareness campaign. Overall, Scenario demonstrates the enhanced effectiveness of integrated host-based strategies. The simultaneous use of repellents and treatment significantly weakens transmission feedback loops and offers a balanced approach to disease mitigation.
Figure 7. Comparison of state variables under Scenario and the uncontrolled baseline. - Scenario S6 (Combined Repellent and Spraying): Figure 8 presents the evolution of the system under Scenario , which integrates personal protection () with insecticide spraying (). This combined strategy simultaneously reduces human-vector contact and vector abundance, resulting in a strong and rapid suppression of disease transmission. The vector-related compartments , , , and show substantial declines due to direct vector mortality induced by spraying. Additionally, the reduction in human exposure—achieved through repellents and bed nets—further limits the replenishment of the infected vector pool. On the human side, we significantly reduce exposed (), symptomatic (), and asymptomatic () infections compared to the baseline. These enhancements result from the synergistic effects of reduced infectious bites and lowered forward transmission pressure. However, since no treatment or awareness interventions are applied, recovery dynamics and the awareness level (A) remain nearly identical to the uncontrolled case. In summary, Scenario effectively disrupts both the environmental and behavioral transmission routes. It proves particularly valuable in settings where vector control and personal-level measures can be deployed in tandem, even in the absence of clinical or educational interventions.
Figure 8. Comparison of state variables under Scenario and the uncontrolled baseline. - Scenario S7 (Combined Treatment and Awareness): Figure 9 depicts the model behavior under scenario , which combines treatment of symptomatic individuals () with public awareness campaigns (). This hybrid approach merges direct clinical intervention with indirect behavioral modification, resulting in meaningful reductions across several compartments. Symptomatic infections () decline sharply due to active treatment, which shortens the infectious period and interrupts human-to-vector transmission. At the same time, the awareness function (A) increases steadily, decreasing exposure risk by reducing contact rates. These complementary effects yield a visible decline in the number of exposed humans (), as well as a moderate decline in asymptomatic infections (), which are indirectly influenced by reduced incidence. Although the vector compartments are not targeted directly, a slight reduction in infected vectors emerges due to decreased transmission from human hosts. The susceptible vector population () remains stable in the absence of vector-specific controls. Thus, Scenario illustrates the added value of combining behavioral and therapeutic strategies. The synergy between heightened public awareness and timely clinical response provides a two-pronged mechanism for curbing transmission, especially in human-dominated settings.
Figure 9. Comparison of state variables under Scenario and the uncontrolled baseline. - Scenario S8 (Full Control Strategy): Figure 10 shows the dynamics of the full intervention scenario , in which all four controls—personal protection (), treatment (), insecticide spraying (), and public awareness ()—are simultaneously applied. This comprehensive strategy exerts maximal pressure on the disease system by targeting both human and vector dynamics as well as behavioral responses. The result is a pronounced and rapid decline in all key epidemiological compartments. The combined effects of reduced exposure, enhanced recovery, and increased awareness significantly reduce symptomatic () and asymptomatic () infections. The exposed human class () also decreases sharply, reflecting strong suppression of transmission at early stages. Vector-related states—including , , , and —drop substantially because of direct vector mortality (via ) and indirect transmission reductions. Moreover, the awareness level (A) rises steadily, further reinforcing the behavioral shift needed to sustain control measures. Overall, Scenario delivers the most effective outcome among all considered strategies. By synchronizing environmental, clinical, and educational interventions, it disrupts multiple feedback loops in the transmission cycle and highlights the power of integrated public health approaches in managing ACL.
Figure 10. Comparison of state variables under Scenario and the uncontrolled baseline.
6.2. Effect of Fractional Order
Figure 11 demonstrates the influence of the fractional derivative order on the temporal evolution of symptomatic infections () and the awareness level (A) under Scenario , where only the awareness control is active. As the value of decreases from 1.0 to 0.85, representing a stronger memory effect, a significant suppression in both the peak and the long-term prevalence of is observed. This behavior reflects the capacity of fractional-order dynamics to capture the prolonged impact of public health campaigns, where awareness persists and continues to influence behavior over time. Furthermore, the awareness variable (A) exhibits a faster and more sustained increase at lower , implying that individuals respond more effectively to information and retain it longer when memory effects are stronger. In general, the results show that fractional models can provide a more accurate picture of behavioral and epidemiological processes and that awareness campaigns may work much better when there is population memory and behavioral inertia. Figure 12 illustrates the effect of the fractional-order parameter on the dynamics of symptomatic infections () and awareness level (A) under Scenario , where all four control strategies ( to ) are simultaneously active. The figure shows that as decreases from 1.0 to 0.85, both the peak and the duration of symptomatic infections are further reduced, with the earliest suppression occurring at . This improved mitigation shows the memory effect that is built into the fractional derivative: a lower means that the system keeps more information from the past, which makes the control interventions—especially changes in behavior and awareness—more effective over time. Similarly, the awareness function (A) increases more rapidly and reaches higher sustained levels at lower , reinforcing the idea that memory-dependent behavioral responses can amplify the impact of multi-faceted control programs. Overall, these findings emphasize that the synergy between fractional memory and combined interventions can significantly accelerate disease eradication. Figure 13 shows how the objective functional J varies with the fractional-order derivative across different intervention scenarios. As increases toward the classical case of , the values of J generally increase in all scenarios. This trend reflects the reduced impact of memory effects in integer-order models, where the system responds more locally in time and lacks long-term behavioral persistence. In contrast, lower values of (e.g., ) lead to significantly lower values of J, indicating enhanced cost-effectiveness of control strategies under fractional dynamics. The memory effect embedded in the Caputo derivative allows past control efforts—especially in awareness and behavioral response—to exert influence over extended periods, thus reducing both infection burden and intervention costs more efficiently. Scenarios with multiple active controls (e.g., Scenario ) show the most sensitivity to , which means that fractional-order models are especially useful for making complex, multi-layered intervention programs work better.
Figure 11.
Effect of parameter under scenario .
Figure 12.
Effect of parameter under scenario .
Figure 13.
Effect of the fractional derivative order on the objective functional J across different control scenarios.
6.3. Optimal Scenario Identification
To determine the most effective intervention strategy, we compare the total cost functional J and accumulated infection burden E across all control scenarios for the fractional-order , as shown in Table 5. The scenario involving no control results in the highest infection burden with a baseline cost of . The lowest value of J is achieved by the scenario with , which also substantially reduces the infection burden to . Adding awareness control to this combination ( or “All Controls”) does not significantly improve either cost or effectiveness, suggesting a redundancy or saturation effect when all interventions are simultaneously applied. Scenarios that employ only awareness () or only bed-net usage () result in nearly identical infection levels to the no-control case, but with a higher total cost. This indicates that awareness campaigns alone—although valuable from a public health perspective—are insufficient to control the disease without complementary biomedical interventions such as treatment or vector control. These findings are quantitatively confirmed by the Incremental Cost-Effectiveness Ratio (ICER) values in Table 6. The scenario exhibits the lowest ICER of , indicating a cost-saving effect relative to no control. In contrast, scenarios with only or yield highly inefficient outcomes, with ICER values exceeding 1900 and 36,000, respectively. Even the “All Controls” scenario, despite achieving a slightly reduced infection level, shows a less favorable ICER compared to due to higher costs. In summary, the optimal control configuration in terms of cost-effectiveness and infection mitigation is the combined treatment and spraying scenario . This highlights the biological importance of directly targeting disease progression and vector transmission rather than relying solely on awareness or preventive measures.
Table 5.
Total cost J and effectiveness E for each control scenario with .
Table 6.
ICER for .
6.4. Scientific Interpretation, Policy and Public Health Implications, and Comparison with Classical Control Models
The present study proposes a novel fractional optimal control model for ACL, integrating key epidemiological features such as asymptomatic transmission, vector resistance, and behaviorally driven awareness dynamics. By employing Caputo fractional derivatives, the model captures non-local temporal effects inherent to biological and behavioral processes, such as memory of past exposures or sustained public responses to interventions [10,22].
One of the most important scientific advances is the clear modeling of the asymptomatic human class, which includes subclinical carriers who spread the disease without being detected or treated. Previous studies have shown that ignoring asymptomatic individuals can result in underestimation of disease burden and intervention failure [23,32]. Our simulations confirm that targeting only symptomatic individuals leads to limited impact unless asymptomatic transmission is also suppressed. Another key contribution is the inclusion of a resistant vector compartment, modeling the gradual emergence of insecticide resistance—a growing concern in leishmaniasis-endemic regions [4]. The model shows that even a small number of resistant vectors can make vector control measures less effective over time. This supports the WHO’s call for resistance monitoring and the rotation of control tools [33].
The introduction of a dynamic awareness function allows for the simulation of behaviorally adaptive responses in the human population. This component, which evolves based on campaign effort and decays in the absence of reinforcement, aligns with current findings in behavioral epidemiology that emphasize the time-dependent and nonlinear nature of public health compliance [34]. Under fractional-order dynamics, awareness campaigns exhibit greater long-term persistence and efficacy due to memory effects, highlighting the relevance of fractional modeling for socio-epidemiological systems [35].
From a policy and public health perspective, the model provides an actionable framework for resource-aware control planning. It uses optimal control theory to identify flexible ways to divide up limited resources for treatment, protection, spraying, and education. Numerical results show that combinations such as treatment + vector spraying outperform single strategies in terms of cost-effectiveness—quantified via the objective functional and ICER values—especially under high transmission scenarios. These results are consistent with prior work on cost-effective leishmaniasis control in resource-constrained settings [25].
The proposed fractional model presents significant advantages over traditional integer-order control models. Classical models assume memoryless dynamics and typically fail to capture the delayed or accumulated effects of interventions. As demonstrated in previous research [20,21], fractional-order systems can reflect biologically realistic features such as incubation delays, treatment response variability, and behavioral inertia. Moreover, the smoother control profiles generated by the fractional approach (rather than the abrupt switching seen in classical settings) are more compatible with real-world health program logistics and behavioral adaptation lags. In conclusion, this research enhances the theoretical framework of disease modeling by integrating biologically relevant memory mechanisms, resistance evolution, and awareness-driven behavior into a unified, resource-limited fractional optimal control model. It connects strict mathematical modeling with real-world public health policy and supplies useful information on how to make strong and long-lasting intervention plans for ACL and other vector-borne diseases.
7. Conclusions
This study presented a novel fractional-order optimal control model for ACL, capturing the complexities of disease dynamics through the integration of asymptomatic carriers, insecticide-resistant vectors, and behaviorally adaptive awareness. The use of Caputo fractional derivatives enabled the model to reflect memory-dependent processes in both biological and behavioral domains, such as incubation delays, persistent public health responses, and the long-term evolution of resistance. Key findings from the analysis highlighted the importance of incorporating memory effects into epidemiological models. Our results indicated that intervention strategies such as treatment and vector spraying are significantly more effective under fractional-order dynamics (), as they benefit from the sustained effects of past actions. Additionally, modeling public awareness as a dynamic state variable—rather than a static parameter—allowed the model to reflect intervention fatigue and the temporal evolution of behavior change. This conclusion is in line with recent behavioral modeling frameworks that emphasize feedback mechanisms in public response [36,37]. The model also showed that asymptomatic people can spread the disease, even with treatment programs for symptomatic people. Such evidence shows how important it is to have broader surveillance methods [1]. Moreover, simulations involving insecticide-resistant vectors suggested that traditional spraying interventions may lose efficacy over time unless resistance management strategies are implemented. The biological relevance of these extensions demonstrates the model’s ability to bridge mathematical rigor with epidemiological realism.
From a public health perspective, our optimal control framework offered advantageous information about how limited resources can be allocated among multiple interventions. In particular, combinations of interventions—especially treatment and vector control—were particularly shown to yield high cost-effectiveness, while awareness-only strategies, although slower, produced more sustainable effects under memory-rich dynamics. These findings complement recent theoretical and empirical research emphasizing the role of long-term planning in epidemic control [38].
Despite its strengths, the model has limitations. It assumes homogeneous population mixing and does not incorporate spatial heterogeneity or network-based interactions, which have been shown to affect disease spread and control outcomes significantly [39]. Additionally, some parameters—particularly those related to behavioral response and resistance evolution—were estimated or assumed in the absence of high-quality empirical data. Future research may address these limitations through several directions. First, incorporating stochastic effects and uncertainty analysis would improve the model’s robustness, particularly in the face of real-world unpredictability [40]. Second, applying Bayesian inference or machine learning methods to estimate behavioral and biological parameters from field data would improve the model’s predictive accuracy [41]. Third, incorporating spatial structure and meta-population dynamics—including human mobility and network connectivity—could reveal more nuanced transmission patterns and inform targeted intervention strategies [42]. Fourth, expanding the model to account for co-infections (e.g., HIV-Leishmania) or immune memory effects may increase its relevance for broader public health contexts [43]. Finally, employing alternative numerical schemes like the classical Adams–Bashforth–Moulton predictor–corrector method may help solve fractional-order optimal control problems computationally more efficiently than the trapezoidal method suggested in this paper; however, as the numerical results with the above-mentioned approximation technique for the problem under study are not available in the current literature, we could not make a fair comparison to identify the superior approach.
Author Contributions
Conceptualization, A.E.; software, A.E.; validation, A.J.; formal analysis, M.Y.; investigation, M.Y.; visualization, M.Y.; writing—original draft, A.E.; writing—review and editing, A.J.; supervision, A.J. All authors have read and agreed to the published version of the manuscript.
Funding
This research received no external funding.
Data Availability Statement
No data was used for the research described in the article.
Conflicts of Interest
The authors declare no conflicts of interest.
References
- Alvar, J.; Vélez, I.D.; Bern, C.; Herrero, M.; Desjeux, P.; Cano, J.; Jannin, J.; Boer, M.d.; WHO Leishmaniasis Control Team. Leishmaniasis worldwide and global estimates of its incidence. PLoS ONE 2012, 7, e35671. [Google Scholar] [CrossRef]
- Cosma, C.; Maia, C.; Khan, N.; Infantino, M.; Del Riccio, M. Leishmaniasis in humans and animals: A one health approach for surveillance, prevention and control in a changing world. Trop. Med. Infect. Dis. 2024, 9, 258. [Google Scholar] [CrossRef] [PubMed]
- Almeida-Souza, F.; Calabrese, K.D.S.; Abreu-Silva, A.L.; Cardoso, F. Leishmania Parasites: Epidemiology, Immunopathology and Hosts; BoD–Books on Demand: Norderstedt, Germany, 2024. [Google Scholar]
- Khater, H.F.; Ramadan, M.Y. Control of phlebotomine sandflies (Diptera: Psychodidae) with insecticides: A review of current status and future prospects. J. Vector Ecol. 2013, 38, 1–9. [Google Scholar]
- Hethcote, H.W. The mathematics of infectious diseases. SIAM Rev. 2000, 42, 599–653. [Google Scholar] [CrossRef]
- Van den Driessche, P.; Watmough, J. Reproduction numbers and sub-threshold endemic equilibria for compartmental models of disease transmission. Math. Biosci. 2002, 180, 29–48. [Google Scholar] [CrossRef]
- Safan, M.; Altheyabi, A. Mathematical analysis of an anthroponotic cutaneous leishmaniasis model with asymptomatic infection. Mathematics 2023, 11, 2388. [Google Scholar] [CrossRef]
- Sinan, M.; Ansari, K.J.; Kanwal, A.; Shah, K.; Abdeljawad, T.; Abdalla, B. Analysis of the mathematical model of cutaneous leishmaniasis disease. Alex. Eng. J. 2023, 72, 117–134. [Google Scholar] [CrossRef]
- Biswas, D.; Dolai, S.; Chowdhury, J.; Roy, P.K.; Grigorieva, E.V. Cost-effective analysis of control strategies to reduce the prevalence of cutaneous leishmaniasis, based on a mathematical model. Math. Comput. Appl. 2018, 23, 38. [Google Scholar] [CrossRef]
- Diethelm, K. The Analysis of Fractional Differential Equations: An Application-Oriented Exposition Using Differential Operators of Caputo Type; Springer: Berlin/Heidelberg, Germany, 2010. [Google Scholar]
- Joshi, H.; Yavuz, M. A novel fractional-order model and analysis of cancer-immune system interaction in an avascular environment with an efficient control mechanism. J. Comput. Appl. Math. 2026, 473, 116888. [Google Scholar] [CrossRef]
- Nabil, H.; Hamaizia, T. A three-dimensional discrete fractional-order HIV-1 model related to cancer cells, dynamical analysis and chaos control. Math. Model. Numer. Simul. Appl. 2024, 4, 256–279. [Google Scholar] [CrossRef]
- Fatima, B.; Yavuz, M.; ur Rahman, M.; Althobaiti, A.; Althobaiti, S. Predictive modeling and control strategies for the transmission of middle east respiratory syndrome coronavirus. Math. Comput. Appl. 2023, 28, 98. [Google Scholar] [CrossRef]
- Fatima, B.; Yavuz, M.; Rahman, M.U.; Al-Duais, F.S. Modeling the epidemic trend of middle eastern respiratory syndrome coronavirus with optimal control. Math. Biosci. Eng. 2023, 20, 11847–11874. [Google Scholar] [CrossRef]
- Ahmad, S.; Pak, S.; Rahman, M.U.; Al-Bossly, A. On the analysis of a fractional tuberculosis model with the effect of an imperfect vaccine and exogenous factors under the Mittag–Leffler kernel. Fractal Fract. 2023, 7, 526. [Google Scholar] [CrossRef]
- Abou-nouh, H.; El Khomssi, M. Towards a viable control strategy for a model describing the dynamics of corruption. Math. Model. Numer. Simul. Appl. 2025, 5, 1–17. [Google Scholar] [CrossRef]
- Mustapha, U.T.; Maigoro, Y.A.; Yusuf, A.; Qureshi, S. Mathematical modeling for the transmission dynamics of cholera with an optimal control strategy. Bull. Biomath. 2024, 2, 1–20. [Google Scholar] [CrossRef]
- Nkeki, C.; Mbarie, I. On a mathematical model and the efficacy of control measures on the transmission dynamics of chickenpox. Bull. Biomath. 2025, 3, 37–61. [Google Scholar] [CrossRef]
- Boulaaras, S.; Yavuz, M.; Alrashedi, Y.; Bahramand, S.; Jan, R. Modeling the co-dynamics of vector-borne infections with the application of optimal control theory. Discret. Contin. Dyn. Syst.-S 2025, 18, 1331–1352. [Google Scholar] [CrossRef]
- Kilbas, A.A.; Srivastava, H.M.; Trujillo, J.J. Theory and Applications of Fractional Differential Equations; Elsevier: Amsterdam, The Netherlands, 2006. [Google Scholar]
- Machado, J.A.T.; Kiryakova, V.; Mainardi, F. Recent history of fractional calculus. Commun. Nonlinear Sci. Numer. Simul. 2011, 16, 1140–1153. [Google Scholar] [CrossRef]
- Mainardi, F. Fractional Calculus and Waves in Linear Viscoelasticity: An Introduction to Mathematical Models; Imperial College Press: London, UK, 2010. [Google Scholar]
- Zamir, M.; Zaman, G.; Alshomrani, A.S. Sensitivity analysis and optimal control of anthroponotic cutaneous leishmania. PLoS ONE 2016, 11, e0160513. [Google Scholar] [CrossRef]
- Gómez-Aguilar, J.F.; Rosales-García, J.J.; Bernal-Alvarado, J.J.; Córdova-Fraga, T.; Guzmán-Cabrera, R. Fractional mechanical oscillators. Rev. Mex. Fís. 2012, 58, 348–352. [Google Scholar]
- Toufga, H.; Sakkoum, A.; Benahmadi, L.; Lhous, M. Analysis of the dynamics and optimal control of cutaneous Leishmania during human immigration. Iran. J. Numer. Anal. Optim. 2025, 15, 311–345. [Google Scholar]
- Matignon, D. Stability results for fractional differential equations with applications to control processing. Comput. Eng. Syst. Appl. 1996, 2, 963–968. [Google Scholar]
- Marino, S.; Hogue, I.B.; Ray, C.J.; Kirschner, D.E. A methodology for performing global uncertainty and sensitivity analysis in systems biology. J. Theor. Biol. 2008, 254, 178–196. [Google Scholar] [CrossRef] [PubMed]
- Belser, A.B.; McKay, C.L.; McMahon, D.K.; Hittner, J.B. Global sensitivity analysis: Concepts, methods, and applications in public health modeling. BMC Public Health 2022, 22, 1–14. [Google Scholar]
- Wu, J.; Dhingra, R.; Gambhir, M.; Remais, J.V. Sensitivity analysis of infectious disease models: Methods, advances and their application. J. R. Soc. Interface 2013, 10, 20121018. [Google Scholar] [CrossRef]
- Saltelli, A.; Ratto, M.; Andres, T.; Campolongo, F.; Cariboni, J.; Gatelli, D.; Saisana, M.; Tarantola, S. Global Sensitivity Analysis: The Primer; John Wiley & Sons: Hoboken, NJ, USA, 2008. [Google Scholar]
- Sobie, E.A. Parameter sensitivity analysis in electrophysiological models using multivariable regression. Biophys. J. 2009, 96, 1264–1274. [Google Scholar] [CrossRef]
- Nadeem, F.; Zamir, M.; Tridane, A. Modeling and control of zoonotic cutaneous leishmaniasis. Punjab Univ. J. Math. 2019, 51, 105–121. [Google Scholar]
- World Health Organization. Vector Control in Leishmaniasis: Current Strategies and Future Directions; WHO Technical Report; WHO: Geneva, Switzerland, 2020. [Google Scholar]
- Funk, S.; Gilad, E.; Jansen, V.A.A. The spread of awareness and its impact on epidemic outbreaks. Proc. Natl. Acad. Sci. USA 2009, 106, 6872–6877. [Google Scholar] [CrossRef]
- Baleanu, D.; Losada, J.; Jarad, F. Nonlocal modeling and analysis of the memory-dependent SIR epidemic system. Appl. Math. Model. 2019, 65, 123–137. [Google Scholar]
- Verelst, F.; Willem, L.; Beutels, P. Behavioural change models for infectious disease transmission: A systematic review (2010–2015). J. R. Soc. Interface 2016, 13, 20160820. [Google Scholar] [CrossRef]
- Van Bavel, J.J.; Baicker, K.; Boggio, P.S.; Capraro, V.; Cichocka, A.; Cikara, M.; Crockett, M.J.; Crum, A.J.; Douglas, K.M.; Druckman, J.N.; et al. Using social and behavioural science to support COVID-19 pandemic response. Nat. Hum. Behav. 2020, 4, 460–471. [Google Scholar] [CrossRef] [PubMed]
- Li, Q.; Peng, Y.; Bai, X. Memory-dependent fractional-order model of COVID-19 with public psychological effects. Appl. Math. Model. 2021, 90, 1062–1080. [Google Scholar]
- Kiss, I.Z.; Miller, J.C.; Simon, P.L. Mathematics of Epidemics on Networks: From Exact to Approximate Models; Springer: Berlin/Heidelberg, Germany, 2017. [Google Scholar]
- Allen, L.J.S. A primer on stochastic epidemic models: Formulation, numerical simulation, and analysis. Infect. Dis. Model. 2017, 2, 128–142. [Google Scholar] [CrossRef] [PubMed]
- Yoon, J.; Saha, S.; Kalantari, A. Bayesian parameter estimation for fractional-order epidemiological models: A case study of COVID-19. Mathematics 2022, 10, 822. [Google Scholar]
- Pastor-Satorras, R.; Castellano, C.; Van Mieghem, P.; Vespignani, A. Epidemic processes in complex networks. Rev. Mod. Phys. 2015, 87, 925–979. [Google Scholar] [CrossRef]
- Ferrer, R.A.; Klein, W.M. Examining the impact of co-infection in neglected tropical diseases: A theoretical modeling approach. PLoS Neglected Trop. Dis. 2021, 15, e0009333. [Google Scholar]
Disclaimer/Publisher’s Note: The statements, opinions and data contained in all publications are solely those of the individual author(s) and contributor(s) and not of MDPI and/or the editor(s). MDPI and/or the editor(s) disclaim responsibility for any injury to people or property resulting from any ideas, methods, instructions or products referred to in the content. |
© 2025 by the authors. Licensee MDPI, Basel, Switzerland. This article is an open access article distributed under the terms and conditions of the Creative Commons Attribution (CC BY) license (https://creativecommons.org/licenses/by/4.0/).












