Exploring Bioactive Phytochemicals in Gymnema sylvestre: Biomedical Uses and Computational Investigations
Abstract
1. Introduction
2. Methodology
2.1. Sample Collection
2.2. Extraction
2.3. Preliminary and Quantitative Analysis of Phytochemicals
2.4. Thin-Layer Chromatography
2.5. GC-MS Analysis
2.6. Therapeutic Applications
2.6.1. Cytotoxic Activity Using MTT Assay
2.6.2. Anthelminthic Activity
2.6.3. Anticoagulation Assay
2.6.4. Antibacterial Activity
2.6.5. Minimum Inhibitory Concentration (MIC) Determination
2.6.6. In Vitro α-Amylase Inhibitory Studies
2.6.7. DPPH Activity
2.7. Docking of Molecules
3. Results
3.1. Qualitative and Quantitative Phytochemical Analysis of G. sylvestre Extract
3.2. Antibacterial Activity
3.3. Minimum Inhibitory Concentration (MIC)
3.4. In Vitro α-Amylase Inhibitory Studies
3.5. Antioxidant Activity
3.6. Thin-Layer Chromatography
3.7. GC-MS Analysis
3.8. Docking and Simulation Studies
3.8.1. Protein–Ligand Root Mean Square Deviation (RMSD)
3.8.2. Root Mean Square Fluctuation (RMSF) Simulation
3.8.3. The Protein–Ligand Contact Plot
3.8.4. The Ligand Torsions Plot
3.9. Cytotoxic Activity
3.10. Anthelminthic Activity
3.11. Anticoagulation Activity
4. Discussion
5. Conclusions
Limitations
Author Contributions
Funding
Data Availability Statement
Acknowledgments
Conflicts of Interest
References
- Kanetkar, P.; Singhal, R.; Kamat, M. Gymnema sylvestre: A Memoir. J. Clin. Biochem. Nutr. 2007, 41, 77–81. [Google Scholar] [CrossRef]
- Dateo, G.P., Jr.; Long, L., Jr. Gymnemic Acid, the Antisaccharine Principle of Gymnema sylvestre. Isolation and Heterogeneity of Gymnemic Acid A1. J. Agric. Food Chem. 1973, 21, 899–903. [Google Scholar] [CrossRef]
- Khan, F.; Sarker, M.M.R.; Ming, L.C.; Mohamed, I.N.; Zhao, C.; Sheikh, B.Y.; Tsong, H.F.; Rashid, M.A. Comprehensive Review on Phytochemicals, Pharmacological and Clinical Potentials of Gymnema sylvestre. Front. Pharmacol. 2019, 10, 1223. [Google Scholar] [CrossRef]
- Tiwari, P.; Mishra, B.N.; Sangwan, N.S. Phytochemical and Pharmacological Properties of Gymnema sylvestre: An Important Medicinal Plant. BioMed Res. Int. 2014, 2014, 830285. [Google Scholar] [CrossRef]
- Kurihara, Y. Antisweet Activity of Gymnemic Acid A1 and Its Derivatives. Life Sci. 1969, 8, 537–543. [Google Scholar] [CrossRef]
- Gent, J.F.; Hettinger, T.P.; Frank, M.E.; Marks, L.E. Taste Confusions Following Gymnemic Acid Rinse. Chem. Senses 1999, 24, 393–403. [Google Scholar] [CrossRef] [PubMed]
- Sanematsu, K.; Kusakabe, Y.; Shigemura, N.; Hirokawa, T.; Nakamura, S.; Imoto, T.; Ninomiya, Y. Molecular Mechanisms for Sweet-Suppressing Effect of Gymnemic Acids. J. Biol. Chem. 2014, 289, 25711–25720. [Google Scholar] [CrossRef] [PubMed]
- Gardner, Z.; McGuffin, M. American Herbal Products Association’s Botanical Safety Handbook, 2nd ed.; CRC Press: Boca Raton, FL, USA, 2013; ISBN 978-1466516946. [Google Scholar]
- Brala, P.M.; Hagen, R.L. Effects of Sweetness Perception and Caloric Value of a Preload on Short Term Intake. Physiol. Behav. 1983, 30, 1–9. [Google Scholar] [CrossRef]
- Wu, X.; Mao, G.; Fan, Q.; Zhao, T.; Zhao, J.; Li, F.; Yang, L. Isolation, Purification, Immunological and Anti-tumour Activities of Polysaccharides from Gymnema sylvestre. Food Res. Int. 2012, 48, 935–939. [Google Scholar] [CrossRef]
- Arunachalam, K.; Arun, L.B.; Annamalai, S.K.; Arunachalam, A.M. Potential anticancer properties of bioactive compounds of Gymnema sylvestre and its biofunctionalized silver nanoparticles. Int. J. Nanomed. 2015, 10, 31–41. [Google Scholar] [CrossRef] [PubMed]
- Arun, L.B.; Arunachalam, A.M.; Arunachalam, K.D.; Kumar, K.A. In vivo anti-ulcer, anti-stress, anti-allergic, and functional properties of Gymnemic Acid Isolated from Gymnema sylvestre R Br. BMC Complement. Altern. Med. 2014, 14, 70. [Google Scholar] [CrossRef]
- Pothuraju, R.; Sharma, R.K.; Chagalamarri, J.; Jangra, S.; Kumar Kavadi, P. A Systematic Review of Gymnema Sylvestre in Obesity and Diabetes Management. J. Sci. Food Agric. 2014, 94, 834–840. [Google Scholar] [CrossRef] [PubMed]
- Dege, N.; Gökce, H.; Doğan, O.E.; Alpaslan, G.; Ağar, T.; Muthu, S.; Sert, Y. Quantum Computational, Spectroscopic Investigations on N-(2-((2-Chloro-4, 5-Dicyanophenyl)Amino)Ethyl)-4-Methylbenzenesulfonamide by DFT/TD-DFT with Different Solvents, Molecular Docking and Drug-Likeness Researches. Colloids Surf. A Physicochem. Eng. Asp. 2022, 638, 128311. [Google Scholar] [CrossRef]
- Trott, O.; Olson, A.J. AutoDock Vina: Improving the Speed and Accuracy of Docking with a New Scoring Function, Efficient Optimization, and Multithreading. J. Comput. Chem. 2010, 31, 455–461. [Google Scholar] [CrossRef]
- Mert Ozupek, N.; Cavas, L. Triterpene Glycosides Associated Antifouling Activity from Holothuria tubulosa and H. polii. Reg. Stud. Mar. Sci. 2017, 13, 32–41. [Google Scholar] [CrossRef]
- Adefuye, A.O.; Ndip, R.N. Phytochemical Analysis and Antibacterial Evaluation of the Ethyl Acetate Extract of the Stem Bark of Bridelia micrantha. Pharmacogn. Mag. 2013, 9, 45–50. [Google Scholar] [CrossRef]
- Singleton, V.L.; Orthofer, R.; Lamuela-Raventós, R.M. [14] Analysis of Total Phenols and Other Oxidation Substrates and Antioxidants by Means of Folin-Ciocalteu Reagent. In Oxidants and Antioxidants Part A; Elsevier: Amsterdam, The Netherlands, 1999; pp. 152–178. ISBN 9780121822002. [Google Scholar]
- Zhishen, J.; Mengcheng, T.; Jianming, W. The Determination of Flavonoid Contents in Mulberry and Their Scavenging Effects on Superoxide Radicals. Food Chem. 1999, 64, 555–559. [Google Scholar] [CrossRef]
- Kumar, S.; Jyotirmoyee, K.; Sarangi, M. Thin Layer Chromatography: A Tool of Biotechnology for Isolation of Bioactive Compounds from Medicinal Plants. Int. J. Pharm. Sci. Rev. Res. 2013, 18, 126–132. [Google Scholar]
- Kagan, I.A.; Flythe, M.D. Thin-Layer Chromatographic (TLC) Separations and Bioassays of Plant Extracts to Identify Antimicrobial Compounds. J. Vis. Exp. 2014, e51411. [Google Scholar] [CrossRef]
- Davies, N.W. Gas Chromatographic Retention Indices of Monoterpenes and Sesquiterpenes on Methyl Silicon and Carbowax 20-M Phases. J. Chromatogr. A 1990, 503, 1–24. [Google Scholar] [CrossRef]
- Kumar, G.; Gupta, R.; Sharan, S.; Roy, P.; Pandey, D.M. Anticancer Activity of Plant Leaves Extract Collected from a Tribal Region of India. 3 Biotech 2019, 9, 399. [Google Scholar] [CrossRef]
- Correa, P.; Haenszel, W. The Epidemiology of Large-Bowel Cancer. Adv. Cancer Res. 1978, 26, 1–141. [Google Scholar] [CrossRef]
- Prakash, O.; Kumar, A.; Kumar, P.; Ajeet, A. Anticancer Potential of Plants and Natural Products: A Review. Am. J. Pharmacol. Sci. 2013, 1, 104–115. [Google Scholar] [CrossRef]
- Prichard, R. Anthelmintic Resistance. Vet. Parasitol. 1994, 54, 259–268. [Google Scholar] [CrossRef]
- Chegu, K.; Mounika, K.; Rajeswari, M.; Vanibala, N.; Sujatha, P.; Sridurga, P. In Vitro Study of the Anticoagulant Activity of Some Plant Extracts. World J. Pharm. Pharm. Sci. 2018, 7, 904–913. [Google Scholar]
- Jorgensen, J.H.; Turnidge, J.D. Susceptibility Test Methods: Dilution and Disk Diffusion Methods. In Manual of Clinical Microbiology; ASM Press: Washington, DC, USA, 2015; pp. 1253–1273. [Google Scholar]
- Arora, D.S.; Sood, H. In Vitro Antimicrobial Potential of Extracts and Phytoconstituents from Gymnema sylvestre R.Br. Leaves and Their Biosafety Evaluation. AMB Express 2017, 7, 115. [Google Scholar] [CrossRef] [PubMed]
- Onsare, J.G.; Arora, D.S. Antibiofilm Potential of Flavonoids Extracted from Moringa oleifera Seed Coat against Staphylococcus aureus, Pseudomonas aeruginosa and Candida albicans. J. Appl. Microbiol. 2015, 118, 313–325. [Google Scholar] [CrossRef] [PubMed]
- Miller, G.L. Use of dinitrosalicylic acid reagent for determination of reducing sugar. Anal. Chem. 1959, 31, 426–428. [Google Scholar] [CrossRef]
- Rice-Evans, C.A.; Miller, N.J.; Paganga, G. Structure-Antioxidant Activity Relationships of Flavonoids and Phenolic Acids. Free Radic. Biol. Med. 1996, 20, 933–956. [Google Scholar] [CrossRef]
- Freed, D.M.; Bessman, N.J.; Kiyatkin, A.; Salazar-Cavazos, E.; Byrne, P.O.; Moore, J.O.; Valley, C.C.; Ferguson, K.M.; Leahy, D.J.; Lidke, D.S.; et al. EGFR Ligands Differentially Stabilize Receptor Dimers to Specify Signaling Kinetics. Cell 2017, 171, 683–695.e18. [Google Scholar] [CrossRef]
- Shilpakar, A.; Gaire, B.P.; Bahadur, S.C.; Lamichhane, R.; Neupane, S. Phytochemical Screening and Analysis of Antibacterial and Antioxidant Activity of Ficus auriculata, Lour. Stem Bark; Pokhara University: Lekhnath, Nepal, 2009. [Google Scholar]
- De, S.; Dey, Y.N.; Ghosh, A.K. Phytochemical Investigation and Chromatographic Evaluation of the Different Extracts of Tuber of Amorphaphallus paeoniifolius (Araceae). Int. J. Pharm. Biol. Res 2010, 1, 150–157. [Google Scholar]
- Harborne, A.J. Phytochemical Methods a Guide to Modern Techniques of Plant Analysis; Springer Science + Business Media: Berlin/Heidelberg, Germany, 1998. [Google Scholar]
- Parekh, J.; Chanda, S. In Vitro Antimicrobial Activity and Phytochemical Analysis of Some Indian Medicinal Plants. Turk. J. Biol. 2007, 31, 53–58. [Google Scholar]
- Edeoga, H.O.; Okwu, D.E.; Mbaebie, B.O. Phytochemical Constituents of Some Nigerian Medicinal Plants. Afr. J. Biotechnol. 2005, 4, 685–688. [Google Scholar] [CrossRef]
- Dhandapani, R.; Sabna, B. Phytochemical Constituents of Some Indian Medicinal Plants. Anc. Sci. Life 2008, 27, 1–8. [Google Scholar]
- Mace, M.E.; Bell, A.A.; Beckman, C.H. Histochemistry and Identification of Disease-Induced Terpenoid Aldehydes in Verticillium-Wilt-Resistant and-Susceptible Cottons. Can. J. Bot. 1976, 54, 2095–2099. [Google Scholar] [CrossRef]
- Kumar, P.P.; Kumaravel, S.; Lalitha, C. Screening of Antioxidant Activity, Total Phenolics and GC-MS Study of Vitex negundo. Afr. J. Biochem. Res. 2010, 4, 191–195. [Google Scholar]
- Onwukaeme, D.N.; Ikuegbvweha, T.B.; Asonye, C.C. Evaluation of Phytochemical Constituents, Antibacterial Activities and Effect of Exudate of Pycanthus angolensis Weld Warb (Myristicaceae) on Corneal Ulcers in Rabbits. Trop. J. Pharm. Res. 2007, 6, 725–730. [Google Scholar] [CrossRef]
- Dahiru, D.; Onubiyi, J.A.; Umaru, H.A. Phytochemical Screening and Antiulcerogenic Effect of Moringa oleifera Aqueous Leaf Extract. Afr. J. Trad. Complement. Altern. Med. 2006, 3, 70–75. [Google Scholar] [CrossRef]
- Ben Khadher, T.; Sassi-Aydi, S.; Aydi, S.; Mars, M.; Bouajila, J. Phytochemical Profiling and Biological Potential of Prunus dulcis Shell Extracts. Plants 2023, 12, 2733. [Google Scholar] [CrossRef]
- Youssef, A.M.M.; Maaty, D.A.M.; Al-Saraireh, Y.M. Phytochemical Analysis and Profiling of Antitumor Compounds of Leaves and Stems of Calystegia silvatica (Kit.) Griseb. Molecules 2023, 28, 630. [Google Scholar] [CrossRef] [PubMed]
- Puranik, S.I.; Ghagane, S.C.; Nerli, R.B.; Jalalpure, S.S.; Hiremath, M.B. Evaluation of In Vitro Antioxidant and Anticancer Activity of Simarouba glauca Leaf Extracts on T-24 Bladder Cancer Cell Line. Pharmacogn. J. 2017, 9, 906–912. [Google Scholar] [CrossRef]
- Niezen, J.H.; Waghorn, G.C.; Charleston, W.A. Growth and Gastrointestinal Nematode Parasitism in Lambs Grazing Either Lucerne (Medicago sativa) or (Hedysarum coronarium), Which Contains Condensed Tannins. J. Agric. Sci. 1995, 125, 281–289. [Google Scholar] [CrossRef]
- Shrestha, B.; Basnett, H.; Babu, V.D.; Patel, S.S. Anthelmintic and Antimicrobial Activity of the Chloroform Extract of Pergularia Daemia Forsk Leaves. Adv. Pharmacol. Toxicol. 2009, 10, 13–16. [Google Scholar]
- Athanasiadou, S.; Kyriazakis, I.; Jackson, F.; Coop, R.L. Direct Anthelmintic Effects of Condensed Tannins Towards Different Gastrointestinal Nematodes of Sheep: In Vitro and In Vivo Studies. Vet. Parasitol. 2001, 99, 205–219. [Google Scholar] [CrossRef] [PubMed]
- Thompson, D.P.; Geary, T.G. The Structure and Function of Helminth Surfaces. In Biochemistry and Molecular Biology of Parasites, 1st ed.; Marr, J.J., Ed.; Academic Press: Cambridge, MA, USA, 1995; pp. 203–232. [Google Scholar]
- Chandrashekhar, C.H.; Latha, K.P.; Vagdevi, H.M.; Vaidya, V.P. Anthelmintic Activity of the Crude Extracts of Ficus racemosa. Int. J. Green Pharm. 2008, 2, 100–103. [Google Scholar]
- Atanasov, A.G.; Zotchev, S.B.; Dirsch, V.M.; International Natural Product Sciences Taskforce; Supuran, C.T. Natural Products in Drug Discovery: Advances and Opportunities. Nat. Rev. Drug Discov. 2021, 20, 200–216. [Google Scholar] [CrossRef] [PubMed]
- Tungmunnithum, D.; Thongboonyou, A.; Pholboon, A.; Yangsabai, A. Flavonoids and Other Phenolic Compounds from Medicinal Plants for Pharmaceutical and Medical Aspects: An Overview. Medicines 2018, 5, 93. [Google Scholar] [CrossRef] [PubMed]
- AlSheikh, H.M.A.; Sultan, I.; Kumar, V.; Rather, I.A.; Al-Sheikh, H.; Tasleem Jan, A.; Haq, Q.M.R. Plant-Based Phytochemicals as Possible Alternative to Antibiotics in Combating Bacterial Drug Resistance. Antibiotics 2020, 9, 480. [Google Scholar] [CrossRef]
- Dirir, A.M.; Daou, M.; Yousef, A.F.; Yousef, L.F. A Review of Alpha-Glucosidase Inhibitors from Plants as Potential Candidates for the Treatment of Type-2 Diabetes. Phytochem. Rev. 2022, 21, 1049–1079. [Google Scholar] [CrossRef]
- Ramana, K.V.; Reddy, A.B.M.; Majeti, N.V.R.K.; Singhal, S.S. Therapeutic Potential of Natural Antioxidants. Oxid. Med. Cell. Longev. 2018, 2018, 9471051. [Google Scholar] [CrossRef]
- Mannan, A.; Rahman, M.M.; Habib, M.R.; Hasan, M.A.; Al Amin, M.; Saha, A. Comparative Assessment on in Vitro Antioxidant Activities of Ethanol Extracts of Averrhoa bilimbi, Gymnema sylvestre and Capsicum frutescens. Pharmacogn. Res. 2014, 6, 36. [Google Scholar] [CrossRef]
- Kang, M.-H.; Lee, M.S.; Choi, M.-K.; Min, K.-S.; Shibamoto, T. Hypoglycemic Activity of Gymnema sylvestre Extracts on Oxidative Stress and Antioxidant Status in Diabetic Rats. J. Agric. Food Chem. 2012, 60, 2517–2524. [Google Scholar] [CrossRef]
- Shaikh, I.A.; Alshabi, A.M.; Alkahtani, S.A.; Orabi, M.A.A.; Abdel-Wahab, B.A.; Walbi, I.A.; Habeeb, M.S.; Khateeb, M.M.; Shettar, A.K.; Hoskeri, J.H. Apoptotic Cell Death via Activation of DNA Degradation, Caspase-3 Activity, and Suppression of Bcl-2 Activity: An Evidence-Based Citrullus Colocynthis Cytotoxicity Mechanism Toward MCF-7 and A549 Cancer Cell Lines. Separations 2022, 9, 411. [Google Scholar] [CrossRef]
- Ashmawy, F.O.; Gomha, S.M.; Abdallah, M.A.; Zaki, M.E.A.; Al-Hussain, S.A.; El-Desouky, M.A. Synthesis, In Vitro Evaluation and Molecular Docking Studies of Novel Thiophenyl Thiazolyl-Pyridine Hybrids as Potential Anticancer Agents. Molecules 2023, 28, 4270. [Google Scholar] [CrossRef] [PubMed]
- Choudhary, N.; Khatik, G.L.; Choudhary, S.; Singh, G.; Suttee, A. In Vitro Anthelmintic Activity of Chenopodium album and in-Silico Prediction of Mechanistic Role on Eisenia foetida. Heliyon 2021, 7, e05917. [Google Scholar] [CrossRef] [PubMed]
- Visioli, F.; Borsani, L.; Galli, C. Diet and Prevention of Coronary Heart Disease: The Potential Role of Phytochemicals. Cardiovasc. Res. 2000, 47, 419–425. [Google Scholar] [CrossRef] [PubMed]
- Okazaki, K.; Nakayama, S.; Kawazoe, K.; Takaishi, Y. Antiaggregant Effects on Human Platelets of Culinary Herbs. Phytother. Res. 1998, 12, 603–605. [Google Scholar] [CrossRef]
- Parast, Y.; Saei, R. Effects of Aqueous Tarragon, Artemisia Dracunculus, Extract on Lipid and Coagulatory Parameters in Rats. Biol. Med. Lett. 1999, 59, 137–141. [Google Scholar]















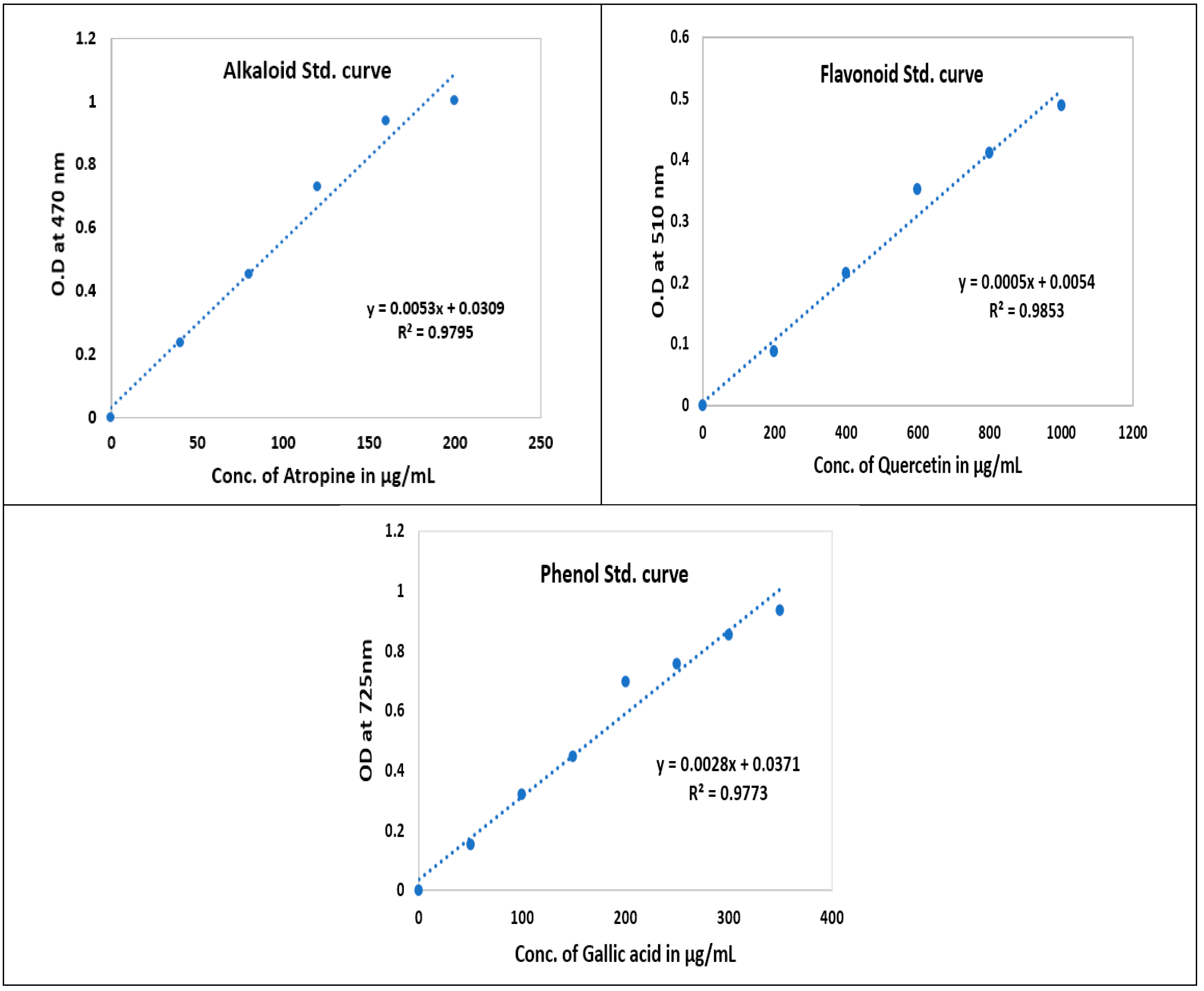
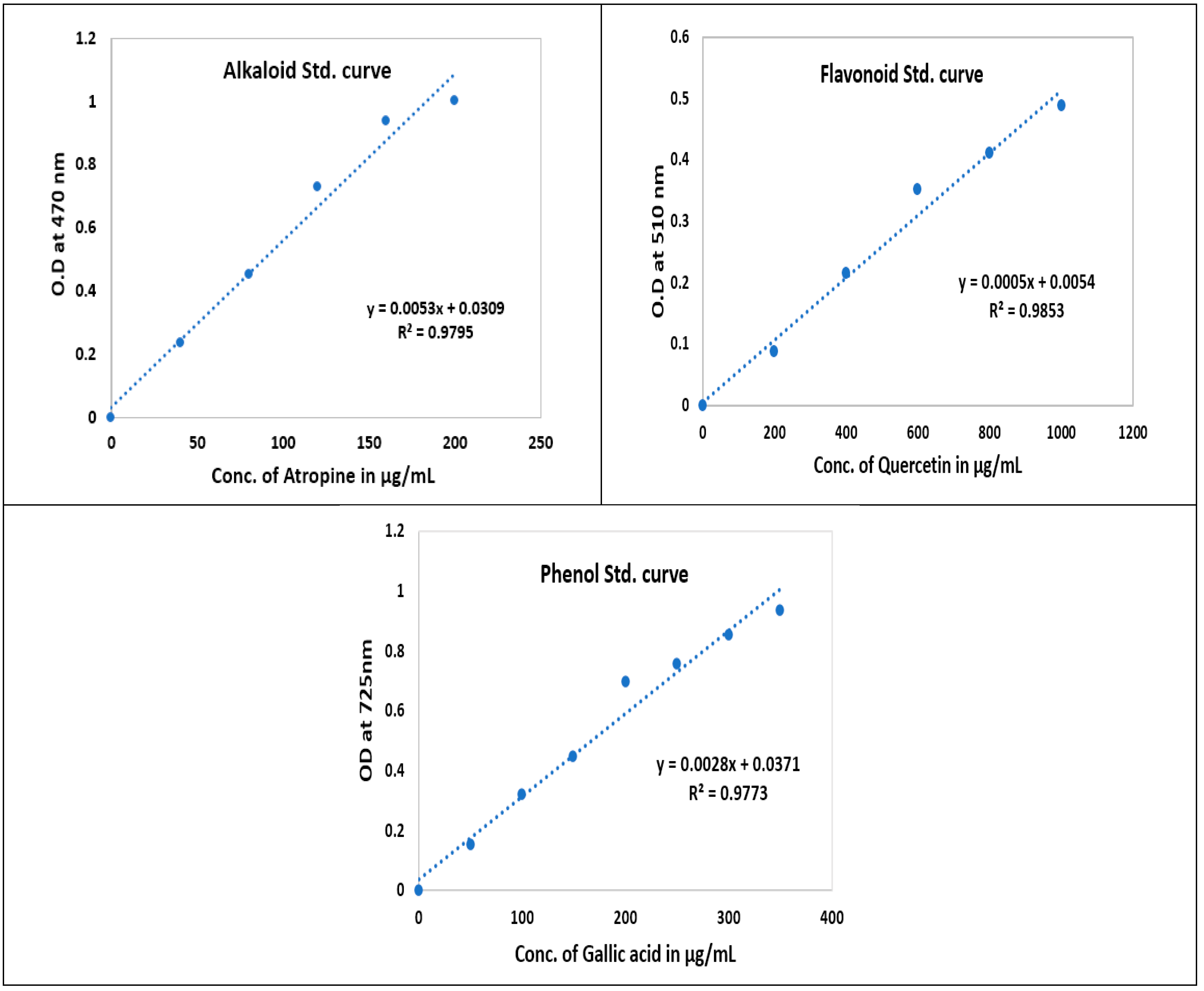
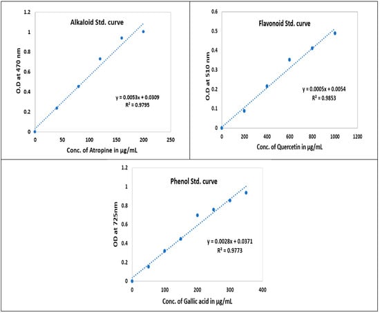
| S. No | Quantitative Analysis | Expressed as (Standard) | Calibration Curve | R2 |
|---|---|---|---|---|
| 1 | Total phenols | Gallic acid equivalents (GAE/g dry weight) | (y = 0.0028x + 0.0371) | 0.9773 |
| 2 | Total flavonoids | Quercetin equivalents (QE/g dry weight) | (y = 0.0005x + 0.0054) | 0.9853 |
| 3 | Alkaloids | Atropine equivalents (AE/g dry weight) | (y = 0.0053x + 0.0309) | 0.9795 |
| Phytochemical | Tests | G. sylvestre Extract |
|---|---|---|
| Alkaloids | Mayer’s test | + |
| Wagner’s test | + | |
| Hager test | + | |
| Tannic acid test | + | |
| Dragendorff test | + | |
| Flavonoids | Lead acetate test | + |
| Alkaline reagent test | + | |
| Ammonium test | + | |
| Saponins | Emulsion test | + |
| Frothing test | + | |
| Steroids | Salkowski’s test | + |
| Tannins | Ferric chloride test | − |
| Gelatin test | + | |
| Glycosides | Legal test | + |
| Keller–Kiliani test | + | |
| Anthraquinones | Test for diterpenes | + |
| Test for cumarins | + | |
| Test for resins | Acetone water test | + |
| Test for volatile oils | + |
| Tested Bacteria | ZOI Plant Extract 10 µg/mL | ZOI Standard Drug (Ciprofloxacin) 10 µg/mL | MIC (µg/mL) Plant Extract 10 µg/mL | MIC (µg/mL) Standard Drug (Ciprofloxacin) 10 µg/mL |
|---|---|---|---|---|
| Escherichia coli | 3 mm | 6 mm | 350 | 0.013 |
| Bacillus subtilis | 6 mm | 6 mm | 500 | 0.125 |
| Sl.no. | Concentration (µg/mL) | Ascorbic Acid DPPH-Scavenging Activity (%) | G. sylvestre DPPH-Scavenging Activity (%) |
|---|---|---|---|
| 1 | 10 | 58.14 ± 0.74 | 39.25 ± 0.31 |
| 2 | 20 | 69.48 ± 0.54 | 50.37 ± 0.24 |
| 3 | 30 | 78.28 ± 0.83 | 58.97 ± 0.17 |
| 4 | 40 | 84.47 ± 0.36 | 62.83 ± 0.67 |
| 5 | 50 | 88.16 ± 0.26 | 68.47 ± 0.13 |
| Peak # | R. Time | Area | Area % | Height | Height % | Name of the Chemical Compounds (Volatile Polar Compounds) | Base m/z | Molecular Weight (g/mol) |
|---|---|---|---|---|---|---|---|---|
| 1 | 13.050 | 171,846 | 2.24 | 62,962 | 5.4 | Undecane,2,7-dimethyl-(IUPAC Name: 4,7-Dimethylundecane) | 57.10 | 184.36 |
| 2 | 18.725 | 163,805 | 2.14 | 60,210 | 5.17 | 3-ethyl-3-methyl heptane | 57.10 | 142.28 |
| 3 | 27.264 | 4,925,450 | 64.32 | 400,097 | 34.34 | 1,2-Benzenedicarboxylic acid, Bis(2-methylpropyl) ester (IUPAC Name: Diisobutyl terephthalate) | 149.00 | 278.34 |
| 4 | 28.123 | 167,256 | 2.18 | 54,187 | 4.65 | Tetradecane | 57.10 | 198.39 |
| 5 | 33.164 | 208,384 | 2.72 | 65,306 | 5.61 | Nonadecanol (IUPAC name: Nonadecan-1-ol) | 55.10 | 284.5 |
| 6 | 34.957 | 116,238 | 1.52 | 52,053 | 4.47 | 2-Bromotetradecane | 57.10 | 277.28 |
| 7 | 38.166 | 262,886 | 3.43 | 76,208 | 6.54 | Nonadecane | 57.10 | 268.5 |
| 8 | 39.099 | 314,490 | 4.11 | 63,047 | 5.41 | Dioctyl phthalate (IUPAC Name: Di(2-ethylhexyl) phthalate) | 149.00 | 390.6 |
| 9 | 43.049 | 256,796 | 3.35 | 66,509 | 5.71 | Squalene (IUPAC Name: Hexamethyl-2,6,10,14,18,22-tetracosahexaene) | 69.05 | 410.7 |
| 10 | 43.915 | 623,640 | 8.14 | 170,857 | 14.67 | Heptacosane | 57.10 | 380.7 |
| 11 | 47.041 | 446,585 | 5.83 | 93,547 | 8.03 | Celidoniol, deoxy-(IUPAC Name: Nonacosane) | 57.10 | 408.8 |
| Compound Name | Docking Score (kcal/mol) | Interaction Residues (Hydrophobic Interactions) |
|---|---|---|
| 2,7-Dimethylundecane | −4.5 | ASN328, VAL350, THR358 |
Disclaimer/Publisher’s Note: The statements, opinions and data contained in all publications are solely those of the individual author(s) and contributor(s) and not of MDPI and/or the editor(s). MDPI and/or the editor(s) disclaim responsibility for any injury to people or property resulting from any ideas, methods, instructions or products referred to in the content. |
© 2024 by the authors. Licensee MDPI, Basel, Switzerland. This article is an open access article distributed under the terms and conditions of the Creative Commons Attribution (CC BY) license (https://creativecommons.org/licenses/by/4.0/).
Share and Cite
Muddapur, U.M.; Manjunath, S.; Alqahtani, Y.S.; Shaikh, I.A.; Khan, A.A.; Mannasaheb, B.A.; Yaraguppi, D.; More, S.S. Exploring Bioactive Phytochemicals in Gymnema sylvestre: Biomedical Uses and Computational Investigations. Separations 2024, 11, 50. https://doi.org/10.3390/separations11020050
Muddapur UM, Manjunath S, Alqahtani YS, Shaikh IA, Khan AA, Mannasaheb BA, Yaraguppi D, More SS. Exploring Bioactive Phytochemicals in Gymnema sylvestre: Biomedical Uses and Computational Investigations. Separations. 2024; 11(2):50. https://doi.org/10.3390/separations11020050
Chicago/Turabian StyleMuddapur, Uday M., Samiksha Manjunath, Yahya S. Alqahtani, Ibrahim Ahmed Shaikh, Aejaz Abdullatif Khan, Basheerahmed Abdulaziz Mannasaheb, Deepak Yaraguppi, and Sunil S. More. 2024. "Exploring Bioactive Phytochemicals in Gymnema sylvestre: Biomedical Uses and Computational Investigations" Separations 11, no. 2: 50. https://doi.org/10.3390/separations11020050
APA StyleMuddapur, U. M., Manjunath, S., Alqahtani, Y. S., Shaikh, I. A., Khan, A. A., Mannasaheb, B. A., Yaraguppi, D., & More, S. S. (2024). Exploring Bioactive Phytochemicals in Gymnema sylvestre: Biomedical Uses and Computational Investigations. Separations, 11(2), 50. https://doi.org/10.3390/separations11020050

