Prediction of Compressive Strength in Fine-Grained Soils Stabilized with a Combination of Various Stabilization Agents and Nano-SiO2 Using Machine Learning Algorithms
Abstract
1. Introduction
2. Methodology
2.1. Data Collection
2.2. Machine Learning
2.2.1. Multi-Layer Perceptron (MLP)
2.2.2. Decision Tree (DT)
2.2.3. K-Nearest Neighbors (KNN)
2.2.4. Random Forest (RF)
2.2.5. Gradient Boosting (GB)
2.2.6. XGBoost (XGB)
2.2.7. Categorical Boosting (CatBoost)
2.2.8. Adaptive Boosting (AdaBoost)
2.2.9. Light Gradient Boosting Machine (LGBM)
2.2.10. Linear Regression (LR)
2.3. Model Implementation
2.4. Interpretation Techniques
3. Results and Discussion
3.1. Evaluating the Performance of Models
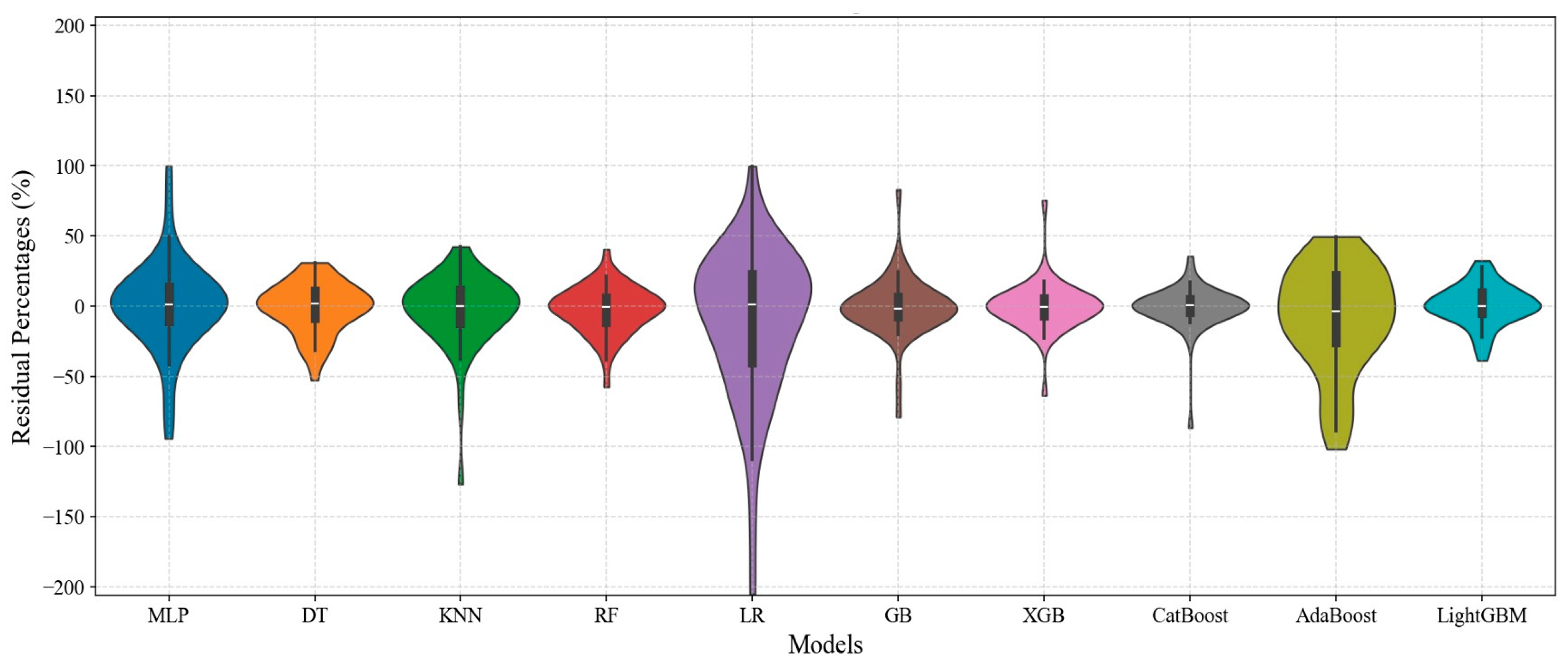
3.2. Comparison of Prediction Performance of Different Models
3.3. Feature Importance and Dependency Analysis
4. Conclusions
Author Contributions
Funding
Data Availability Statement
Acknowledgments
Conflicts of Interest
References
- Bell, F.G. Engineering Treatment of Soils, 1st ed.; CRC Press: Boca Raton, FL, USA, 1993. [Google Scholar]
- Ural, N. The Importance of Clay in Geotechnical Engineering. Current Topics in the Utilization of Clay in Industrial and Medical Applications; InTech: London, UK, 2018. [Google Scholar]
- Firoozi, A.A.; Guney Olgun, C.; Firoozi, A.A.; Shojaei Baghini, M. Fundamentals of soil stabilization. Int. J. Geo-Eng. 2017, 8, 26. [Google Scholar] [CrossRef]
- Nigitha, D.; Prabhanjan, N. Efficiency of cement and lime in stabilizing the black cotton soil. Mater. Today Proc. 2022, 68, 1588–1593. [Google Scholar] [CrossRef]
- Gidebo, F.A.; Yasuhara, H.; Kinoshita, N. Stabilization of expansive soil with agricultural waste additives: A review. Int. J. Geo-Eng. 2023, 14, 14. [Google Scholar] [CrossRef]
- Ghavami, S. A Comparative Study on the Effect of Cement Kiln Dust, Fly Ash, and Ground Granulated Blast Furnace Slag on Compaction Characteristics and California Bearing Ratio of Clay Soils. J. Transp. Infrastruct. Eng. 2024, 10, 57–70. [Google Scholar]
- Daniyal, M.; Azam, A.; Akhtar, S. Application of nanomaterials in civil engineering. In Nanomaterials and Their Applications; Springer: Singapore, 2018. [Google Scholar]
- Utsev, T.; Tiza, T.M.; Mogbo, O.; Kumar Singh, S.; Chakravarti, A.; Shaik, N.; Pal Singh, S. Application of nanomaterials in civil engineering. Mater. Today Proc. 2021, 62, 5140–5146. [Google Scholar] [CrossRef]
- Ghavami, S.; Naseri, H.; Jahanbakhsh, H.; Moghadas Nejad, F. The impacts of nano-SiO2 and silica fume on cement kiln dust treated soil as a sustainable cement-free stabilizer. Constr. Build. Mater. 2021, 285, 122918. [Google Scholar] [CrossRef]
- Wang, L.; Liu, Q.; Li, X.A.; Qin, B.; Hong, B.; Shi, J. Effect of nanosilica on the hydrological properties of loess and the microscopic mechanism. Sci. Rep. 2024, 14, 13692. [Google Scholar] [CrossRef]
- Rai, S.; Tiwari, S. Nano Silica in Cement Hydration. Mater. Today Proc. 2018, 5, 9196–9202. [Google Scholar] [CrossRef]
- Barman, D.; Dash, S.K. Stabilization of expansive soils using chemical additives: A review. J. Rock Mech. Geotech. Eng. 2022, 14, 1319–1342. [Google Scholar] [CrossRef]
- Taffese, W.Z.; Abegaz, K.A. Prediction of Compaction and Strength Properties of Amended Soil Using Machine Learning. Buildings 2022, 12, 613. [Google Scholar] [CrossRef]
- Zhang, C.; Zhu, Z.; Liu, F.; Yang, Y.; Wan, Y.; Huo, W.; Yang, L. Efficient machine learning method for evaluating compressive strength of cement stabilized soft soil. Constr. Build. Mater. 2023, 392, 131887. [Google Scholar] [CrossRef]
- Onyelowe, K.C.; Moghal, A.A.; Ebid, A.; Rehman, A.U.; Hanandeh, S.; Priyan, V. Estimating the strength of soil stabilized with cement and lime at optimal compaction using ensemble-based multiple machine learning. Sci. Rep. 2024, 14, 15308. [Google Scholar] [CrossRef]
- Uniyal, K.; Pratap, B.; Kumar, P.; Gupta, K.K.; Vaishnava, R. Strength analysis of sugarcane bagasse ash and rice husk based subgrade material with natural soil using different machine learning. Civ. Eng. Infrastruct. J. 2025; in press. [Google Scholar]
- Suman, S.; Mahamaya, M.; Das, S.K. Prediction of Maximum Dry Density and Unconfined Compressive Strength of Cement Stabilised Soil Using Artificial Intelligence Techniques. Int. J. Geosynth. Ground Eng. 2016, 2, 11. [Google Scholar] [CrossRef]
- Ghorbani, A.; Hasanzadehshooiili, H. Prediction of UCS and CBR of microsilica-lime stabilized sulfate silty sand using ANN and EPR models; application to the deep soil mixing. Soils Found. 2018, 58, 34–49. [Google Scholar] [CrossRef]
- Vamsi Krishna, S.; Sai Santosh, B.; Sai Prasanth, B. Prediction of UCS and CBR of a stabilized Black-cotton soil using artificial intelligence approach: ANN. Mater. Today Proc. 2023; in press. [Google Scholar]
- Das, S.K.; Samui, P.; Sabat, A.K. Application of Artificial Intelligence to Maximum Dry Density and Unconfined Compressive Strength of Cement Stabilized Soil. Geotech. Geol. Eng. 2011, 29, 329–342. [Google Scholar] [CrossRef]
- Tabarsa, A.; Latifi, N.; Osouli, A.; Bagheri, Y. Unconfined compressive strength prediction of soils stabilized using artificial neural networks and support vector machines. Front. Struct. Civ. Eng. 2021, 15, 520–536. [Google Scholar] [CrossRef]
- Hoque, M.I.; Hasan, M.; Islam, M.S.; Houda, M.; Abdallah, M.; Sobuz, M.H.R. Machine Learning Methods to Predict and Analyse Unconfined Compressive Strength of Stabilised Soft Soil with Polypropylene Columns. Cogent Eng. 2023, 10, 2220492. [Google Scholar] [CrossRef]
- Luo, Z.; Xue, X.; Xiong, C.; Huang, R.; Du, J.; Li, J.; Liu, K. Data-driven prediction of unconfined compressive strength in stabilized soils using machine learning. Discov. Appl. Sci. 2025, 7, 1122. [Google Scholar] [CrossRef]
- Mozumder, R.A.; Laskar, A.I.; Hussain, M. Empirical approach for strength prediction of geopolymer stabilized clayey soil using support vector machines. Constr. Build. Mater. 2017, 132, 412–424. [Google Scholar] [CrossRef]
- Priyadarshee, A.; Chandra, S.; Gupta, D.; Kumar, V. Neural Models for Unconfined Compressive Strength of Kaolin Clay Mixed with Pond Ash, Rice Husk Ash and Cement. J. Soft Comput. Civ. Eng. 2020, 4, 85–102. [Google Scholar]
- Ngo, H.T.T.; Pham, T.A.; Vu, H.L.T.; Giap, L.V. Application of Artificial Intelligence to Determined Unconfined Compressive Strength of Cement-Stabilized Soil in Vietnam. Appl. Sci. 2021, 11, 1949. [Google Scholar] [CrossRef]
- Zeini, H.A.; Al-Jeznawi, D.; Imran, H.; Bernardo, L.F.A.; Al-Khafaji, Z.; Ostrowski, K.A. Random Forest Algorithm for the Strength Prediction of Geopolymer Stabilized Clayey Soil. Sustainability 2023, 15, 1408. [Google Scholar] [CrossRef]
- Kumar, A.; Sinha, S.; Saurav, S.; Chauhan, V.B. Prediction of unconfined compressive strength of cement–fly ash stabilized soil using support vector machines. Asian J. Civ. Eng. 2024, 25, 1149–1161. [Google Scholar] [CrossRef]
- Goutham, D.; Krishnaiah, A. Prediction of Unconfined Compressive Strength of Expansive Soil Amended with Bagasse Ash and Lime Using Artificial Neural Network. J. Soft Comput. Civ. Eng. 2024, 8, 33–54. [Google Scholar]
- Mohammed, A.M.A.; Husain, O.; Abdulkareem, M.; Mohd Yunus, N.Z.; Jamaludin, N.; Mutaz, E.; Elshafie, H.; Hamdan, M. Explainable Artificial Intelligence for predicting the compressive strength of soil and ground granulated blast furnace slag mixtures. Results Eng. 2025, 25, 103637. [Google Scholar] [CrossRef]
- Ahmad, W.; Uchimura, T. The Effect of Moisture Content at Compaction and Grain Size Distribution on the Shear Strength of Unsaturated Soils. Sustainability 2023, 15, 5123. [Google Scholar] [CrossRef]
- Peethamparan, S.; Olek, J.; Lovell, J. Influence of chemical and physical characteristics of cement kiln dusts (CKDs) on their hydration behavior and potential suitability for soil stabilization. Cem. Concr. Res. 2008, 38, 803–815. [Google Scholar] [CrossRef]
- Yao, Q.; Tu, Y.; Yang, J.; Zhao, M. Hybrid XGB model for predicting unconfined compressive strength of solid waste-cement-stabilized cohesive soil. Constr. Build. Mater. 2024, 449, 138242. [Google Scholar] [CrossRef]
- Yao, Q.; Tu, Y.; Yang, J. Predicting the compressive strength of solid waste-cement stabilized compacted soil using machine learning model. Mater. Today Commun. 2025, 44, 111882. [Google Scholar] [CrossRef]
- Bahmani, S.H.; Huat, B.B.; Asadi, A.; Farzadnia, N. Stabilization of residual soil using SiO2 nanoparticles and cement. Constr. Build. Mater. 2014, 64, 350–359. [Google Scholar] [CrossRef]
- Bahmani, S.H.; Farzadnia, N.; Asadi, A.; Huat, B.B. The effect of size and replacement content of nanosilica on strength development of cement treated residual soil. Constr. Build. Mater. 2016, 118, 294–306. [Google Scholar] [CrossRef]
- Mostafa, A.E.A.; Ouf, M.S.; Elgendy, M.F.; Elgendy, E. Stabilization of Subgrade Pavement Layer Using Silica Fume and Nano Silica. Int. J. Sci. Eng. Res. 2016, 7, 573–581. [Google Scholar]
- Ghasabkolaei, N.; Janalizadeh, A.; Jahanshahi, M.; Roshan, N.; Ghasemi, S.E. Physical and geotechnical properties of cement-treated clayey soil using silica nanoparticles: An experimental study. Eur. Phys. J. Plus 2016, 131, 134. [Google Scholar] [CrossRef]
- Ghaffarpour Jahromi, S.; Yazdi Ravandi, Z. Investigation of the Effect of Nano-Silica in Stabilization of Clay Soil and Improving the Mechanical and Volumetric Properties of Subgrade. J. Transp. Res. 2019, 16, 169–183. [Google Scholar]
- Ghorbani, A.; Hasanzadehshooiili, H.; Mohammadi, M.; Sianati, F.; Salimi, M.; Sadowski, L.; Szymanowski, J. Effect of Selected Nanospheres on the Mechanical Strength of Lime-Stabilized High-Plasticity Clay Soils. Adv. Civ. Eng. 2019, 2019, 4257530. [Google Scholar] [CrossRef]
- Shahsavani, S.; Vakili, A.H.; Mokhberi, M. Effects of freeze-thaw cycles on the characteristics of the expansive soils treated by nanosilica and Electric Arc Furnace (EAF) slag. Cold Reg. Sci. Technol. 2021, 182, 103216. [Google Scholar] [CrossRef]
- Mirzababaei, M.; Karimiazar, J.; Sharifi Teshnizi, E.; Arjmandzadeh, R.; Bahmani, S.H. Effect of nano-additives on the strength and durability characteristics of marl. Minerals 2021, 11, 1119. [Google Scholar] [CrossRef]
- Munda, J.; Padhi, J.; Mohanty, S. Investigation on performance of expansive soil stabilized with fly ash and nano-SiO2. Mater. Today Proc. 2022, 67, 1268–1275. [Google Scholar] [CrossRef]
- Eissa, A.; Bassuoni, M.T.; Ghazy, A.; Alfaro, M. Improving the properties of soft clay using cement, slag, and nanosilica: Experimental and statistical modeling. J. Mater. Civ. Eng. 2022, 34, 04022031. [Google Scholar] [CrossRef]
- Karimiazar, J.; Sharifi Teshnizi, E.; O’Kelly, B.C.; Sadeghi, S.; Karimizad, N.; Yazdi, A.; Arjmandzadeh, R. Effect of nano-silica on engineering properties of lime-treated marl soil. Transp. Geotech. 2023, 43, 101123. [Google Scholar] [CrossRef]
- Aksu, G.; Eskisar, T. The geomechanical properties of soils treated with nanosilica particles. J. Rock Mech. Geotech. Eng. 2023, 15, 954–969. [Google Scholar] [CrossRef]
- Bhavitha, K.; Gangavaram, P.; Revuru, P.K.; Rohilla, S.; Mallikarjuna, R.K. Assessing the Geotechnical Properties of Lime-Stabilized Black Cotton Soil in the Presence of Nanosilica. Int. J. Geomech. 2024, 24, 06024024. [Google Scholar]
- Alshawmar, F. Utilization of nano silica and plantain leaf ash for improving strength properties of expansive soil. Sustainability 2024, 16, 2157. [Google Scholar] [CrossRef]
- Ghavami, S.; Hallaji, A.; Sandooghsaz, Y. Assessment of the Effect of Fly Ash and Nanosilica on the Geotechnical Properties of Forest Road Subgrade. Civ. Proj. 2025, 7, 73–88. [Google Scholar]
- Hasan, M.K.; Alam, M.A.; Das, D.; Hossain, E.; Hasan, M. Diabetes prediction using ensembling of different machine learning classifiers. IEEE Access 2020, 8, 76516–76531. [Google Scholar] [CrossRef]
- Suresh, A.; Udendhran, R.; Balamurgan, M. Hybridized neural network and decision tree based classifier for prognostic decision making in breast cancers. Soft Comput.-Fusion Found. Methodol. Appl. 2020, 24, 7947. [Google Scholar] [CrossRef]
- Rau, C.S.; Wu, S.C.; Chien, P.C.; Kuo, P.J.; Chen, Y.C.; Hsieh, H.Y.; Hsieh, C.H. Prediction of mortality in patients with isolated traumatic subarachnoid hemorrhage using a decision tree classifier: A retrospective analysis based on a trauma registry system. Int. J. Environ. Res. Public Health 2017, 14, 1420. [Google Scholar] [CrossRef]
- Ghavami, S.; Alipour, Z.; Naseri, H.; Jahanbakhsh, H.; Karimi, M.M. A new ensemble prediction method for reclaimed asphalt pavement (RAP) mixtures containing different constituents. Buildings 2023, 13, 1787. [Google Scholar] [CrossRef]
- Biau, G.; Scornet, E. A random forest guided tour. Test 2016, 25, 197–227. [Google Scholar] [CrossRef]
- Friedman, J.H. Stochastic gradient boosting. Comput. Stat. Data Anal. 2002, 38, 367–378. [Google Scholar] [CrossRef]
- Naseri, H.; Waygood, E.O.D.; Patterson, Z. Household transportation lifecycle greenhouse gas emission prediction. Transp. Res. Part D Transp. Environ. 2025, 141, 104660. [Google Scholar] [CrossRef]
- Naseri, H.; Waygood, E.O.D.; Patterson, Z.; Wang, B. Who is more likely to buy electric vehicles? Transp. Policy 2024, 155, 15–28. [Google Scholar] [CrossRef]
- Hu, G.; Yin, C.; Wan, M.; Zhang, Y.; Fang, Y. Recognition of diseased Pinus trees in UAV images using deep learning and AdaBoost classifier. Biosyst. Eng. 2020, 194, 138–151. [Google Scholar] [CrossRef]
- Naseri, H.; Waygood, E.O.D.; Patterson, Z.; Wang, B. Which variables influence electric vehicle adoption? Transportation 2024, 1–38. [Google Scholar] [CrossRef]
- Naseri, H.; Jahanbakhsh, H.; Foomajd, A.; Galustanian, N.; Karimi, M.M.; Waygood, E.O.D. A newly developed hybrid method on pavement maintenance and rehabilitation optimization applying Whale Optimization Algorithm and random forest regression. Int. J. Pavement Eng. 2023, 24, 2147672. [Google Scholar] [CrossRef]
- Lundberg, S.M.; Lee, S.I. A unified approach to interpreting model predictions. In Proceedings of the 31st International Conference on Neural Information Processing Systems, Long Beach, CA, USA, 4–9 December 2017; pp. 4768–4777. [Google Scholar]
- Mangalathu, S.; Hwang, S.H.; Jeon, J.S. Failure mode and effects analysis of RC members based on machine-learning-based SHapley Additive exPlanations (SHAP) approach. Eng. Struct. 2020, 219, 110927. [Google Scholar] [CrossRef]
- Naseri, H.; Ciari, F.; Patwary, A.U.Z.; Cloutier, M.S. Satisfaction in pedestrianized areas: What shapes positive and negative experiences? Cities 2026, 168, 106511. [Google Scholar] [CrossRef]
- Inglis, A.; Parnell, A.; Hurley, C.B. Visualizing variable importance and variable interaction effects in machine learning models. J. Comput. Graph. Stat. 2022, 31, 766–778. [Google Scholar] [CrossRef]
- Sorum, N.G.; Pradhan, P.; Sangma, J.R.D. Examination and prediction of influential factors on unconfined compressive strength of nano-stabilised subgrade soil using machine learning algorithms. Geomech. Geoengin. 2025, 1–24. [Google Scholar] [CrossRef]
- Ranathunga, R.J.K.P.N.; Sampath, K.H.S.M.; Ranathunga, A.S. Prediction of Geotechnical Properties of Rice Husk Ash-Stabilized Soil Systems. In Proceedings of the 2023 Moratuwa Engineering Research Conference, Moratuwa, Sri Lanka, 9–11 November 2023; pp. 240–245. [Google Scholar]
- Mahedi, M.; Cetin, B.; White, D.J. Cement, lime, and fly ashes in stabilizing expansive soils: Performance evaluation and comparison. J. Mater. Civ. Eng. 2020, 32, 04020177. [Google Scholar] [CrossRef]
- Sinha, P.; Iyer, K.K.R. Effect of Stabilization on Characteristics of Subgrade Soil: A Review. In Advances in Computer Methods and Geomechanics; Springer: Singapore, 2020. [Google Scholar]
- Lorenzo, G.A.; Bergado, D.T. Fundamental characteristics of cement-admixed clay in deep mixing. J. Mater. Civ. Eng. 2006, 18, 161–174. [Google Scholar] [CrossRef]
- Bi, J.; Chian, S.C. Modelling of three-phase strength development of ordinary Portland cement-and Portland blast-furnace cement-stabilised clay. Géotechnique 2020, 70, 80–89. [Google Scholar] [CrossRef]
- Por, S.; Nishimura, S.; Likitlersuang, S. Deformation characteristics and stress responses of cement-treated expansive clay under confined one-dimensional swelling. Appl. Clay Sci. 2017, 146, 316–324. [Google Scholar] [CrossRef]
- Rosa, M.G.; Cetin, B.; Edil, T.B.; Benson, C.H. Freeze–thaw performance of fly ash–stabilized materials and recycled pavement materials. J. Mater. Civ. Eng. 2017, 29, 04017015. [Google Scholar] [CrossRef]
- Althnian, A.; AlSaeed, D.; Al-Baity, H.; Samha, A.; Dris, A.B.; Alzakari, N.; Abou Elwafa, A.; Kurdi, H. Impact of dataset size on classification performance: An empirical evaluation in the medical domain. Appl. Sci. 2021, 11, 796. [Google Scholar] [CrossRef]
- Naseri, H.; Waygood, E.O.D.; Patterson, Z.; Alousi-Jones, M.; Wang, B. Travel mode choice prediction: Developing new techniques to prioritize variables and interpret black-box machine learning techniques. Transp. Plan. Technol. 2025, 48, 582–605. [Google Scholar] [CrossRef]






| Source | Additives | Number of Samples | ML Methods |
|---|---|---|---|
| Das et al. [20] | Cement | 55 | ANN, SVM |
| Mozumder et al. [24] | Ground Granulated Blast Furnace Slag | 213 | SVM |
| Priyadarshee et al. [25] | Pond ash–Rice Husk Ash–Cement | 129 | ANN |
| Tabarsa et al. [21] | Cement–Lime–Rice Husk Ash | 137 | ANN, SVM |
| Ngo et al. [26] | Cement | 216 | GB, ANN, SVM |
| Zeini et al. [27] | Ground Granulated Blast Furnace Slag–Fly Ash | 283 | RF |
| Kumar et al. [28] | Cement–Fly Ash | 90 | SVM |
| Onyelowe et al. [15] | Cement–Lime | 190 | GB, SVM, KNN, DT, RF, ANN, etc. |
| Goutham and Krishnaiah [29] | Bagasse Ash–Lime | 79 | ANN |
| Mohammed et al. [30] | Ground Granulated Blast Furnace Slag | 200 | ANN, LR, RF, DT, GB, XGB |
| Source | Samples | Source | Samples |
|---|---|---|---|
| Bahmani et al. [35] | 4 | Bahmani et al. [36] | 24 |
| Mostafa et al. [37] | 24 | Ghasabkolaei et al. [38] | 12 |
| Ghaffarpour Jahromi and Yazdi Ravandi [39] | 6 | Ghorbani et al. [40] | 9 |
| Shahsavani et al. [41] | 4 | Mirzababaei et al. [42] | 12 |
| Munda et al. [43] | 5 | Eissa et al. [44] | 8 |
| Karimiazar et al. [45] | 48 | Aksu and Eskisar [46] | 12 |
| Bhavitha et al. [47] | 16 | Alshawmar [48] | 45 |
| Ghavami et al. [9] | 6 | Ghavami et al. [49] | 3 |
| Parameters | Max | Min | Average | Standard Deviation |
|---|---|---|---|---|
| Fine Content (%) | 100 | 65 | 82.6 | 11.8 |
| Liquid Limit (%) | 211 | 29.5 | 57.5 | 24.7 |
| Plasticity Index (%) | 170 | 8 | 29.8 | 20.6 |
| MDD of Soil (kN/m3) | 20.25 | 12 | 16.0 | 2.5 |
| OMC of Soil (%) | 32 | 12.2 | 20.6 | 5.2 |
| Specific gravity (Gs) | 2.77 | 2.54 | 2.67 | 0.06 |
| UCS of Soil (kPa) | 449 | 40 | 220.1 | 148.5 |
| CM Content (%) | 40 | 2 | 7.9 | 5.7 |
| CaO in CM (%) | 87.05 | 6 | 58.9 | 15.2 |
| SiO2 in CM (%) | 59.28 | 1.36 | 13.5 | 11.9 |
| Al2O3 in CM (%) | 15.4 | 0.15 | 3.3 | 2.9 |
| Nanosilica Content (%) | 7 | 0.1 | 1.3 | 1.1 |
| Curing Time (days) | 150 | 0 | 18.2 | 20.3 |
| UCS of Stabilized Soil (kPa) | 3856 | 114 | 994.4 | 517.2 |
| Model | Indicators | ||||||
|---|---|---|---|---|---|---|---|
| R2 | MAE (kPa) | MSE (kPa2) | AIC | Explained Variance | MAPE | Spearman’s ρ | |
| MLP | 0.725 | 178.040 | 52,900.1 | 532.1 | 0.726 | 0.216 | 0.887 |
| DT | 0.854 | 125.896 | 28,156.8 | 497.8 | 0.854 | 0.136 | 0.923 |
| KNN | 0.754 | 154.608 | 47,341.5 | 522.7 | 0.760 | 0.171 | 0.859 |
| RF | 0.862 | 111.960 | 26,455.4 | 494.8 | 0.864 | 0.121 | 0.933 |
| GB | 0.882 | 105.160 | 22,629.7 | 487.3 | 0.883 | 0.127 | 0.940 |
| XGB | 0.935 | 85.002 | 12,445.2 | 464.6 | 0.936 | 0.106 | 0.963 |
| CatBoost | 0.943 | 70.072 | 10,934.0 | 454.4 | 0.943 | 0.084 | 0.966 |
| AdaBoost | 0.490 | 258.318 | 98,106.5 | 555.7 | 0.493 | 0.296 | 0.652 |
| LightGBM | 0.874 | 106.979 | 24,166.1 | 496.4 | 0.879 | 0.106 | 0.933 |
| LR | 0.243 | 322.340 | 145,620.9 | 598.7 | 0.244 | 0.397 | 0.459 |
Disclaimer/Publisher’s Note: The statements, opinions and data contained in all publications are solely those of the individual author(s) and contributor(s) and not of MDPI and/or the editor(s). MDPI and/or the editor(s) disclaim responsibility for any injury to people or property resulting from any ideas, methods, instructions or products referred to in the content. |
© 2025 by the authors. Licensee MDPI, Basel, Switzerland. This article is an open access article distributed under the terms and conditions of the Creative Commons Attribution (CC BY) license (https://creativecommons.org/licenses/by/4.0/).
Share and Cite
Ghavami, S.; Naseri, H. Prediction of Compressive Strength in Fine-Grained Soils Stabilized with a Combination of Various Stabilization Agents and Nano-SiO2 Using Machine Learning Algorithms. Math. Comput. Appl. 2025, 30, 137. https://doi.org/10.3390/mca30060137
Ghavami S, Naseri H. Prediction of Compressive Strength in Fine-Grained Soils Stabilized with a Combination of Various Stabilization Agents and Nano-SiO2 Using Machine Learning Algorithms. Mathematical and Computational Applications. 2025; 30(6):137. https://doi.org/10.3390/mca30060137
Chicago/Turabian StyleGhavami, Sadegh, and Hamed Naseri. 2025. "Prediction of Compressive Strength in Fine-Grained Soils Stabilized with a Combination of Various Stabilization Agents and Nano-SiO2 Using Machine Learning Algorithms" Mathematical and Computational Applications 30, no. 6: 137. https://doi.org/10.3390/mca30060137
APA StyleGhavami, S., & Naseri, H. (2025). Prediction of Compressive Strength in Fine-Grained Soils Stabilized with a Combination of Various Stabilization Agents and Nano-SiO2 Using Machine Learning Algorithms. Mathematical and Computational Applications, 30(6), 137. https://doi.org/10.3390/mca30060137

