Lycium Genus Polysaccharide: An Overview of its Extraction, Structures, Pharmacological Activities and Biological Applications
Abstract
:1. Introduction
2. Materials and Methods
3. Botany
4. Ethnopharmacological Uses
5. Extraction and Isolation Method
5.1. Conventional Extraction Method
Water Extraction and Alcohol Precipitation
5.2. Modern Extraction Methods
5.2.1. Ultrasonic Extraction
5.2.2. Microwave-Assisted Extraction
5.2.3. Enzyme-Assisted Extraction
6. Purification Method
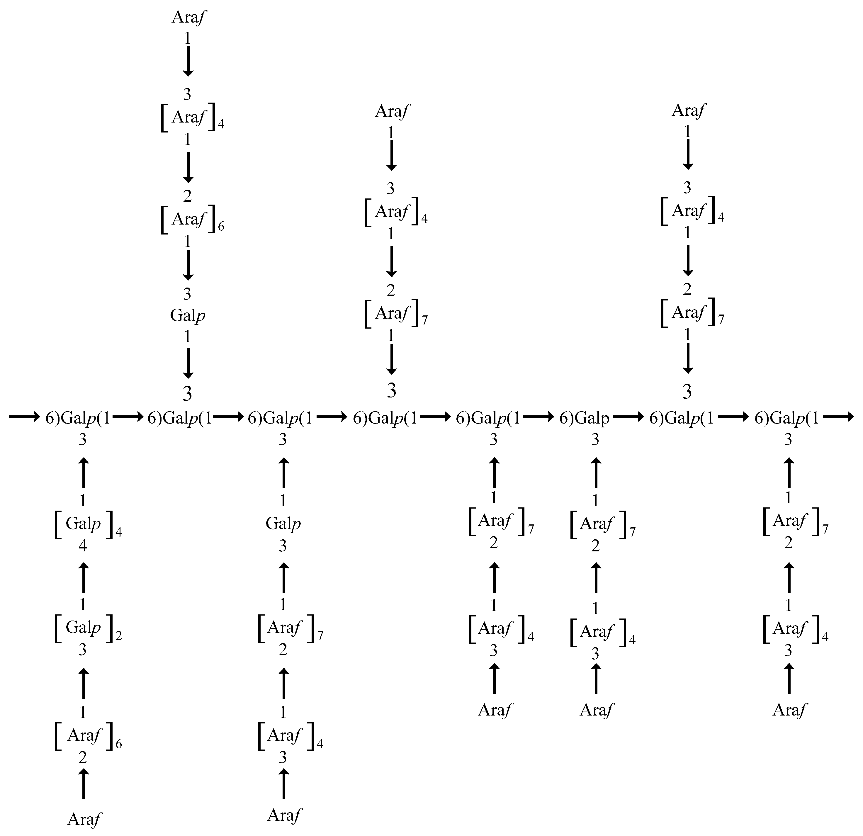
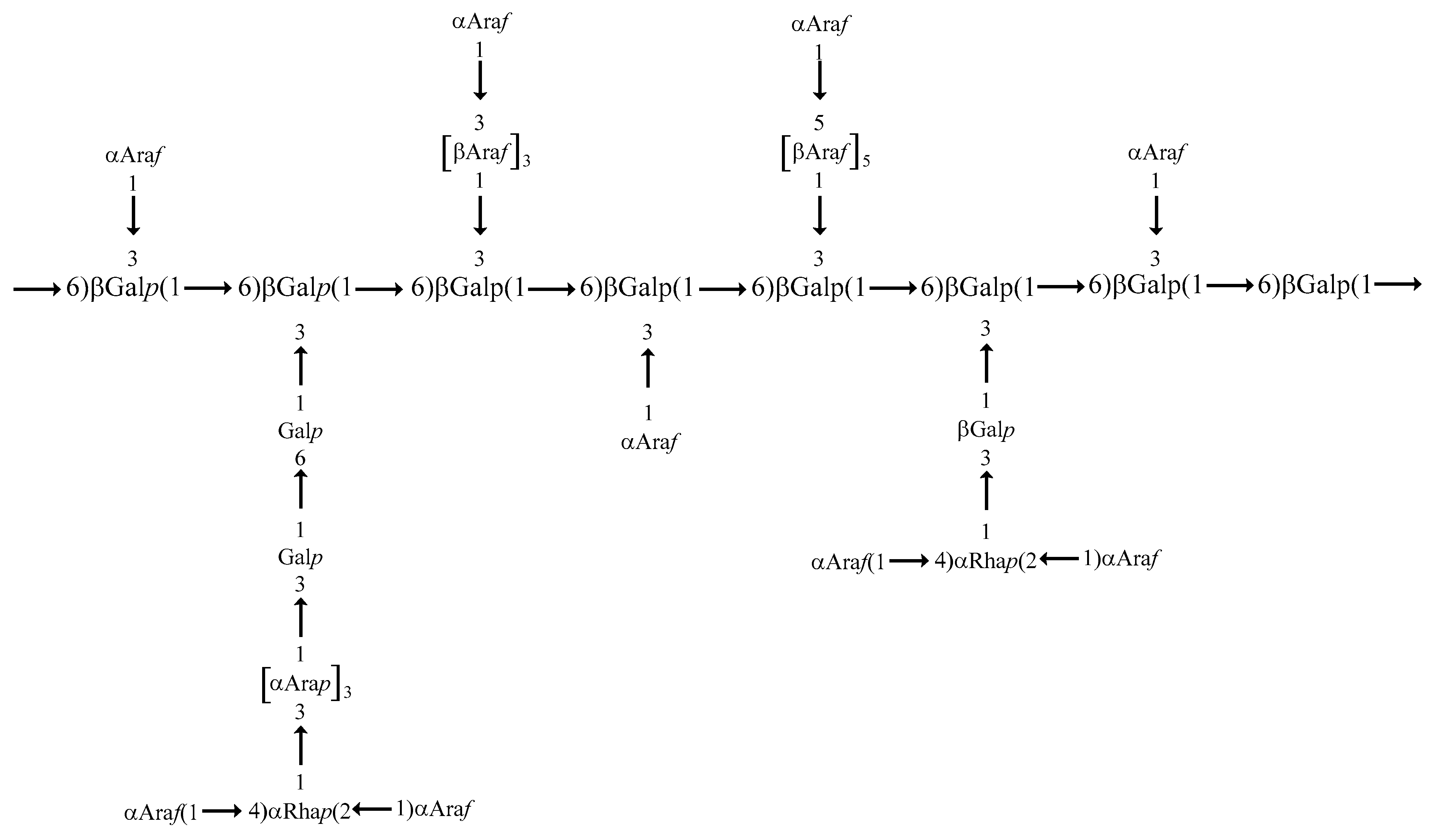
7. Structural Analysis of Genus Lycium L. Polysaccharides
8. Pharmacology and Biological Applications of the Genus Lycium L. Polysaccharide
8.1. Reproductive Protection Activity
8.2. Anti-Inflammatory Activity
8.3. Neuroprotective Activity
8.4. Myocardial Injury Protection
8.5. Gastric Protection
8.6. Liver Protection
8.7. Eye Protection
8.8. Diabetic Complications
8.9. Biological Applications
9. Toxicology
10. Discussion and Conclusions
| No. | Source | Compound Name | Extraction Solvent | Purification Method | Analytical Method | Monosaccharide Composition | Molecular Weight (Da) | Structures | Pharmacological Applications | Reference |
|---|---|---|---|---|---|---|---|---|---|---|
| 1 | Lycium barbarum | LBP-W | 95% ethanol | DEAE Fast Flow column | HPGPC, NMR | Ara:Gal:Rha = 55.6:35.5:8.0 | 112.97 × 103 | Main chain consisting of a repeated unit of→6)-β-Gal (1→residues with branches composed of α-Ara, β-Gal, and α-Rha residues at position C-3 | Weight loss | [8] |
| 2 | Lycium barbarum L. | LBP1C-2 | Water extraction with the assistance of an enzyme | DEA, Sepharose™ Fast Flow column, Sephacryl S-300 HR column | GC-MS, partial acid hydrolysis, NMR, uronic acid reduction | Ara:Gal:Rha:GalA = 49.9:33.6:8.0:8.5 | 9.98 × 104 | A backbone of alternate 1, 2-linked α-Rha and 1, 4-linked α-GalA with branches of the terminal (T)-, 1, 3-, 1, 6-, and 1, 3, 6-linked β-Gal; T-, 1, 5- and 1, 3, 5-linked α-Ara; and T-linked β-Rha substituted at C-4 of 1, 2, 4-linked α-Rha. | Alzheimer’s disease | [9] |
| 3 | Lycium barbarum L. | LBP-s-1 | Hot water | Microporous resin, ion-exchanged column | HPSEC, FT-IR, NMR | Rha:Ara:Xyl:Man:Glu:Gal:GalA = 1.00:8.34:1.25:1.26:1.91:7.05:15.28 | 1.92 × 106 | Furan and pyran ring with both α and β anomeric configurations | Hypoglycemic effects and insulin-sensitizing activity | [10] |
| 4 | Lycium barbarum berries | LBP-d | 70% EtOH | DEAE-cellulose column, Sephadex G-75 gel-filtration column | GC, periodate oxidation, Smith degradation | Fuc:Rib:Rha:Ara:Xyl:Man:Gal:Glu = 19.6:1.5:28.9:6.3:1.6:6.2:21.5:14.3 | Unknown | Unknown | Anti-cancer | [11] |
| 5 | Lycium barbarum berries | LBP-e | 70% Ethanol | DEAE-cellulose column, Sephadex G-75 gel-filtration column | GC, periodate oxidation, Smith degradation | Fuc:Rha:Ara:Man:Gal:Glu = 5.5:8.8:1.7:35.2:3.4:45.4 | Unknown | Unknown | Anti-cancer | [11] |
| 6 | Lycium barbarum | LBP | Hot water | UHPLC-QTRAP-MS/MS | Gal:Ara:Man:Rha:Xyl:Rib:Glu | Unknown | Unknown | unknown | [12] | |
| 7 | Lycium barbarum L. | LBP | Hot water | DEAE cellulose column, Sephadex G-150 columns | reverse- phase liquid chromatography, HPGPC, UV, FT-IR, NMR, SEM | Man:Rha:Glu:Gal: Xyl = 5.52:5.11:28.06:1.00:1.70 | 4.92 × 103 | Furan and pyran ring, both with an α and β anomeric configuration | Anti-diabetic | [17] |
| 8 | Lycium barbarum | LBP1 | Subcritical extraction technology | ITHMT | HPGPC, FT-IR | Rha:Gal:Glc:Man:GalA = 26.9:38.1:20.7:3.8:2.2 | 22.56 × 104 | Unknown | Antioxidant | [35] |
| 9 | Lycium barbarum | LBP2 | Subcritical extraction technology | ITHMT | HPGPC, FT-IR | Rha:Gal:Glc:Man:GalA = 28.8:38.6:18.1:4.8:2.7 | 14.02 × 104 | Unknown | Antioxidant | [35] |
| 10 | Lycium barbarum | LBP3 | Subcritical extraction technology | ITHMT | HPGPC, FT-IR | Rha:Gal:Glc:GalA = 31.3:31.6:16.5:6.7 | 6.50 × 104 | Unknown | Antioxidant | [35] |
| 11 | Lycium barbarum | LBP4 | Subcritical extraction technology | ITHMT | HPGPC, FT-IR | Rha:Gal:Glc:Man:GalA = 35.9:44.7:9.7:3.0:0.6 | 3.83 × 104 | Unknown | Antioxidant | [35] |
| 12 | Lycium barbarum | LBGP-I-1 | Water | GPC | GC, IR, HPGPC | Ara (21.95%):Glu (51.22%):Gal (17.07%) | 3.19 × 104 | Unknown | Anti-oxidant | [35] |
| 13 | Lycium barbarum | LBP-p8 | Hot water | Ultrafiltration membranes | GC, HPLC | Fuc:Rha:Ara:Xyl:Glu:Man:Gal = 5.7:2.5:21.5:8.4:4.6:23.3:33.9 | 6.50 × 106 | Unknown | Anti-hepatoma | [42] |
| 14 | Lycium barbarum | LBP-a4 | Hot water | Ultrafiltration membranes | GC, HPLC | Fuc:Ara:Xyl:Glu:Man:Gal = 19:6:17.1:8.2:10.7:15.1:46.9 | 1.02 × 104 | Unknown | Anti-hepatoma | [42] |
| 15 | Lycium barbarium | LBPA | 80% ethanol | Semi-preparative liquid chromatography | NMR | Ara:Gal:GlcA:Rha = 9.2:6.6:1.0:0.9 | 4.70 × 105 | An Ara with β-D-(1→6)-Gal as a backbone; branches consist of Ara, Rha, GlcA, and Gal. | unknown | [43] |
| 16 | Lycium barbarum | LBGP-I-2 | Water | GPC | GC, IR, HPGPC | Ara (19.35%):Glu (32.26%):Gal (35.48%) | 2.92 × 104 | Unknown | Anti-oxidant | [44] |
| 17 | Lycium barbarum | LBGP-I-3 | Water | GPC | GC, IR, HPGPC | Ara (48.15%):Gal (44.44%) | 9.12 × 104 | Unknown | Anti-oxidant | [44] |
| 18 | Lycium barbarum | LBPs | Water | Size-exclusion and anion-exchange chromatography | HPLC | Man:Rib:Rha:GlcA:GalA:Glc:Gal:Xyl:Ara = 3.5:3.3:3.8:1.8:22.2:11.0:20.8:3.7:29.9 | 12.07 × 103 | Unknown | Immunosuppressed | [45] |
| 19 | Wolfberry fruit (Lycium barbarum) | AGP | 80% ethanol | Anion-exchange chromatography, precipitation with Yariv reagent | HPLC, HPAEC, linkage analysis, NMR | Rha:Ara:Xyl:Gal:GalA:GlcA = 3.3:42.9:0.3:44.3:2.4:7.0 | (50 − 60) × 103 | Backbone of (1→3)-linked β-D-galactopyranosyl residues, many of which are substituted at O-6 with side chains of 5-substituted α-L-arabinofuranosyl residues terminated with α-(and β-)l-arabinofuranosyl,α-L-rhamnopyranosyl and β-D-glucopyranosyluronic acid residues | [46] | |
| 20 | Lycium ruthenicum Murr. | LRP3-S1 | Boiling water | anion-exchange chromatography, DEAE SepharoseTM Fast Flow, and SephacrylS-300 HR column | FT-IR, NMR, HPGPC, GC-MS | Rha:GalA:Gal:Xyl:Ara = 14.4:17.7:26.6:16.4:24.9 | 11.48 × 104 | A rhamnogalacturonan I (RG-I) backbone partially substituted at C-4 of Rha units by side chains, including T-linked β-D-Gal, 1,3-linked β-D-Gal, 1,6-linked β-D-Gal, 1,3,6-linked β-D-Gal, 1,5-linked α-L-Ara, 1,3,5-linked α-L-Ara, T-linked α-L-Ara, and T-linked β-D-Xyl | Anti-Pancreatic cancer | [47] |
| 21 | Lycium barbarum | Unknown | CHCl3-MeOH | Acetone extraction | HPLC, FT-IR | Glu:Fru = 1:2.1 | Unknown | Unknown | Prevented cardiovascular diseases. | [49] |
| 22 | Lycium barbarum L. | PLBP-I-I | Water | Anion-exchange chromatography, gel filtration. | GC, IR, NMR, size-exclusion chromatogra- phy | Ara:Rha:Xyl:Gal:GalA = 25.7:12.4:0.5:27.5:33.9 | 59.95 × 105 | Two fractions are typical pectic polysaccharides, with an HG region, an RG-I region, and AG-I/AG-II side chains; some GalA units of both fractions are methyl-esterified | Antioxidant | [50] |
| 23 | Lycium barbarum L. | PLBP-II-I | Water | Anion-exchange chromatography, gel filtration. | GC, IR, NMR, Size exclusion chromatogra- phy | Ara:Rha:Xyl:Gal:GalA = 26.6:20.8:1.9:7.6:43.1 | 71.66 × 105 | Two fractions are typical pectic polysaccharides, with an HG region, an RG-I region, and AG-I/AG-II side chains; some GalA units of both fractions are methyl-esterified | Antioxidant | [50] |
| 24 | Xinjiang Lycium barbarum | XLBP-I-I | Hot water | Anion-exchange chromatography, gel filtration | GC-MS, FT-IR and NMR | Ara:Rha:Xyl Gal:GlcA:GalA = 26.5:12.9:0.7:16.8:2.3:40.8 | 41.96 × 104 | Pectic polysaccharide and portions of α-GalA are methyl-esterified | Endoplasmic reticulum stress | [51] |
| 25 | Lycium ruthenicum L. | LRGP5 | Deionized water | DEAE-cellulose, Sephadex G-100 columns | GC, FT-IR, ESI-MS, NMR, partial acid hydrolysis, reduction in uronic acid, methylation analysis, HPGPC | Rh:Ara:Xyl:Gal:GalA = 1.0:2.2:0.5:1.2:4.7 | 1.37 × 105 | A (1→4)- linked galacturonic acid backbone occasionally interrupted by (1→2)-linked rhamnose; the side chains are attached to position 4 of the rhamnose units, including (1→3)-linked Ara, (1→3)-linked Gal, (1→3,6)-linked Gal, (1→4)-linked GalA, (1→2)-linked Rha, and (1→2,4)-linked Rha; the termini are Ara and Rha. | Immunomodulation activity | [52]] |
| 26 | Lycium barbarum | PLBP | Boiling water | Column chromatography | HPSEC | Unknown | 1.21 × 105 | Unknown | Antioxidant | [53] |
| 27 | Lycium barbarum leaves | LBLP5-A | Water | DEAE-cellulose column, GPC | HPGPC, GC, ESI-MS, IR, partial acid hydrolysis | Rha:Ara:Gal = 0.5:1.9:1.0 | 11.33 × 104 | A backbone of (1→3)-linked Gal, which is partially substituted at its O-6 position. These branches, with Ara and Gal terminals, are assigned to (1→3)-linked Gal, (1→4)-linked Gal, (1→3)-linked Ara, (1→5)-linked Ara, and (1→2, 4)-linked Rha | Anti-oxidative | [54] |
| 28 | Lycium barbarum | LbGp1 | Water | GPC | GC, HPGPC, methylation analysis, partial acid hydrolysis, ESI-MS | Ara:Gal = 5.6:1 | 4.91 × 104 | A backbone of→6) Gal (1→linked Gal substituted at O-3 by Gal or Ara groups. The branches are composed of (1→3)-linked-Gal, (1→4)-linked-Gal, and (1→2)-linked-Ara (1→3)-linked Ara; Ara is located at the terminal of the branches | unknown | [55] |
| 29 | Lycium barbarum | LBP-3 | Hot water | DEAE-Crystarose Fast Flow column | HPLC, FT-IR, NMR, GC-MS | Ara:Gal = 1.00:1.56 | 6.74 × 104 | A backbone of 1, 3-linked β-Gal, which is partially substituted at C-6; the branches contain 1, 5-linked α-Ara, 1, 6-linked β-Gal, 1, 3-linked α-Ara, and 1, 4-linked α-Ara | Alzheimer’s disease (AD) | [56] |
| 30 | Leaves of Lycium ruthenicum | LRLP4-A | Water | DEAE-52 cellulose column, Sephadex G-100 column | GC, GC-MS, NMR, ESI-MS | Rha:Ara:Gal = 1:10.3:5.3 | 1.35 × 106 | A backbone consisting of (1→6)-linked β-galactopyranosyl residues substituted at O-3 by Arab or Gal residues; the branches consist of (1→3)-linked β-Ara α-Ara, (1→5)-linked β-Ara, (1→3)-linked β-Gal, and (1→2, 4)-linked α-Rha with a terminal α-Ara residue | Immunological active | [57] |
| 31 | Lycium ruthenicum Murr. | LRP4-A | Hot water | Anion-exchange chromatography and gel-filtration chromatography | GC, HPGPC, HPLC, FT-IR, partial acid hydrolysis, methylation analysis, ESI-MS | Rha:Ara:Glu:Gal = 1:7.6:0.5:8.6 | Unknown | A backbone of β-(1→6)-linked galactose partially substituted at the O-3 position; the branches are composed of (1→3)-linked-Gal, (1→3)-linked-Ara, (1→5)-linked-Ara, and (1→2,4)-linked-Rha; Arab, Gal, and Glu are located at the termini of the branches | unknown | [58] |
| 32 | Lycium arabicum | LAP | Hot water | Unknown | GC-MS, FT-IR, NMR | Rha:Ara:Gal:Glu:Man = 4.7:1.5:1:8.7:16.4:5.6 | Unknown | A glucosidic backbone linked to some branches composed mainly of D-Man, along with α-D-Gal, β-D-Ara, and D-Man in lower proportions | Anti-Oxidative | [59] |
| 33 | Lycium barbarum | LbGp4 | Sephadex GlOO column and CM-Sephadex | GC, IR | Rha:Ara:Gal = 0.05:1.33:1 | 21.48 × 105 | Unknown | Immuno-modulating | [60] | |
| 34 | Lycii fructus | LFP-1 | Hot water | Ion-exchange, gel-filtration chromatography | HPGPC, NMR | Rha:Ara:Xyl:Man:Glc:Gal:GlcA:GalA = 3.68:34.88:2.46:1.03:6.89:37.64:0.73:12.67 | 1.78 × 104 | Composed of highly branched arabinogalactans, homogalacturonan, and rhamnogalacturonan moieties | Neurodegenerative Parkinson’s disease (PD) | [61] |
| 35 | Lycium barbarum | LBP-IV | Water | DEAE-Sephadex A-25 column | HPGPC, UV, IR | Rha:Ara:Xyl:Glu:Gal = 1.61:3.82:3.44:7.54:1.0 | 4.18 × 105 | Both α- and β-anomeric configurations in this fraction | Immunostimulating activity | [62] |
| 36 | Lycium ruthenicum Murr. | LRP-S2A | Water | DEAE-cellulose anion-exchange column | GC, NMR, FT-IR, HPGPC | Rha:Ara:Gal:Glc:GlcA = 1.00:2.07:0.57:2.59:4.33 | 2.65 × 106 | A backbone consisting of 6-O-Me-α-(1→4)-D- GlcA, 2-O-acetyl-α-(1→4)-D-Glc, α-(1→2,4)-L-Rha, β-(1→3)-D-Gal, and α-(1→3,5)-L-Ara, with some branches consisting of 6-O-Me-α-(1→4)-D-GlcA and terminal α-L-Ara | unknown | [63] |
| 37 | Lycium barbarum L. | LBP-1 | Water | Ion-exchange column | HPLC with pre-column derivative, GC, IR, GC = MS, NMR | Rha:Ara:Xy:Gal:Man:GalA = 1.00:7.85:0.37:0.65:3.01:8.16 | 2.25 × 106 | (1,5)-linked Ara, (1,4)-linked GalA, -(1)-Man-(3,6)-linked terminated with -(1)-Man | Hypoglycemic activity | [64] |
| 38 | Lycium barbarum L. | LBP1A1-1 | Water extraction with the assistance of enzymes | DEAE SepharoseTM Fast Flow, Sephacryl S-200 HR column | GC, FT-IR, HPGPC, partial acid hydrolysis, GC-MS, NMR | Ara:Gal:Glu:Rha = 47.8:49.8:1.4:1.2 | 4.50 × 104 | Backbone of 1, 3-linked β-Gal, 1, 6-linked β-Gal, and 1, 4-linked α-Glc with branches substituted at the C-3 position of 1, 6-linked β-Gal or the C-6 position of 1, 3-linked β-Gal | Alzheimer’s disease (AD) | [65] |
| 39 | Lycium chinense Mill | AGPs | Cold water | DEAE-cellulose column chromatography, | HPLC, GLC, GC-MS, NMR | Ara:Gal = 1:1 | Unknown | Unknown | unknown | [67] |
| 40 | Lycium barbarum L. | LbGp3 | Water | Sephadex G-100 column | GC, SEC, methylation analysis, partial acid hydrolysis, NMR | Ara:Gal = 1:1 | 9.25 × 104 | All Gal in glycan is β-pyranose | Immunoactivity | [68] |
| 41 | Lycium ruthenicum | LRGP3 | Water | GPC | HPGPC, GC, UV, FT-IR, ESI-MS, NMR | Rha:Ara:Gal = 1.0:14.9:10.4 | 7.56 × 104 | A backbone of (1→3)-linked β-D-galactopyranosyl residues, many of which are substituted at the O-6 position by Gal or Ara groups; the branches are composed of (1→5)-linked Ara, (1→2)-linked Ara, (1→6)-linked Gal, (1→3)-linked Gal, and (1→2,4)-linked Rha; the major nonreducing termini are α-L-arabinofuranosyl residues | unknown | [69] |
| 42 | Lycium barbarum L. | LbGp2 | Water | Gel filtration, Sephadex G-100 column | SE, GC, HPLC, CE, NMR, IR | Ara:Gal = 4:5 | 6.82 × 104 | Backbone consisting of (1→6)-β-galactosyl residues, about fifty percent of which are substituted at C-3 by galactosyl or arabinosyl groups; the major nonreducing end is composed of Ara (1→ | unknown | [112] |
| 43 | Lycium barbarum L. | LP5 | Water | DEAE-52 cellulose column, Sephadex G-100 column | GC, FT-IR, NMR, APC | Rib:Xyl:Man:Gal:Glu:GlcUA = 1.0:3.38:4.60:2.48:1.75:2.59 | 2.50 × 105 | Unknown | Immunomodulatory activity | [113] |
| 44 | Lycium ruthenicum | LRGP1 | Hot water | Ion-exchange and gel-filtration chromatography | GC, ESI-MS, HPGPC, methylation analysis | Rha:Ara:Xyl: Man:Glu:Gal = 0.65:10.71:0.33:0.67:1:10.41 | 5.62 × 104 | A branched polysaccharide rich in arabinose and galactose with a backbone composed of (1→3)-linked Gal; the branches are composed of (1→5)-linked Ara, (1→2)-linked Ara, (1→6)-linked Gal, (1→3)-linked Gal, (1→4)-linked Gal, and (1→2,4)-linked Rha; arabinose, xylose, mannose, and glucose are located at the terminal of the branches | [114] | |
| 45 | Lycium barbarum | LBP-4a | Chloroform/methanol solvent | DEAE-cellulose column | Sephadex G-100 gel chromatography, HPLC, UV | Gal:Glu:Rha:Ara:Man:Xyl | 338.67 × 102 | Unknown | Treatment of renal damage | [115] |
| 46 | Lycium ruthenicum | LRGP3 | Water | GPC | ESI-MS, cation-exchange resin, GC-MS | Ara:Gal:Rha = 16.8:1.4:1.0 | 1.31 × 104 | Unknown | Immunological activity | [115] |
| 47 | Lycium barbarum | LBP1B-S-2 | Water extraction with the assistance of enzymes | DEAE SepharoseTM Fast Flow and Sephacryl S-300 HR columns, anion-exchange chromatography | PMP pre-column derivation method, FT-IR, NMR, HPGPC | Rha:Ara:Gal:GlcA = 3.13:53.55:39.37:3.95 | 8.00 × 104 | 1, 3-linked β-D-Gal, 1, 6-linked β-D-Gal, and branches containing 1, 4-linked β-D-GlcA, T-linked β-D-Gal, 1, 6-linked β-D-Gal, T-linked α-L-Ara, T-linked α-L-Ara, 1, 5-linked α-L-Ara, and T-Linked β-L-Rha directly or indirectly attached to C-3 position of 1, 6-linked β-D-Gal or the C-6 position of 1, 3-linked β-D-Gal | Anti-angiogenic activity | [116] |
| 48 | Lycium barbarum | p-LBP | Water | Decoloration, ion-exchange chromatography, dialysis, and gel chromatography | HPLC, HPAEC, HPSEC, FT-IR, GC-MS, and NMR | Fuc:Rha:Ara:Gal:Glc:Xyl:GalA:GlcA = 1.00:6.44:54.84:22.98:4.05:2.95:136.98:3.35 | 6.40 × 104 | Backbone→4-α-GalA-(1→, repeatedly; a partial region connected by→4-α-GalA-(1→and→2-α-Rha-(1→, alternatively; at the C-4 position of partial→2-α-Rha-(1→residues exist with branches formed by→4-β-Gal-(1→,→3-β-Gal-(1→or→5-α-Ara-(1→, whereas at the C-6 position of partial→3-β-Gal-(1→, secondary branches formed by terminal-α-Ara, terminal-β-Gal, or→3-α-Ara-(1→ | unknown | [117] |
| 49 | Lycium barbarum | LBP | Distilled water | Macroporous resin | GC | Ara:Rha:Xyl:Man:Gal:Glu = 0.18:0.81:0.07:2.17:0.23:6.52 | Unknown | Unknown | Potential prebiotic | [118] |
| 50 | Lycium barbarum L | LBWP | Hot water | DEAE-cellulose ion-exchange chromatography | Gel-filtration chromatography | Man:Rha:GalUA:Glc:Gal:Ara = 2.1:0.6:1.9:86.8:3.0:5.6 | Unknown | Unknown | Anti-fatigue ativity, antioxidant ativity | [119] |
| 51 | Lycium ruthenicum Murr | LRWP | Hot water | DEAE-cellulose ion-exchange chromatography | Gel-filtration chromatography | Man:Rha:GalUA:Glc:Gal:Xyl:Ara = 1.6:1.2:5.7:82.3:2.9:0.7:6.2 | Unknown | Unknown | Anti-fatigue activity, antioxidant ativity | [119] |
| 52 | Lycium barbarum Linnaeus | Hot water | HPSEC | GC, HPLC | Rha:Ara:xyl:Man:Glu:Gal = 0.3:2.7:0.3:0.2:2.7:0.9 | Unknown | Unknown | unknown | [120] | |
| 53 | Lycium barbarum | LBPF5 | 95% Ethanol | Ion-exchange chromatography | GC, HPSEC | Ara:Man:Xyl:Glu:Rha | 5.30 × 104 | Unknown | Antioxidant activities | [121] |
| 54 | Lycium barbarum | LBP-4a | Water | DEAE cellulose and Sephadex G-100 column chromatography | Paper chromatography, UV, IR, HPLC | Gal:Glu:Rha:Ara:Man:Xyl | 338.67 × 102 | Unknown | Ameliorate insulin resistance | [122] |
| 55 | Lycium barbarum L. | LbGp5B | Water | DEAE cellulose column | GC, EMS | Rha:Ara:Glc:Gal = 0.1:1:1.2:0.3 | 2.37 × 105 | Unknown | unknown | [123] |
| 56 | Lycium barbarum | LBP | Water | Rha:Xyl:Ara:Fuc:Glu:Gal = 1:1.07:2.14:2.29:3.59:10.06 | 241.32 × 102 | Unknown | Antioxidant | [124] | ||
| 57 | Lycium ruthenicum Murr. | LRP1-S2 | Boiling water | DEAE-Sepharose, Sephacryl S-100 HR | HPGPC, NMR, HPLC, GC-MS | Gal:Ara:Rha: Glu:GlcA:Man:GalA = 46.2:40.2:5.0:4.0:2.3:1.7:0.5 | 1.70 × 105 | Linear 1, 3-β-D-Gal, linear 1, 6-β-D-Gal, and 1, 3-β-D-Man; Ara residues are attached to C-3 of 1, 3, 6-β-D-Gal; T-linked β-D-Gal and T-linked α-L-Rha are linked to C-6 of partial 1, 3, 6-β-D-Gal; the branch containing T-linked β-D-Gal, 1, 4-α-D-GalA, and 1, 2- α-L-Rha is attached to C-6 of 1, 3, 6-β-D-Gal; in addition, β-D-GlcA, and 1, 4-β-D-Glc constitute another branch attaching to C-6 of 1, 3, 6- β-D-Gal | Anti-tumor | [125] |
| Application | Main Composition | Pharmacological Properties | Publish Number |
|---|---|---|---|
| Tobacco substitutes | LBP, Tobacco | Hypolipidemic, hypoglycemic, hepatoprotective, antioxidant, antiaging | CN101692930A |
| Candy | LBP, κ-Carrageenan, ι-Carrageenan, xylitol, maltitol, sodium citrate, citric acid solution | Improved immunity | CN108617835A |
| Organ preservation solution | LBP, citric acid-disodium hydrogen phosphate buffer, potassium aspartate, magnesium aspartate, sodium adenosine triphosphate, ginsenoside Rg1, insulin | Kidney-specific preservation solution | CN103609553B |
| Industrial products | LBP, Lycium ruthenicum polysaccharides, armillaria luteo-virens polysaccharides, Nitraria tangutorum polysaccharides | Antioxidation | CN104530251A |
| Nutritious food | LBP, calcium, glucosamine hydrochloride, chondroitin sulfate sodium, colostrum alkaline protein | Increased bone density | CN111248445A |
| Nutritious food | LBP, polyunsaturated fat, protein, vitamin A, vitamin C, vitamin D, vitamin E, reduced glutathione, zinc, selenium, lycopene, curcumin, tea polyphenols, Lepidium meyenii walp, ostreae | Improved the nutritional structure of patients with prostatitis, improved health | CN111642739A |
| Beverage | LBP, vitamin C, fructo-oligosaccharides, potassium sorbate | Improved immunity, lower blood fat, lower blood sugar | CN105410257A |
| Beverage | LBP, Ziziphus jujuba Mill, honey, sugar | Improved immunity, nourishing yin and tonifying kidney, delay aging, throttle the immune system, anticancer activity | CN102948838A |
| Beverage | LBP, glucoraphanin, sweetener, juice powder, inulin / Konjac powder | Improved immunity, nourishing yin and tonifying kidney, delay aging, throttle the immune system, anticancer activity | CN108294211A |
| Beverage | LBP extract (30–50%), fish peptide hydrolysate (15–30%), levocarnitine | Antifatigue | CN102342407B |
| Beverage | LBP, yogurt, fermentation bacteria, flavoring agent | Nutrition and health care | CN109601622A |
| Healthy food | LBP, edible calcium, wolf berry powder | Prevention of hyperlipidemia and atherosclerosis and improvement of immune function | CN101032332A |
| Healthy food | LBP, Wheat gluten | Improved human immunity, antiradiation activity, delayed aging | CN108497027A |
| Healthy food | Lycium barbarum extract, dextrin, menthol, magnesium stearate | Antiaging, antitumor, antifatigue, antihypoxia, blood-sugar-lowering, blood-pressure-lowering, and immunity-improving activity | CN103262974A |
| Healthy food | LBP, Garlicin | Enhanced vascular elasticity and blood-pressure-lowering activity, reduced platelet aggregation and heart attacks | CN1919207B |
| Healthy food | LBP, Deer blood polypeptide | Relieves fatigue | CN111820314A |
| Healthy food | LBP, Glycyrrhizin, oleuropein | Memory improvement | CN110693026A |
| Healthy food | LBP, Mangiferin, naringin, oleuropein | Liver cirrhosis cure | CN111388495A |
| Healthy food | Protein peptide extract from stone money turtle, LBP, Anoectochilus roxburghii | Enhanced immunity | CN107136499A |
| Healthy food | LBP, laver | Memory improvement | CN103637268B |
| Healthy food | LBP, tartary buckwheat flour, soybean protein powder, oat bran powder, sarsasapogenin, Ganoderma lucidum polysaccharide, vitamins, edible calcium carbonate | Hypoglycemic, lipid-lowering foods | CN101564163B |
| Cosmetics | LBP, Tremella polysaccharide, Matee extract, Fullerene, urolic acid, nicotinamide, deionized water | Moisturizing and antiaging activities | CN111920707B |
| Cosmetics | LBP, Brazilian cocoa fruit extract | Whitening, moisturizing | CN107822998A |
| Pharmaceuticals | LBP, astaxanthin, taurine acid, curcumin, ginkgo flavonoids, tea polyphenol, vitamin B12, vitamin E | Prevention or treatment of Alzheimer’s disease | CN106420796B |
| Pharmaceuticals | LBP, glycine betaine, vitamins, multi-trace elements | Liver protection | CN112957403A |
| Pharmaceuticals | LBP, Polygonatum cyrtonema, Hua polysaccharide, Codonopsis pilosula (Franch.) Nannf. Polysaccharides, Ziziphus jujuba Mill. polysaccharides | Hypoglycemic activity | CN112755044A |
| Pharmaceuticals | LBP, mushroom polysaccharides, Ganoderma lucidum polysaccharide | Intestinal flora regulation | CN110302210A |
| Pharmaceuticals | LBP, naringin, glycyrrhizin, mangiferin, oleuropein | Insulin resistance syndrome and type 2 diabetes | CN111773238A |
| Pharmaceuticals | LBP, chrysanthemum extract | Xerophthalmia | CN105560586A |
| Pharmaceutical | LBP, Atractylodes polysaccharide, Astragalus polysaccharide, Fructuszingiberis nigri polysaccharide, Tuckahoe polysaccharide | Promotes growth, improves immunity | CN113350392A |
| Pharmaceuticals | LBP, deer blood dry powder | Relieves fatigue, strengthening yang | CN107890473A |
| Pharmaceuticals | LBP, GinsenosideRh2 | Antifatigue, hypoxia tolerance, heat resistance, cold resistance | CN113633657A |
| Pharmaceuticals | Lycium ruthenicum polysaccharides, Allopurinol | Lowers uric acids | CN107441241B |
| Pharmaceuticals | LBP, corn starch | Prevention and treatment of chronic stress, post-traumatic stress disorder, improved cognitive function | CN102283858B |
| Pharmaceuticals | LBP, chlorogenic acid, soybean isoflavone | Relief of depression | CN108420826A |
| Pharmaceuticals | LBP, chlorogenic acid, soybean isoflavone | Relief of depression | CN108420826B |
| Pharmaceuticals | LBP, potassium sorbate | Dry eye | CN104274484B |
| Pharmaceuticals | Lycium barbarum extracts, dextrin, menthol, magnesium stearate | Antiaging, antitumor, antifatigue, antihypoxia, hypoglycemic, and antihypertensive activities, enhanced immunity | CN103262974B |
Author Contributions
Funding
Institutional Review Board Statement
Informed Consent Statement
Data Availability Statement
Acknowledgments
Conflicts of Interest
Abbreviations
References
- Amagase, H.; Farnsworth, N.R. A review of botanical characteristics, phytochemistry, clinical relevance in efficacy and safety of Lycium barbarum fruit (Goji). Food Res. Int. 2011, 44, 1702–1717. [Google Scholar] [CrossRef]
- Byambasuren, S.-E.; Wang, J.; Gaudel, G. Medicinal value of wolfberry (Lycium barbarum L.). J. Med. Plants Stud. 2019, 7, 90–97. [Google Scholar]
- Kindscher, K.; Long, Q.; Corbett, S.; Bosnak, K.; Loring, H.; Cohen, M.; Timmermann, B.N. The ethnobotany and eth-nopharmacology of wild tomatillos, Physalis longifolia Nutt., and related Physalis species: A review. Econ. Bot. 2012, 66, 298–310. [Google Scholar] [CrossRef]
- Ulbricht, C.; Bryan, J.K.; Costa, D.; Culwell, S.; Giese, N.; Isaac, R.; Nummy, K.; Pham, T.; Rapp, C.; Rusie, E.; et al. An Evidence-Based Systematic Review of Goji (Lycium spp.) by the Natural Standard Research Collaboration. J. Diet Suppl. 2015, 12, 184–240. [Google Scholar] [CrossRef] [PubMed]
- Amagase, H.; Nance, D.M. A randomized, double-blind, placebo-controlled, clinical study of the general effects of a stand-ardized Lycium barbarum (Goji) Juice, GoChi. J. Altern. Complement. Med. 2008, 14, 403–412. [Google Scholar] [CrossRef]
- Potterat, O. Goji (Lycium barbarum and L. chinense): Phytochemistry, pharmacology and safety in the perspective of tradi-tional uses and recent popularity. Planta Med. 2010, 76, 7–19. [Google Scholar] [CrossRef] [PubMed]
- Seeram, N.P. Berry Fruits: Compositional Elements, Biochemical Activities, and the Impact of Their Intake on Human Health, Performance, and Disease. J. Agric. Food Chem. 2008, 56, 627–629. [Google Scholar] [CrossRef] [PubMed]
- Yang, Y.; Chang, Y.; Wu, Y.; Liu, H.; Liu, Q.; Kang, Z.; Wu, M.; Yin, H.; Duan, J. A homogeneous polysaccharide from Lycium barbarum: Structural characterizations, anti-obesity effects and impacts on gut microbiota. Int. J. Biol. Macromol. 2021, 183, 2074–2087. [Google Scholar] [CrossRef]
- Zhou, L.; Liao, W.; Zeng, H.; Yao, Y.; Chen, X.; Ding, K. A pectin from fruits of Lycium barbarum L. decreases β-amyloid peptide production through modulating APP processing. Carbohydr. Polym. 2018, 201, 65–74. [Google Scholar] [CrossRef] [PubMed]
- Zhu, J.; Liu, W.; Yu, J.; Zou, S.; Wang, J.; Yao, W.; Gao, X. Characterization and hypoglycemic effect of a polysaccharide extracted from the fruit of Lycium barbarum L. Carbohydr. Polym. 2013, 98, 8–16. [Google Scholar] [CrossRef]
- Zhang, Q.; Lv, X.; Wu, T.; Ma, Q.; Teng, A.; Zhang, Y.; Zhang, M. Composition of Lycium barbarum polysaccharides and their apoptosis-inducing effect on human hepatoma SMMC-7721 cells. Food Nutr. Res. 2015, 59, 28696. [Google Scholar] [CrossRef]
- Xu, J.; Wang, R.; Liu, J.; Cheng, H.; Peng, D.; Xing, L.; Shi, S.; Yu, N. Determination of monosaccharides in Lycium barba-rum fruit polysaccharide by an efficient UHPLC-QTRAP-MS/MS method. Phytochem. Anal. 2021, 32, 785–793. [Google Scholar] [CrossRef] [PubMed]
- Po, K.K.-T.; Leung, J.W.-H.; Chan, J.N.-M.; Fung, T.K.-H.; Sánchez-Vidaña, D.I.; Sin, E.L.-L.; So, K.-F.; Lau, B.W.-M.; Siu, A.M.-H. Protective effect of Lycium barbarum polysaccharides on dextromethorphan-induced mood impairment and neurogenesis suppression. Brain Res. Bull. 2017, 134, 10–17. [Google Scholar] [CrossRef] [PubMed]
- Qian, L. Modulation of cytokine level and sperm quality of mice by Lycium barbarum polysaccharides. Int. J. Biol. Macromol. 2019, 126, 475–477. [Google Scholar] [CrossRef]
- Peng, Q.; Liu, H.; Shi, S.; Li, M. Lycium ruthenicum polysaccharide attenuates inflammation through inhibiting TLR4/NF-κB signaling pathway. Int. J. Biol. Macromol. 2014, 67, 330–335. [Google Scholar] [CrossRef]
- Wang, F.; Tipoe, G.L.; Yang, C.; Nanji, A.A.; Hao, X.; So, K.F.; Xiao, J. Lycium barbarum Polysaccharide Supplementation Improves Alcoholic Liver Injury in Female Mice by Inhibiting Stearoyl-CoA Desaturase 1. Mol. Nutr. Food Res. 2018, 62, e1800144. [Google Scholar] [CrossRef]
- Tang, H.-L.; Chen, C.; Wang, S.-K.; Sun, G.-J. Biochemical analysis and hypoglycemic activity of a polysaccharide isolated from the fruit of Lycium barbarum L. Int. J. Biol. Macromol. 2015, 77, 235–242. [Google Scholar] [CrossRef]
- Miller, J.S.; Kamath, A.; Damashek, J.; Levin, R.A. Out of America to Africa or Asia: Inference of Dispersal Histories Using Nuclear and Plastid DNA and the S-RNase Self-incompatibility Locus. Mol. Biol. Evol. 2010, 28, 793–801. [Google Scholar] [CrossRef]
- Wu, C.Y.; Li, X.W. Flora Reipublicae Popularis Sinicae; Flora of China; Science Press: Beijing, China, 1977; Volume 66. [Google Scholar]
- Zeng, S.; Liu, Y.; Wu, M.; Liu, X.; Shen, X.; Liu, C.; Wang, Y. Identification and Validation of Reference Genes for Quantitative Real-Time PCR Normalization and Its Applications in Lycium. PLoS ONE 2014, 9, e97039. [Google Scholar] [CrossRef]
- Zheng, J.; Ding, C.; Wang, L.; Li, G.; Shi, J.; Li, H.; Wang, H.; Suo, Y. Anthocyanins composition and antioxidant activity of wild Lycium ruthenicum Murr. from Qinghai-Tibet Plateau. Food Chem. 2010, 126, 859–865. [Google Scholar] [CrossRef]
- Wang, H.; Li, J.; Tao, W.; Zhang, X.; Gao, X.; Yong, J.; Zhao, J.; Zhang, L.; Li, Y.; Duan, J.-A. Lycium ruthenicum studies: Molecular biology, Phytochemistry and pharmacology. Food Chem. 2018, 240, 759–766. [Google Scholar] [CrossRef] [PubMed]
- Fukuda, T.; Yokoyama, J.; Ohashi, H. Phylogeny and biogeography of the genus Lycium (Solanaceae): Inferences from chlo-roplast DNA sequences. Mol. Phylogenet. Evol. 2001, 19, 246–258. [Google Scholar] [CrossRef] [PubMed]
- Levin, R.A.; Miller, J.S. Relationships within tribe Lycieae (Solanaceae): Paraphyly of Lycium and multiple origins of gender dimorphism. Am. J. Bot. 2005, 92, 2044–2053. [Google Scholar] [CrossRef] [PubMed]
- Gao, Y.; Wei, Y.; Wang, Y.; Gao, F.; Chen, Z. Lycium barbarum: A Traditional Chinese Herb and A Promising Anti-Aging Agent. Aging Dis. 2017, 8, 778–791. [Google Scholar] [CrossRef] [PubMed]
- Gulen, T.; Bayram, K.; Nazan, C.; Ahmet, G. Free radical scavenging activity and phenolic content of edible wild fruits from Kazdagi (Ida Mountains), Turkey. J. Med. Plants Res. 2012, 6, 4989–4994. [Google Scholar]
- Dhar, P.; Tayade, A.; Ballabh, B.; Chaurasia, O.; Bhatt, R.; Srivastava, R. Lycium ruthenicum Murray: A less-explored but high-value medicinal plant from Trans-Himalayan cold deserts of Ladakh, India. Plant Arch. 2011, 11, 583–586. [Google Scholar]
- Ouhaddou, H.; Boubaker, H.; Msanda, F.; El Mousadik, A. An ethnobotanical study of medicinal plants of the Agadir Ida Ou Tanane province (southwest Morocco). J. Appl. Biosci. 2015, 84, 7707. [Google Scholar] [CrossRef]
- Trillo, C.; Arias Toledo, B.; Galetto, L.; Colantonio, S. Persistence of the use of medicinal plants in rural communities of the Western Arid Chaco [Córdoba, Argentina]. Open Complement. Med. J. 2010, 2, 80–89. [Google Scholar] [CrossRef]
- Toledo, B.A.; Trillo, C.; Grilli, M.; Colantonio, S.; Galetto, L. Relationships between Land-Use Types and Plant Species Used by Traditional Ethno-Medical System. Eur. J. Med. Plants 2014, 4, 998–1021. [Google Scholar] [CrossRef]
- Hao, W.; Wang, S.F.; Zhao, J.; Li, S.P. Effects of extraction methods on immunology activity and chemical profiles of Lyci-um barbarum polysaccharides. J. Pharm. Biomed. Anal. 2020, 185, 113219. [Google Scholar] [CrossRef]
- Luo, Q.; Yan, J.; Zhang, S. Isolation and purification of Lycium barbarum polysaccharides and its antifatigue effect. J. Hyg. Res. 2000, 29, 115–117. [Google Scholar]
- Muatasim, R.; Ma, H.; Yang, X. Effect of multimode ultrasound assisted extraction on the yield of crude polysaccharides from Lycium barbarum (Goji). Food Sci. Technol. 2018, 38, 160–166. [Google Scholar] [CrossRef]
- Zhu, M.; Jinggang, M.; ChangSheng, H.; Haiping, X.; Ning, M.; Caijiao, W. Extraction, characterization of polysaccharides from Lycium barbarum and its effect on bone gene expression in rats. Carbohydr. Polym. 2010, 80, 672–676. [Google Scholar] [CrossRef]
- Liu, J.; Pu, Q.; Qiu, H.; Di, D. Polysaccharides isolated from Lycium barbarum L. by integrated tandem hybrid membrane technology exert antioxidant activities in mitochondria. Ind. Crop. Prod. 2021, 168, 113547. [Google Scholar] [CrossRef]
- Yang, R.-f.; Zhao, C.; Chen, X.; Chan, S.-w.; Wu, J.-y. Chemical properties and bioactivities of Goji (Lycium barbarum) poly-saccharides extracted by different methods. J. Funct. Foods 2015, 17, 903–909. [Google Scholar] [CrossRef]
- Lin, C.; Wang, C.; Chang, S.; Inbaraj, B.S.; Chen, B. Antioxidative activity of polysaccharide fractions isolated from Lycium barbarum Linnaeus. Int. J. Biol. Macromol. 2009, 45, 146–151. [Google Scholar] [CrossRef]
- Chao, Z.; Ri-Fu, Y.; Tai-Qiu, Q. Ultrasound-enhanced subcritical water extraction of polysaccharides from Lycium barbarum L. Sep. Purif. Technol. 2013, 120, 141–147. [Google Scholar] [CrossRef]
- Wu, D.-T.; Cheong, K.-L.; Deng, Y.; Lin, P.-C.; Wei, F.; Lv, X.-J.; Long, Z.-R.; Zhao, J.; Ma, S.-C.; Li, S.-P. Characterization and comparison of polysaccharides from Lycium barbarum in China using saccharide mapping based on PACE and HPTLC. Carbohydr. Polym. 2015, 134, 12–19. [Google Scholar] [CrossRef] [PubMed]
- Zhang, J.; Jia, S.; Liu, Y.; Wu, S.; Ran, J. Optimization of enzyme-assisted extraction of the Lycium barbarum polysaccharides using response surface methodology. Carbohydr. Polym. 2011, 86, 1089–1092. [Google Scholar] [CrossRef]
- Tang, R.; Chen, X.; Dang, T.; Deng, Y.; Zou, Z.; Liu, Q.; Gong, G.; Song, S.; Ma, F.; Huang, L.; et al. Lycium barbarum polysaccharides extend the mean lifespan of Drosophila melanogaster. Food Funct. 2019, 10, 4231–4241. [Google Scholar] [CrossRef]
- Zhang, M.; Tang, X.; Wang, F.; Zhang, Q.; Zhang, Z. Characterization of Lycium barbarum polysaccharide and its effect on human hepatoma cells. Int. J. Biol. Macromol. 2013, 61, 270–275. [Google Scholar] [CrossRef] [PubMed]
- Yuan, Y.; Wang, Y.-B.; Jiang, Y.; Prasad, K.N.; Yang, J.; Qu, H.; Wang, Y.; Jia, Y.; Mo, H.; Yang, B. Structure identification of a polysaccharide purified from Lycium barbarium fruit. Int. J. Biol. Macromol. 2015, 82, 696–701. [Google Scholar] [CrossRef]
- Gong, G.; Dang, T.; Deng, Y.; Han, J.; Zou, Z.; Jing, S.; Zhang, Y.; Liu, Q.; Huang, L.; Wang, Z. Physicochemical properties and biological activities of polysaccharides from Lycium barbarum prepared by fractional precipitation. Int. J. Biol. Macromol. 2018, 109, 611–618. [Google Scholar] [CrossRef]
- Wang, Y.; Sun, M.; Jin, H.; Yang, J.; Kang, S.; Liu, Y.; Yang, S.; Ma, S.; Ni, J. Effects of Lycium barbarum Polysaccharides on Immunity and the Gut Microbiota in Cyclophosphamide-Induced Immunosuppressed Mice. Front. Microbiol. 2021, 12. [Google Scholar] [CrossRef] [PubMed]
- Redgwell, R.J.; Curti, D.; Wang, J.; Dobruchowska, J.M.; Gerwig, G.J.; Kamerling, J.P.; Bucheli, P. Cell wall polysaccha-rides of Chinese Wolfberry (Lycium barbarum): Part 2. Characterisation of arabinogalactan-proteins. Carbohydr. Polym. 2011, 84, 1075–1083. [Google Scholar] [CrossRef]
- Zhang, S.; He, F.; Chen, X.; Ding, K. Isolation and structural characterization of a pectin from Lycium ruthenicum Murr and its anti-pancreatic ductal adenocarcinoma cell activity. Carbohydr. Polym. 2019, 223, 115104. [Google Scholar] [CrossRef] [PubMed]
- Wu, H.-T.; He, X.-J.; Hong, Y.-K.; Ma, T.; Xu, Y.-P.; Li, H.-H. Chemical characterization of Lycium barbarum polysaccharides and its inhibition against liver oxidative injury of high-fat mice. Int. J. Biol. Macromol. 2010, 46, 540–543. [Google Scholar] [CrossRef] [PubMed]
- Lu, S.-P.; Zhao, P.-T. Chemical characterization of Lycium barbarum polysaccharides and their reducing myocardial injury in ischemia/reperfusion of rat heart. Int. J. Biol. Macromol. 2010, 47, 681–684. [Google Scholar] [CrossRef]
- Yao, R.; Huang, C.; Chen, X.; Yin, Z.; Fu, Y.; Li, L.; Feng, B.; Song, X.; He, C.; Yue, G.; et al. Two complement fixing pectic polysaccharides from pedicel of Lycium barbarum L. promote cellular antioxidant defense. Int. J. Biol. Macromol. 2018, 112, 356–363. [Google Scholar] [CrossRef]
- Huang, C.; Yao, R.; Zhu, Z.; Pang, D.; Cao, X.; Feng, B.; Paulsen, B.S.; Li, L.; Yin, Z.; Chen, X.; et al. A pectic polysaccharide from water decoction of Xinjiang Lycium barbarum fruit protects against in-testinal endoplasmic reticulum stress. Int. J. Biol. Macromol. 2019, 130, 508–514. [Google Scholar] [CrossRef]
- Peng, Q.; Xu, Q.; Yin, H.; Huang, L.; Du, Y. Characterization of an immunologically active pectin from the fruits of Lycium ruthenicum. Int. J. Biol. Macromol. 2013, 64, 69–75. [Google Scholar] [CrossRef]
- Liang, B.; Jin, M.; Liu, H. Water-soluble polysaccharide from dried Lycium barbarum fruits: Isolation, structural features and antioxidant activity. Carbohydr. Polym. 2011, 83, 1947–1951. [Google Scholar] [CrossRef]
- Gong, G.; Fan, J.; Sun, Y.; Wu, Y.; Liu, Y.; Sun, W.; Zhang, Y.; Wang, Z. Isolation, structural characterization, and antioxida-tivity of polysaccharide LBLP5-A from Lycium barbarum leaves. Process. Biochem. 2016, 51, 314–324. [Google Scholar] [CrossRef]
- Wang, Z.; Liu, Y.; Sun, Y.; Mou, Q.; Wang, B.; Zhang, Y.; Huang, L. Structural characterization of LbGp1 from the fruits of Lycium barbarum L. Food Chem. 2014, 159, 137–142. [Google Scholar] [CrossRef] [PubMed]
- Wu, J.; Chen, T.; Wan, F.; Wang, J.; Li, X.; Li, W.; Ma, L. Structural characterization of a polysaccharide from Lycium bar-barum and its neuroprotective effect against β-amyloid peptide neurotoxicity. Int. J. Biol. Macromol. 2021, 176, 352–363. [Google Scholar] [CrossRef] [PubMed]
- Liu, Y.; Gong, G.; Sun, Y.; Gu, X.; Huang, L.; Wang, Z. Isolation, structural characterization, and immunological activity of a polysaccharide LRLP4-A from the leaves of Lycium ruthenicum. J. Carbohydr. Chem. 2016, 35, 40–56. [Google Scholar] [CrossRef]
- Lv, X.; Wang, C.; Cheng, Y.; Huang, L.; Wang, Z. Isolation and structural characterization of a polysaccharide LRP4-A from Lycium ruthenicum Murr. Carbohydr. Res. 2012, 365, 20–25. [Google Scholar] [CrossRef]
- Fakhfakh, J.; Athmouni, K.; Mallek-Fakhfakh, H.; Ayedi, H.; Allouche, N. Polysaccharide from Lycium arabicum: Structural Features, in Vitro Antioxidant Activities and Protective Effect against Oxidative Damage in Human Erythrocytes. Chem. Biodivers. 2020, 17, e2000614. [Google Scholar] [CrossRef] [PubMed]
- Peng, X.-M.; Huang, L.-J.; Qi, C.-H.; Zhang, Y.-X.; Tian, G.-Y. Studies on chemistry and immuno- modulating mechanism of a glycoconjugate from Lycium barbarum L. Chin. J. Chem. 2010, 19, 1190–1197. [Google Scholar] [CrossRef]
- Zhang, F.; Zhang, X.; Guo, S.; Cao, F.; Zhang, X.; Wang, Y.; Liu, J.; Qian, B.; Yan, Y.; Chen, P.; et al. An acidic heteropolysaccharide from Lycii fructus: Purification, characterization, neurotrophic and neuroprotective activities in vitro. Carbohydr. Polym. 2020, 249, 116894. [Google Scholar] [CrossRef] [PubMed]
- Liu, H.; Fan, Y.; Wang, W.; Liu, N.; Zhang, H.; Zhu, Z.; Liu, A. Polysaccharides from Lycium barbarum leaves: Isolation, characterization and splenocyte proliferation activity. Int. J. Biol. Macromol. 2012, 51, 417–422. [Google Scholar] [CrossRef] [PubMed]
- Wang, S.Q.; Liu, B.; Liu, S.; Xie, S.Z.; Pan, L.H.; Zha, X.Q.; Li, Q.M.; Luo, J.P. Structural features of an acidic polysaccha-ride with the potential of promoting osteoblast differentiation from Lycium ruthenicum Murr. Nat. Prod. Res. 2020, 34, 2249–2254. [Google Scholar] [CrossRef] [PubMed]
- Zou, S.; Zhang, X.; Yao, W.; Niu, Y.; Gao, X. Structure characterization and hypoglycemic activity of a polysaccharide iso-lated from the fruit of Lycium barbarum L. Carbohydr. Polym. 2010, 80, 1161–1167. [Google Scholar] [CrossRef]
- Zhou, L.; Liao, W.; Chen, X.; Yue, H.; Li, S.; Ding, K. An arabinogalactan from fruits of Lycium barbarum L. inhibits production and aggregation of Aβ42. Carbohydr. Polym. 2018, 195, 643–651. [Google Scholar] [CrossRef]
- Peng, Q.; Liu, H.; Lei, H.; Wang, X. Relationship between structure and immunological activity of an arabinogalactan from Lycium ruthenicum. Food Chem. 2015, 194, 595–600. [Google Scholar] [CrossRef] [PubMed]
- Qin, X.; Yamauchi, R.; Aizawa, K.; Inakuma, T.; Kato, K. Structural features of arabinogalactan–proteins from the fruit of Lycium chinense Mill. Carbohydr. Res. 2001, 333, 79–85. [Google Scholar] [CrossRef]
- Huang, L.J.; Tian, G.Y.; Ji, G.Z. Structure Elucidation of Glycan of Glycoconjugate LbGp3 Isolated from the Fruit of Lycium barbarum L. J. Asian Nat. Prod. Res. 1999, 1, 259–267. [Google Scholar] [CrossRef]
- Peng, Q.; Song, J.; Lv, X.; Wang, Z.; Huang, L.; Du, Y. Structural Characterization of an Arabinogalactan-Protein from the Fruits of Lycium ruthenicum. J. Agric. Food Chem. 2012, 60, 9424–9429. [Google Scholar] [CrossRef] [PubMed]
- Vander Borght, M.; Wyns, C. Fertility and infertility: Definition and epidemiology. Clin. Biochem. 2018, 62, 2–10. [Google Scholar] [CrossRef] [PubMed]
- Inhorn, M.C.; Patrizio, P. Infertility around the globe: New thinking on gender, reproductive technologies and global move-ments in the 21st century. Hum. Reprod. Update 2015, 21, 411–426. [Google Scholar] [CrossRef]
- Luo, Q.; Li, Z.; Huang, X.; Yan, J.; Zhang, S.; Cai, Y.-Z. Lycium barbarum polysaccharides: Protective effects against heat-induced damage of rat testes and H2O2-induced DNA damage in mouse testicular cells and beneficial effect on sexual behavior and reproductive function of hemicastrated rats. Life Sci. 2006, 79, 613–621. [Google Scholar] [CrossRef] [PubMed]
- Yang, L.; Lei, L.; Zhao, Q.; Gao, Z.; Xu, X. Lycium barbarum polysaccharide improves the development of mouse oocytes vitrified at the germinal vesicle stage. Cryobiology 2018, 85, 7–11. [Google Scholar] [CrossRef]
- Lau, B.W.; Lee, J.C.; Li, Y.; Fung, S.M.; Sang, Y.H.; Shen, J.; Chang, R.C.; So, K.F. Polysaccharides from wolfberry pre-vents corticosterone-induced inhibition of sexual behavior and increases neurogenesis. PLoS ONE 2012, 7, e33374. [Google Scholar] [CrossRef]
- Luo, Q.; Cui, X.; Yan, J.; Yang, M.; Liu, J.; Jiang, Y.; Li, J.; Zhou, Y. Antagonistic effects of Lycium barbarum polysaccharides on the impaired reproductive system of male rats induced by local subchronic exposure to 60Co-γ irradiation. Phytother. Res. 2011, 25, 694–701. [Google Scholar] [CrossRef] [PubMed]
- Yang, D.-M.; Zhang, J.-Q.; Fei, Y.-F. Lycium barbarum polysaccharide attenuates chemotherapy-induced ovarian injury by reducing oxidative stress. J. Obstet. Gynaecol. Res. 2017, 43, 1621–1628. [Google Scholar] [CrossRef]
- Tang, Z.-Y.; Sun, D.; Qian, C.-W.; Chen, Q.; Duan, S.-S.; Sun, S.-Y. Lycium barbarum polysaccharide alleviates nonylphenol exposure induced testicular injury in juvenile zebrafish. Int. J. Biol. Macromol. 2017, 104, 618–623. [Google Scholar] [CrossRef] [PubMed]
- Yan, B.; Zhang, X.; Wang, J.; Jia, S.; Zhou, Y.; Tian, J.; Wang, H.; Tang, Y. Inhibitory effect of Lycium barbarum polysaccha-ride on sperm damage during cryopreservation. Exp. Ther. Med. 2020, 20, 3051–3063. [Google Scholar]
- Hu, S.; Liu, D.; Liu, S.; Li, C.; Guo, J. Lycium barbarum Polysaccharide Ameliorates Heat-Stress-Induced Impairment of Pri-mary Sertoli Cells and the Blood-Testis Barrier in Rat via Androgen Receptor and Akt Phosphorylation. Evid. Based Complement Alternat. Med. 2021, 2021, 5574202. [Google Scholar] [CrossRef]
- Yang, F.-L.; Wei, Y.-X.; Liao, B.-Y.; Wei, G.-J.; Qin, H.-M.; Pang, X.-X.; Wang, J.-L. Effects of Lycium barbarum Polysaccharide on Endoplasmic Reticulum Stress and Oxidative Stress in Obese Mice. Front. Pharmacol. 2020, 11. [Google Scholar] [CrossRef] [PubMed]
- Weiss, U. Inflammation. Nature 2008, 454, 427. [Google Scholar] [CrossRef]
- De Souza Zanchet, M.Z.; Nardi, G.M.; de Oliveira Souza Bratti, L.; Filippin-Monteiro, F.B.; Locatelli, C. Lycium barbarum Reduces Abdominal Fat and Improves Lipid Profile and Antioxidant Status in Patients with Metabolic Syndrome. Oxidative Med. Cell. Longev. 2017, 2017, 9763210. [Google Scholar] [CrossRef] [PubMed]
- Chang, J.-S.; Lee, Y.-J.; Wilkie, D.A.; Lin, C.-T. The Neuroprotective and antioxidative effects of submicron and blended Lycium barbarum in experimental retinal degeneration in rats. J. Veter. Med. Sci. 2018, 80, 1108–1115. [Google Scholar] [CrossRef] [PubMed]
- Rjeibi, I.; Feriani, A.; Ben Saad, A.; Ncib, S.; Sdayria, J.; Hfaiedh, N.; Allagui, M.S. Lycium europaeum Linn as a source of polysaccharide with in vitro antioxidant activities and in vivo anti-inflammatory and hepato-nephroprotective potentials. J. Ethnopharmacol. 2018, 225, 116–127. [Google Scholar] [CrossRef] [PubMed]
- Liu, Y.; Lv, J.; Yang, B.; Liu, F.; Tian, Z.; Cai, Y.; Yang, D.; Ouyang, J.; Sun, F.; Shi, Y.; et al. Lycium barbarum polysaccha-ride attenuates type II collagen-induced arthritis in mice. Int. J. Biol. Macromol. 2015, 78, 318–323. [Google Scholar] [CrossRef]
- Ni, H.; Wang, G.; Xu, Y.; Gu, X.; Sun, C.; Li, H. RETRACTED ARTICLE: Lycium barbarum polysaccharide alleviates IL-1β-evoked chondrogenic ATDC5 cell inflammatory injury through mediation of microRNA-124. Artif. Cells Nanomed. Biotechnol. 2019, 47, 4046–4052. [Google Scholar] [CrossRef] [PubMed]
- Wu, Q.; Liu, L.T.; Wang, X.Y.; Lang, Z.F.; Meng, X.H.; Guo, S.F.; Yan, B.; Zhan, T.; Zheng, H.Z.; Wang, H.W. Lycium barbarum polysaccharides attenuate kidney injury in septic rats by regulating Keap1-Nrf2/ARE pathway. Life Sci. 2020, 242, 117240. [Google Scholar] [CrossRef] [PubMed]
- Cao, C.; Zhu, B.; Liu, Z.; Wang, X.; Ai, C.; Gong, G.; Hu, M.; Huang, L.; Song, S. An arabinogalactan from Lycium barbarum attenuates DSS-induced chronic colitis in C57BL/6J mice associated with the modulation of intestinal barrier function and gut microbiota. Food Funct. 2021, 12, 9829–9843. [Google Scholar] [CrossRef] [PubMed]
- Li, W.; Gao, M.; Han, T. Lycium barbarum polysaccharides ameliorate intestinal barrier dysfunction and inflammation through the MLCK-MLC signaling pathway in Caco-2 cells. Food Funct. 2020, 11, 3741–3748. [Google Scholar] [CrossRef]
- Ding, Y.; Yan, Y.; Chen, D.; Ran, L.; Mi, J.; Lu, L.; Jing, B.; Li, X.; Zeng, X.; Cao, Y. Modulating effects of polysaccharides from the fruits of Lycium barbarum on the immune response and gut microbiota in cyclophosphamide-treated mice. Food Funct. 2019, 10, 3671–3683. [Google Scholar] [CrossRef] [PubMed]
- Ding, Y.; Yan, Y.; Peng, Y.; Chen, D.; Mi, J.; Lu, L.; Luo, Q.; Li, X.; Zeng, X.; Cao, Y. In vitro digestion under simulated saliva, gastric and small intestinal conditions and fermentation by human gut microbiota of polysaccharides from the fruits of Lycium barbarum. Int. J. Biol. Macromol. 2018, 125, 751–760. [Google Scholar] [CrossRef]
- Zhu, W.; Zhou, S.; Liu, J.; McLean, R.J.; Chu, W. Prebiotic, immuno-stimulating and gut microbiota-modulating effects of Lycium barbarum polysaccharide. Biomed. Pharmacother. 2019, 121, 109591. [Google Scholar] [CrossRef]
- Xu, T.; Liu, R.; Lu, X.; Wu, X.; Heneberg, P.; Mao, Y.; Jiang, Q.; Loor, J.; Yang, Z. Lycium barbarum polysaccharides alleviate LPS-induced inflammatory responses through PPARγ/MAPK/NF-κB pathway in bovine mammary epithelial cells. J. Anim. Sci. 2022, 100, skab345. [Google Scholar] [CrossRef] [PubMed]
- Zhao, R.; Master, B.Q.; Master, B.M.; Cai, Y. Improving Activity of Lycium barbarum. Polysaccharide on Depressive Mice Induced by Reserpine. Iran. J. Pharm. Res. 2019, 18, 1556–1565. [Google Scholar]
- Karakaş, F.P.; Coşkun, H.; Soytürk, H.; Bozat, B.G. Anxiolytic, antioxidant, and neuroprotective effects of goji berry polysaccharides in ovariectomized rats: Experimental evidence from behavioral, biochemical, and immunohistochemical analyses. Turk. J. Biol. 2020, 44, 238–251. [Google Scholar] [CrossRef]
- Zhou, Y.; Duan, Y.; Huang, S.; Zhou, X.; Zhou, L.; Hu, T.; Yang, Y.; Lu, J.; Ding, K.; Guo, D.; et al. Polysaccharides from Lycium barbarum ameliorate amyloid pathology and cognitive functions in APP/PS1 transgenic mice. Int. J. Biol. Macromol. 2019, 144, 1004–1012. [Google Scholar] [CrossRef] [PubMed]
- Zhou, J.; Li, H.; Wang, F.; Wang, H.; Chai, R.; Li, J.; Jia, L.; Wang, K.; Zhang, P.; Zhu, L.; et al. Effects of 2,4-dichlorophenoxyacetic acid on the expression of NLRP3 inflammasome and autophagy-related proteins as well as the protective effect of Lycium barbarum polysaccharide in neonatal rats. Environ. Toxicol. 2021, 36, 2454–2466. [Google Scholar] [CrossRef]
- Lin, S.; Al-Wraikat, M.; Niu, L.; Zhou, F.; Zhang, Y.; Wang, M.; Ren, J.; Fan, J.; Zhang, B.; Wang, L. Degradation enhances the anticoagulant and antiplatelet activities of polysaccharides from Lycium barbarum L. leaves. Int. J. Biol. Macromol. 2019, 133, 674–682. [Google Scholar] [CrossRef]
- Zhang, Z.; Liu, H.; Yu, B.; Tao, H.; Li, J.; Wu, Z.; Liu, G.; Yuan, C.; Guo, L.; Cui, B. Lycium barbarum polysaccharide attenuates myocardial injury in high-fat diet-fed mice through manipulating the gut microbiome and fecal metabolome. Food Res. Int. 2020, 138, 109778. [Google Scholar] [CrossRef]
- Hsieh, S.Y.; Lian, Y.Z.; Lin, I.H.; Yang, Y.C.; Tinkov, A.A.; Skalny, A.V.; Chao, J.C. Combined Lycium babarum poly-saccharides and C-phycocyanin increase gastric Bifidobacterium relative abundance and protect against gastric ulcer caused by aspirin in rats. Nutr. Metab. 2021, 18, 4. [Google Scholar] [CrossRef]
- Gao, L.-L.; Ma, J.-M.; Fan, Y.-N.; Zhang, Y.-N.; Ge, R.; Tao, X.-J.; Zhang, M.-W.; Gao, Q.-H.; Yang, J.-J. Lycium barbarum polysaccharide combined with aerobic exercise ameliorated nonalcoholic fatty liver disease through restoring gut microbiota, intestinal barrier and inhibiting hepatic inflammation. Int. J. Biol. Macromol. 2021, 183, 1379–1392. [Google Scholar] [CrossRef] [PubMed]
- Gao, L.L.; Li, Y.X.; Ma, J.M.; Guo, Y.Q.; Li, L.; Gao, Q.H.; Fan, Y.N.; Zhang, M.W.; Tao, X.J.; Yu, J.Q.; et al. Effect of Lycium barbarum polysaccharide supplementation in non-alcoholic fatty liver disease patients: Study protocol for a ran-domized controlled trial. Trials 2021, 22, 566. [Google Scholar] [CrossRef]
- Wong, H.L.; Hung, L.T.; Kwok, S.S.; Bu, Y.; Lin, Y.; Shum, H.C.; Wang, H.; Lo, A.C.Y.; Yam, G.H.F.; Jhanji, V.; et al. The anti-scarring role of Lycium barbarum polysaccharide on cornea epithelial-stromal injury. Exp. Eye Res. 2021, 211, 108747. [Google Scholar] [CrossRef]
- Guariguata, L.; Whiting, D.R.; Hambleton, I.; Beagley, J.; Linnenkamp, U.; Shaw, J.E. Global estimates of diabetes preva-lence for 2013 and projections for 2035. Diabetes Res. Clin. Pract. 2014, 103, 137–149. [Google Scholar] [CrossRef]
- Zheng, Y.; Ley, S.H.; Hu, F.B. Global aetiology and epidemiology of type 2 diabetes mellitus and its complications. Nat. Rev. Endocrinol. 2018, 14, 88–98. [Google Scholar] [CrossRef] [PubMed]
- Yao, Q.; Zhou, Y.; Yang, Y.; Cai, L.; Xu, L.; Han, X.; Guo, Y.; Li, P.A. Activation of Sirtuin1 by lyceum barbarum polysac-charides in protection against diabetic cataract. J. Ethnopharmacol. 2020, 261, 113165. [Google Scholar] [CrossRef]
- Zhu, Y.; Zhao, Q.; Jiang, Y. Lycium barbarum polysaccharides attenuates high glucose-induced diabetic retinal angiogenesis by rescuing the expression of miR-15a-5p in RF/6A cells. J. Ethnopharmacol. 2021, 283, 114652. [Google Scholar] [CrossRef] [PubMed]
- Liu, W.J.; Jiang, H.F.; Rehman, F.U.; Zhang, J.W.; Chang, Y.; Jing, L.; Zhang, J.Z. Lycium barbarum Polysaccharides De-crease Hyperglycemia-Aggravated Ischemic Brain Injury through Maintaining Mitochondrial Fission and Fusion Balance. Int. J. Biol. Sci. 2017, 13, 901–910. [Google Scholar] [CrossRef] [PubMed]
- Amagase, H. Comparison of Lycium barbarum-containing Liquid Dietary Supplements to Caffeinated Beverages on Ener-gy/Caloric Metabolism Activity and Salivary Adrenocortical Hormone levels in Healthy Human Adults. FASEB J. 2010, 24, 540.13. [Google Scholar] [CrossRef]
- Liu, G.; Yang, X.; Zhang, J.; Liang, L.; Miao, F.; Ji, T.; Ye, Z.; Chu, M.; Ren, J.; Xu, X. Synthesis, stability and anti-fatigue ac-tivity of selenium nanoparticles stabilized by Lycium barbarum polysaccharides. Int. J. Biol. Macromol. 2021, 179, 418–428. [Google Scholar] [CrossRef] [PubMed]
- Zhang, J.; Yang, X.; Ji, T.; Wen, C.; Ye, Z.; Liu, X.; Liang, L.; Liu, G.; Xu, X. Digestion and absorption properties of Lycium barbarum polysaccharides stabilized selenium nanoparticles. Food Chem. 2021, 373, 131637. [Google Scholar] [CrossRef]
- Peng, X.; Tian, G. Structural characterization of the glycan part of glycoconjugate LbGp2 from Lycium barbarum L. Carbohydr. Res. 2001, 331, 95–99. [Google Scholar] [CrossRef]
- Zhang, B.; Wang, M.; Wang, C.; Yu, T.; Wu, Q.; Li, Y.; Lv, Z.; Fan, J.; Wang, L.; Zhang, B. Endogenous calcium attenuates the immunomodulatory activity of a polysaccharide from Lycium barbarum L. leaves by altering the global molecular conformation. Int. J. Biol. Macromol. 2018, 123, 182–188. [Google Scholar] [CrossRef] [PubMed]
- Peng, Q.; Lv, X.; Xu, Q.; Li, Y.; Huang, L.; Du, Y. Isolation and structural characterization of the polysaccharide LRGP1 from Lycium ruthenicum. Carbohydr. Polym. 2012, 90, 95–101. [Google Scholar] [CrossRef]
- Li, J.; Shi, M.; Ma, B.; Zheng, Y.; Niu, R.; Li, K. Protective effects of fraction 4a of polysaccharides isolated from Lycium bar-barum against KBrO(3)-induced renal damage in rats. Food Funct. 2017, 8, 2566–2572. [Google Scholar] [CrossRef]
- Zhou, L.; Huang, L.; Yue, H.; Ding, K. Structure analysis of a heteropolysaccharide from fruits of Lycium barbarum L. and anti-angiogenic activity of its sulfated derivative. Int. J. Biol. Macromol. 2018, 108, 47–55. [Google Scholar] [CrossRef]
- Liu, W.; Liu, Y.; Zhu, R.; Yu, J.; Lu, W.; Pan, C.; Yao, W.; Gao, X. Structure characterization, chemical and enzymatic degradation, and chain conformation of an acidic polysaccharide from Lycium barbarum L. Carbohydr. Polym. 2016, 147, 114–124. [Google Scholar] [CrossRef] [PubMed]
- Zhou, F.; Jiang, X.; Wang, T.; Zhang, B.; Zhao, H. Lycium barbarum Polysaccharide (LBP): A Novel Prebiotics Candidate for Bifidobacterium and Lactobacillus. Front. Microbiol. 2018, 9, 1034. [Google Scholar] [CrossRef] [PubMed]
- Ni, W.; Gao, T.; Wang, H.; Du, Y.; Li, J.; Li, C.; Wei, L.; Bi, H. Anti-fatigue activity of polysaccharides from the fruits of four Tibetan plateau indigenous medicinal plants. J. Ethnopharmacol. 2013, 150, 529–535. [Google Scholar] [CrossRef]
- Wang, C.C.; Chang, S.C.; Chen, B.H. Chromatographic determination of polysaccharides in Lycium barbarum Linnaeus. Food Chem. 2009, 116, 595–603. [Google Scholar] [CrossRef]
- Ke, M.; Zhang, X.-J.; Han, Z.-H.; Yu, H.-Y.; Lin, Y.; Zhang, W.-G.; Sun, F.-H.; Wang, T.-J. Extraction, purification of Lycium barbarum polysaccharides and bioactivity of purified fraction. Carbohydr. Polym. 2011, 86, 136–141. [Google Scholar] [CrossRef]
- Zhao, R.; Qiu, B.; Li, Q.; Zhang, T.; Zhao, H.; Chen, Z.; Cai, Y.; Ruan, H.; Ge, W.; Zheng, X. LBP-4a improves insulin re-sistance via translocation and activation of GLUT4 in OLETF rats. Food Funct. 2014, 5, 811–820. [Google Scholar] [CrossRef] [PubMed]
- Peng, X.-M. Physico-chemical Properties and Bioactivities of a Glycoconjugate LbGpSB from Lycium barbarum L. Chin. J. Chem. 2001, 19, 842–846. [Google Scholar] [CrossRef]
- Li, X.-M. Protective effect of Lycium barbarum polysaccharides on streptozotocin-induced oxidative stress in rats. Int. J. Biol. Macromol. 2007, 40, 461–465. [Google Scholar] [CrossRef] [PubMed]
- He, F.; Zhang, S.; Li, Y.; Chen, X.; Du, Z.; Shao, C.; Ding, K. The structure elucidation of novel arabinogalactan LRP1-S2 against pancreatic cancer cells growth in vitro and in vivo. Carbohydr. Polym. 2021, 267, 118172. [Google Scholar] [CrossRef] [PubMed]




















| Scientific Name | Morphological Character | Medicament Portions | Clinical Application | Distribution | Ref. |
|---|---|---|---|---|---|
| L. barbarum L. | shrub | Fruit, root, leaf, calyx, bark, whole plant | A variety of diseases | Widely distributed in Asia, Europe, North America, and Australia; also appears in Africa and South America | [19] |
| L. chinense Mill. | multibranched shrub | Fruit, root, leaf, bark, whole plant | A variety of treatments | Widely distributed in Asia, Europe, North America, and Australia | [19] |
| L. ruthenicum Murray | spiny shrub | Fruit, leaf | Ophthalmic, blindness (veterinary), removal of blocked urine, diuretic | China, Iran, Afghanistan, India, Mexico, Pakistan, Russia, Turkmenistan, Georgia | [19] |
| Scientific Name | Synonyms | Medicament Portions | Clinical Application | Distribution |
|---|---|---|---|---|
| Lycium acutifolium E. Mey. ex Dunal | Lyciumelliotii Dammer, Lycium pendulinum Miers, Lycium tenue Willd. | Pounded bark | Promotion of good health | South Africa Madagascar Lesotho |
| Lycium afrum L. | Jasminoides afrum (L.) Medik., Jasminoides linearifolium Moench, Lycium bachmannii Dammer Oplukion afrum (L.) Raf. | Leaves, fruit, roots | Eye diseases, cough | South Africa France Tunisia Sweden Germany Netherlands medieval Cairo |
| Lycium barbarum L. | Boberella halimifolia, Jasminoides flaccidum Moench, Lycium barbarum var. auranticarpum, Lycium barbarum var. barbarum, Lycium halimifolium, Lycium lanceolatum, Lycium turbinatum, Lycium vulgare Dunal, Teremis elliptica | Fruit, root, leaf, calyx, bark, whole plant | A variety of diseases | Asia Europe North America Australia Africa South America |
| Lyciumcestroides Schltdl. | - | - | Analgesic | Argentina Bolivia Uruguay Brazil Australia Germany UK |
| Lyciumchinense Mill. | Boberella rhombifolia (Moench), Jasminoides rhombifolium Moench, Lycium barbarum var. chinense (Mill.) Aiton, Lycium chinense var. chinense, Lycium chinense var. ovatum, Lycium chinense var. rhombifolium, Lycium megistocarpum var. ovatum (poir.) Dunal, Lycium ovatum Poir., Lycium rhombifolium (Moench) Dippel, Lycium sinense, Lycium trewianum | Fruit, root, leaf, bark, whole plant | A variety of treatments | Asia Europe North America Australia |
| Lycium ciliatum Schltdl. | Lyciumargentinum Hieron., Lycium erosum Miers, Salpichroa ciliata Miers, Withania pulvinata Dunal | Leaf | Digestive, stomach inflammation | Argentina Brazil Bolivia |
| Lycium cinereum Thunb. | Lycium arenicola Miers, Lycium caespitosum, Lycium colletioides Dammer, Lycium echinatum Dunal, Lycium kraussii Dunal, Lycium leptacanthum, Lycium minutiflorum Dammer, Lycium omahekense Dammer, Lycium oxycladum Miers, Lycium roridum Miers | Root | Headache, rheumatism, anodyne, kidney disease, perfume | South Africa Botswana Namibia Lesotho |
| Lycium dasystemum Pojark. | Lyciumdasystemum var. rubricaulium | Fruit | - | China Iran |
| Lycium depressum Stocks | Lyciumturcomanicum Fisch. & C.A. Mey. ex Ledeb. Lycium turcomanicum Turcz. ex Miers | Leaf, fruit | Kidney problems | Iran Russia Israel Turkmenistan Iraq Palestinian Territory Afghanistan Turkey Pakistan Jordan |
| Lycium elongatum Miers | Lyciumconfertum Miers | Leaf | Digestive | Argentina |
| Lycium europaeum L. | - | Fruit, leaf, bark, whole plant | A variety of treatments | Spain France Israel Palestinian Territory Algeria Portugal India Tunisia Egypt |
| Lycium ferocissimum Miers | Lyciumcampanulatum E. Mey. ex C.H. Wright, Lycium campanulatum E. Mey. ex C. H. Wr., Lycium macrocalyx Dammer | - | Detoxication of narcotic poisoning | Australia South Africa New Zealand Morocco Namibia US Lesotho Spain Norfolk Island Tunisia |
| Lycium intricatum Boiss. | - | Seed, fruit | Helminthiasis, digestive, eye diseases | Spain, Morocco Portugal Mauritania Algeria Egypt Saudi Arabia Tunisia Tunisia Italy |
| Lycium pallidum Miers | Lyciumpallidum var. pallidum | Plant, root | Toothache, chickenpox | US, Mexico |
| Lyciumruthenicum Murray | Lyciumfoliosum Stocks, Lycium tataricum Pall. | Fruit, leaf | Ophthalmic, blindness (veterinary), removal of blocked urine, diuretic | China Iran Afghanistan India Mexico Pakistan Russian Turkmenistan Georgia |
| Lycium schweinfurthii Dammer | - | Leaf, fruit | Stomach ulcers | Spain Israel Morocco Greece Portugal Algeria Egypt Tunisia Mauritania Cyprus |
| Lycium shawii Roem. & Schult. | Lycium albiflorum Phil., Lycium arabicum Schweinf. ex Boiss. | Leaf, fruit, aerial part, stem | A variety of treatments | Israel Palestinian Territory Saudi Arabia Ethiopia Oman Egypt Jordan South Africa, Botswana Yemen |
| Lycium torreyi A. Gray | Lyciumtorreyi var. filiforme M.E. Jones | Whole plant, root | Chickenpox, toothache | US Mexico |
| Lycium truncatum Y.C. Wang | - | Root bark | Digupi | China |
| Methods | Advantages | Disadvantages |
|---|---|---|
| HPGPC | Fast, high-resolution, and reproducible | Not suitable for separation of small molecules |
| HPSEC | High column efficiency and high resolution | Small sample load and poor repeatability |
| HPLC | Fast, high-resolution, and high-sensitivity | extra-column effect |
| GC | High separation efficiency, fast analysis speed, and wide application range | Difficult to analyze inorganic substances; easily decomposed high-boiling organic substances cannot directly provide qualitative analysis results |
| GC-MS | Sample must not contain water | Highly polar, poor volatility, thermally unstable compounds cannot be analyzed |
| IR | Wide range of applications, not limited by the physical state of the sample, does not destroy the sample | Not suitable for analysis of aqueous samples, high error rate in quantitative analysis, and low sensitivity |
| ESI-MS | High selectivity, high sensitivity | High cost |
| NMR | Provides the skeleton of the compound structure | Low sensitivity |
Publisher’s Note: MDPI stays neutral with regard to jurisdictional claims in published maps and institutional affiliations. |
© 2022 by the authors. Licensee MDPI, Basel, Switzerland. This article is an open access article distributed under the terms and conditions of the Creative Commons Attribution (CC BY) license (https://creativecommons.org/licenses/by/4.0/).
Share and Cite
Wang, B.; Han, L.; Liu, J.-M.; Zhang, J.; Wang, W.; Li, B.-G.; Dong, C.-X.; Bai, C.-C. Lycium Genus Polysaccharide: An Overview of its Extraction, Structures, Pharmacological Activities and Biological Applications. Separations 2022, 9, 197. https://doi.org/10.3390/separations9080197
Wang B, Han L, Liu J-M, Zhang J, Wang W, Li B-G, Dong C-X, Bai C-C. Lycium Genus Polysaccharide: An Overview of its Extraction, Structures, Pharmacological Activities and Biological Applications. Separations. 2022; 9(8):197. https://doi.org/10.3390/separations9080197
Chicago/Turabian StyleWang, Bo, Lu Han, Jun-Mei Liu, Jin Zhang, Wen Wang, Bing-Ge Li, Cai-Xia Dong, and Chang-Cai Bai. 2022. "Lycium Genus Polysaccharide: An Overview of its Extraction, Structures, Pharmacological Activities and Biological Applications" Separations 9, no. 8: 197. https://doi.org/10.3390/separations9080197
APA StyleWang, B., Han, L., Liu, J.-M., Zhang, J., Wang, W., Li, B.-G., Dong, C.-X., & Bai, C.-C. (2022). Lycium Genus Polysaccharide: An Overview of its Extraction, Structures, Pharmacological Activities and Biological Applications. Separations, 9(8), 197. https://doi.org/10.3390/separations9080197

