Fog Droplet Collection by Corona Discharge in a Needle–Cylinder Electrostatic Precipitator with a Water Cooling System
Abstract
:1. Introduction
2. Experimental System and Methods
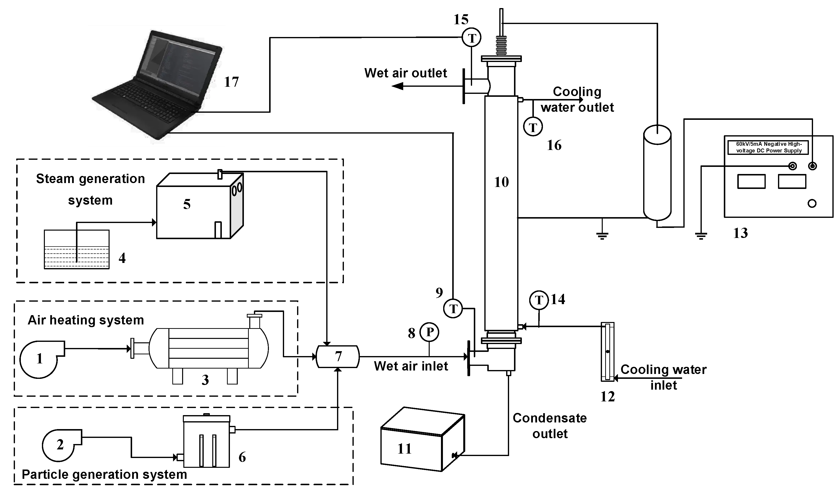
2.1. The Experiment Platform
2.2. Experimental Methods
3. Results and Discussion
3.1. The Discharge Characteristics of the Needle–Cylinder Electrostatic Precipitator in Wet Air
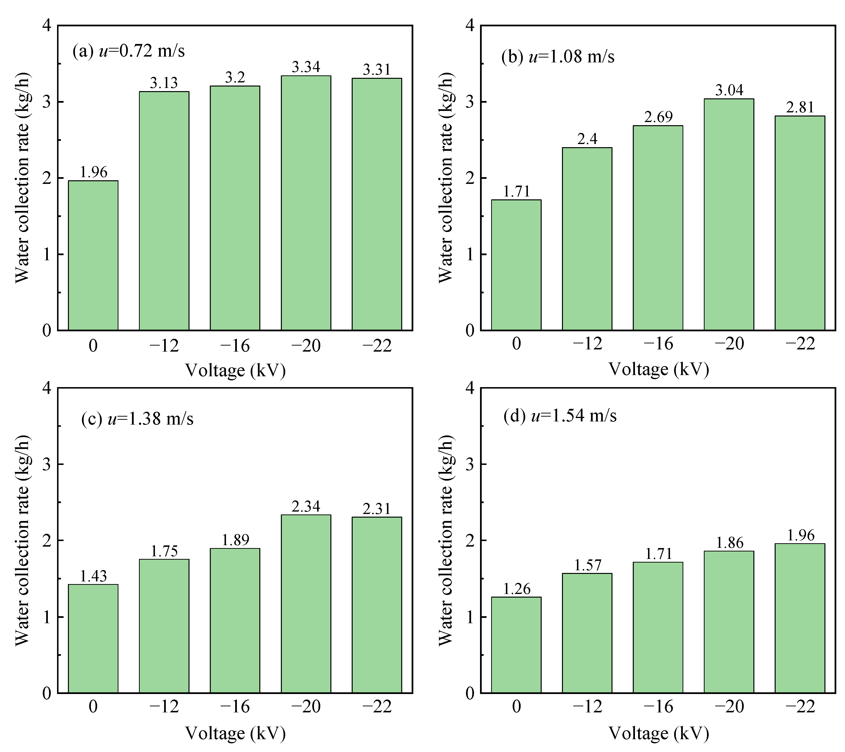
3.2. The Effect of Gas Flow Velocity on Fog Water Collection
3.3. The Effect of Temperature on Fog Water Collection
3.4. The Effect of Fine Particles on Fog Water Collection
3.5. Energy Efficiency Analysis
4. Conclusions
- (1)
- The current decreased with the increase of air relative humidity under the same voltage, and the breakdown voltage increased obviously; therefore, the relative humidity should be taken into consideration in practice. With the increase of discharge voltage, the water collection rate increased gradually, and the lower the flow velocity was, the more obvious the effect on the water collection by the electric field became. When the voltage was −20 kV and the flow rate was 0.72 m/s, the maximum water collection rate reached 3.34 kg/h, which was 1.7 times that without the electric field. When the inlet temperature decreased, the energy efficiency was improved. As the voltage increases, the inlet temperature also increases, and the cooling effect caused by the ionic wind is more obvious, but the energy efficiency decreases rapidly. When the flow rate was 0.72 m/s and the discharge voltage was −12 kV, the inlet temperature decreased from 80 °C to 70 °C, the water collection rate increased from 2.78 kg/h to 3.13 kg/h and the energy efficiency increased from 565 kg/kWh to 659 kg/kWh; under different voltages, the existence of particles can improve the water collection rate. When the voltage changed from −12 to −20 kV, the water collection rate increased by 5–8%, but when the voltage was −22 kV, the water collection rate increased by about 3%.
- (2)
- Based on energy efficiency analysis, with the increase of voltage, although the water collection rate increased, the energy efficiency decreased. Therefore, the water collection technology by corona discharge needs to comprehensively consider the input (energy consumption), output (water collection benefit) and environmental protection in practical application. When considering economic benefits, the benefits gradually decreased with the increase of voltage. However, from the perspective of environmental protection, the higher the voltage is, the better the water collection effect by corona discharge on wet flue gas becomes, which will reduce the impact of wet plume emissions on the environment.
- (3)
- The above shows that there is an optimization framework needed to determine the optimum condition for the technology to operate and that is the work we will do next. Moreover, due to various factors such as personal time, conditions and technology, there are still some shortcomings which need further research and discussion. The work in this paper was carried out under laboratory conditions, and subsequent scale-up experiments can be carried out to explore the effects on the water collection by corona discharge in a high-flow and high-humidity environment.
Author Contributions
Funding
Institutional Review Board Statement
Informed Consent Statement
Data Availability Statement
Conflicts of Interest
References
- Shuangchen, M.; Jin, C.; Kunling, J.; Lan, M.; Sijie, Z.; Kai, W. Environmental influence and countermeasures for high humidity flue gas discharging from power plants. Renew. Sustain. Energy Rev. 2017, 73, 225–235. [Google Scholar] [CrossRef]
- Zhang, Y.; Wang, J. Numerical simulation study on the influence of power plant flue gas factors on the formation of white wet plume of flue gas. IOP Conf. Ser. Earth Environ. Sci. 2020, 615, 012076. [Google Scholar] [CrossRef]
- Tyagi, S.K.; Pandey, A.K.; Pant, P.C.; Tyagi, V.V. Formation, potential and abatement of plume from wet cooling towers: A review. Renew. Sustain. Energy Rev. 2012, 16, 3409–3429. [Google Scholar] [CrossRef]
- Feng, Y.; Li, Y.; Cui, L.; Yan, L.; Zhao, C.; Dong, Y. Cold condensing scrubbing method for fine particle reduction from saturated flue gas. Energy 2019, 171, 1193–1205. [Google Scholar] [CrossRef]
- Wang, E.; Li, K.; Husnain, N.; Li, D.; Mao, J.; Wu, W.; Yang, T. Experimental study on flue gas condensate capture and heat transfer in staggered tube bundle heat exchangers. Appl. Therm. Eng. 2018, 141, 819–827. [Google Scholar] [CrossRef]
- Qu, M.; Abdelaziz, O.; Gao, Z.; Yin, H. Isothermal membrane-based air dehumidification: A comprehensive review. Sustain. Energy Rev. 2018, 82, 4060–4069. [Google Scholar] [CrossRef]
- Bai, H.; Zhu, J.; Chu, J.; Chen, X.; Cui, Y.; Yan, Y. Influences of the mixed LiCl-CaCl2 liquid desiccant solution on a membrane-based dehumidification system: Parametric analysis and mixing ratio selection. Energy Build. 2019, 183, 592–606. [Google Scholar] [CrossRef]
- Klemm, O.; Schemenauer, R.S.; Lummerich, A.; Cereceda, P.; Marzol, V.; Corell, D.; Van Heerden, J.; Reinhard, D.; Gherezghiher, T.; Olivier, J.; et al. Fog as a Fresh-Water Resource: Overview and Perspectives. Ambio 2012, 41, 221–234. [Google Scholar] [CrossRef] [Green Version]
- Montecinos, S.; Carvajal, D.; Cereceda, P.; Concha, M. Collection efficiency of fog events. Atmos. Res. 2018, 209, 163–169. [Google Scholar] [CrossRef]
- Park, K.C.; Chhatre, S.S.; Srinivasan, S.; Cohen, R.E.; McKinley, G.H. Optimal design of permeable fiber network structures for fog harvesting. Langmuir 2013, 29, 13269–13277. [Google Scholar] [CrossRef]
- Pontious, K.; Weidner, B.; Guerin, N.; Dates, A.; Pierrakos, O.; Altaii, K. Design of an atmospheric water generator: Harvesting water out of thin air. In Proceedings of the 2016 IEEE Systems and Information Engineering Design Symposium (SIEDS), Charlottesville, VA, USA, 29 April 2016. [Google Scholar] [CrossRef]
- Johnson, M.J.; Go, D.B. Recent advances in electrohydrodynamic pumps operated by ionic winds: A review. Plasma Sources Sci. Technol. 2017, 26, 103002. [Google Scholar] [CrossRef]
- Qu, J.; Zhang, D.; Zhang, J.; Tao, W. LED chip cooling system using ionic wind induced by multi-wire corona discharge. Appl. Therm. Eng. 2021, 193, 116946. [Google Scholar] [CrossRef]
- Zhang, Y.; Liu, L.; Chen, Y.; Ouyang, J. Characteristics of ionic wind in needle-to-ring corona discharge. J. Electrost. 2015, 74, 15–20. [Google Scholar] [CrossRef]
- Iranshahi, K.; Martynenko, A.; Defraeye, T. Cutting-down the energy consumption of electrohydrodynamic drying by optimizing mesh collector electrode. Energy 2020, 208, 118168. [Google Scholar] [CrossRef]
- Nelson, D.A.; Zia, S.; Whipple, R.L.; Ohadi, M.M. Corona Discharge Effects on Heat Transfer and Pressure Drop in Tube Flows. J. Enhanc. Heat Transf. 2000, 7, 81–95. [Google Scholar] [CrossRef]
- Wangnipparnto, S.; Tiansuwan, J.; Kiatsiriroat, T.; Wang, C.C. Performance analysis of thermosyphon heat exchanger under electric field. Energy Convers. Manag. 2003, 44, 1163–1175. [Google Scholar] [CrossRef]
- Owsenek, B.L.; Seyed-Yagoobi, J.; Page, R.H. Experimental Investigation of Corona Wind Heat Transfer Enhancement with a Heated Horizontal Flat Plate. J. Heat Transf. 1995, 117, 309–315. [Google Scholar] [CrossRef]
- Ohadi, M.M.; Nelson, D.A.; Zia, S. Heat transfer enhancement of laminar and turbulent pipe flow via corona discharge. Int. J. Heat Mass Transf. 1991, 34, 1175–1187. [Google Scholar] [CrossRef]
- Shin, D.H.; Kim, S.; Ko, H.S.; Shin, Y. Performance enhancement of heat recovery from engine exhaust gas using corona wind. Energy Convers. Manag. 2018, 173, 210–218. [Google Scholar] [CrossRef]
- Wang, J.; Fu, R.; Hu, X. Experimental study on EHD heat transfer enhancement with a wire electrode between two divergent fins. Appl. Therm. Eng. 2019, 148, 457–465. [Google Scholar] [CrossRef]
- Qu, J.; Zeng, M.; Zhang, D.; Yang, D.; Wu, X.; Ren, Q.; Zhang, J.F. A review on recent advances and challenges of ionic wind produced by corona discharges with practical applications. J. Phys. D: Appl. Phys. 2021, 55, 153002. [Google Scholar] [CrossRef]
- Shin, D.H.; Jang, D.K.; Sohn, D.K.; Ko, H.S. Control of boundary layer by ionic wind for heat transfer. Int. J. Heat Mass Transf. 2019, 131, 189–195. [Google Scholar] [CrossRef]
- Uchiyama, H.; Jyumonji, M. Development of an Electrostatic Fogliquefier and Its Field Experiments. Jpn. J. Appl. Phys. 1989, 28, 2319–2320. [Google Scholar] [CrossRef]
- Damak, M.; Varanasi Kripa, K. Electrostatically driven fog collection using space charge injection. Sci. Adv. 2018, 4, eaao5323. [Google Scholar] [CrossRef] [Green Version]
- Cruzat, D.; Jerez-Hanckes, C. Electrostatic fog water collection. J. Electrost. 2018, 96, 128–133. [Google Scholar] [CrossRef]
- Yan, X.; Jiang, Y. Numerical evaluation of thefog collection potential of electrostatically enhanced fog collector. Atmos. Res. 2021, 248, 105251. [Google Scholar] [CrossRef]
- Zhang, H.; Huang, G.; Gong, C.; Yang, Y.; Pan, Y. Corona Discharge-Induced Water Droplet Growth in Air. IEEE Trans. Plasma Sci. 2020, 48, 2437–2441. [Google Scholar] [CrossRef]
- Nouri, H.; Zouzou, N.; Moreau, E.; Dascalescu, L.; Zebboudj, Y. Effect of relative humidity on current–voltage characteristics of an electrostatic precipitator. J. Electrost. 2012, 70, 20–24. [Google Scholar] [CrossRef]
- Wang, X.; You, C. Effect of humidity on negative corona discharge of electrostatic precipitators. IEEE Trans. Dielectr. Electr. Insul. 2013, 20, 1720–1726. [Google Scholar] [CrossRef]
- Tan, Z. Air Pollution and Greenhouse Gases: From Basic Concepts to Engineering Applications for Air Emission Control; Springer: Singapore, 2014. [Google Scholar]
- Leu, J.-S.; Jang, J.-Y.; Wu, Y.-H. Optimization of the wire electrode height and pitch for 3-D electrohydrodynamic enhanced water evaporation. Int. J. Heat Mass Transf. 2018, 118, 976–988. [Google Scholar] [CrossRef]
- Ning, Z.; Cheng, L.; Shen, X.; Li, S.; Yan, K. Electrode configurations inside an electrostatic precipitator and their impact on collection efficiency and flow pattern. Eur. Phys. J. D 2016, 70, 126. [Google Scholar] [CrossRef]
- Cao, R.; Tan, H.; Xiong, Y.; Mikulčić, H.; Vujanović, M.; Wang, X.; Duić, N. Improving the removal of particles and trace elements from coal-fired power plants by combining a wet phase transition agglomerator with wet electrostatic precipitator. J. Clean. Prod. 2017, 161, 1459–1465. [Google Scholar] [CrossRef]
- Pan, X.; Zhang, Z.; Cui, L.; Zhang, Q.; Ma, C. Influence of heat exchange on the motion characteristics and mechanical behavior of fine particles in an electrostatic precipitator. Powder Technol. 2020, 373, 347–356. [Google Scholar] [CrossRef]













| Inner Diameter (mm) | Outside Diameter (mm) | Wall Thickness (mm) | Length (mm) | |
|---|---|---|---|---|
| Tube side | 104 | 108 | 2 | 1100 |
| Shell side | 129 | 133 | 2 | 950 |
| Voltage (kV) | −12 | −16 | −20 |
| Energy efficiency (kg/kWh) | 659 | 225 | 108 |
| Unit price of industrial water (CNY/t) | 4.10 | ||
| Income of collected water (CNY/kWh) | 2.70 | 0.92 | 0.44 |
| Electrovalence (CNY/kWh) | 0.50 | ||
| Net gain (CNY/kWh) | 2.20 | 0.42 | −0.06 |
Publisher’s Note: MDPI stays neutral with regard to jurisdictional claims in published maps and institutional affiliations. |
© 2022 by the authors. Licensee MDPI, Basel, Switzerland. This article is an open access article distributed under the terms and conditions of the Creative Commons Attribution (CC BY) license (https://creativecommons.org/licenses/by/4.0/).
Share and Cite
Fu, H.; Xu, W.; Liu, Z.; Yan, K. Fog Droplet Collection by Corona Discharge in a Needle–Cylinder Electrostatic Precipitator with a Water Cooling System. Separations 2022, 9, 169. https://doi.org/10.3390/separations9070169
Fu H, Xu W, Liu Z, Yan K. Fog Droplet Collection by Corona Discharge in a Needle–Cylinder Electrostatic Precipitator with a Water Cooling System. Separations. 2022; 9(7):169. https://doi.org/10.3390/separations9070169
Chicago/Turabian StyleFu, Hui, Wenyi Xu, Zhen Liu, and Keping Yan. 2022. "Fog Droplet Collection by Corona Discharge in a Needle–Cylinder Electrostatic Precipitator with a Water Cooling System" Separations 9, no. 7: 169. https://doi.org/10.3390/separations9070169
APA StyleFu, H., Xu, W., Liu, Z., & Yan, K. (2022). Fog Droplet Collection by Corona Discharge in a Needle–Cylinder Electrostatic Precipitator with a Water Cooling System. Separations, 9(7), 169. https://doi.org/10.3390/separations9070169

