A Simple, Fast, and Green Oil Sample Preparation Method for Determination of Cannabidioloic Acid and Cannabidiol by HPLC-DAD
Abstract
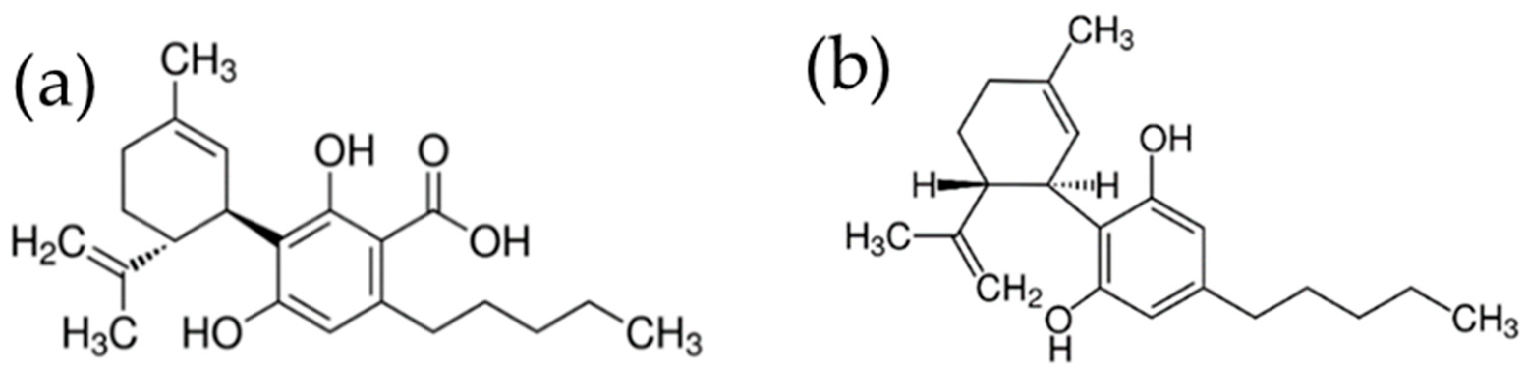
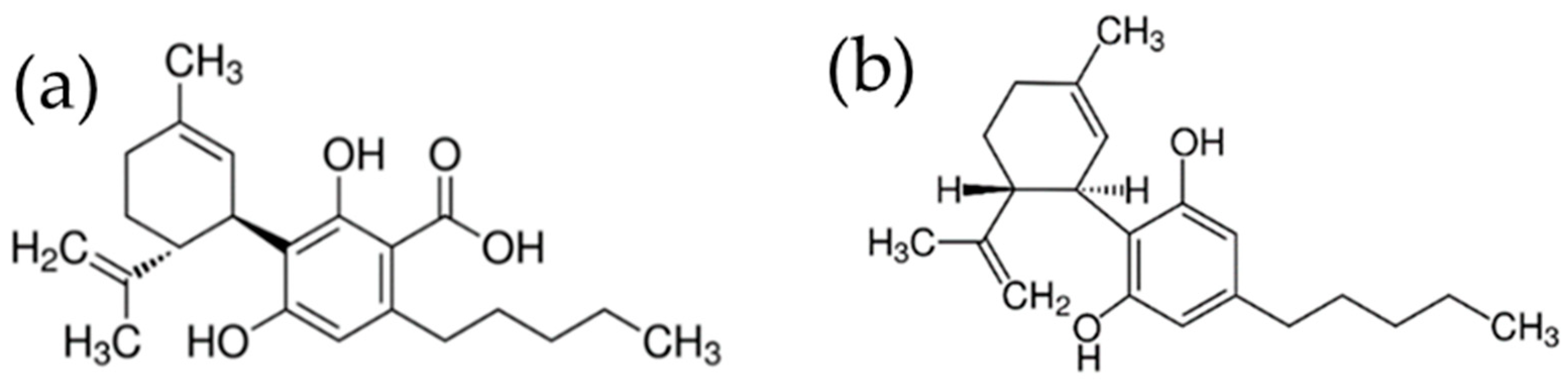
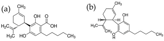
1. Introduction
2. Experimental
2.1. Standards and Reagents
2.2. Examined Materials
2.3. Apparatus and Laboratory Equipment
2.4. Development of Sample Preparation Procedure
2.5. Preparation of Standard Oil Solutions for the Method Validation
2.6. Final Procedure for Hemp Oil Supplement Preparation
3. Results and Discussion
3.1. Study of Sample Preparation Conditions
3.2. Estimation of Main Analytical Parameters of HPLC Method for CBD and CBDA Determination
3.2.1. Linearity Range
3.2.2. Limits of Detection (LOD) and Quantification (LOQ)
3.2.3. Precision
3.3. Analysis of the Oil Hemp Supplement
3.4. Comparison of the Proposed Method with HPLC-UV Methods of Other Authors
4. Conclusions
Author Contributions
Funding
Conflicts of Interest
References
- Ehrenkranz, J.; Levine, M.A. Bones and joints: The effects of cannabinoids on the skeleton. J. Clin. Endocrinol. Metab. 2019, 104, 4683–4694. [Google Scholar] [CrossRef] [PubMed]
- Mudge, E.M.; Murch, S.J.; Brown, P.N. Leaner and greener analysis of cannabinoids. Anal. Bioanal. Chem. 2017, 409, 3153–3163. [Google Scholar] [CrossRef] [PubMed]
- Maurya, N.; Velmurugan, B.K. Therapeutic applications of cannabinoids. Chem. Biol. Interact. 2018, 293, 77–88. [Google Scholar] [CrossRef] [PubMed]
- Protti, M.; Brighenti, V.; Battaglia, M.R.; Anceschi, L.; Pellati, F.; Mercolini, L. Cannabinoids from Cannabis sativa L.: A new tool based on HPLC− DAD−MS/MS for a rational use in medicinal chemistry. ACS Med. Chem. Lett. 2019, 10, 539–544. [Google Scholar] [PubMed]
- Anderson, L.L.; Low, I.K.; Samuel, D.; Banister, S.D.; McGregor, I.S.; Arnold, J.C. Pharmacokinetics of phytocannabinoid acids and anticonvulsant effect of cannabidiolic acid in a mouse model of Dravet Syndrome. J. Nat. Prod. 2019, 82, 3047–3055. [Google Scholar] [CrossRef] [PubMed]
- González-Garcíaa, C.; Torresa, I.M.; García-Hernándeza, R.; Campos-Ruíza, L.; Esparragozaa, L.R.; Coronadob, M.J.; Grandec, A.G.; García-Merinoa, A.; López, A.J.S. Mechanisms of action of cannabidiol in adoptively transferred experimental autoimmune encephalomyelitis. Exp. Neurol. 2017, 298, 57–67. [Google Scholar] [CrossRef] [PubMed]
- Mackie, K. Cannabinoid receptors: Where they are and what they do. J. Neuroendocrinol. 2008, 20, 10–14. [Google Scholar] [CrossRef] [PubMed]
- Pisanti, S.; Malfitano, A.M.; Ciaglia, E.; Lamber, A.; Ranieri, R.; Cuomo, G.; Abate, M.; Faggiana, G.; Proto, M.C.; Fiore, D.; et al. Cannabinoid receptors: Where they are and what they do. Pharmacol. Ther. 2017, 175, 133–150. [Google Scholar] [CrossRef] [PubMed]
- Mandrioli, M.; Tura, M.; Scott, S.; Toschi, T.G. Fast detection of 10 cannabinoids by RP-HPLC-UV method in Cannabis Savita L. Molecules 2019, 24, 2113. [Google Scholar] [CrossRef] [PubMed]
- Zivovinovic, S.; Alder, R.; Allenspach, M.D.; Steuer, C. Determination of cannabinoids in Cannabis sativa L. samples for recreational, medical, and forensic purposes by reversed-phase liquid chromatography-ultraviolet detection. JAST 2018, 9, 27. [Google Scholar] [CrossRef]
- De Backer, B.; Debrus, B.; Lebrun, P.; Theunis, L.; Dubois, N.; Decock, L.; Verstraete, A.; Hubert, P.; Charlier, C. Innovative development and validation of an HPLC/DAD method for the qualitative and quantitative determination of major cannabinoids in cannabis plant material. J. Chromatogr. B 2009, 877, 411524. [Google Scholar]
- Patel, B.; Wene, D.; Fan, Z.T. Qualitative and quantitative measurement of cannabinoids in cannabis using modified HPLC/DAD. J. Pharm. Biomed. Anal. 2017, 146, 15–23. [Google Scholar] [CrossRef] [PubMed]
- Saingam, W.; Sakunpak, A. Development and validation of reverse phase high performance liquid chromatography method for the determination of delta-9-tetrahydrocannabinol and cannabidiol in oromucosal spray from cannabis extract. Rev. Bras. Farmacogn. 2018, 28, 669–672. [Google Scholar] [CrossRef]
- Ciolino, L.A.; Ranieri, T.L.; Taylor, A.M. Commercial cannabis consumer products part 2: HPLC-DAD quantitave analysis of cannabis cannabinoids. Forensic Sci. Int. 2018, 289, 438–442. [Google Scholar] [CrossRef]
- Citti, C.; Pacchetti, B.; Vandelli, M.A.; Forni, F.; Cannazza, G. Analysis of cannabinoids in commercial hemp seed oil and decarboxylation kinetics studies of cannabidiolic acid (CBDA). J. Pharm. Biomed. Anal. 2018, 149, 532–540. [Google Scholar] [CrossRef] [PubMed]
- Nemeškalová, A.; Hájková, K.; Mikulů, L.; Sýkora, D.; Kuchař, M. Combination of UV and MS/MS detection for the LC analysis of cannabidiolrich products. Talanta 2020, 219, 1–14. [Google Scholar] [CrossRef]
- Ciolino, L.A.; Ranieri, T.L.; Taylor, A.M. Commercial cannabis consumer products part 1: GC-MS quantitave analysis of cannabis cannabinoids. Forensic Sci. Int. 2018, 289, 429–437. [Google Scholar] [CrossRef]
- Lachenmeier, D.W.; Kroener, L.; Musshoff, F.; Madea, B. Determination of cannabinoids in hemp food products by use of headspace solid-phase microextraction and gas chromatography–mass spectrometry. Anal. Bioanal. Chem. 2004, 378, 183–189. [Google Scholar]
- Meng, Q.; Buchanan, B.; Zuccolo, J.; Poulin, M.-M.; Gabriele, J.; Baranowski, D.C. A reliable and validated LC-MS/MS method for the simultaneous quantification of 4 cannabinoids in 40 consumer products. PLoS ONE 2018, 13, 1–16. [Google Scholar] [CrossRef] [PubMed]



| Extraction Recovery of CBD (%), n = 2 | |
|---|---|
| Extraction Solvent Volume a | |
| Vortex (1 min) with 500 µL ACN | Vortex (1 min) with 750 µL ACN |
| 58 | 55 |
| Methods of supporting the extraction process (with 500 µL ACN) a | |
| Vortex (1 min), UAE b (15 min) | Vortex (1 min), rocker shaker (15 min) |
| 65 | 65 |
| Methods of supporting the extraction process (with 500 µL 95% EtOH) c | |
| Vortex (1 min), UAE (15 min) | Vortex (1 min), rocker shaker (15 min) |
| 82 | 93 |
| Final extracts without filtration d | |
| Vortex (1 min), rocker shaker (15 min) with 500 µL ACN | Vortex (1 min), rocker shaker (15 min) with 500 µL EtOH |
| 76 | 9 |
| Concentration Level [µg/mL] | CBDA | CBD | ||
|---|---|---|---|---|
| Extraction Recovery [%] n = 5 | CV [%] n = 5 | Extraction Recovery [%] n = 5 | CV [%] n = 5 | |
| 2 | 69.5 | 7.1 | 97.3 | 8.4 |
| 20 | 69.1 | 10.6 | 109.5 | 5.0 |
| Parameter | CBDA | CBD |
|---|---|---|
| Slope of the straight line, a | 27 598 | 23609 |
| Straight line intercept | −4728.9 | 45721 |
| Linearity range (µg/mL) | 0.78–25 | 3.12–50 |
| Determination coefficient, R2 | 0.9986 | 0.9976 |
| LOD (µg/mL) | 0.17 | 1.94 |
| LOQ (µg/mL) | 0.78 | 3.12 |
| Intra-day precision (RSD, %), at 2 µg/mL (n = 5) | 8.07 | -a |
| Intra-day precision (RSD, %), at 20 µg/mL (n = 5) | 10.47 | 5.38 |
| Sample Amount | Extracting Solvent/Solvent Volume (mL) | Detail Sample Preparation Conditions | Extraction Recovery (%) | Precision (%, RSD) | LOQ | Ref. |
|---|---|---|---|---|---|---|
| 50 mg | Methanol/10.0 | Vortex (30 s) Sonication for 15 min with vortexing every 5 min Filtration through a 0.22 µm Teflon filter | CBD:91.3–95.3 a CBDA:95.4–97.7 a | 1.2–2.0 (CBD) a 0.5–3.1 (CBDA) a | -b | [2] |
| 100 µL | 2-propanol/0.4 | Mixed with oil samples | CBD:89.7–99.6 CBDA:88.3–95.6 | CBD:0.4–3.9 CBDA:1.0–6.3 | CBD:1.0 µg/mL CBDA:1.0 µg/mL | [15] |
| -c | 95% ethanol/-c | Vortexing and sonication (15 min) Filtration through a 0.45 µm nylon membrane disc filter | CBD:96–105 d CBDA:87–90 d | 8.9 (CBD) 3.0 (CBDA) | -c | [14] |
| 250 mg | ethyl acetate:isopropanol (1:1, v/v)/5 .0 | Vortexing (15 min) Filtration through 0.2 µm filter MicroSpin PVDF | CBD:90.2 a CBDA:-d | CBD:7.7 a CBDA:-d | CBD:1.0 µg/g CBDA:1.0 µg/g | [16] |
| 10 mg | Acetonitrile/0.5 | Vortexing (1 min) Rocker shaker (15 min), then fat freezing (15 min) | CBD:97.3–109.5 CBDA: 69.1–69.5 | 5.0–8.4 (CBD) 7.1–10.6 (CBDA) | CBD:3.12 µg/mL CBDA:0.78 µg/mL | This work |
Publisher’s Note: MDPI stays neutral with regard to jurisdictional claims in published maps and institutional affiliations. |
© 2020 by the authors. Licensee MDPI, Basel, Switzerland. This article is an open access article distributed under the terms and conditions of the Creative Commons Attribution (CC BY) license (http://creativecommons.org/licenses/by/4.0/).
Share and Cite
Madej, K.; Kózka, G.; Winiarski, M.; Piekoszewski, W. A Simple, Fast, and Green Oil Sample Preparation Method for Determination of Cannabidioloic Acid and Cannabidiol by HPLC-DAD. Separations 2020, 7, 60. https://doi.org/10.3390/separations7040060
Madej K, Kózka G, Winiarski M, Piekoszewski W. A Simple, Fast, and Green Oil Sample Preparation Method for Determination of Cannabidioloic Acid and Cannabidiol by HPLC-DAD. Separations. 2020; 7(4):60. https://doi.org/10.3390/separations7040060
Chicago/Turabian StyleMadej, Katarzyna, Gabriela Kózka, Maciej Winiarski, and Wojciech Piekoszewski. 2020. "A Simple, Fast, and Green Oil Sample Preparation Method for Determination of Cannabidioloic Acid and Cannabidiol by HPLC-DAD" Separations 7, no. 4: 60. https://doi.org/10.3390/separations7040060
APA StyleMadej, K., Kózka, G., Winiarski, M., & Piekoszewski, W. (2020). A Simple, Fast, and Green Oil Sample Preparation Method for Determination of Cannabidioloic Acid and Cannabidiol by HPLC-DAD. Separations, 7(4), 60. https://doi.org/10.3390/separations7040060
