Abstract
A pilot-scale investigation of ozonation combined with electrolysis (E-O3) was performed to treat concentrated wastewater from a reverse osmosis system from the printing and dyeing industry. It was found that E-O3 only exhibits an efficiency advantage after the removal of carbonate ions. The synergy of ozone and electrolysis lies not only in the generation of hydroxyl radicals, but also in the degradation of organic compounds. Moreover, the combination of electrolysis and ozonation has an inhibitory effect on the decrease in pH, which plays an important role in the synergistic generation of hydroxyl radicals. This pilot-scale study holds reference significance for the engineering applications of the E-O3 technology.
1. Introduction
With the rapid development of membrane technology, the reverse osmosis (RO) technique is frequently utilized in industrial wastewater reuse [1]. Nevertheless, concentrated wastewater is an inevitable by-product of the RO process [2,3,4,5]. Most organic pollutants and inorganic salts are enriched in concentrated wastewater [6,7,8,9]. Therefore, RO-concentrated wastewater poses a greater threat to the environment, and the developing technologies for treating RO-concentrated wastewater are of tremendous significance for the recycling of industrial wastewater resources.
At present, the mainstream approach for treating RO-concentrated wastewater is to remove organic matter first and then carry out the resource utilization of inorganic salts. The main challenge for the mainstream approach is to remove organic matter under high-salt conditions [10,11,12,13]. Conventional biologically activated sludge processes are inefficient for the treatment of high-salt wastewaters. Advanced oxidation processes (AOPs) possess the capability to oxidize and remove organic substances in salt-containing wastewater by generating highly oxidizing active species [14,15,16,17,18,19,20]. Advanced oxidation processes that are often reported and used in wastewater treatment include Fenton, O3-based AOPs, electrolysis, persulfate catalytic processes, etc. Owing to their respective characteristics, Fenton and persulfate catalytic processes will unavoidably result in an increase in the salt content of wastewater. This implies an elevation in the difficulty and disposal cost of the inorganic salts.
Both ozonation and electrolysis are green processes for saline wastewater treatment. Both of these methods only consume electrical energy and will not cause an increase in the salt content of wastewater [21,22,23,24]. However, their efficiency and cost in practical applications are always unsatisfactory [25,26,27]. Ozone, a green oxidant, can be easily added into the electrocatalytic reaction system. Moreover, there are many conditions within the electrolysis system that can promote ozone to undergo advanced oxidation chain reactions. Electrolysis-coupled ozonation (E-O3) has drawn significant attention from scholars and evolved into a novel, advanced oxidation process in recent years [18,28,29]. The combination of electrolysis and ozonation solves some disadvantages of ozonation technology, such as the selective oxidation of ozone, and retains the advantages of ozonation and electrolysis, such as environmental friendliness, high efficiency, and not increasing the salt content. E-O3 is considered as a promising technology for the treatment of saline wastewater [30,31]. As of now, most of the research has been conducted on a laboratory scale, and there are relatively few reports on pilot-scale studies of E-O3. The components of industrial wastewater are complex. Whether the E-O3 technology has advantages in actual performance compared with ozonation or electrolysis still requires examination.
Herein, concentrated wastewater from dyeing and printing was selected as the research subject for this pilot-scale investigation of E-O3. The efficiencies of ozonation, electrolysis, and E-O3 were compared, and the influencing factors of E-O3 were optimized. Initial research findings suggest that the pilot-scale effect differs from the anticipated result. The likely cause could be attributed to the influence of certain substances on advanced oxidation reactions. Previous research endeavors and the literature review conducted in this study suggest that the radical chain reaction of anodic electrolysis, the reaction of ozone obtaining electrons from the cathode, the in situ-generation of hydrogen peroxide from the cathodic electrolysis, and the alkaline condition near the cathode were the main synergistic pathways for ozonation combined with electrolysis. For the treatment of actual wastewater with more complex components, the synergistic mechanism of E-O3 is extremely complex, and it is extremely difficult to clarify the mechanism. This study attempts to find some apparent experimental phenomena and identify directions for further research on the mechanism of the E-O3 system in the wastewater treatment process. This pilot-scale research may provide some references for the engineering application of and applied theoretical research into E-O3.
2. Experimental
2.1. Experimental Apparatus
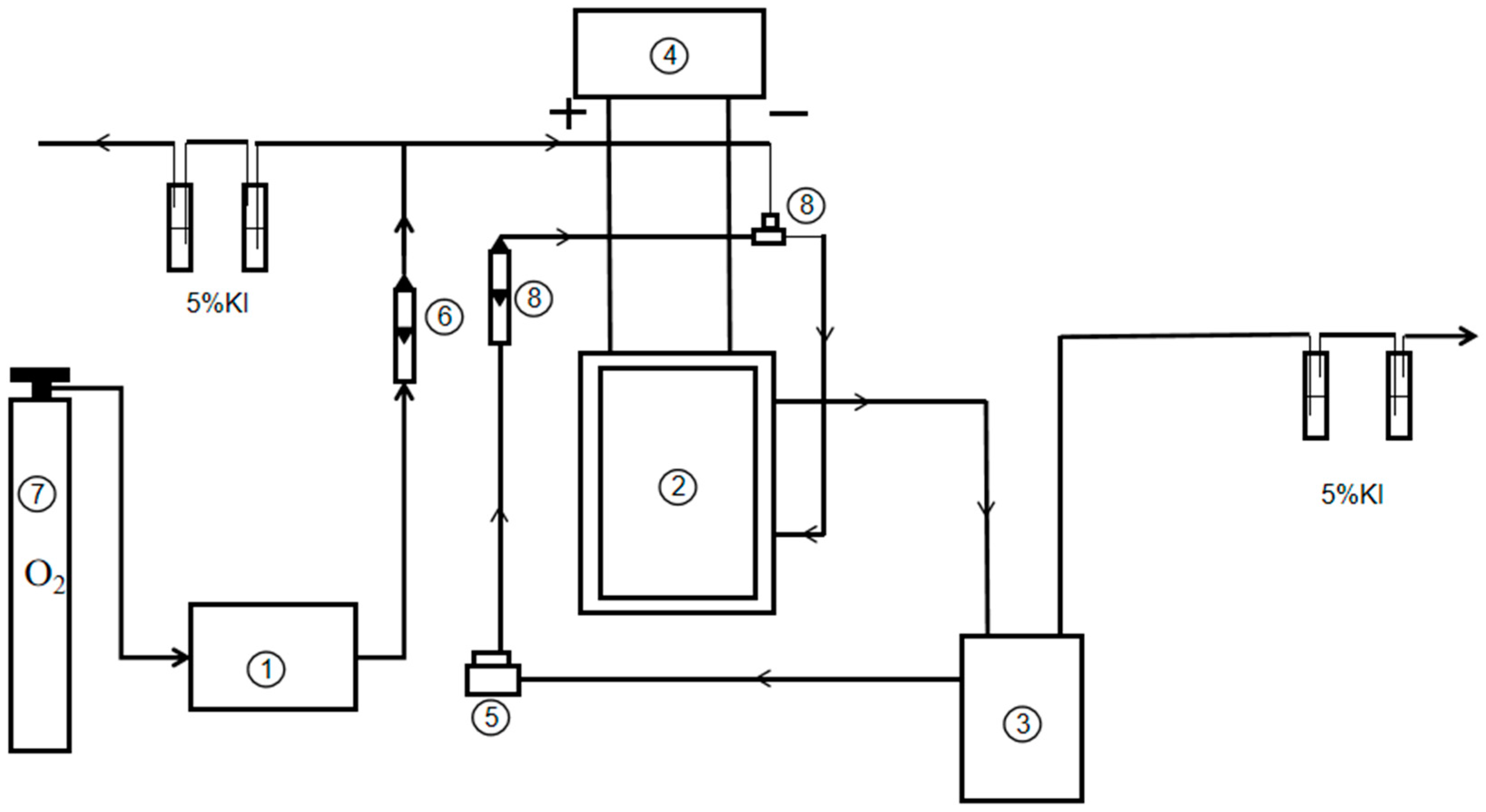
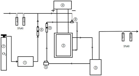
The experimental apparatus is shown in Figure 1. The models of the ozone generator and ozone destroyer were CFS-1A (Ozonia, Zurich, Switzerland) and ODF-003 (Ozonia, Zurich, Switzerland), respectively. The electrolysis apparatus was a tank reactor made of PTFE with dimensions of 65 cm in height, 30 cm in width, and 5 cm in depth. The anodes of the electrolysis reactor were titanium-based DSA electrodes, and the cathodes were titanium-plate electrode. The spacing between the cathode and anode was 2 cm, and the effective electrolytic area was 1760 cm2. The power supply of electrolysis was a direct-current (DC) power supply, model number SCN-1000-12. In the process of conducting the E-O3 experiment, wastewater was added to the device. Firstly, the oxygen switch was turned on and the gas flow rate was adjusted to the corresponding value (0.4 L/min if not specifically stated). The power supply was set to the constant current mode and the current was adjusted to the corresponding value. Subsequently, the ozone generator was turned on and the timing commenced. The electrolysis experiment was performed without activating the ozone generator. Likewise, ozonation was carried out without switching on the DC power supply.
Figure 1.
Experimental apparatus. 1. Ozone generator; 2. Anode and cathode electrode plates; 3. Water storage tank; 4. Stable voltage supply; 5. Pump; 6. Gas flow meter; 7. Oxygen cylinder; 8. Liquid flow meter.
2.2. Pilot Experimental Materials
The pilot experimental object was the concentrated wastewater from a reverse osmosis membrane for water reuse in a printing and dyeing factory in Shaoxing city (Zhejiang Province, China). All the reagents used were of analytical standard grade, and all the solutions in the study were prepared with double-distilled water. The ozonation generation efficiency was set to 55 mg/min, and the current density was set to 15 mA/cm2, unless otherwise specified. The pH of the solution was adjusted with 98% H2SO4 or 40.0 g·L−1 NaOH solution. The gas flow rate was 0.4 L·min−1, and all the experiments were performed at room temperature. Each degradation test was repeated three times, and the data in figures were the average of the triplicate results, and the relative errors were all less than 5%.
2.3. Analytical Methods
The chemical oxygen demand (COD) was measured by the potassium dichromate method (Sellers 1985). For the dissolved organic matters, a three-dimensional excitation–emission matrix (3DEEM) fluorescence spectrum (F4500, Hitachi, Japan) was used to determine them. The amount of total organic carbon (TOC) was measured by a TOC-L analyzer (Shimadzu, Japan). The pH value of the solution was measured by a pH analyzer (pHS-3C, LeiCi Instrument Plant, Shanghai, China). ALPHAFTIR Fourier Infrared Spectroscopy (FT-IR) (Bruker, Germany) was used to characterize the surface groups and the chemical bonding of the sample moieties. The SO42− concentration was determined by barium chromate spectrophotometry (thermal method). The fluoride was determined by the ion-selective electrode method. The concentration of O3 in the gas was determined by an ozone detector (IDEAL-2000, IDEAL, Sycamore, IL, USA). The determination of the chloride ion concentration was determined by silver nitrate titration.
3. Results and Discussion
3.1. The Analysis of the Wastewater
Fluorescence excitation–emission matrix (EEM) spectra can be used for multi-component analyses. The concentrated wastewater from the reverse osmosis processes of a Shaoxing City wastewater reuse system for printing and dyeing was chosen as the object of experimentation. The fluorescence EEM spectrum of the wastewater is shown in Figure 2. The five regions of the fluorescence EEM spectrum represent different organic substances. (I) It mainly represents aromatic proteins such as tyrosine and tryptophan. (II) It represents tryptophan-like substances and is the main fluorescent substance in coking wastewater. (III) It represents humic acid-like substances and is one of the dissolved organic matters. (IV) It represents fulvic acid-like substances and is also one of the dissolved organic matters. (V) It represents microbial metabolites such as amino acids and organic acids. As can be seen from Figure 2, the main types of organic matter in wastewater are tryptophan-like substances, humic acid-like substances, fulvic acid-like substances, and microbial metabolites [32,33].
Figure 2.
The fluorescence EEM spectrum of the original wastewater.
Due to its high activity, hydroxyl radicals can also involve inorganic ions in the free radical chain reaction. The influence of sulfate on the hydroxyl radical reaction is negligible. The effect of sulfate on the advanced oxidation reactions is weak; however, the impacts of carbonate, chloride, fluoride, and bromide ions on the efficiency of AOPs should not be ignored. Therefore, the characteristics of the concentrated wastewater were analyzed, and the results are shown in Table 1.
Table 1.
Analysis result of the RO concentrated wastewater.
3.2. The Synergistic Effect of E-O3
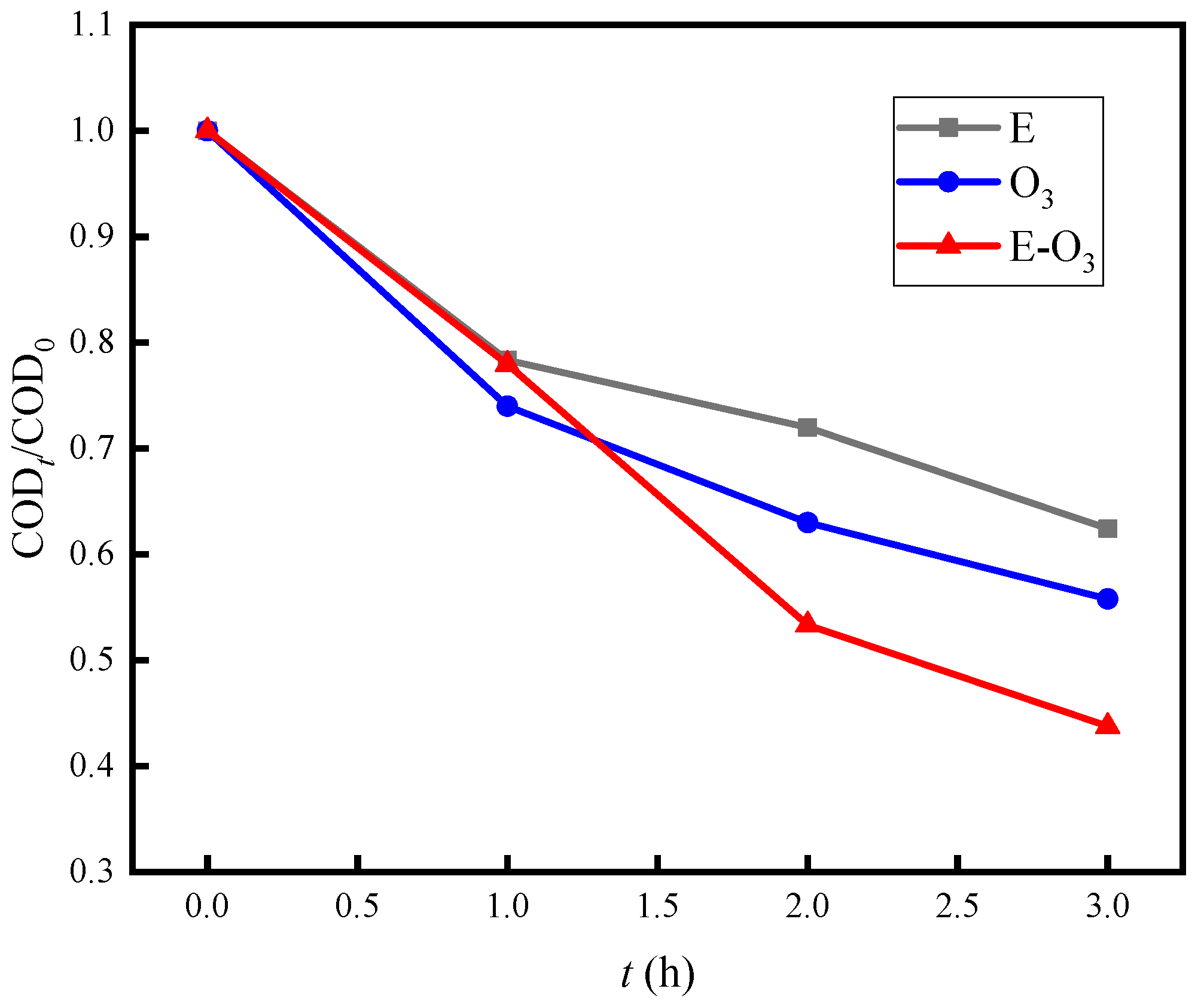
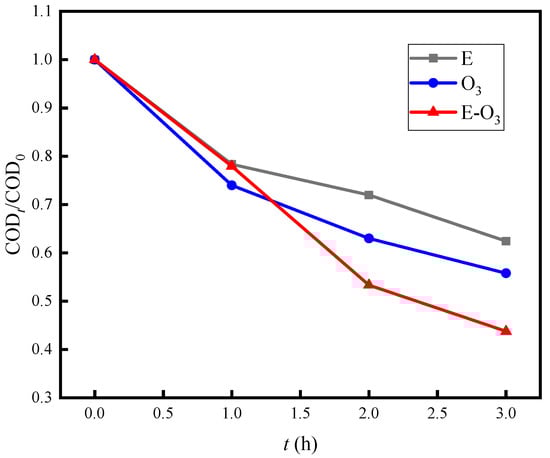
Figure 3 compares the rates of the COD removal by electrolysis, ozonation, and E-O3. After 1 h of treatment, the removal percentages of COD by electrolysis, ozonation, and E-O3 were 22.66%, 26.02%, and 22.05%, respectively. After 3 h of reaction, the elimination percentages of COD by electrolysis, ozonation, and E-O3 were 37.58%, 44.21%, and 56.24%, respectively. It was found that E-O3 did not show benefits during the first 60 min, but over the next 120 min, it was much more effective than either ozonation or electrolysis. Bilińska et al. investigated the performance of E-O3 in treating RB5 solutions. The results indicated that the combination of electrolysis and ozonation exhibits a higher chemical oxygen demand (COD) removal rate compared to ozonation alone and electrolysis alone. More than 40% of the COD was removed from the RB5 solutions when electrolysis was coupled with ozonation [34]. A similar conclusion was also reached by the research of Leon et al., that the efficiency of E-O3 is significantly superior to that of ozonation or electrolysis [35]. Therefore, a certain factor in the wastewater has exerted an influence on the results of this experiment, resulting in the above experimental phenomena.
Figure 3.
Variation of COD removal by electrolysis, ozonation, and E-O3.
It is reported that inorganic anions could be involved in the radical chain reaction of advanced oxidation, thus affecting the removal efficiency of organic matters [36]. Sulfate ions have a negligible impact on advanced oxidation. The effect of chloride ions on the ozonation reaction is pH-dependent. The effect of chloride ions was previously reported to not occur at pH 4 and to be detectable at pH 7 only at chloride concentrations of approximately 100 mM or higher [37]. Therefore, with pH values below 4, chloride ions have a negative effect on ozonation. However, at pH values higher than 5, their negative effect is very small in this research. Carbonate ions can participate in the radical chain reaction of advanced oxidation and affect its efficiency. The reaction between carbonate ions and hydroxyl radicals can significantly reduce the efficiency of hydroxyl radicals in removing organics [38]. The buffering action of carbonate on pH will also influence the efficiency of ozone decomposition in producing hydroxyl radicals [39].
The main anions in the wastewater were chloride ions, sulfate ions, and carbonate ions, with concentrations of 3200 mg/L, 3600 mg/L, and 2100 mg/L, respectively, and bromide and fluoride ions were not detected. The pH variations of ozonation, electrolysis, and E-O3 are displayed in Figure 4. The initial pH of the wastewater was 8.18, and the final pH values of the wastewater after 180 minutes’ treatment by ozonation, electrolysis, and E-O3 were 8.28, 8.47, and 8.8, respectively. During the reaction, the pH stayed in a weak alkaline state, and the negative effect mechanism of the chloride ions was not initiated. Therefore, it can be speculated that the influence of the chloride ions on the ozone-based AOPs was relatively small. The molar conversion of NDMA during the ozonation of daminozide in the absence of humic acid (HA) decreased from 6.3% to 4.2% as the concentration of bicarbonate ions (HCO3−) increased from 0 to 160 μM [40]. The research of Katsoyiannis et al. also indicates that bicarbonate ions exhibit an inhibitory effect on the degradation of atrazine and sulfamethoxazole by the peroxone process [41]. Therefore, the influence of carbonate cannot be ignored, and it might be the main cause of the above experimental outcomes.
Figure 4.
The pH of solutions treated with electrolysis, ozonation, and E-O3.
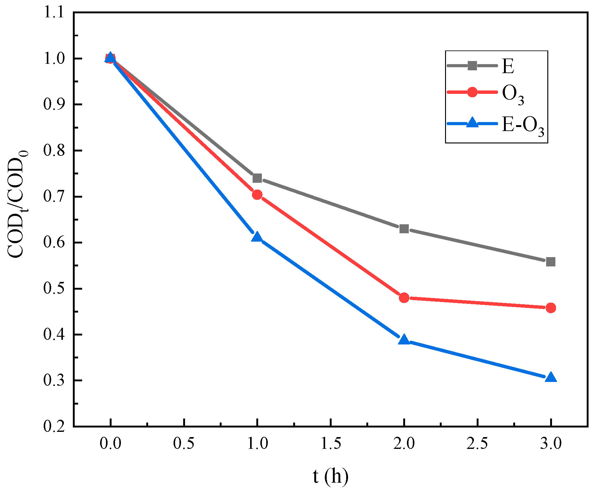
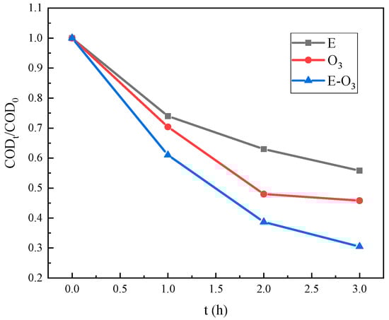
In order to eliminate the influence of carbonate, after removing carbonate by an acid-base adjustment treatment, the performances of the ozonation, electrolysis, and E-O3 systems were compared once again. As illustrated in Figure 5, when the reaction times were 1 h, 2 h, and 3 h, the electrolysis treatment obtained COD removal rates of 26.0%, 37.0%, and 44.2%, respectively, the ozonation treatment achieved 29.6%, 52.0%, and 54.2%, respectively, and the E-O3 treatment reached 39.0%, 61.3%, and 69.5% respectively. After eliminating carbonate, the oxidation efficiency of the E-O3 system was obviously enhanced, and the efficiency of the E-O3 system was obviously higher than that of ozonation or electrolysis. Carbonate ions are ubiquitous in industrial wastewater due to the widespread application of the biologically activated sludge process. These results indicate that in the application of E-O3 technology, the removal of carbonate ions is necessary.
Figure 5.
Variation in COD removal by electrolysis, ozonation, and E-O3 after pretreatment.
3.3. Effect of O3 Dosage
The dosage of ozonation is an important factor in the E-O3 process [34,42]. The influence of ozonation dosage on COD elimination in E-O3 wastewater treatment is presented in Figure 6. The COD elimination rates after three hours of reaction were 23.01%, 48.35%, 58.72%, 69.5%, and 70.7% with ozone inputs of 25 mg/min, 35 mg/min, 45 mg/min, 55 mg/min, and 65 mg/min, respectively, during the process. It can be observed that within a certain range, increasing the ozonation dosage can notably enhance the reaction efficiency of the E-O3 system. However, when it exceeds this range, further increasing the ozonation dosage has a limited impact on the efficiency improvement of the E-O3 system. This result is consistent with the outcomes reported in most studies. For instance, the report of Feng et al. indicates that when the ozone dosage is 0.25 mg/L, the removal efficiency of 2,4-DTBP is merely 5.9%. As the ozone dosage gradually increases, the removal efficiency of 2,4-DTBP gradually rises, but the rate of increase slows down later [43,44].
Figure 6.
Effect of ozonation dosage on COD removal.
3.4. Effect of Current Density
Current density is an important parameter for evaluating the efficiency of electron gain and loss per unit electrolysis area, and it is also a key parameter that affects the synergy efficiency of electrolysis and ozonation for the generation of hydroxyl radicals [45]. The impact of current density on the COD removal efficiency of E-O3 technology was studied, and the results are presented in Figure 7. At current densities of 5 mA/cm2, 15 mA/cm2, 25 mA/cm2, and 35 mA/cm2, the COD removal rates by the E-O3 technology were 48.4%, 74.8%, 79.3%, and 83.4%, respectively, after 3 h of reaction. It can be seen that as the current density increases, the efficiency of the E-O3 system rises, but the magnitude of the increase gradually decreases. The influence patterns of ozonation dosage and current density on the efficiency of the E-O3 system indicate that the efficiency of the E-O3 technology is mainly affected by the electrolysis efficiency and ozonation mass transfer efficiency. In engineering applications, under the condition of determined water quality and fixed pole plate spacing, the efficiency can be improved and the cost can be reduced by adjusting the appropriate ozonation dosage and current density.
Figure 7.
Effect of current density on COD removal.
3.5. Mechanism Investigation
The composition of industrial wastewater is complex, making the study of organic matter degradation mechanisms very difficult. Herein, the mechanism was inferred based on the experimental phenomena, which can provide a reference for scholars’ in-depth research. It has been well investigated that the pathways for the synergy of ozonation and electrolysis to generate free radicals include the following: ① The in situ generation of hydrogen peroxide at the cathode; ② An alkaline environment near the cathode; ③ The direct reduction of ozonation at the cathode; ④ A radical chain reaction at the anode, etc. The composition of industrial wastewater is complicated. The inorganic ions in wastewater, including Cl−, SO42−, CO32−, and PO43−, can all participate in free radical chain reactions. The anode reaction can also generate some oxidative species. All this leads to a very complex mechanism of E-O3 in treating actual wastewater, and it is very difficult for this study to explore it clearly [37]. Herein, the mechanism was inferred based on the experimental phenomena, which can provide a reference for scholars’ in-depth research.
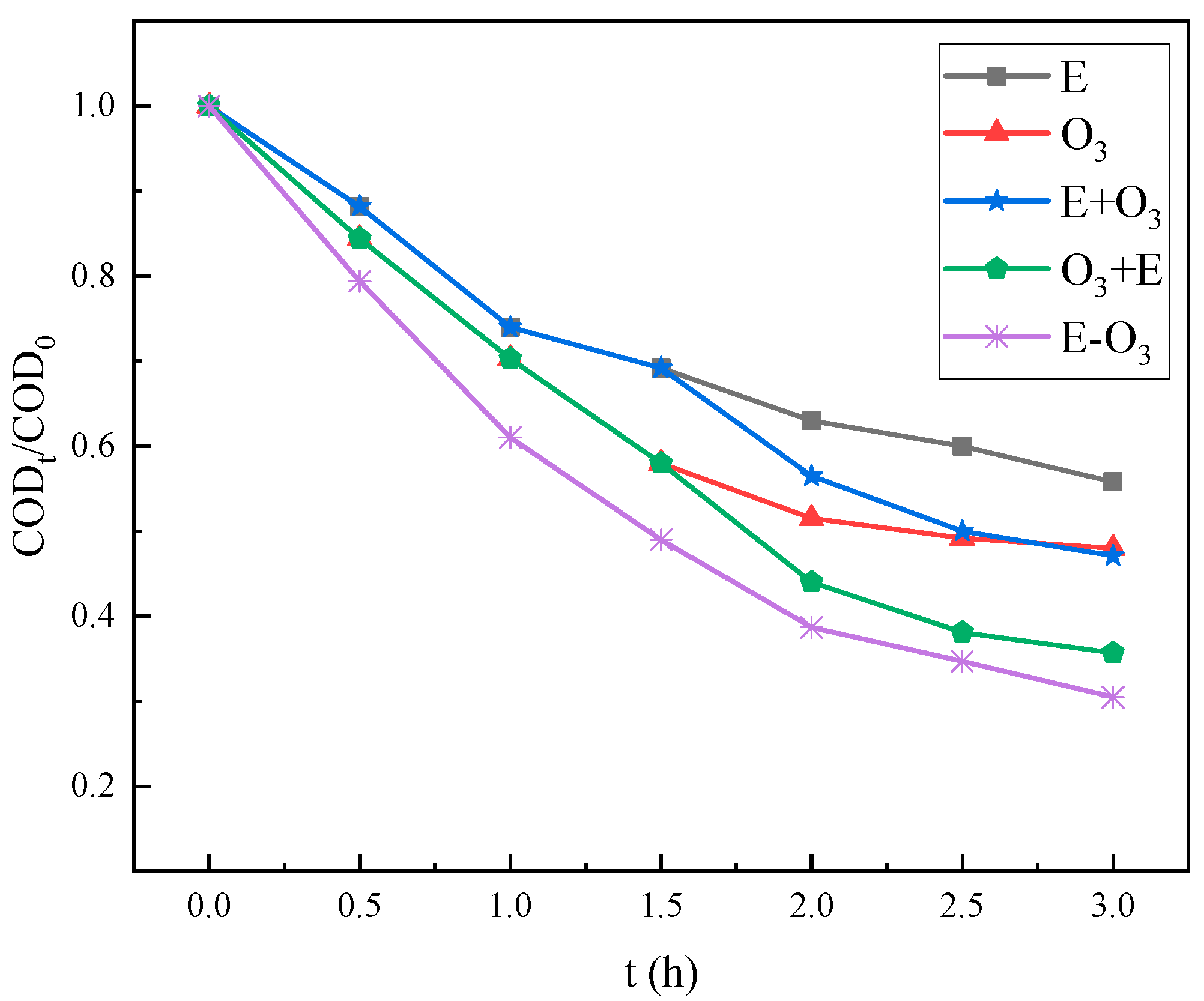
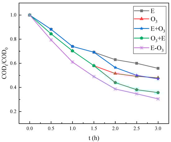
The variations in COD removal efficiency in the process of treating RO concentrates with different combinations of ozonation and electrolysis were compared, and the results are presented in Figure 8. The results showed that the efficiency order of several systems was E-O3 > O3 + E > E + O3 > O3 > E. The efficiency of ozonation treatment followed by electrolysis was higher than that of continuous ozonation treatment; similarly, the efficiency of electrolysis treatment followed by ozonation was higher than that of continuous electrolysis. This suggests that the efficiency of electrolysis in removing some intermediate products of ozonation technology is higher than that of ozonation, and, likewise, the efficiency of ozonation in degrading some intermediate products of electrolysis technology is higher than that of electrolysis. From this, it can be deduced that there is a synergy between electrolysis and ozonation technologies in the aspect of organic matter degradation pathways.
Figure 8.
Effect of different processes on COD removal.
This phenomenon can be rationally explained. In the electrolysis system, the reaction interface is two-dimensional. Organic matter is predominantly adsorbed and oxidized by the anodic electrolysis under the influence of electrophoresis. For certain organic substances that are not readily adsorbed by the anode, the oxidation efficiency is low due to the inferior mass transfer efficiency. Numerous studies have demonstrated that after ozonation treatment, a substantial amount of organic acids are generated and the pH of wastewater exhibits a downward trend [46]. This is ascribed to the electrophilic reaction of ozone with unsaturated groups. In the E-O3 process, this characteristic of ozonation facilitates the initial conversion of some organic substances into substances that are easily adsorbed by the anode and subsequently undergo electrocatalytic oxidation.
The pH value of the solution is a key factor affecting the efficiency of ozone-based AOPs, and the removal of carbonate has a significant impact on the change in pH during the reaction process, thereby affecting the efficiency of ozone decomposition to produce hydroxyl radicals. Moreover, carbonate itself has an impact on advanced oxidation reactions. By removing carbonate through the preliminary treatment process, the variations in pH in the wastewater treatment process by the three systems of ozonation, electrolysis, and E-O3 are depicted in Figure 9. As the reaction proceeded, the pH of the ozonation system gradually declined, and, ultimately, the pH of the system was maintained stably at approximately 4.3. Nevertheless, the pH of the electrolysis and E-O3 systems decreased initially and then increased, eventually stabilizing at around 8.2. This suggests that the combination of electrolysis and ozonation can prevent the accumulation of acidic intermediate products. It can be accounted for by the fact that the E-O3 system has a higher efficiency in generating hydroxyl radicals, which leads to the removal of the small organic acids produced by the direct oxidation processes of ozone.
Figure 9.
Effect of different processes on the pH value of wastewater after preliminary treatment.
4. Conclusions
This pilot-scale experiment explored the E-O3 technology’s efficiency in treating the concentrated wastewater from a reverse osmosis system from the printing and dyeing industry. The effects of different parameters on the efficiency of E-O3 were also studied. The objective was to investigate the performance of E-O3 in the treatment of real wastewater and provide references for theoretical research on the application of E-O3. The results are summarized as follows:
- It is necessary to remove carbonate ions through pretreatment in the application process of E-O3; the advantage of E-O3 can only be obtained after carbonate ion removal.
- The combination of electrolysis and ozonation not only exhibits synergy in the generation of hydroxyl radicals but also in the degradation pathways of substances.
- The combination of electrolysis and ozonation has an inhibitory effect on the decrease in pH, which is an important factor in the synergistic mechanism of hydroxyl radicals.
- In engineering applications, the efficiency of the E-O3 technology can be regulated by synergistically controlling the ozone dosage and current density.
Author Contributions
Conceptualization, Y.D.; methodology, J.W.; software, B.T.; validation, Y.D. and J.W.; formal analysis, Y.D.; investigation, B.T.; resources, J.W.; data curation, J.W.; writing—original draft preparation, Y.D.; writing—review and editing, Y.D.; visualization, B.T.; supervision, J.W.; project administration. All authors have read and agreed to the published version of the manuscript.
Funding
This research received no external funding. And the APC was funded by SUNUP Co., Ltd.
Data Availability Statement
The data presented in this study are available on request from the corresponding author.
Acknowledgments
This work was supported by the Zhejiang University, and SUNUP Co., Ltd. The views and ideas expressed herein are solely those of the authors and do not represent the ideas of the funding agencies in any form. We would like to thank the College of Environmental & Resource Sciences at Zhejiang University and SUNUP Co., Ltd.
Conflicts of Interest
The authors declare that this study received funding from SUNUP Co., Ltd. The funder was not involved in the study design, collection, analysis, interpretation of data, the writing of this article or the decision to submit it for publication.
References
- Minier-Matar, J.; Alshamari, E.; Raja, M.; Khan, F.; Al-Maas, M.; Hussain, A.; Adham, S. Detailed organic characterization of process water to evaluate reverse osmosis membrane fouling in industrial wastewater treatment. Desalination 2024, 572, 117128. [Google Scholar] [CrossRef]
- Kim, S.; Chu, K.H.; Al-Hamadani, Y.A.J.; Park, C.M.; Jang, M.; Kim, D.H.; Yu, M.; Heo, J.; Yoon, Y. Removal of contaminants of emerging concern by membranes in water and wastewater: A review. Chem. Eng. J. 2018, 335, 896–914. [Google Scholar] [CrossRef]
- Choi, M.Y.; Theerthagiri, J.; Maia, G. 2D advanced materials and technologies for industrial wastewater treatment. Chemosphere 2021, 284, 131394. [Google Scholar] [CrossRef] [PubMed]
- Cruz, C.; Herrera-León, S.; Calisaya-Azpilcueta, D.; Salazar, R.; Cisternas, L.A.; Kraslawski, A. Using Waste Brine from Desalination Plant as a Source of Industrial Water in Copper Mining Industry. Minerals 2022, 12, 1162. [Google Scholar] [CrossRef]
- Dong, X.; Liu, H.; Li, J.; Gan, R.; Liu, Q.; Zhang, X. Fenton Oxidation Combined with Iron–Carbon Micro-Electrolysis for Treating Leachate Generated from Thermally Treated Sludge. Separations 2023, 10, 568. [Google Scholar] [CrossRef]
- Walschot, M.; Luis, P.; Liégeois, M. The challenges of reverse osmosis desalination: Solutions in Jordan. Water Int. 2020, 45, 112–124. [Google Scholar] [CrossRef]
- Dilaver, M.; Çelebi, M.D.; Agtas, M.; Koyuncu, I. Brackish water RO concentrate treatment and water recovery using cost lowering integrated technology. J. Environ. 2022, 10, 108463. [Google Scholar] [CrossRef]
- Samimi, M.; Moghadam, H. Modified evacuated tube collector basin solar still for optimal desalination of reverse osmosis concentrate. Energy 2024, 289, 129983. [Google Scholar] [CrossRef]
- Mortula, M.M.; Abdelrahman, M.; Tatan, B. Comparative Evaluation of Membrane Filtration on the Tertiary Treatment of Synthetic Secondary Effluent. Separations 2022, 9, 63. [Google Scholar] [CrossRef]
- Sun, W.Q.; Xiao, Z.Q.; Sun, Y.J.; Ding, L.; Zhou, J. Preparation of Cu-Ce@γ-Al2O3 and Study on Catalytic Ozone Oxidation for the Treatment of RO Concentrate Water. Water 2022, 14, 2881. [Google Scholar] [CrossRef]
- Zhao, D.D.; Lee, L.Y.; Ong, S.L.; Chowdhury, P.; Siah, K.B.; Ng, H.Y. Electrodialysis reversal for industrial reverse osmosis brine treatment. Sep. Purif. Technol. 2019, 213, 339–347. [Google Scholar] [CrossRef]
- Von Eiff, D.; Wong, P.W.; Gao, Y.G.; Jeong, S.; An, A.K. Technical and economic analysis of an advanced multi-stage flash crystallizer for the treatment of concentrated brine. Desalioation 2021, 503, 114925. [Google Scholar] [CrossRef]
- Hu, Z.; Xiang, F.; Mao, J.; Ding, Y.; Tong, S. Oxidative Efficiency of Ozonation Coupled with Electrolysis for Treatment of Acid Wastewater. J. Electrochem. 2022, 28, 2104191. [Google Scholar]
- Bai, G.; Chen, M.; Cai, N.; Guo, Z.; Zhang, T.; Guo, P. Advances on Determination Methods of Free Radicals in Advanced Oxidation Processes. J. Instrum. Anal. 2021, 40, 1109–1118. [Google Scholar]
- Kasprzyk-Hordern, B.; Ziólek, M.; Nawrocki, J. Catalytic ozonation and methods of enhancing molecular ozone reactions in water treatment. Appl. Catal. B-Environ. 2003, 46, 639–669. [Google Scholar] [CrossRef]
- Wang, J.L.; Xu, L.J. Advanced Oxidation Processes for Wastewater Treatment: Formation of Hydroxyl Radical and Application. Crit. Rev. Environ. Sci. Technol. 2012, 42, 251–325. [Google Scholar] [CrossRef]
- Pera-Titus, M.; García-Molina, V.; Baños, M.A.; Giménez, J.; Esplugas, S. Degradation of chlorophenols by means of advanced oxidation processes: A general review. Appl. Catal. B-Environ. 2004, 47, 219–256. [Google Scholar] [CrossRef]
- Saravanan, A.; Deivayanai, V.C.; Kumar, P.S.; Rangasamy, G.; Hemavathy, R.V.; Harshana, T.; Gayathri, N.; Alagumalai, K. A detailed review on advanced oxidation process in treatment of wastewater: Mechanism, challenges and future outlook. Chemosphere 2022, 308, 136524. [Google Scholar] [CrossRef]
- Lin, W.; Liu, X.; Ding, A.; Ngo, H.H.; Zhang, R.R.; Nan, J.; Ma, J.; Li, G.B. Advanced oxidation processes (AOPs)-based sludge conditioning for enhanced sludge dewatering and micropollutants removal: A critical review. J. Water Process Eng. 2022, 45, 102468. [Google Scholar] [CrossRef]
- Tian, K.; Hu, L.M.; Li, L.T.; Zheng, Q.Z.; Xin, Y.J.; Zhang, G.S. Recent advances in persulfate-based advanced oxidation processes for organic wastewater treatment. Chin. Chem. Lett. 2022, 33, 4461–4477. [Google Scholar] [CrossRef]
- Li, X.X.; Fu, L.; Chen, F.; Zhao, S.C.; Zhu, J.W.; Yin, C.L. Application of Heterogeneous Catalytic Ozonation in Wastewater Treatment: An Overview. Catalysts 2023, 13, 342. [Google Scholar] [CrossRef]
- Wang, J.L.; Chen, H. Catalytic ozonation for water and wastewater treatment: Recent advances and perspective. Sci. Total Environ. 2020, 704, 135249. [Google Scholar] [CrossRef] [PubMed]
- Garcia-Segura, S.; Brillas, E. Applied photoelectrocatalysis on the degradation of organic pollutants in wastewaters. J. Photochem. Photobiol. C-Photochem. Rev. 2017, 31, 1–35. [Google Scholar] [CrossRef]
- Radjenovic, J.; Sedlak, D.L. Challenges and Opportunities for Electrochemical Processes as Next-Generation Technologies for the Treatment of Contaminated Water. Environ. Sci. Technol. 2015, 49, 11292–11302. [Google Scholar] [CrossRef] [PubMed]
- Qiu, J.K.; Wang, J.; Ren, M.Z.; Yang, X.; Zhang, J.B.; Zhang, X.L.; Cao, H.B.; Xie, Y.B. Comprehensive effect of water matrix on catalytic ozonation of chloride contained saline wastewater. Water Res. 2023, 234, 119827. [Google Scholar] [CrossRef] [PubMed]
- Tu, Y.M.; Chen, J.J.; Shao, G.Y.; Qu, Y.X.; Zhang, F.; Tian, S.C.; Zhou, Z.Y.; Ren, Z.Q. Preparation and application of green calcium-based catalyst for advanced treatment of salty wastewater with ozone. J. Clean. Prod. 2022, 362, 132464. [Google Scholar] [CrossRef]
- Guo, H.; Li, X.K.; Li, G.H.; Liu, Y.; Rao, P.H. Preparation of SnOx-MnOx@Al2O3 for Catalytic Ozonation of Phenol in Hypersaline Wastewater. Ozone-Sci. Eng. 2023, 45, 262–275. [Google Scholar] [CrossRef]
- Hu, Z.Z.; Cai, J.J.; Song, G.; Tian, Y.S.; Zhou, M.H. Anodic oxidation of organic pollutants: Anode fabrication, process hybrid and environmental applications. Curr. Opin. Electrochem. 2021, 26, 100659. [Google Scholar] [CrossRef]
- Milh, H.; Yu, X.Y.; Cabooter, D.; Dewil, R. Degradation of ciprofloxacin using UV-based advanced removal processes: Comparison of persulfate-based advanced oxidation and sulfite-based advanced reduction processes. Sci. Total Environ. 2021, 764, 144510. [Google Scholar] [CrossRef]
- Kishimoto, N.; Arai, H. Effect of Acidification on Ozone-Electrolysis Advanced Oxidation Process. Ozone-Sci. Eng. 2022, 44, 265–273. [Google Scholar] [CrossRef]
- Ding, Y.L.; Wang, C.; Yin, F.; Zhang, X.F.; Wu, G.Q.; Tong, S.P. Quantitative Investigation of the Synergistic Effect of Electrolysis Combined with Ozonation for Degradation of Nitrobenzene. Ozone-Sci. Eng. 2019, 41, 351–357. [Google Scholar] [CrossRef]
- Tang, P.; Liu, B.; Zhang, Y.; Chang, H.; Zhou, P.; Feng, M.; Sharma, V.K. Sustainable reuse of shale gas wastewater by pre-ozonation with ultrafiltration-reverse osmosis. Chem. Eng. J. 2020, 392, 123743. [Google Scholar] [CrossRef]
- Chen, W.; Westerhoff, P.; Leenheer, J.A.; Booksh, K. Fluorescence excitation—Emission matrix regional integration to quantify spectra for dissolved organic matter. Environ. Sci. Technol. 2003, 37, 5701–5710. [Google Scholar] [CrossRef]
- Bilińska, L.; Blus, K.; Gmurek, M.; Ledakowicz, S. Coupling of electrocoagulation and ozone treatment for textile wastewater reuse. Chem. Eng. J. 2019, 358, 992–1001. [Google Scholar] [CrossRef]
- de Leon-Condes, C.; Barrera-Díaz, C.; Barrios, J.; Becerril, E.; Reyes-Pérez, H. A coupled ozonation–electrooxidation treatment for removal of bisphenol A, nonylphenol and triclosan from wastewater sludge. Int. J. Environ. Sci. Technol. 2016, 14, 707–716. [Google Scholar] [CrossRef]
- Furatian, L.; Mohseni, M. Inuence of major anions on the 185 nm advanced oxidation process—Sulphate, bicarbonate, and chloride. Chemosphere 2018, 201, 503–510. [Google Scholar] [CrossRef] [PubMed]
- Saylor, G.L.; Kupferle, M.J. The impact of chloride or bromide ions on the advanced oxidation of atrazine by combined electrolysis and ozonation. J. Environ. 2019, 7, 103105. [Google Scholar] [CrossRef]
- Nemes, A.; Fábián, I.; van Eldik, R. Kinetics and Mechanism of the Carbonate Ion Inhibited Aqueous Ozone Decomposition. J. Phys. Chem. A 2000, 104, 7995–8000. [Google Scholar] [CrossRef]
- Merkus, V.I.; Leupold, M.S.; Rockel, S.P.; Lutze, H.V.; Schmidt, T.C. Effects of organic matter and alkalinity on the ozonation of antiviral purine derivatives as exemplary micropollutant motif. Water Res. 2023, 243, 120387. [Google Scholar] [CrossRef]
- Qi, H.; Lin, Q.; Chen, M.; Liao, X.; Chen, J.; Li, F.; Yuan, B. Humic acid’s (HA) role in NDMA formation from daminozide (DMNZD) during ozonation. Environ. Sci. Water Res. Technol. 2020, 6, 2766–2775. [Google Scholar] [CrossRef]
- Katsoyiannis, I.A.; Canonica, S.; von Gunten, U. Efficiency and energy requirements for the transformation of organic micropollutants by ozone, O3/H2O2 and UV/H2O2. Water Res. 2011, 45, 3811–3822. [Google Scholar] [CrossRef] [PubMed]
- Byun, S.; Taurozzi, J.S.; Alpatova, A.L.; Wang, F.; Tarabara, V.V. Performance of polymeric membranes treating ozonated surface water: Effect of ozone dosage. Sep. Purif. Technol. 2011, 81, 270–278. [Google Scholar] [CrossRef]
- Cheng, C.; Huang, X.; Cheng, W.; Quan, X.; Cheng, Z.; Jiang, L.; Yang, L. Ozonation of biologically-treated municipal solid waste leachate using an integrated process of O3/Ca(OH)2 and microbubble reactor. Environ. Technol. 2019, 42, 2402–2412. [Google Scholar] [CrossRef] [PubMed]
- Feng, H.; Liu, M.; Tang, T.; Du, Y.; Yao, B.; Yang, C.; Yuan, C.; Chen, Y. Insights into the efficient ozonation process focusing on 2,4-di-tert-butylphenol—A notable micropollutant of typical bamboo papermaking wastewater: Performance and mechanism. J. Hazard. Mater. 2023, 443, 130346. [Google Scholar] [CrossRef] [PubMed]
- Akbari, S.; Ghanbari, F.; Moradi, M. Bisphenol A degradation in aqueous solutions by electrogenerated ferrous ion activated ozone, hydrogen peroxide and persulfate: Applying low current density for oxidation mechanism. Chem. Eng. J. 2016, 294, 298–307. [Google Scholar] [CrossRef]
- Li, X.; Wang, Y.; Yuan, S.; Li, Z.; Wang, B.; Huang, J.; Deng, S.; Yu, G. Degradation of the anti-inflammatory drug ibuprofen by electro-peroxone process. Water Res. 2014, 63, 81–93. [Google Scholar] [CrossRef]
Disclaimer/Publisher’s Note: The statements, opinions and data contained in all publications are solely those of the individual author(s) and contributor(s) and not of MDPI and/or the editor(s). MDPI and/or the editor(s) disclaim responsibility for any injury to people or property resulting from any ideas, methods, instructions or products referred to in the content. |
© 2024 by the authors. Licensee MDPI, Basel, Switzerland. This article is an open access article distributed under the terms and conditions of the Creative Commons Attribution (CC BY) license (https://creativecommons.org/licenses/by/4.0/).








