Chemical Composition and Biological Properties of Achillea cucullata Extracts from Leaves and Flowers
Abstract
1. Introduction
2. Materials and Methods
2.1. Preparation of Plant Extract
2.2. Determination of Phytochemicals of Extract
2.3. Analysis of Total Phenolic Content (TPC) and Total Flavonoid Content (TFC)
2.4. Cell Culture and Cytotoxicity Analysis
2.5. Expression of Genes
2.6. Screening for Antibacterial Activity
2.6.1. Disk Diffusion Method
2.6.2. Analysis of Minimum Inhibitory Concentration (MIC) and Minimum Bactericidal Concentration (MBC)
2.7. Statistical Analysis
3. Results
3.1. GC–MS Analysis of A. cucullata Flower and Leaf Extracts
3.2. TPC and TFC of A. cucullata Flower and Leaf Extracts
3.3. Antioxidant Activity
3.4. Cell Cytotoxicity
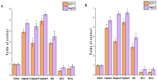
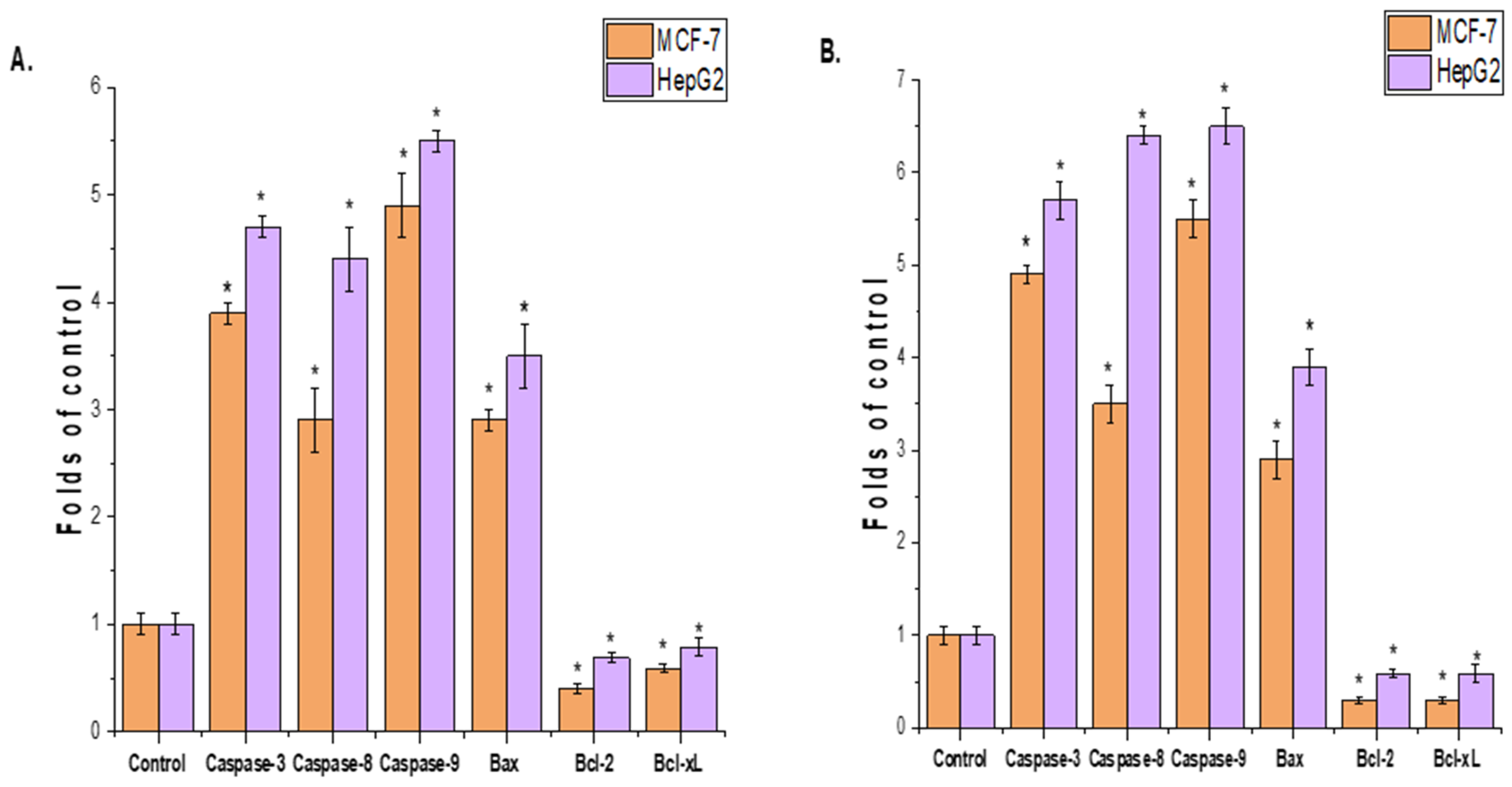
3.5. Apoptotic Analysis
3.6. Antibacterial Effects of Bioactive Compounds
4. Discussion
5. Conclusions
Author Contributions
Funding
Data Availability Statement
Conflicts of Interest
References
- Selwal, N.; Rahayu, F.; Herwati, A.; Latifah, E.; Suhara, C.; Suastika, I.B.K.; Mahayu, W.M.; Wani, A.K. Enhancing secondary metabolite production in plants: Exploring traditional and modern strategies. J. Agric. Food Res. 2023, 14, 100702. [Google Scholar] [CrossRef]
- Marchev, A.S.; Yordanova, Z.P.; Georgiev, M.I. Green (cell) factories for advanced production of plant secondary metabolites. Crit. Rev. Biotechnol. 2020, 40, 443–458. [Google Scholar] [CrossRef]
- Osman, A.K.E.; Abdein, M.A.E.-H. Floristic diversity of Wadi Ar’ar, Saudi Arabia. J. Taibah Univ. Sci. 2019, 13, 772–789. [Google Scholar] [CrossRef]
- Palombo, E.A.; Semple, S.J. Antibacterial activity of traditional Australian medicinal plants. J. Ethnopharmacol. 2001, 77, 151–157. [Google Scholar] [CrossRef] [PubMed]
- Elshamy, A.; Abd-ElGawad, A.; Mohamed, T.; El Gendy, A.E.N.; Abd El Aty, A.A.; Saleh, I.; Moustafa, M.F.; Hussien, T.A.; Pare, P.W.; Hegazy, M.E.F. Extraction development for antimicrobial and phytotoxic essential oils from Asteraceae species: Achillea fragrantissima, Artemisia judaica and Tanacetum sinaicum. Flavour Fragr. J. 2021, 36, 352–364. [Google Scholar] [CrossRef]
- Abd-ElGawad, A.M.; Ahmed, R.F.; Elshamy, A.I.; Sadek, E.G.; Assaeed, A.M.; Bonanomi, G.; El Gendy, A.E.-N.G.; El-Amier, Y.A. Achillea fragrantissima Essential Oil, Wild Grown in Saudi Arabia and Egypt: Detailed Comparative Chemical Profiling, and Evaluation of Allelopathic, Antioxidant, and Antibacterial Activities. Chemistry 2023, 5, 2347–2361. [Google Scholar] [CrossRef]
- Elsharkawy, E.R.; Alghanem, S.M.; Elmorsy, E. Effect of habitat variations on the chemical composition, antioxidant, and antimicrobial activities of Achillea fragrantissima (Forssk) Sch. Bip. Biotechnol. Rep. 2021, 29, e00581. [Google Scholar] [CrossRef]
- Zengin, G.; Aktumsek, A.; Ceylan, R.; Uysal, S.; Mocan, A.; Guler, G.O.; Mahomoodally, M.F.; Glamočlija, J.; Ćirić, A.; Soković, M. Shedding light on the biological and chemical fingerprints of three Achillea species (A. biebersteinii, A. millefolium and A. teretifolia). Food Funct. 2017, 8, 1152–1165. [Google Scholar] [CrossRef]
- El Bouzidi, L.; Abbad, A.; Hassani, L.; Fattarsi, K.; Leach, D.; Markouk, M.; Legendre, L.; Bekkouche, K. Essential oil composition and antimicrobial activity of wild and cultivated Moroccan Achillea ageratum L.: A rare and threatened medicinal species. Chem. Biodivers. 2012, 9, 598–605. [Google Scholar] [CrossRef]
- Toker, Z.; Özen, H.Ç.; Clery, R.A.; Owen, N.E. Essential oils of two Achillea species from Turkey. J. Essent. Oil Res. 2003, 15, 100–101. [Google Scholar] [CrossRef]
- Toncer, O.; Basbag, S.; Karaman, S.; Diraz, E.; Basbag, M. Chemical composition of the essential oils of some Achillea species growing wild in Turkey. Int. J. Agric. Biol. 2010, 12, 527–530. [Google Scholar]
- Eruygur, N.; Koçyiğit, U.; Taslimi, P.; Ataş, M.; Tekin, M.; Gülçin, İ. Screening the in vitro antioxidant, antimicrobial, anticholinesterase, antidiabetic activities of endemic Achillea cucullata (Asteraceae) ethanol extract. S. Afr. J. Bot. 2019, 120, 141–145. [Google Scholar] [CrossRef]
- Wolfe, K.L.; Liu, R.H. Apple peels as a value-added food ingredient. J. Agric. Food Chem. 2003, 51, 1676–1683. [Google Scholar] [CrossRef] [PubMed]
- Chang, C.-C.; Yang, M.-H.; Wen, H.-M.; Chern, J.-C. Estimation of total flavonoid content in propolis by two complementary colorimetric methods. J. Food Drug Anal. 2002, 10, 178–182. [Google Scholar]
- Mosmann, T. Rapid colorimetric assay for cellular growth and survival: Application to proliferation and cytotoxicity assays. J. Immunol. Methods 1983, 65, 55–63. [Google Scholar] [CrossRef] [PubMed]
- Alkhudhayri, A.A.; Wahab, R.; Siddiqui, M.A.; Ahmad, J. Selenium nanoparticles induce cytotoxicity and apoptosis in human breast cancer (MCF-7) and liver (HEPG2) cell lines. Nanosci. Nanotechnol. Lett. 2020, 12, 324–330. [Google Scholar] [CrossRef]
- Al-Dhabi, N.A.; Valan Arasu, M. Quantification of phytochemicals from commercial Spirulina products and their antioxidant activities. Evid.-Based Complement. Altern. Med. 2016, 1, 1–13. [Google Scholar] [CrossRef] [PubMed]
- Binobead, M.A.; Aziz, I.M.; Ibrahim, S.M.; Aljowaie, R.M. Chemical composition and bioactivities of the methanol root extracts of Saussurea costus. Open Chem. 2024, 22, 20240002. [Google Scholar] [CrossRef]
- Al-Dhabi, N.A.; Valan Arasu, M.; Vijayaraghavan, P.; Esmail, G.A.; Duraipandiyan, V.; Kim, Y.O.; Kim, H.; Kim, H.-J. Probiotic and antioxidant potential of Lactobacillus reuteri LR12 and Lactobacillus lactis LL10 isolated from pineapple puree and quality analysis of pineapple-flavored goat milk yoghurt during storage. Microorganisms 2020, 8, 1461. [Google Scholar] [CrossRef]
- Singh, P.; Singh, H.; Kim, Y.J.; Mathiyalagan, R.; Wang, C.; Yang, D.C. Extracellular synthesis of silver and gold nanoparticles by Sporosarcina koreensis DC4 and their biological applications. Enzym. Microb. Technol. 2016, 86, 75–83. [Google Scholar] [CrossRef]
- Basri, D.F.; Sandra, V. Synergistic interaction of methanol extract from Canarium odontophyllum Miq. Leaf in combination with oxacillin against methicillin-resistant Staphylococcus aureus (MRSA) ATCC 33591. Int. J. Microbiol. 2016, 1, 1–7. [Google Scholar] [CrossRef] [PubMed]
- Gabrielson, J.; Hart, M.; Jarelöv, A.; Kühn, I.; McKenzie, D.; Möllby, R. Evaluation of redox indicators and the use of digital scanners and spectrophotometer for quantification of microbial growth in microplates. J. Microbiol. Methods 2002, 50, 63–73. [Google Scholar] [CrossRef] [PubMed]
- Veiga, A.; Maria da Graça, T.T.; Rossa, L.S.; Mengarda, M.; Stofella, N.C.; Oliveira, L.J.; Gonçalves, A.G.; Murakami, F.S. Colorimetric microdilution assay: Validation of a standard method for determination of MIC, IC50%, and IC90% of antimicrobial compounds. J. Microbiol. Methods 2019, 162, 50–61. [Google Scholar] [CrossRef] [PubMed]
- Aljeldah, M.M.; Yassin, M.T.; Mostafa, A.A.-F.; Aboul-Soud, M.A. Synergistic Antibacterial Potential of Greenly Synthesized Silver Nanoparticles with Fosfomycin Against Some Nosocomial Bacterial Pathogens. Infect. Drug Resist. 2022, 16, 125–142. [Google Scholar] [CrossRef] [PubMed]
- Aati, H.; El-Gamal, A.; Shaheen, H.; Kayser, O. Traditional use of ethnomedicinal native plants in the Kingdom of Saudi Arabia. J. Ethnobiol. Ethnomed. 2019, 15, 1–9. [Google Scholar] [CrossRef] [PubMed]
- Ullah, R.; Alqahtani, A.S.; Noman, O.M.; Alqahtani, A.M.; Ibenmoussa, S.; Bourhia, M. A review on ethno-medicinal plants used in traditional medicine in the Kingdom of Saudi Arabia. Saudi J. Biol. Sci. 2020, 27, 2706–2718. [Google Scholar] [CrossRef] [PubMed]
- Additives, E.P.o.; Feed, P.o.S.u.i.A.; Bampidis, V.; Azimonti, G.; Bastos, M.d.L.; Christensen, H.; Durjava, M.; Kouba, M.; López-Alonso, M.; López Puente, S.; et al. Safety and efficacy of feed additives consisting of essential oils derived from the flower buds or the leaves of Syzygium aromaticum (L.) Merr. & LM Perry (clove bud oil and clove leaf oils) for all animal species (FEFANA asbl). EFSA J. 2023, 21, e08183. [Google Scholar]
- Hirasawa, K.; Moriya, S.; Miyahara, K.; Kazama, H.; Hirota, A.; Takemura, J.; Abe, A.; Inazu, M.; Hiramoto, M.; Tsukahara, K. Macrolide antibiotics exhibit cytotoxic effect under amino acid-depleted culture condition by blocking autophagy flux in head and neck squamous cell carcinoma cell lines. PLoS ONE 2016, 11, e0164529. [Google Scholar] [CrossRef] [PubMed]
- Shahriar, S.; Shermin, S.A.; Hasnat, H.; Hossain, F.; Han, A.; Geng, P.; Alam, S.; Mamun, A.A. Chemico-pharmacological evaluation of the methanolic leaf extract of Catharanthus ovalis: GC–MS/MS, in vivo, in vitro, and in silico approaches. Front. Pharmacol. 2024, 15, 1347069. [Google Scholar] [CrossRef]
- Chen, Y.; Ba, L.; Huang, W.; Liu, Y.; Pan, H.; Mingyao, E.; Shi, P.; Wang, Y.; Li, S.; Qi, H. Role of carvacrol in cardioprotection against myocardial ischemia/reperfusion injury in rats through activation of MAPK/ERK and Akt/eNOS signaling pathways. Eur. J. Pharmacol. 2017, 796, 90–100. [Google Scholar] [CrossRef]
- Bansal, A.; Saleh-E-In, M.M.; Kar, P.; Roy, A.; Sharma, N.R. Synthesis of carvacrol derivatives as potential new anticancer agent against lung cancer. Molecules 2022, 27, 4597. [Google Scholar] [CrossRef] [PubMed]
- Fan, K.; Li, X.; Cao, Y.; Qi, H.; Li, L.; Zhang, Q.; Sun, H. Carvacrol inhibits proliferation and induces apoptosis in human colon cancer cells. Anti-Cancer Drugs 2015, 26, 813–823. [Google Scholar] [CrossRef] [PubMed]
- Sayuti, M.; Putri, W.D.R.; Yunianta, Y. Antioxidant Activity and Identification of Compounds in the Extract of Sea Bamboo’s (Isis hippuris) Outer Layer. Res. J. Pharm. Biol. Chem. Sci. 2017, 8, 884. [Google Scholar]
- Miyazawa, M.; Sakata, K.; Ueda, M. Microbial transformation of (−)-isolongifolol by plant pathogenic fungus Glomerella cingulata. J. Oleo Sci. 2010, 59, 243–246. [Google Scholar] [CrossRef] [PubMed]
- Jamal, R.K.; Jose, V. Determination of phytochemicals by GC-MS in methanol extract of Elephantopus scaber L. J. Pharmacogn. Phytochem. 2017, 6, 807–813. [Google Scholar]
- Chandra, P.; Sharma, R.K.; Arora, D.S. Antioxidant compounds from microbial sources: A review. Food Res. Int. 2020, 129, 108849. [Google Scholar] [CrossRef] [PubMed]
- Ullah, A.; Munir, S.; Badshah, S.L.; Khan, N.; Ghani, L.; Poulson, B.G.; Emwas, A.-H.; Jaremko, M. Important flavonoids and their role as a therapeutic agent. Molecules 2020, 25, 5243. [Google Scholar] [CrossRef] [PubMed]
- Boncler, M.; Różalski, M.; Krajewska, U.; Podsędek, A.; Watala, C. Comparison of PrestoBlue and MTT assays of cellular viability in the assessment of anti-proliferative effects of plant extracts on human endothelial cells. J. Pharmacol. Toxicol. Methods 2014, 69, 9–16. [Google Scholar] [CrossRef] [PubMed]
- Bali, E.B.; Açık, L.; Elçi, P.; Sarper, M.; Avcu, F.; Vural, M. In vitro anti-oxidant, cytotoxic and pro-apoptotic effects of Achillea teretifolia Willd extracts on human prostate cancer cell lines. Pharmacogn. Mag. 2015, 11, S308. [Google Scholar]
- Klančnik, A.; Piskernik, S.; Jeršek, B.; Možina, S.S. Evaluation of diffusion and dilution methods to determine the antibacterial activity of plant extracts. J. Microbiol. Methods 2010, 81, 121–126. [Google Scholar] [CrossRef]
- Karaalp, C.; Yurtman, A.N.; Karabay Yavasoglu, N.U. Evaluation of antimicrobial properties of Achillea L. flower head extracts. Pharm. Biol. 2009, 47, 86–91. [Google Scholar] [CrossRef]
- Van Den Dool, H.; Kratz, P.D. A generalization of the retention index system including linear temperature programmed gas-liquid partition chromatography. J. Chromatogr. A 1963, 11, 463–471. [Google Scholar] [CrossRef] [PubMed]





| Peak | Rt (min) | Area | Area% | Start Time | End Time | Name | MF |
|---|---|---|---|---|---|---|---|
| 1. | 9.607 | 13,312,990 | 0.78 | 9.541 | 9.84 | 4H-Pyran-4-one, 2,3-dihydro-3,5-dihydroxy-6-methyl | C6H8O4 |
| 2. | 9.954 | 1,104,081 | 0.06 | 9.933 | 10.005 | Dithiocarbamate, S-methyl-,N-(2-methyl-3-oxobutyl)- | C7H13NOS2 |
| 3. | 10.49 | 14,720,720 | 0.86 | 10.235 | 10.54 | Caprolactam | C6H11NO |
| 4. | 10.564 | 9,311,283 | 0.54 | 10.54 | 10.681 | N-Methyl-3-hydroxymethylpyrrolidin-2-one | C6H11NO2 |
| 5. | 11.863 | 11,290,687 | 0.66 | 11.716 | 12.035 | Z,Z-2,5-Pentadecadien-1-ol | C15H28O |
| 6. | 12.203 | 3,357,383 | 0.19 | 12.177 | 12.287 | 11,13-Dimethyl-12-tetradecen-1-ol acetate | C18H34O2 |
| 7. | 12.38 | 2,604,406 | 0.15 | 12.323 | 12.412 | D-Amygdalin | C20H27NO11 |
| 8. | 12.476 | 2,953,674 | 0.17 | 12.455 | 12.515 | 2(4H)-Benzofuranone, 5,6,7,7a-tetrahydro-4,4,7a-trimethyl-, (R)- | C11H16O2 |
| 9. | 12.997 | 17,723,162 | 1.04 | 12.944 | 13.21 | Melezitose | C18H32O16 |
| 10. | 13.71 | 1,508,824 | 0.08 | 13.669 | 13.742 | Desulphosinigrin | C10H17NO6S |
| 11. | 13.771 | 408,072 | 0.02 | 13.745 | 13.807 | Acetamide, N-methyl-N-[4-(3-hydroxypyrrolidinyl)-2-butynyl]- | C11H18N2O2 |
| 12. | 13.88 | 9,220,960 | 0.54 | 13.835 | 14.015 | 6-Hydroxy-4,4,7a-trimethyl-5,6,7,7a-tetrahydrobenzofuran-2(4H)-one | C11H16O3 |
| 13. | 14.146 | 27,497,929 | 1.61 | 14.065 | 14.236 | Neophytadiene | C20H38 |
| 14. | 14.37 | 1.16 × 109 | 68.16 | 14.236 | 14.43 | Carvacrol, TBDMS derivative | C12H28O3Si |
| 15. | 14.722 | 9,284,891 | 0.54 | 14.704 | 14.747 | 1,4-Dimethyl-4,5,7,8-tetrahydroimidazo-[4,5-E]-1,4-diazepin-5,8(6H)-dione | C8H10N4O2 |
| 16. | 14.788 | 69,653,296 | 4.09 | 14.747 | 14.92 | n-Hexadecanoic acid | C16H32O2 |
| 17. | 14.945 | 13,902,994 | 0.82 | 14.92 | 15.104 | Isolongifolan-8-ol | C15H26O |
| 18. | 15.576 | 72,556,845 | 4.26 | 15.469 | 15.662 | Acetamide, N-(6-acetylaminobenzothiazol-2-yl)-2-(adamantan-1-yl)- | C21H25N3O2S |
| 19. | 15.701 | 24,063,170 | 1.41 | 15.671 | 15.715 | 9,12-Octadecadienoic acid (Z,Z)- | C18H32O2 |
| 20. | 15.742 | 68,250,329 | 4.01 | 15.715 | 15.8 | 9,12,15-Octadecatrienoic acid, (Z,Z,Z)- | C18H30O2 |
| 21. | 15.742 | 68,250,329 | 4.01 | 15.715 | 15.8 | 9,12,15-Octadecatrienoic acid, (Z,Z,Z)- | C18H30O2 |
| 22. | 15.86 | 9,073,753 | 0.53 | 15.826 | 15.879 | Isolongifolol | C15H26O |
| 23. | 15.901 | 11,806,762 | 0.69 | 15.88 | 15.959 | 8,11,14-Eicosatrienoic acid, (Z,Z,Z)- | C20H34O2 |
| 24. | 36.804 | 38,093,502 | 2.23 | 36.502 | 37.082 | Oplopanone | C15H26O2 |
| 25. | 47.026 | 1.1 × 108 | 6.47 | 46.541 | 47.405 | 2-Myristynoyl-glycinamide | C16H28N2O2 |
| Peak | Rt | Area | Area% | Start Time | End Time | Name | MF |
|---|---|---|---|---|---|---|---|
| 1. | 9.013 | 3,655,431 | 2.00 | 8.96 | 9.06 | Linalool | C10H18O |
| 2. | 9.534 | 18,165,059 | 0.74 | 9.38 | 9.57 | (+)-2-Bornanone | C10H16O |
| 3. | 9.767 | 29,619,457 | 1.21 | 9.63 | 9.79 | Benzenepropanal | C9H10O |
| 4. | 9.833 | 33,633,250 | 1.38 | 9.79 | 9.92 | Terpinen-4-ol | C10H18O |
| 5. | 9.96 | 72,023,570 | 2.95 | 9.92 | 10.11 | α-Terpineol | C10H18O |
| 6. | 10.149 | 4,467,204 | 0.18 | 10.11 | 10.21 | Fenchyl acetate | C12H20O2 |
| 7. | 10.412 | 82,806,250 | 3.41 | 10.27 | 10.6 | 2-Butanone, 4-phenyl- | C10H12O |
| 8. | 11.369 | 3,978,718 | 0.16 | 11.33 | 11.39 | α-ylangene | C15H24 |
| 9. | 11.483 | 3,739,821 | 0.15 | 11.45 | 11.5 | Hexanoic acid, 2-phenylethyl ester | C14H20O2 |
| 10. | 11.749 | 15,118,871 | 0.62 | 11.72 | 11.76 | Caryophyllene | C15H24 |
| 11. | 12.396 | 6,313,397 | 0.25 | 12.38 | 12.43 | trans-Calamenene | C15H22 |
| 12. | 12.682 | 26,553,966 | 1.09 | 12.62 | 12.77 | 4-(1-Hydroxyallyl)-2-methoxyphenol | C10H12O3 |
| 13. | 13.24 | 16,615,872 | 0.68 | 13.21 | 13.26 | α-acorenol | C15H26O |
| 14. | 13.278 | 9,739,002 | 0.39 | 13.26 | 13.31 | 7-epi-cis-sesquisabinene hydrate | C15H26O |
| 15. | 13.33 | 10,716,837 | 0.44 | 13.304 | 13.35 | 5β,7βH,10α-Eudesm-11-en-1α-ol | C15H26O |
| 16. | 13.516 | 11,003,305 | 0.45 | 13.48 | 13.54 | Bergamotol, Z-α-trans- | C15H24O |
| 17. | 13.697 | 14,791,653 | 0.60 | 13.58 | 13.77 | Estra-1,3,5(10)-trien-17β-ol | C18H24O |
| 18. | 14.793 | 1.63 × 108 | 6.69 | 14.92 | 15.01 | Hexadecanoic acid, ethyl ester | C18H36O2 |
| 19. | 15.294 | 6,384,426 | 0.26 | 15.16 | 15.36 | Cyclobarbital | C12H16N2O3 |
| 20. | 15.659 | 6,458,244 | 0.26 | 15.62 | 15.68 | Caprolactam | C6H11NO |
| 21. | 15.718 | 33,806,533 | 1.38 | 15.68 | 15.73 | 9,12-Octadecadienoic acid (Z,Z)- | C18H32O2 |
| 22. | 15.749 | 54,437,978 | 2.23 | 15.73 | 15.83 | cis-Vaccenic acid | C18H34O2 |
| 23. | 15.872 | 53,969,434 | 2.21 | 15.83 | 15.96 | Octadecanoic acid | C18H36O2 |
| 24. | 17.04 | 5.93 × 108 | 24.35 | 17.22 | 17.31 | Isolongifolol | C15H26O |
| 25. | 17.36 | 1.04 × 108 | 4.27 | 17.51 | 17.62 | Benzenepropanol, α-methyl-β-nitro-, (R*,R*)-(.+-.)- | C10H13NO3 |
| 26. | 17.668 | 27,739,988 | 1.13 | 17.62 | 17.71 | 2-Myristynoyl-glycinamide | C16H28N2O2 |
| 27. | 18.20 | 2.55 × 108 | 10.47 | 17.88 | 18.26 | 3-Heptanone, 5-hydroxy-1,7-diphenyl- | C19H22O2 |
| 28. | 19.138 | 10,194,358 | 0.418 | 19.07 | 19.15 | Oplopanone | C15H26O2 |
| 29. | 19.665 | 34,480,690 | 1.416 | 19.4 | 19.77 | Docosanoic acid | C22H44O2 |
| 30. | 20.76 | 41,833,810 | 1.718 | 20.59 | 21.04 | Carvacrol, TBDMS derivative | C16H28OSi |
| 31. | 21.406 | 1.37 × 108 | 5.62 | 21.04 | 21.61 | n-Hexadecanoic acid | C16H32O2 |
| 32. | 22.498 | 4.56 × 108 | 18.72 | 22.17 | 23.09 | (3E,10Z)-Oxacyclotrideca-3,10-diene-2,7-dione | C12H16O3 |
| 33. | 23.544 | 30,112,102 | 1.23 | 23.33 | 23.79 | (E)-Labda-8(17),12-diene-15,16-dial | C20H30O2 |
| 34. | 25.602 | 19,423,053 | 0.79 | 25.47 | 25.77 | Z,Z-2,5-Pentadecadien-1-ol | C15H28O |
| Bacterium/Dilution | Positive Control | 400 μg/mL | 200 μg/mL | 100 μg/mL | 50 μg/mL | MIC (μg/mL) | MBC (μg/mL) |
|---|---|---|---|---|---|---|---|
| S. aureus (MTCC 29213) | 23 ± 1.67 | 18 ± 2.67 | 16 ± 1.97 | 13 ± 0.37 | 11 ± 0.29 | 12.5 ± 0.00 | 25 ± 0.00 |
| S. epidermidis (MTCC 12228) | 23 ± 1.17 | 22 ± 1.94 | 17 ± 1.37 | 15.4 ± 1.96 | 11 ± 1.73 | 6.25 ± 0.00 | 12.50 ± 0.00 |
| E. faecalis (ATCC-29212) | 25 ± 0.46 | 17 ± 1.38 | 15 ± 1.95 | 13 ± 1.14 | 9 ± 1.32 | 25 ± 0.00 | 50 ± 0.00 |
| E. coli (ATCC 25922) | 26 ± 2.17 | 23 ± 2.52 | 21 ± 1.23 | 17 ± 1.43 | 11 ± 2.34 | 9.357 ± 4.14 | 12.5 ± 0.00 |
| K. pneumoniae (MTCC 13883) | 27 ± 1.38 | 21 ± 1.42 | 18 ± 2.84 | 16 ± 1.36 | 15 ± 1.14 | 9.357 ± 4.14 | 12.5 ± 0.00 |
| P. aeruginosa (MTCC 27853) | 27 ± 2.28 | 23 ± 0.35 | 20 ± 1.34 | 18 ± 1.26 | 14 ± 2.24 | 4.68 ± 2.21 | 6.25 ± 0.00 |
| Bacterium/Dilution | Positive Control | 400 μg/mL | 200 μg/mL | 100 μg/mL | 50 μg/mL | MIC (μg/mL) | MBC (μg/mL) |
|---|---|---|---|---|---|---|---|
| S. aureus (MTCC 29213) | 23 ± 1.67 | 19 ± 2.61 | 15 ± 0.33 | 12 ± 2.35 | 10 ± 1.65 | 12.50 ± 0.00 | 50.00 ± 0.00 |
| S. epidermidis (MTCC 12228) | 23 ± 1.17 | 22 ± 0.92 | 18 ± 1.69 | 14 ± 1.96 | 11 ± 1.71 | 6.25 ± 0.00 | 12.50 ± 0.00 |
| E. faecalis (ATCC-29212) | 25 ± 0.46 | 23 ± 1.32 | 20 ± 1.92 | 15 ± 0.74 | 13 ± 0.33 | 9.37 ± 4.41 | 12.25 ± 0.00 |
| E. coli (ATCC 25922) | 26 ± 2.17 | 25 ± 0.83 | 23 ± 1.26 | 19 ± 1.45 | 16 ± 0.36 | 4.68 ± 2.21 | 6.25 ± 0.00 |
| K. pneumoniae (MTCC 13883) | 27 ± 1.38 | 24 ± 3.97 | 21 ± 0.86 | 19 ± 1.89 | 14 ± 0.21 | 4.68 ± 2.21 | 6.25 ± 0.00 |
| P. aeruginosa (MTCC 27853) | 27 ± 2.28 | 21 ± 2.51 | 20 ± 1.33 | 17 ± 2.36 | 15 ± 1.69 | 3.12 ± 0.00 | 6.25 ± 0.00 |
Disclaimer/Publisher’s Note: The statements, opinions and data contained in all publications are solely those of the individual author(s) and contributor(s) and not of MDPI and/or the editor(s). MDPI and/or the editor(s) disclaim responsibility for any injury to people or property resulting from any ideas, methods, instructions or products referred to in the content. |
© 2024 by the authors. Licensee MDPI, Basel, Switzerland. This article is an open access article distributed under the terms and conditions of the Creative Commons Attribution (CC BY) license (https://creativecommons.org/licenses/by/4.0/).
Share and Cite
Binobead, M.A.; Aziz, I.M. Chemical Composition and Biological Properties of Achillea cucullata Extracts from Leaves and Flowers. Separations 2024, 11, 236. https://doi.org/10.3390/separations11080236
Binobead MA, Aziz IM. Chemical Composition and Biological Properties of Achillea cucullata Extracts from Leaves and Flowers. Separations. 2024; 11(8):236. https://doi.org/10.3390/separations11080236
Chicago/Turabian StyleBinobead, Manal Abdulaziz, and Ibrahim M. Aziz. 2024. "Chemical Composition and Biological Properties of Achillea cucullata Extracts from Leaves and Flowers" Separations 11, no. 8: 236. https://doi.org/10.3390/separations11080236
APA StyleBinobead, M. A., & Aziz, I. M. (2024). Chemical Composition and Biological Properties of Achillea cucullata Extracts from Leaves and Flowers. Separations, 11(8), 236. https://doi.org/10.3390/separations11080236

