Development and Validation of HPLC-FLD Analysis of Perampanel in MEPS-Processed Rat Plasma Sample
Abstract
1. Introduction
2. Materials and Methods
2.1. Chemicals
2.2. Drug Solutions
2.3. Working Solutions
2.4. Chromatographic Conditions
Mobile Phase
2.5. Plasma Samples
Sample Processing
2.6. Bioanalytical Method Validation
2.6.1. Specificity and Selectivity
2.6.2. Recovery
2.6.3. Linearity
2.6.4. Accuracy and Precision
2.6.5. Stability
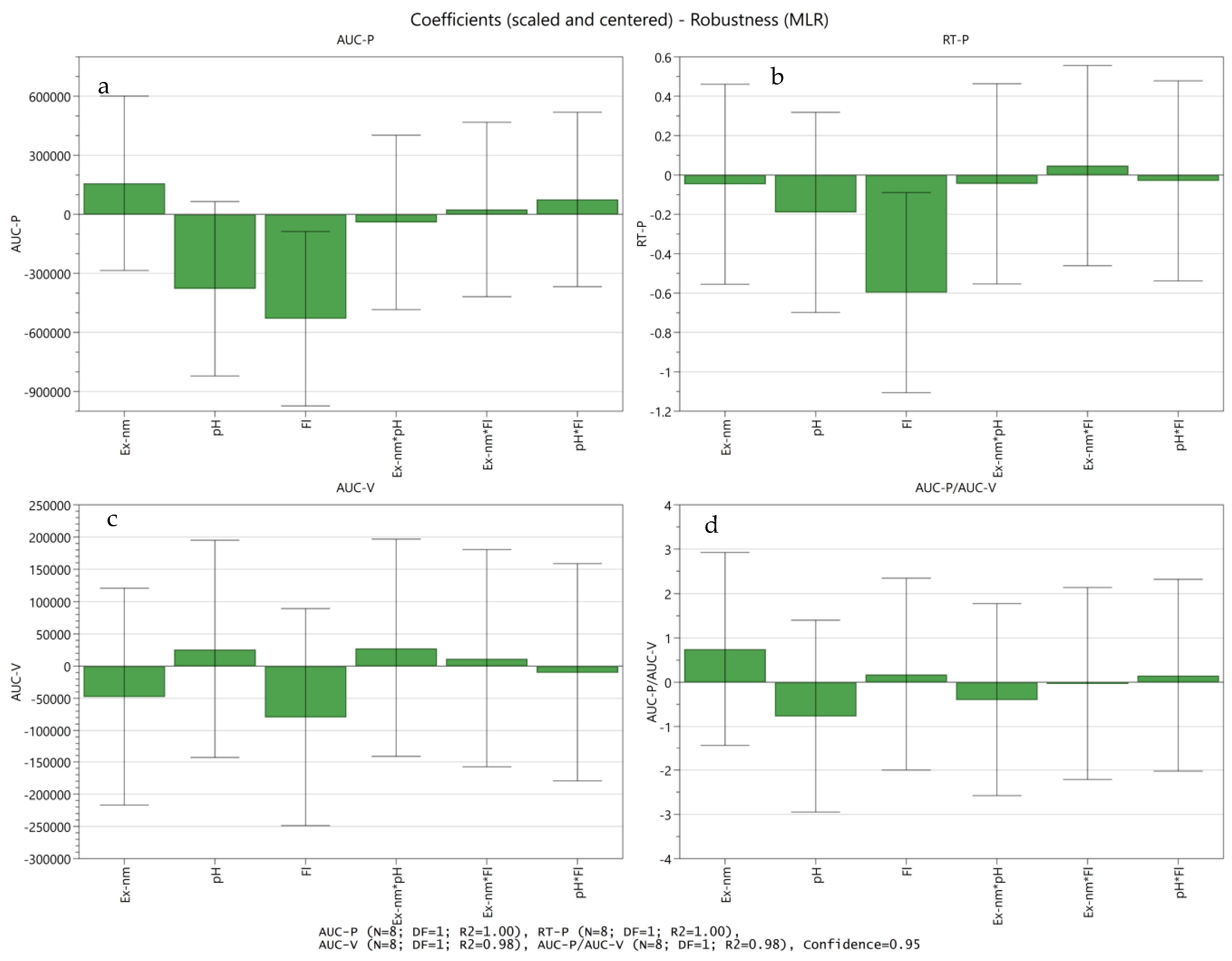
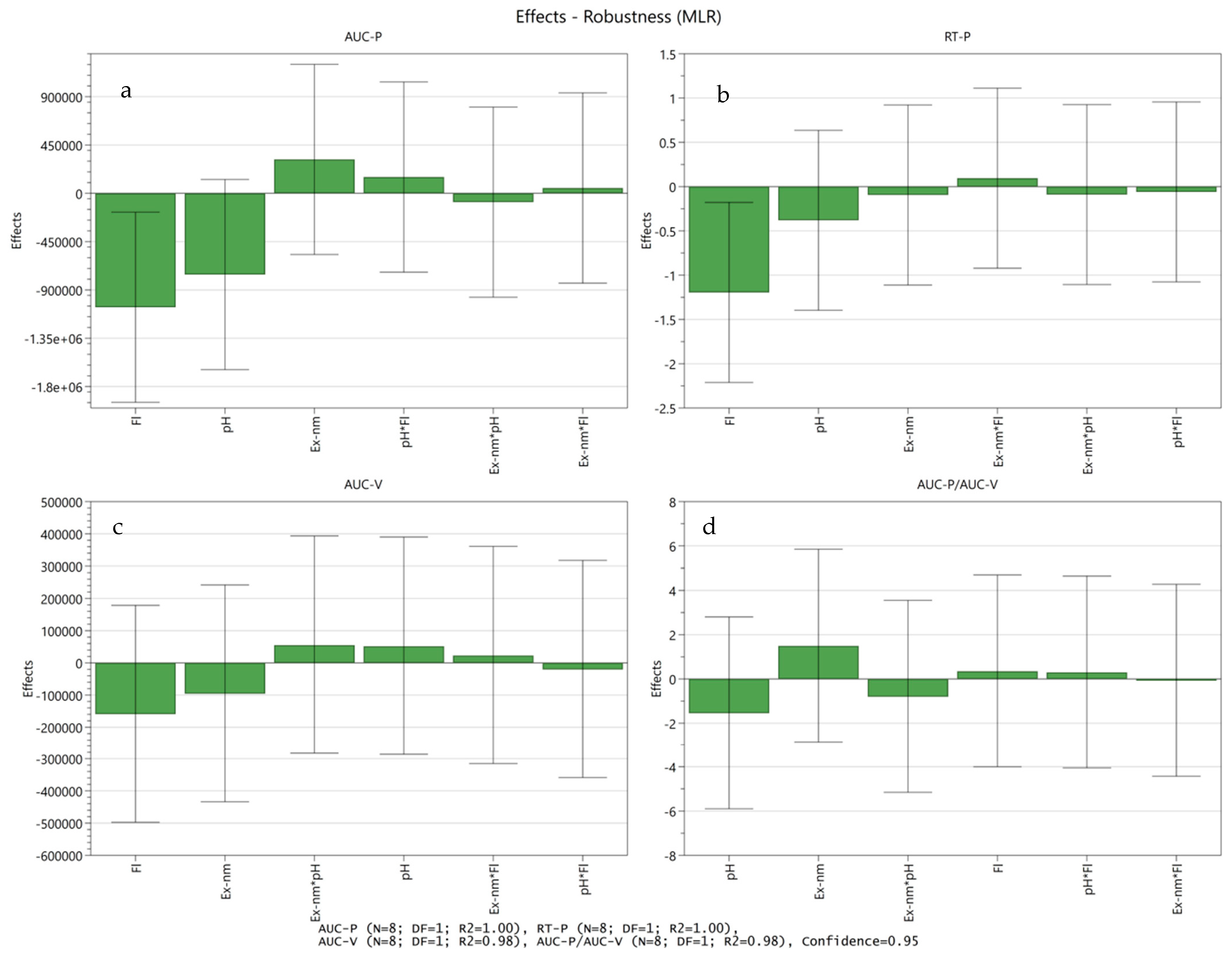
2.6.6. Robustness
3. Results and Discussion
3.1. Separation and Specificity
3.2. Linearity
3.3. Precision and Accuracy
3.4. Stability of Spiked Plasma Samples
3.5. Freeze–Thaw Stability
3.6. Recovery Studies
3.7. Relative Recovery
| Nominal Conc. (ng/mL) | AUC of Perampanel in Spiked Sample | Mean Peak Area | AUC of Perampanel in Aqueous Sample | Mean Peak Area | % Recovery |
|---|---|---|---|---|---|
| 7.5 | 254,154 | 249,330 | 292,275 | 305,730 | 81.6 |
| 278,421 | 334,108 | ||||
| 215,415 | 290,808 | ||||
| 150 | 7,125,415 | 7,052,809 | 9,263,035 | 9,386,870 | 75.1 |
| 7,251,489 | 9,064,365 | ||||
| 6,781,524 | 9,833,209 | ||||
| 225 | 13,541,549 | 12,690,873 | 14,512,457 | 14,382,376 | 88.2 |
| 12,426,515 | 14,789,545 | ||||
| 12,104,554 | 13,845,125 |
3.8. Robustness of Method
3.9. Advantages over Other Reported Methods
- (1)
- In processing of samples, a small volume of plasma is required.
- (2)
- In MEPS, the processed samples are clean with negligible interfering components, which enhance the column life and exhibit better chromatography.
- (3)
- The sensitivity of the method is enhanced as compared with the other reported HPLC-UV and HPLC-FLD methods.
- (4)
- The present method can be successfully utilized for the analysis of perampanel (as low as 5% of Cmax) following the administration of 2 mg or higher, which provides Cmax in the range of 60.7 ng/mL to 335.7 ng/mL.
- (5)
- The intrinsic fluorescence of drugs requires less injection volume (2 µL).
- (6)
- Lastly, the method can be explored for the analysis of plasma samples for animal studies.

| Method | Chromatographic Conditions/Type of Matrix (Volume) | LOD/LOQ (ng/mL) | Linearity (ng/mL) | Weakness of Method | Strength of Method/Application | Ref. |
|---|---|---|---|---|---|---|
| Present method (HPLC-FLD, Ex/Em λ; 285/430 nm) | Rat plasma (50 µL) | 1/3.75 | 3.75–300 | - | The LOQ of 3.75 ng/mL was achieved using low sample volume (only 50 µL), which increases the possibility of collecting a greater number of samples in DMPK/BA studies of PER in a span of 24 h. This LOQ is achieved using expensive LC-MS/MS method [15,16,17,18,19]. Diluted plasma samples processed using a MEPS-equipped syringe result in clean samples. Low sample volume of 2 µL was injected, which increases the column life. These are advantages over a conventional HPLC-UV and HPLC-FLD detector | - |
| HPLC-UV (300 nm) | Gradient elution using Waters symmetry C18 (75 × 4.6 mm, 3.5 µm column)/human plasma (1 mL) | 25/50 | 75–1500 | Sample volume 1 mL required to process | TDM; clinical applications | [3] |
| HPLC-/FLD (Ex/Em λ; 290/430 nm) | 1/5 | 5–1500 | ||||
| HPLC-UV (320 nm) | Two reverse-phase Chromolith performance column, 100 × 4.6 mm internal diameter, RP-18e column/human plasma (200 µL) | 10/25 | 25–1000 | Requires two reverse-phase columns together | TDM | [4] |
| HPLC-PDA (perampanel at 320 nm/Entacapone at 305 nm) | Gradient elution using a LiChroCART® Purospher Star-C18 column (55 × 4 mm; 3 μm particle size)/human plasma (200 µL) | -/30 | 30–4500 | LLE processing time | Clinical applications | [5] |
| HPLC-UV (254 nm) | C18 XR ODS Shim pack analytical column (4.6 mm I.D. × 50 mm, particle size: 2.2 μm)/human plasma (200 µL) | 1.25/2.5 | 2.5–1000 | Extraction cartridges and evaporation at 70 °C, long processing time | Pharmacokinetics studies; clinical applications | [6] |
| HPLC-UV (320 nm) | Two reverse-phase Chromolith performance column, 100 × 4.6 mm internal diameter, RP-18e column/human plasma (200 µL), glass paper filter discs | 10/25 | 25–1000 | Use of serially connected two reverse-phase Chromolith column | Pharmacokinetics studies; clinical applications | [7] |
| HPLC-FLD (Ex/Em λ; 290/430 nm) | Chromatographic instrumentation not mentioned in text/human plasma (1 mL) | 0.25/25 | 0.25–1000 | Minor analytical details not available | Pharmacokinetics studies; clinical applications | [8] |
| HPLC-FLD (Ex/Em λ; 290/430 nm) | YMC Pack Pro C18 column (150 × 4.6 mm i.d., 5 μm)/human plasma (1 mL) | -/1 | 1.0–500 | Sample volume 1 mL required to process/LLE, long processing time | Short run time (8 min.), pharmacokinetics studies; clinical applications | [9] |
| HPLC-FLD (Ex/Em λ; 290/430 nm) | Kinetex PFP (100 × 2.6 mm, 4.6 µm) column/human plasma (250 µL) | 10/20 | 20–1000 | - | 0.8 mL/min flow rate, clinical applications. | [10] |
| LC-MS/MS | YMC-Pack Pro C8 column (50 mm × 3.0 mm i.d.)/human plasma (250 µL) | 0.25/1 | 0.25–200 | Requires a synthetic internal standard (ER-167615) | Flowrate 0.2 mL/min, short run time (5 min), clinical applications | [14] |
| LC-MS/MS | Poroshell 120 EC-C18 column (50 × 4.6 mm, 2.7 µm particle)/human plasma (50 µL) | -/2.5 | 2.5–2800 | Protein precipitation | Flowrate 0.25 mL/min, clinical applications | [15] |
| LC-MS/MS | Agela Venusil ASB C8 column (3 µm, 150 Å, 50 × 2.1 mm)/human plasma (50 µL) | -/0.5 | - | Requires Amicon ultra 30 K, centrifugal filters for clean-up process | Flowrate 0.2 mL/min, short run time (5 min), clinical applications | [16] |
| Saliva (50 µL) | -/1 | |||||
| VAMS-LC-MS/MS | Phenomenex C18 column (Onyx, 100 × 3 mm i.d.)/human plasma or saliva (30 µL) | 0.05/0.5 | 0.5–300 | VAMS Technique, long sample processing | Flowrate 0.9 mL/min, clinical applications | [18] |
| LC-MS/MS | Serum (10 µL) | -/7.4 | 7.4–1881 | - | Short run time (4 min), clinical applications | [17] |
| UHPLC-QTOF-MS | Acquity UPLC HSS Cyano column (Waters, USA)(100 mm × 2.1 mm, 1.8 µm)/rat plasma | -/0.4 | 0.4–400 | - | Short run time (4 min), clinical applications | [19] |
| Capillary electrophoresis (Ex240-400 nm, Em 495 nm) | CE method compared with LC-MS/MS method using Kinetex Biphenyl HPLC column (2.6 µm, 50 × 2.1 mm) human serum (25 µL) | 2.9/9.5 | 10–1000 | - | Short run time (4 min), clinical applications | [20] |
4. Conclusions
Author Contributions
Funding
Data Availability Statement
Acknowledgments
Conflicts of Interest
Abbreviations
| CC | Calibration curve |
| FLD | Fluorescence detector |
| HQC | High-quality control sample |
| IS | Internal standard |
| LLOQ | Lower limit of quantification |
| LOD | Limit of detection |
| LOQ | Limit of quantification |
| LQC | Low quality control sample |
| MQC | Medium quality control sample |
| %RE | Percent relative error |
| RSD | Relative standard deviation |
| TEA | Triethyl amine |
| UV | Ultraviolet |
References
- Lee, S.A.; Jeon, J.Y.; Kim, H.W. Effect of perampanel on aggression in patients with refractory focal epilepsy: A 6-month longitudinal study. Epilepsy Behav. 2020, 102, 106658. [Google Scholar] [CrossRef] [PubMed]
- Patsalos, P.N. The clinical pharmacology profile of the new antiepileptic drug perampanel: A novel noncompetitive AMPA receptor antagonist. Epilepsia 2015, 56, 12–27. [Google Scholar] [CrossRef] [PubMed]
- Charlier, B.; Coglianese, A.; Operto, F.F.; De Rosa, F.; Mensitieri, F.; Coppola, G.; Filippelli, A.; Dal Piaz, F.; Izzo, V. Perampanel dosage in plasma samples: Development and validation of a novel HPLC method with combined UV-Fluorescence detection. J. Pharm. Biomed. Anal. 2021, 204, 114252. [Google Scholar] [CrossRef] [PubMed]
- Franco, V.; Marchiselli, R.; Fattore, C.; Tartara, E.; De Sarro, G.; Russo, E.; Perucca, E. Development and Validation of an HPLC-UV Assay for the Therapeutic Monitoring of the New Antiepileptic Drug Perampanel in Human Plasma. Ther. Drug Monit. 2016, 38, 744–750. [Google Scholar] [CrossRef] [PubMed]
- Sabenca, R.; Bicker, J.; Silva, R.; Carona, A.; Silva, A.; Santana, I.; Sales, F.; Falcao, A.; Fortuna, A. Development and application of an HPLC-DAD technique for human plasma concentration monitoring of perampanel and lamotrigine in drug-resistant epileptic patients. J. Chromatogr. B Anal. Technol. Biomed. Life Sci. 2021, 1162, 122491. [Google Scholar] [CrossRef]
- Ohkubo, S.; Akamine, Y.; Ohkubo, T.; Kikuchi, Y.; Miura, M. Quantification of the Plasma Concentrations of Perampanel Using High-Performance Liquid Chromatography and Effects of the CYP3A4*1G Polymorphism in Japanese Patients. J. Chromatogr. Sci. 2020, 58, 915–921. [Google Scholar] [CrossRef] [PubMed]
- Franco, V.; Baruffi, K.; Marchiselli, R.; Crema, F.; Fattore, C.; Romigi, A.; De Giorgis, V.; Tartara, E.; Elia, M.; D’Avolio, A.; et al. Determination of Perampanel in Dried Plasma Spots: Applicability to Therapeutic Drug Monitoring. Ther. Drug Monit. 2020, 42, 309–314. [Google Scholar] [CrossRef] [PubMed]
- Gidal, B.E.; Ferry, J.; Majid, O.; Hussein, Z. Concentration-effect relationships with perampanel in patients with pharmacoresistant partial-onset seizures. Epilepsia 2013, 54, 1490–1497. [Google Scholar] [CrossRef]
- Mano, Y.; Takenaka, O.; Kusano, K. HPLC with fluorescence detection assay of perampanel, a novel AMPA receptor antagonist, in human plasma for clinical pharmacokinetic studies. Biomed. Chromatogr. BMC 2015, 29, 1589–1593. [Google Scholar] [CrossRef]
- Mohamed, S.; Candela, C.; Riva, R.; Contin, M. Simple and rapid validated HPLC-fluorescence determination of perampanel in the plasma of patients with epilepsy. Pract. Lab. Med. 2018, 10, 15–20. [Google Scholar] [CrossRef]
- Liu, P.; An, J.; Wu, H. Evaluation of the Effect of Eslicarbazepine Acetate on the Pharmacokinetics of Perampanel in Rats by Isotope-Dilution-UHPLC-MS/MS. Drug Des. Dev. Ther. 2022, 16, 4091–4099. [Google Scholar] [CrossRef] [PubMed]
- Zhao, T.; Yu, L.H.; Zhang, H.L.; Yu, J.; Feng, J.; Li, H.J.; Sun, Y. Development and application of a novel LC-MS/MS method for human plasma concentration monitoring of perampanel in pediatric epilepsy patients. Biomed. Chromatogr. BMC 2022, 36, e5446. [Google Scholar] [CrossRef] [PubMed]
- Zhang, Y.F.; Yu, Y.; Zhong, M.K.; Wu, X.Y.; Ma, C.L. A high-performance liquid chromatography-tandem mass spectrometry method for quantification of perampanel in human plasma: Effect of concomitant anti-seizure medications on perampanel concentration in patients with epilepsy. J. Pharm. Biomed. Anal. 2023, 223, 115155. [Google Scholar] [CrossRef] [PubMed]
- Mano, Y.; Takenaka, O.; Kusano, K. High-performance liquid chromatography-tandem mass spectrometry method for the determination of perampanel, a novel alpha-amino-3-hydroxy-5-methyl-4-isoxazolepropionic acid receptor antagonist in human plasma. J. Pharm. Biomed. Anal. 2015, 107, 56–62. [Google Scholar] [CrossRef] [PubMed]
- de Grazia, U.; D’Urso, A.; Ranzato, F.; De Riva, V.; Contarato, G.; Billo, G.; Perini, F.; Galloni, E. A Liquid Chromatography-Mass Spectrometry Assay for Determination of Perampanel and Concomitant Antiepileptic Drugs in the Plasma of Patients With Epilepsy Compared With a Fluorescent HPLC Assay. Ther. Drug Monit. 2018, 40, 477–485. [Google Scholar] [CrossRef] [PubMed]
- Kim, D.Y.; Moon, J.; Shin, Y.W.; Lee, S.T.; Jung, K.H.; Park, K.I.; Jung, K.Y.; Kim, M.; Lee, S.; Yu, K.S.; et al. Usefulness of saliva for perampanel therapeutic drug monitoring. Epilepsia 2020, 61, 1120–1128. [Google Scholar] [CrossRef] [PubMed]
- Chong, E.; Oh, H.; Kim, D.J.; Kim, S.M.; Lee, S.Y. Quantification of Gabapentin, Lacosamide, Perampanel, Pregabalin, Rufinamide, and Vigabatrin in Serum Using Liquid Chromatography-Tandem Mass Spectrometry. Methods Mol. Biol. 2024, 2737, 25–32. [Google Scholar] [CrossRef]
- Palmisani, M.; Tartara, E.; Johannessen Landmark, C.; Crema, F.; De Giorgis, V.; Varesio, C.; Fattore, C.; Rota, P.; Russo, E.; Franco, V. Therapeutic Salivary Monitoring of Perampanel in Patients with Epilepsy Using a Volumetric Absorptive Microsampling Technique. Pharmaceutics 2023, 15, 2030. [Google Scholar] [CrossRef]
- Paul, D.; Allakonda, L.; Sahu, A.; Surendran, S.; Satheeshkumar, N. Pharmacokinetics and brain uptake study of novel AMPA receptor antagonist perampanel in SD rats using a validated UHPLC-QTOF-MS method. J. Pharm. Biomed. Anal. 2018, 149, 234–241. [Google Scholar] [CrossRef]
- Tuma, P.; Bursova, M.; Sommerova, B.; Horsley, R.; Cabala, R.; Hlozek, T. Novel electrophoretic acetonitrile-based stacking for sensitive monitoring of the antiepileptic drug perampanel in human serum. J. Pharm. Biomed. Anal. 2018, 160, 368–373. [Google Scholar] [CrossRef]
- Tommasini, M.; Lucotti, A.; Stefani, L.; Trusso, S.; Ossi, P.M. SERS Detection of the Anti-Epileptic Drug Perampanel in Human Saliva. Molecules 2023, 28, 4309. [Google Scholar] [CrossRef]
- USFDA. Guidance for Industry: Bioanalytical Method Validation, Centre for Drug Evaluation and Research. 2018. Available online: https://www.fda.gov/files/drugs/published/Bioanalytical-Method-Validation-Guidance-for-Industry.pdf (accessed on 1 June 2019).
- Dejaegher, B.; Heyden, Y.V. Ruggedness and robustness testing. J. Chromatogr. A 2007, 1158, 138–157. [Google Scholar] [CrossRef]
- Dawud, E.R.; Shakya, A.K. HPLC-PDA analysis of ACE-inhibitors, hydrochlorothiazide and indapamide utilizing design of experiments. Arab. J. Chem. 2019, 12, 718–728. [Google Scholar] [CrossRef]
- Fricke, J.; Pohlmann, K.; Jonescheit, N.A.; Ellert, A.; Joksch, B.; Luttmann, R. Designing a fully automated multi-bioreactor plant for fast DoE optimization of pharmaceutical protein production. Biotechnol. J. 2013, 8, 738–747. [Google Scholar] [CrossRef]
- Eriksson, L. Design of Experiments: Principles and Applications; Umetrics Academy: Umeå, Sweden, 2008. [Google Scholar]




| SN. | Nominal Concentration (ng/mL) | Area Count of Perampanel | Area Count of IS | Area Ratio | Concentration Found (ng/mL) | Bias | Precision | |
|---|---|---|---|---|---|---|---|---|
| Mean | SD | % | % | |||||
| 1 | 3.75 | 118,008 | 1,184,678 | 0.1078 | 3.30 | 0.30 | −12.27 | 9.09 |
| 2 | 7.5 | 340,613 | 1,222,874 | 0.2794 | 7.30 | 0.60 | −2.57 | 8.22 |
| 3 | 15 | 693,368 | 1,104,327 | 0.6273 | 15.33 | 0.81 | 2.33 | 5.27 |
| 4 | 30 | 1,577,831 | 1,260,301 | 1.2592 | 29.97 | 1.96 | −0.03 | 6.53 |
| 5 | 60 | 2,906,440 | 1,129,887 | 2.5783 | 60.50 | 2.65 | 0.83 | 4.38 |
| 7 | 120 | 6,043,954 | 1,159,437 | 5.2098 | 121.37 | 2.79 | 1.10 | 2.30 |
| 8 | 225 | 10,786,796 | 1,145,986 | 9.3763 | 217.63 | 10.78 | −3.27 | 4.95 |
| 9 | 300 | 15,973,405 | 1,227,733 | 13.0217 | 302.13 | 9.77 | 0.73 | 3.23 |
| Sample (ng/mL) | Concentration Found | Precision | Accuracy | Bias (%) | |
|---|---|---|---|---|---|
| Mean | SD | % | % | % | |
| Day1 | |||||
| LQC (7.5) | 7.46 | 0.41 | 5.51 | 99.40 | −0.60 |
| MQC (150) | 153.67 | 16.45 | 10.71 | 102.45 | 2.45 |
| HQC (225) | 240.86 | 25.66 | 10.65 | 107.05 | 7.05 |
| Day2 | |||||
| LQC (7.5) | 7.47 | 0.4 | 5.34 | 99.62 | −0.38 |
| MQC (150) | 155.63 | 13.56 | 8.71 | 103.75 | 3.75 |
| HQC (225) | 236.17 | 12.19 | 5.16 | 104.96 | 4.96 |
| Day3 | |||||
| LQC (7.5) | 7.29 | 0.39 | 5.39 | 97.24 | −2.76 |
| MQC (150) | 161.83 | 13.8 | 8.53 | 107.89 | 7.89 |
| HQC (225) | 241.25 | 17.54 | 7.27 | 107.22 | 7.22 |
| SN | (Time, h) | Mean (Area) | SD | RSD % | % Recovery * | Bias (%) |
|---|---|---|---|---|---|---|
| Perampanel (LQC, 7.5 ng/mL) | ||||||
| 1 | 0 | 272,814.7 | 5747.3 | 2.11 | 100.0 | 0.0 |
| 2 | 4 | 269,135.3 | 5239.0 | 1.95 | 98.7 | −1.3 |
| 3 | 8 | 271,203.3 | 7383.4 | 2.72 | 99.4 | −0.6 |
| Perampanel (HQC, 225 ng/mL) | ||||||
| 1 | 0 | 14,002,961 | 504,544.5 | 3.60 | 100.0 | 0.0 |
| 2 | 4 | 13,918,127.7 | 327,454.7 | 2.35 | 99.4 | −0.6 |
| 3 | 8 | 13,860,836.3 | 506,346.8 | 3.65 | 99.0 | −1.0 |
| Valsartan (IS, 250 ng/mL) | ||||||
| 1 | 0 | 1,373,928.0 | 77,441.4 | 5.64 | 100.0 | 0.0 |
| 2 | 4 | 1,367,948.3 | 48,899.9 | 3.57 | 99.6 | −0.4 |
| 3 | 8 | 1,341,327.0 | 57,672.8 | 4.30 | 97.6 | −2.4 |
| Day | Nominal Concentration (LQC, 7.5 ng/mL) | Nominal Concentration (HQC, 225 ng/mL) | ||
|---|---|---|---|---|
| Average Concentration Found (ng/mL) | % Recovery | Average Concentration Found (ng/mL) | % Recovery | |
| 1 | 7.72 | 102.91 | 221.12 | 98.28 |
| 2 | 7.98 | 106.43 | 215.27 | 95.68 |
| 3 | 8.05 | 107.32 | 239.45 | 106.42 |
| 4 | 8.29 | 110.53 | 214.13 | 95.17 |
| 5 | 7.75 | 103.33 | 251.67 | 111.85 |
| 6 | 6.91 | 92.19 | 238.17 | 105.85 |
| 7 | 7.29 | 97.2 | 245.98 | 109.32 |
| Mean | 7.71 | 102.84 | 232.26 | 103.22 |
| SD (±) | 6.29 | 6.29 | 6.77 | 6.77 |
| RSD | 6.12 | 6.12 | 6.56 | 6.56 |
| Sample LQC | Concentration Found | Precision | Accuracy | Bias (%) | |
|---|---|---|---|---|---|
| FT Cycle | Mean | SD | % | % | % |
| Zero time | 7.41 | 0.27 | 3.6 | 98.8 | −1.2 |
| FT Cycle-I | 7.24 | 0.40 | 5.5 | 96.5 | −3.5 |
| FT Cycle-II | 7.05 | 0.89 | 12.7 | 94.0 | −6.0 |
| FT Cycle-III | 6.99 | 0.31 | 4.4 | 93.2 | −6.8 |
| Sample HQC | Mean | SD | Precision | Accuracy | Bias (%) |
| Zero time | 248.12 | 15.74 | 6.3 | 110.3 | 10.3 |
| FT Cycle-I | 228.91 | 18.65 | 8.1 | 101.7 | 1.7 |
| FT Cycle-II | 231.28 | 15.20 | 6.6 | 102.8 | 2.8 |
| FT Cycle-III | 233.11 | 1.69 | 0.7 | 103.6 | 3.6 |
| Nominal Concentration (ng/mL) | Mean Conc. Recovered (ng/mL) | SD | Precision (%) | Relative Recovery (%) |
|---|---|---|---|---|
| Day 1 | ||||
| 7.50 | 7.42 | 0.21 | 2.81 | 98.89 |
| 150.00 | 154.21 | 13.96 | 9.05 | 102.81 |
| 225.00 | 229.66 | 11.49 | 5.00 | 102.07 |
| Mean recovery | 101.26 | |||
| Day 2 | ||||
| 7.50 | 7.33 | 0.21 | 2.80 | 97.78 |
| 150.00 | 154.37 | 5.35 | 3.47 | 102.92 |
| 225.00 | 236.48 | 20.51 | 8.67 | 105.10 |
| Mean recovery | 101.93 | |||
| Day 3 | ||||
| 7.50 | 7.42 | 0.33 | 4.48 | 98.89 |
| 150.00 | 144.08 | 13.48 | 9.36 | 96.06 |
| 225.00 | 232.95 | 22.93 | 9.84 | 103.53 |
| Mean recovery | 99.49 | |||
| SN. | Factors | Response | ||||||||
|---|---|---|---|---|---|---|---|---|---|---|
| Ex λ (nm) | pH | Flow Rate (mL/min.) | AUC-P | AUC-V | RT-P | RT-V | TF-P | TF-V | ||
| 1 | 285 | 3.0 | 1.15 | 7,970,856 | 965592 | 7.70 | 9.77 | 1.05 | 1.07 | 8.25 |
| 2 | 290 | 3.0 | 1.15 | 8,389,145 | 764,744 | 7.68 | 9.76 | 1.05 | 1.03 | 10.97 |
| 3 | 285 | 3.5 | 1.15 | 7,214,936 | 956,058 | 7.55 | 9.97 | 1.05 | 1.04 | 7.55 |
| 4 | 290 | 3.5 | 1.15 | 7,329,742 | 919,054 | 7.19 | 9.87 | 1.06 | 1.05 | 7.98 |
| 5 | 285 | 3.0 | 1.35 | 6,778,935 | 777,202 | 6.55 | 8.31 | 1.06 | 0.97 | 8.72 |
| 6 | 290 | 3.0 | 1.35 | 7,156,018 | 675,402 | 6.56 | 8.32 | 1.05 | 1.01 | 10.6 |
| 7 | 285 | 3.5 | 1.35 | 6,186,015 | 779,715 | 6.12 | 8.4 | 1.06 | 1.04 | 7.93 |
| 8 | 290 | 3.5 | 1.35 | 6,538,541 | 735,322 | 6.11 | 8.38 | 1.06 | 0.95 | 8.89 |
| Mean | 7,195,524 | 821,636 | 6.93 | 9.1 | 1.05 | 1.02 | 8.86 | |||
| SD | 724,086 | 109,600 | 0.68 | 0.8 | 0.01 | 0.04 | 1.27 | |||
| % CV | 10.06 | 13.34 | 9.78 | 8.78 | 0.55 | 3.94 | 14.28 | |||
Disclaimer/Publisher’s Note: The statements, opinions and data contained in all publications are solely those of the individual author(s) and contributor(s) and not of MDPI and/or the editor(s). MDPI and/or the editor(s) disclaim responsibility for any injury to people or property resulting from any ideas, methods, instructions or products referred to in the content. |
© 2024 by the authors. Licensee MDPI, Basel, Switzerland. This article is an open access article distributed under the terms and conditions of the Creative Commons Attribution (CC BY) license (https://creativecommons.org/licenses/by/4.0/).
Share and Cite
Abu-shark, A.N.; Shakya, A.K.; Al-Adwan, S.M.; Naik, R.R. Development and Validation of HPLC-FLD Analysis of Perampanel in MEPS-Processed Rat Plasma Sample. Separations 2024, 11, 55. https://doi.org/10.3390/separations11020055
Abu-shark AN, Shakya AK, Al-Adwan SM, Naik RR. Development and Validation of HPLC-FLD Analysis of Perampanel in MEPS-Processed Rat Plasma Sample. Separations. 2024; 11(2):55. https://doi.org/10.3390/separations11020055
Chicago/Turabian StyleAbu-shark, Ayah Nader, Ashok K. Shakya, Safwan M. Al-Adwan, and Rajashri R. Naik. 2024. "Development and Validation of HPLC-FLD Analysis of Perampanel in MEPS-Processed Rat Plasma Sample" Separations 11, no. 2: 55. https://doi.org/10.3390/separations11020055
APA StyleAbu-shark, A. N., Shakya, A. K., Al-Adwan, S. M., & Naik, R. R. (2024). Development and Validation of HPLC-FLD Analysis of Perampanel in MEPS-Processed Rat Plasma Sample. Separations, 11(2), 55. https://doi.org/10.3390/separations11020055

