Abstract
Humic acids (HAs) and fulvic acids (FAs) are naturally occurring compounds that influence the fate and transportation of various compounds in the soil. Although HAs and FAs have multiple uses, the reports about their sorbent potential for environmental pollutants are scanty and sparse. In this study, HA and FA, isolated from lignite samples from two mines in Greece, were studied as sorbent materials for three active compounds of plant protection products, namely glyphosate (herbicide), cypermethrin (pyrethroid insecticide), and azoxystrobin (fungicide). According to the results, both HA and FA are promising sorbent materials for these active compounds, with HA achieving better sorption for cypermethrin and azoxystrobin, while FA was found to be more efficient for glyphosate. Moreover, their performance was not compromised by other components commonly found in commercially available herbicides/insecticides/fungicides. In addition, no significant leaching of the sorbed compounds was recorded. Finally, the two materials achieved similar sorption efficiency of the compounds from lake water.
Keywords:
humic acids; fulvic acids; lignite; binding ability; sorption; herbicides; pesticides; insecticides; fungicides 1. Introduction
Water is vital for the sustenance of life. It has multiple uses, including drinking and cooking, farming, industry, agriculture, etc. Among the various uses, around 70% of water is used for irrigation purposes [1]. In order to sustain the increasing population of earth and cover the need for food, various compounds such as fertilizers, herbicides, fungicides, and insecticides are extensively being used in agriculture to either increase the yield of crops, or to fight weeds, diseases, and pests, and, as such, to protect plants. Around 200,000 metric tons of herbicides are being used annually to assist the production of crops, followed by ~100,000 tons of insecticides and ~20,000 tons of fungicides [2]. Despite their benefits, the abovementioned compounds are like a double-edged sword. A certain amount of these compounds can be washed off during irrigation or rain and be transferred into underground water bodies, where they can have detrimental consequences. Studies have found that exposure to such compounds is linked with high toxicity and mortality rates, obesity, endocrine disruption, reproductive disorders, and various types of cancer [3,4]. Owing to this, leaching of the compounds in the environment is a well-known problem, discussed by many scientists for decades [5,6].
To address the issue, much effort has been exerted to remove the compounds from the environment, including physical methods (e.g., membrane technology and sorption), chemical methods (e.g., electrochemical remediation and advanced oxidation technologies), and biological methods [7]. Among the physical methods, sorption is much simpler and does not have the limitations accompanied by the use of membranes (e.g., fouling, size of membranes, etc.). To date, many sorbent materials have been developed to be used in remediation processes. Activated carbon is one such material with very good sorption properties. However, its high manufacturing costs are making it difficult for commercial production [7,8]. Nanomaterials are also widely exploited, including carbon-based nanomaterials, metallic nanomaterials, etc. [9,10,11,12]. However, issues also arise concerning their toxicity [13]. As a result, natural materials such as lignin, hemicellulose and cellulose, clays, and zeolites are also exploited [7]. One parameter that affects the efficiency of the sorbents is the presence of organic matter in the samples. Organic matter consists mainly of HAs and FAs. These compounds can interfere with the sorption of herbicides/insecticides/fungicides (H/I/F) and promote their desorption from the sorbent material [14,15].
Due to their ubiquitous presence in the environment, HAs and FAs inevitably interact with H/I/F, affecting the efficiency of the latter and their transportation in the environment [16,17]. Owing to their multiple surface groups and the interspaces between them, HA and FA have great potential to be used in sorption processes. For instance, in a previous study, it was showcased that HA and FA can bind benzo(a)pyrene and pentachlorophenol, with HA being able to adsorb more hydrophobic compounds, compared to FA [18]. Similarly, HA was also found to be able to adsorb tylosin and sulfamethazine [19]. Recently, HA and FA were successfully used to reduce formulated herbicides (imazamox and a mixture of thifensulfuron methyl-tribenuron methyl) contaminating drinking water [20].
Since the removal of H/I/F still remains a hot topic for research, the need to develop new sorbent materials, either with advanced characteristics or derived from natural sources, is high. In this study, we examined whether HAs and FAs are potent sorbent materials for the removal of H/I/F from water. With this aim, one representative compound of herbicide, and one each of insecticide and fungicide classes (namely glyphosate, cypermethrin, and azoxystrobin, respectively) (Figure 1), were used as water contaminants. Their sorption by HAs and FAs was studied. Although to date various sorbent materials have been developed for the selected compounds, HAs and FAs are under-researched and may hold great promise for other applications, too. To resemble the real-world conditions, instead of using pure chemical compounds, commercially available plant protection products were used. This decision was made in order to obtain a better overview of the performance of HAs and FAs when other ingredients (deriving from the commercial products) were present. The novelty of this study lies firstly with the use of commercial products and not pure chemical compounds. Moreover, instead of synthesized complex materials (functionalized with various chemical groups in many laborious steps), the described sorbent materials can easily be isolated from natural sources, significantly lowering the overall cost. Moreover, this study can be used as a benchmark to assess interactions between HA/FA and the selected H/I/F, in order to examine the fate of the compounds in the environment.
Figure 1.
Chemical structures of azoxystrobin, cypermethrin, and glyphosate.
2. Materials and Methods
2.1. Chemicals and Reagents
Sodium hydroxide and hydrochloric acid (37% w/w) were purchased from Panreac (Barcelona, Spain). Acetonitrile and acetic acid were purchased from Merck (Darmstadt, Germany). Three plant protection products were chosen, namely, Fuego 36 SL (herbicide), Fasthrin 10 EC (insecticide), and Epathlon 25 SC (fungicide), all products of Agrotechnica general industrial partnership (Thessaloniki, Greece). Concerning the active compounds, Fuego 36 SL contained glyphosate (36% w/v), Fasthrin 10 EC contained alpha-cypermethrin (10% w/v), and Epathlon 25 SC contained azoxystrobin (25% w/v). Solutions were prepared according to the label instructions. Lignite used in the current study was obtained from two lignite mines in the Kozani area (Western Macedonia, Greece), South Field (SF) and Mavropigi (MP). Lake water was collected from Plastiras Lake near Karditsa City, Greece. The water was filtered with a paper filter and used directly.
2.2. Instrumentation
Chromatographic separations were carried out with a Shimadzu CBM-20A liquid chromatograph (Shimadzu Europa GmbH, Duisburg, Germany), equipped with a SIL-20AC autosampler and coupled to a diode array detector (Shimadzu SPD-M20A). A Phenomenex Luna C18 column (5 µm, 4.6 × 250 mm) (Phenomenex Inc., Torrance, CA, USA) was used in this study. Separations were carried out at a constant temperature (40 °C). The mobile phase consisted of (A) water and (B) acetonitrile, both containing 0.5% v/v formic acid. Gradient elution was employed by changing the concentration of B from 5% to 95% in 40 min. Spectra were recorded between 220 and 360 nm. Identification of the compounds (glyphosate, alpha-cypermethrin, and azoxystrobin) was carried out by comparing the retention time and the UV spectra with that of standard compounds.
The FT-IR (Fourier transform infrared) spectra were obtained with a Shimadzu FT-IR Prestige21 spectrophotometer (Shimadzu Corporation, Kyoto, Japan), equipped with a bright ceramic light source, potassium bromide (KBr) beam splitter, high-sensitivity DLATGS (Deuterated triglycine sulphate doped with L-alanine) detector, and high-energy throughput optical elements. A total of 64 scans were recorded with a resolution of 4 cm−1 ranging from of 4000 to 400 cm−1 for each sample. Using a hydraulic press, 400 mg of KBr and 1 mg of HA/FA sample powder were mixed gently to produce KBr pellets.
2.3. Proximate Composition of the Examined Lignites
Lignites were examined for their physicochemical parameters according to our previous study [20]. In brief, humidity was calculated by the difference in the weight of a pulverized lignite sample before and after heating at 105 °C for 6 h under nitrogen. Volatile matter was determined after heating at 750 °C under nitrogen. Ash was determined after heating at 750 °C using air. Fixed carbon was calculated after subtracting the volatiles and ash percentages from the dried samples.
2.4. HA and FA Isolation
Isolation of HA and FA was carried out as described in our previous study [20]. In a beaker, lignite (150 g) was mixed with double distilled water (850 g), and sodium hydroxide (0.5 M) was added so that the pH of the mixture was adjusted to 9. The mixture was left to stand for 24 h and then it was centrifuged (4000 rpm for 10 min). Next, the pH of the solution was adjusted to 1, using concentrated hydrochloric acid, and the mixture was centrifuged again. The precipitate (HA) and supernatant (FA) were collected, freeze-dried, and stored in amber glass vials.
2.5. Removal of Organic Compounds
In order to study the removal of H/I/F, aqueous solutions containing 50 ppm of each of the active substances were prepared (the concentration of the active compounds was validated with HPLC). For the removal of the organic compounds, HAs or FAs (600, 1000, or 2000 ppm) were added to 50 mL of deionized water containing one of the H/I/F. The mixtures were vortexed for 1 min and then placed on an orbital shaker (100 rpm) for 30 min. Next, samples were centrifuged (10,000 rpm for 5 min), filtered with 0.45 μm syringe filters, and injected into the HPLC system. All experiments were repeated five times and sorption efficiency is expressed as the average of five replicate analyses. The amount of each compound sorbed by HA or FA was calculated from the difference between the area of the peak in the initial solution and the area of the peak in the final solution.
2.6. Statistical Analysis
The normality of the data was examined using the Shapiro–Wilk test. Since data were not found to be normally distributed, statistically significant differences (for p < 0.05) were examined with the Kruskal–Wallis test. All statistical tests were examined using IBM SPSS Statistics (ver. 26) (SPSS Inc., Chicago, IL, USA).
3. Results and Discussion
3.1. Proximate Composition of the Used Lignites
According to the results, the % moisture contents of SF and MP lignite was found to be 32.3 ± 0.6% and 33.1 ± 0.7%, respectively. The % volatile matter was found to be 53 ± 1% and 52 ± 1% for SF and MP lignite, respectively. Similarly, the ash content of the lignites was found to be 15 ± 1% (SF) and 17± 1% (SM). Finally, the % fixed carbon was calculated to be 32% for SF lignite and 31% for MP lignite. The results are in accordance with previous studies [21,22].
3.2. Characterization of the Sorbents
FT-IR spectra of the isolated HA and FA were recorded. Spectra along with the hypothetical model structures (proposed by Wang et al. [23]) of HA and FA are given in Figure 2. In the spectra, wide absorption peaks at around 3420 cm−1 were recorded which can be attributed to the stretching vibrations of –OH in –COOH [24]. The strong peaks at 1610–1630 cm−1 are due to the C=C stretching vibrations in the benzene ring [24]. The peak at 1710 cm−1 is ascribed to carboxyl and ketonic carbonyl stretching [25], while the peaks at 1130–1190 cm−1 and 1150 cm−1 are due to C–O stretching of polysaccharide-like moieties and C–O stretching of various alcoholic and ether groups, respectively [26]. Given the similarity of the obtained spectra with those of previous studies, and the fact that a previously described method was employed for the isolation of HA and FA, the notion that the isolated compounds are HA and FA is strengthened.
Figure 2.
FT-IR spectra of HA (upper spectrum) and FA (lower spectrum) along with the hypothetical model structures proposed by Wang et al. [23].
3.3. Sorption Study
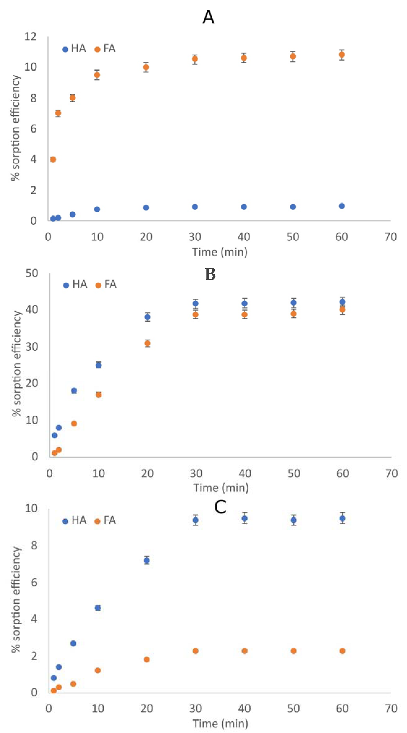
To evaluate the sorption performance of HA and FA extracted from lignite and originating from two different sites, three representative plant protection compounds were chosen. These active compounds are present in many commercially available products (herbicides, insecticides, and fungicides), and as such are commonly employed in agriculture. Parameters that are often examined in sorption studies, such as sample pH and ionic strength, were not examined, since it would be unrealistic for the scale up of the procedure. In addition, commercially available products were used, instead of pure chemicals, so as to have a matrix that consists of all the compounds present in the commercially available products. In all cases, the equilibrium time was examined (Figure 3) and it was found that 30 min was adequate to achieve results with less than 5% variation. Longer sorption times did not result in better sorption, while lower sorption times were inadequate to achieve maximum efficiency. As such, 30 min was used as the optimum sorption time to compromise between sorption efficiency and short duration of the process.
Figure 3.
Kinetic study of the sorption of glyphosate (A), cypermethrin (B), and azoxystrobin (C) using HA and FA.
3.3.1. Glyphosate Sorption
Undoubtedly, herbicides have promoted the development of agriculture. They can interact in multiple ways with organisms, such as incorporation in the DNA, affecting cell division, etc. [27]. Among others, glyphosate is one of the most efficient herbicides. Some claim that exposure to glyphosate below regulatory permissible levels is safe, while others oppose this [28]. Although more studies are probably needed to be conclusive, chronic exposure will certainly lead to unwanted health issues. Thus, its removal from the environment is necessary.
The sorption efficiency of glyphosate by HA or FA is presented in Figure 4. As can be seen, a dose-dependent increase in sorption efficiency was recorded for all examined sorbents. Also, no differences were recorded between the two different HAs and FAs examined. Between HA and FA, the latter was more efficient, achieving almost 35% sorption efficiency (using 2000 ppm), compared to about 15% of HA. The maximum sorption capacity of the materials was found to be 23–24 mg/g for HAs and 85–87 mg/g for FAs, suggesting that the latter have a higher capacity for glyphosate, compared to the former. The sorption capacities achieved by the proposed sorbents are similar or better than previous studies. For instance, woody biochar has a sorption capacity of 44 mg/g [29], biochar supported nano-zerovalent-iron had a capacity of 45.8 mg/g [30], and dewatered alum sludge had a capacity of 85.9 mg/g [31].
Figure 4.
% Sorption efficiency of glyphosate using humic acid (HA) or fulvic acid (FA) extracted from different concentrations of lignite from South Field (SF) or Mavropigi (MP) mines; bars represent the average sorption efficiency of five replicate analyses; statistically significant differences (p < 0.05) are depicted with small and capital letters.
3.3.2. Cypermethrin Sorption
Cypermethrin is one of the most hazardous synthetic pyrethroids. It has catastrophic effects on aquatic organisms and due to the mechanisms via which toxicity is induced, no known antidote exists to date [32]. Although cypermethrin levels in soil and surface waters are relatively low, the fact that it is not easily transported to deeper levels may increase in time its concentration in surface waters, resulting in increased toxicity [33].
As can be seen in Figure 5, both HA and FA can achieve high sorption of cypermethrin. More specifically, at the highest tested concentration, HA can achieve 100% sorption, while FA can achieve nearly 75%. The maximum sorption capacities of the two materials were found to be 157–160 mg/g for HAs and 121–122 mg/g for FAs, suggesting that the former have a higher capacity for cypermethrin compared to the latter. The sorption capacity of the proposed sorbents was superior compared to previous studies. For instance, the sorption capacity of soil was found to be 9 mg/g [34], cork had a capacity of 303 μg/g [35], and Fucus spiralis marine algae had a sorption capacity of 63.36 μg/g [36]. Based on these results, the superiority of HA and FA is highlighted.
Figure 5.
% Sorption efficiency of cypermethrin using humic acid (HA) or fulvic acid (FA) extracted from different concentrations of lignite from South Field (SF) or Mavropigi (MP) mines; bars represent the average sorption efficiency of five replicate analyses; statistically significant differences (p < 0.05) are depicted with small and capital letters.
3.3.3. Azoxystrobin Sorption
Fungicides play an important role in agriculture. Azoxystrobin, one of the most commonly used fungicides, has several functional groups, and it is proven to participate in complex metabolic pathways resulting in the formation of many metabolites. Azoxystrobin can be transferred to water bodies via leaching processes. It is also known that residues of azoxystrobin can remain in the water, soil, or air for a long time, rendering it a persistent environmental pollutant [37].
Results for the sorption efficiency of azoxystrobin by HA and FA are presented in Figure 6. Νo differences were recorded between the different HA and FA species. However, the performance of the two materials (HA or FA) was different. HA achieves a better sorption (up to 40% when 2000 ppm were used), whereas FA achieved nearly 10%. Maximum sorption capacities were found to be 92–93 mg/g for HAs and 21–22 mg/g for FAs, suggesting that the former have a higher capacity for cypermethrin, compared to the latter. In previous studies, it was found that polystyrene and polyethylene microplastics had a sorption capacity of 0.021 and 0.017 mg/g for azoxystrobin [38], while a magnetite-activated charcoal composite material had a capacity of 3.28 mg/g [39].
Figure 6.
% Sorption efficiency of azoxystrobin using humic acid (HA) or fulvic acid (FA) extracted from different concentrations of lignite from South Field (SF) or Mavropigi (MP) mines; bars represent the average sorption efficiency of five replicate analyses; statistically significant differences (p < 0.05) are depicted with small and capital letters.
3.3.4. Leaching Study
The HA and FA performances as sorbent materials were not only examined in terms of sorption efficiency, but also for their ability to leach the sorbed amount of each examined compound [40]. To this end, after the end of the sorption process, 40 mL of the tested solution was discarded and 40 mL of water was added. The concentration of the examined compounds was measured every 1 h for 4 h. From all tested conditions (a total of 36 conditions), a minor leaching (5–10% of the sorbed amount) of azoxystrobin was recorded in the case of FAs (both SF and MP) after 1 h and reached up to 25% after 3 h. No further leaching was observed after 4 h total. The results suggest that azoxystrobin sorbed by FA can leach back to the new solution over time. However, no leaching was recorded for HA for azoxystrobin, suggesting that the sorption is more efficient. Moreover, no leaching was observed in the cases of glyphosate and cypermethrin, highlighting the potential of the materials to be used as sorbents.
3.3.5. Sorption from Lake Water
Environmental samples are complex matrices, comprised of many different components. As such, the sorption efficiency of compounds from real samples may be compromised, owing to the components of the samples. In order to examine whether the two materials can be used for real life samples, their efficiency to extract the compounds from spiked (50 ppm) lake water was examined. To this end, 2000 ppm of FA was used for the sorption of glyphosate and 2000 ppm of HA for the sorption of cypermethrin and azoxystrobin. As can be seen in Figure 7, a minor decrease (3–5%) in the sorption efficiency was recorded in each case. However, no statistically significant differences (p < 0.05) were recorded for the sorption efficiencies between deionized water and lake water.
Figure 7.
% Sorption efficiency of the glyphosate (using 2000 ppm FA), cypermethrin (using 2000 ppm HA), and azoxystrobin (using 2000 ppm HA) from deionized and lake water; bars represent the average sorption efficiency of five replicate analyses. Statistically significant differences (p < 0.05) are depicted with small letters.
In real life environmental samples, the concentration of the compounds is expected to be lower. Therefore, we also examined the sorption efficiency of the materials by spiking lake water with 1 ppm of each compound. In all cases, the compounds were totally extracted from the two materials, suggesting excellent efficiency. The above corroborate that the two materials can be used for the sorption of the compounds from lake water samples.
3.4. Tentative Sorption Mechanisms
Organic compounds can be retained on sorbent materials via various mechanisms. The most common mechanisms are π-π interactions, hydrogen bonds, and hydrophobic interactions. Moreover, additional types of interactions may also arise, such as polar hydrogen-π interactions (Hp-π) or halogen-π interactions [41]. Although to unveil the full mechanism of interaction a thorough study is needed, tentative interactions that may arise between the sorbents and the examined compounds are discussed (Figure 8).
Figure 8.
Tentative sorption mechanism of glyphosate (1), cypermethrin (2), and azoxystrobin (3) using HA (A) and FA (B).
3.4.1. Glyphosate Sorption Tentative Mechanism
The differences in the sorption efficiencies among the two examined materials can be attributed to the different chemical structures of HA and FA. For instance, in a previous study, it was reported that the alkyl and hydroxyalkyl groups of FA have a looser conformation compared to HA [42]. Also, it was found that a stronger interaction between FA and glyphosate is developed, compared to HA-glyphosate, suggesting the formation of more hydrogen bonds between the carboxyl and phosphonate groups of glyphosate and the oxygen moieties of FA [42].
3.4.2. Cypermethrin Sorption Tentative Mechanism
Sorption of cypermethrin may be achieved by three potential interactions: (1) π-π interactions, (2) hydrophobic interactions, and (3) hydrogen bonds. Since the compound contains aromatic rings, the formation of π-π interactions is probable, with HA containing more aromatic rings, compared to FA, and as such, they have greater potential for π-π interactions. This is also the case with hydrogen bonds. However, due to the increased content in aromatic rings, HA is more hydrophobic compared to FA. Therefore, due to the hydrophobic nature of cypermethrin, hydrophobic interactions can also take place. This is also reported in a previous study, where authors examined HA and FA coatings for mineral particles, so as to adsorb cypermethrin [43]. According to the authors, the more hydrophobic the coating, the better the sorption efficiency of cypermethrin. This is in line with the findings of the present work.
3.4.3. Azoxystrobin Sorption Tentative Mechanisms
The difference in the sorption percentages can be attributed to the interactions between azoxystrobin and the lignite extracts. Azoxystrobin is a molecule that contains three aromatic rings. Thus, it is able to interact with other compounds via π-π interactions. Since HA has multiple aromatic rings, such interactions are more easily developed, resulting in enhanced sorption efficiency. Moreover, sorption of azoxystrobin should be further achieved by the formation of hydrogen bonds that further enhance the sorption performance of the sorbent materials.
4. Conclusions
In this study, the sorption efficiency of three representative compounds belonging to the class of H/I/F was examined. According to our results, HA and FA are highly promising sorbent materials for the examined compounds, with HA achieving better sorption for cypermethrin and azoxystrobin, while FA was found to be more efficient for glyphosate. Moreover, no leaching of the sorbed compounds was recorded. Also, the sorption efficiency of the two materials was not compromised when tested in lake water. Although further studies are needed to evaluate the performance of the sorbent materials with a wider variety of compounds, the fact that they were able to sorb the active compounds, despite the presence of other compounds (deriving from the commercial products) is highly promising for future studies. A future trend in this area of research would be to combine the proposed sorbents with either the previously described sorbents, or with newly developed ones, so as to increase their capacities. Moreover, the two sorbents could be examined for their potential to participate in degradation processes, either alone or in combination with other materials, so that a more permanent solution is provided for the increasing concentrations of H/I/F in the environment.
Author Contributions
Conceptualization, E.S.P., T.C., V.A. and S.I.L.; methodology, T.C. and S.I.L.; software, T.C.; validation, E.A.M., T.C., V.A., E.B. and S.I.L.; formal analysis, E.A.M. and T.C.; investigation, E.A.M., E.S.P., T.C. and V.A.; resources, S.I.L.; data curation, E.A.M., E.S.P., V.A. and E.B.; writing—original draft preparation, E.A.M.; writing—review and editing, E.A.M., E.S.P., T.C., V.A., E.B. and S.I.L.; visualization, T.C.; supervision, T.C., V.A. and S.I.L.; project administration, S.I.L.; funding acquisition, S.I.L. All authors have read and agreed to the published version of the manuscript.
Funding
This research received no external funding.
Institutional Review Board Statement
Not applicable.
Informed Consent Statement
Not applicable.
Data Availability Statement
Not applicable.
Conflicts of Interest
The authors declare no conflict of interest.
References
- Mojid, M.A.; Mainuddin, M.; Murad, K.F.I.; Kirby, J. Mac Water usage trends under intensive groundwater-irrigated agricultural development in a changing climate—Evidence from Bangladesh. Agric. Water Manag. 2021, 251, 106873. [Google Scholar] [CrossRef]
- Ighalo, J.O.; Adeniyi, A.G.; Adelodun, A.A. Recent advances on the adsorption of herbicides and pesticides from polluted waters: Performance evaluation via physical attributes. J. Ind. Eng. Chem. 2021, 93, 117–137. [Google Scholar] [CrossRef]
- Gupta, P.K. Herbicides and Fungicides. In Reproductive and Developmental Toxicology; Gupta, R.C., Ed.; Academic Press: Burlington, MA, USA, 2011; pp. 503–521. [Google Scholar] [CrossRef]
- Gandhi, K.; Khan, S.; Patrikar, M.; Markad, A.; Kumar, N.; Choudhari, A.; Sagar, P.; Indurkar, S. Exposure risk and environmental impacts of glyphosate: Highlights on the toxicity of herbicide co-formulants. Environ. Chall. 2021, 4, 100149. [Google Scholar] [CrossRef]
- Ansari, M.; Hatami, B.; Khavidak, S.S. Toxicity, Biodegradability and Detection Methods of Glyphosate; the Most Used Herbicide: A Systematic Review. J. Environ. Health Sustain. Dev. 2019, 4, 731–743. [Google Scholar] [CrossRef]
- Annett, R.; Habibi, H.R.; Hontela, A. Impact of glyphosate and glyphosate-based herbicides on the freshwater environment. J. Appl. Toxicol. 2014, 34, 458–479. [Google Scholar] [CrossRef] [PubMed]
- Ponnuchamy, M.; Kapoor, A.; Senthil Kumar, P.; Vo, D.V.N.; Balakrishnan, A.; Mariam Jacob, M.; Sivaraman, P. Sustainable adsorbents for the removal of pesticides from water: A review. Environ. Chem. Lett. 2021, 19, 2425–2463. [Google Scholar] [CrossRef]
- Heidarinejad, Z.; Dehghani, M.H.; Heidari, M.; Javedan, G.; Ali, I.; Sillanpää, M. Methods for preparation and activation of activated carbon: A review. Environ. Chem. Lett. 2020, 18, 393–415. [Google Scholar] [CrossRef]
- Vasilas, A.; Chatzimitakos, T.; Sygellou, L.; Stalikas, C. Performance study of a magnetic iron–copper bimetallic material for the removal of an environmental “cocktail” of diverse hazardous organic micropollutants from aqueous samples. Nanotechnol. Environ. Eng. 2021, 6, 66. [Google Scholar] [CrossRef]
- Fallah, Z.; Zare, E.N.; Ghomi, M.; Ahmadijokani, F.; Amini, M.; Tajbakhsh, M.; Arjmand, M.; Sharma, G.; Ali, H.; Ahmad, A.; et al. Toxicity and remediation of pharmaceuticals and pesticides using metal oxides and carbon nanomaterials. Chemosphere 2021, 275, 130055. [Google Scholar] [CrossRef]
- Rawtani, D.; Khatri, N.; Tyagi, S.; Pandey, G. Nanotechnology-based recent approaches for sensing and remediation of pesticides. J. Environ. Manag. 2018, 206, 749–762. [Google Scholar] [CrossRef]
- Yarima, A.; Ali, R.; Abdullahi, A.A.; Idris, Z. Nanotechnology: Review on Emerging Techniques in Remediating Water and Soil Pollutions. J. Appl. Sci. Environ. Manag. 2020, 24, 933–941. [Google Scholar] [CrossRef]
- Madannejad, R.; Shoaie, N.; Jahanpeyma, F.; Darvishi, M.H.; Azimzadeh, M.; Javadi, H. Toxicity of carbon-based nanomaterials: Reviewing recent reports in medical and biological systems. Chem. Biol. Interact. 2019, 307, 206–222. [Google Scholar] [CrossRef] [PubMed]
- Arroyave, J.M.; Waiman, C.C.; Zanini, G.P.; Avena, M.J. Effect of humic acid on the adsorption/desorption behavior of glyphosate on goethite. Isotherms and kinetics. Chemosphere 2016, 145, 34–41. [Google Scholar] [CrossRef] [PubMed]
- Bouras, O.; Bollinger, J.C.; Baudu, M. Effect of humic acids on pentachlorophenol sorption to cetyltrimethylammonium-modified, Fe- and Al-pillared montmorillonites. Appl. Clay Sci. 2010, 50, 58–63. [Google Scholar] [CrossRef]
- Bollag, J.M.; Myers, C.J.; Minard, R.D. Biological and chemical interactions of pesticides with soil organic matter. Sci. Total Environ. 1992, 123–124, 205–217. [Google Scholar] [CrossRef]
- Khan, S.; Khan, N.N. The mobility of some organophosphorus pesticides in soils as affected by some soil parameters. Soil Sci. 1986, 142, 214–222. [Google Scholar] [CrossRef]
- De Paolis, F.; Kukkonen, J. Binding of organic pollutants to humic and fulvic acids: Influence of pH and the structure of humic material. Chemosphere 1997, 34, 1693–1704. [Google Scholar] [CrossRef]
- Guo, X.; Tu, B.; Ge, J.; Yang, C.; Song, X.; Dang, Z. Sorption of tylosin and sulfamethazine on solid humic acid. J. Environ. Sci. 2016, 43, 208–215. [Google Scholar] [CrossRef]
- Vrantsi, E.; Lakka, A.; Bozinou, E.; Athanasiadis, V.; Papadaki, E.S.; Dourtoglou, V.G.; Lalas, S.I. Humic and Fulvic Acids as Specific Sorbents of Herbicides in Water. Clean—Soil Air Water 2021, 49, 2000467. [Google Scholar] [CrossRef]
- Zhou, F.; Cheng, J.; Liu, J.; Zhou, J.; Cen, K. Improving physicochemical properties of upgraded Indonesian lignite through microwave irradiation with char adsorbent. Fuel 2018, 218, 275–281. [Google Scholar] [CrossRef]
- Badour, C.; Gilbert, A.; Xu, C.; Li, H.; Shao, Y.; Tourigny, G.; Preto, F. Combustion and air emissions from co-firing a wood biomass, a Canadian peat and a Canadian lignite coal in a bubbling fluidised bed combustor. Can. J. Chem. Eng. 2012, 90, 1170–1177. [Google Scholar] [CrossRef]
- Wang, S.; Mulligan, C.N. Effect of natural organic matter on arsenic release from soils and sediments into groundwater. Environ. Geochem. Health 2006, 28, 197–214. [Google Scholar] [CrossRef] [PubMed]
- Niu, H.; Yang, H.; Tong, L.; Zhong, S.; Liu, Y. Spectral study of humic substance extract from pressurized oxidizing slag of Carlin-typed gold deposit. In Proceedings of the Journal of Physics: Conference Series, Sochi, Russia, 16–19 October 2019; Volume 1347. [Google Scholar]
- Kar, S.; Maity, J.P.; Jean, J.S.; Liu, C.C.; Nath, B.; Lee, Y.C.; Bundschuh, J.; Chen, C.Y.; Li, Z. Role of organic matter and humic substances in the binding and mobility of arsenic in a Gangetic aquifer. J. Environ. Sci. Health—Part A Toxic/Hazard. Subst. Environ. Eng. 2011, 46, 1231–1238. [Google Scholar] [CrossRef]
- Wu, M.; Song, M.; Liu, M.; Jiang, C.; Li, Z. Fungicidal activities of soil humic/fulvic acids as related to their chemical structures in greenhouse vegetable fields with cultivation chronosequence. Sci. Rep. 2016, 6, 32858. [Google Scholar] [CrossRef]
- Marin-Morales, M.A.; de Campos Ventura-Camargo, B.; Hoshina, M.M. Toxicity of Herbicides: Impact on Aquatic and Soil Biota and Human Health. In Herbicides—Current Research and Case Studies in Use; Price, A.J., Kelton, J.A., Eds.; IntechOpen: London, UK, 2013; pp. 399–443. [Google Scholar] [CrossRef]
- Mesnage, R.; Antoniou, M.N. Facts and Fallacies in the Debate on Glyphosate Toxicity. Front. Public Health 2017, 5, 316. [Google Scholar] [CrossRef]
- Mayakaduwa, S.S.; Kumarathilaka, P.; Herath, I.; Ahmad, M.; Al-Wabel, M.; Ok, Y.S.; Usman, A.; Abduljabbar, A.; Vithanage, M. Equilibrium and kinetic mechanisms of woody biochar on aqueous glyphosate removal. Chemosphere 2016, 144, 2516–2521. [Google Scholar] [CrossRef] [PubMed]
- Jiang, X.; Ouyang, Z.; Zhang, Z.; Yang, C.; Li, X.; Dang, Z.; Wu, P. Mechanism of glyphosate removal by biochar supported nano-zero-valent iron in aqueous solutions. Colloids Surfaces A Physicochem. Eng. Asp. 2018, 547, 64–72. [Google Scholar] [CrossRef]
- Hu, Y.S.; Zhao, Y.Q.; Sorohan, B. Removal of glyphosate from aqueous environment by adsorption using water industrial residual. Desalination 2011, 271, 150–156. [Google Scholar] [CrossRef]
- Yadav, B. Cypermethrin Toxicity: A Review. J. Forensic Sci. Crim. Investig. 2018, 9, 555767. [Google Scholar] [CrossRef]
- Tallur, P.N.; Megadi, V.B.; Ninnekar, H.Z. Biodegradation of Cypermethrin by Micrococcus sp. strain CPN 1. Biodegradation 2008, 19, 77–82. [Google Scholar] [CrossRef]
- Al-Smadi, B.M.; Al Oran, E.H.; Abu Hajar, H.A. Adsorption-desorption of cypermethrin and chlorfenapyr on Jordanian soils. Arab. J. Geosci. 2019, 12, 465. [Google Scholar] [CrossRef]
- Domingues, V.F.; Priolo, G.; Alves, A.C.; Cabral, M.F.; Delerue-Matos, C. Adsorption behavior of α-cypermethrin on cork and activated carbon. J. Environ. Sci. Health—Part B Pestic. Food Contam. Agric. Wastes 2007, 42. [Google Scholar] [CrossRef] [PubMed]
- Năstuneac, V.; Panainte-Lehăduş, M.; Moşneguţu, E.F.; Gavrilaş, S.; Cioca, G.; Munteanu, F.D. Removal of cypermethrin fromwater by using fucus spiralis marine alga. Int. J. Environ. Res. Public Health 2019, 16, 3663. [Google Scholar] [CrossRef] [PubMed]
- Rodrigues, E.T.; Lopes, I.; Pardal, M.Â. Occurrence, fate and effects of azoxystrobin in aquatic ecosystems: A review. Environ. Int. 2013, 53, 18–28. [Google Scholar] [CrossRef] [PubMed]
- Hai, N.; Liu, X.; Li, Y.; Kong, F.; Zhang, Y.; Fang, S. Effects of Microplastics on the Adsorption and Bioavailability of Three Strobilurin Fungicides. ACS Omega 2020, 5, 30679–30686. [Google Scholar] [CrossRef]
- Sil, A.; Narayanan, N.; Gupta, S. Removal of Pesticides from Water using Magnetite-Activated Charcoal. Pestic. Res. J. 2022, 34, 78–84. [Google Scholar] [CrossRef]
- Ćwieląg-Piasecka, I.; Medyńska-Juraszek, A.; Jerzykiewicz, M.; Dębicka, M.; Bekier, J.; Jamroz, E.; Kawałko, D. Humic acid and biochar as specific sorbents of pesticides. J. Soils Sediments 2018, 18, 2692–2702. [Google Scholar] [CrossRef]
- Chatzimitakos, T.G.; Karali, K.K.; Stalikas, C.D. Magnetic graphene oxide as a convenient nanosorbent to streamline matrix solid-phase dispersion towards the extraction of pesticides from vegetables and their determination by GC–MS. Microchem. J. 2019, 151, 104247. [Google Scholar] [CrossRef]
- Mazzei, P.; Piccolo, A. Quantitative evaluation of noncovalent interactions between glyphosate and dissolved humic substances by NMR spectroscopy. Environ. Sci. Technol. 2012, 46, 5939–5946. [Google Scholar] [CrossRef]
- Zhou, J.L.; Rowland, S.J.; Mantoura, R.F.C.; Harland, B.J. Influence of the nature of particulate organic matter on the sorption of cypermethrin: Implications on KOC correlations. Environ. Int. 1995, 21, 187–195. [Google Scholar] [CrossRef]
Publisher’s Note: MDPI stays neutral with regard to jurisdictional claims in published maps and institutional affiliations. |
© 2022 by the authors. Licensee MDPI, Basel, Switzerland. This article is an open access article distributed under the terms and conditions of the Creative Commons Attribution (CC BY) license (https://creativecommons.org/licenses/by/4.0/).







