Supercritical Carbon Dioxide + Ethanol Extraction to Improve Organoleptic Attributes of Pea Flour with Applications of Sensory Evaluation, HS-SPME-GC, and GC-Olfactory
Abstract
1. Introduction
2. Materials and Methods
2.1. Materials
2.2. Particle Size Determination
2.3. SC-CO2+EtOH Extraction
2.4. Headspace Solid-Phase Microextraction-Gas Chromatography (HS-SPME-GC) Analysis of Selected Volatile Compounds
2.5. Gas Chromatography-Olfactory (GC-O) Training
2.5.1. Vocabulary Training
2.5.2. Reference Mixture Training
2.5.3. Real Sample Training Using Pea Flour
2.6. Headspace Solid-Phase Gas Chromatography Mass Spectrometry Olfactory (HS-SPME-GC/MS-O) Analysis
2.7. Sensory Assessment by Quantitative Descriptive Analysis (QDA)
2.8. Statistical Analysis
3. Results and Discussion
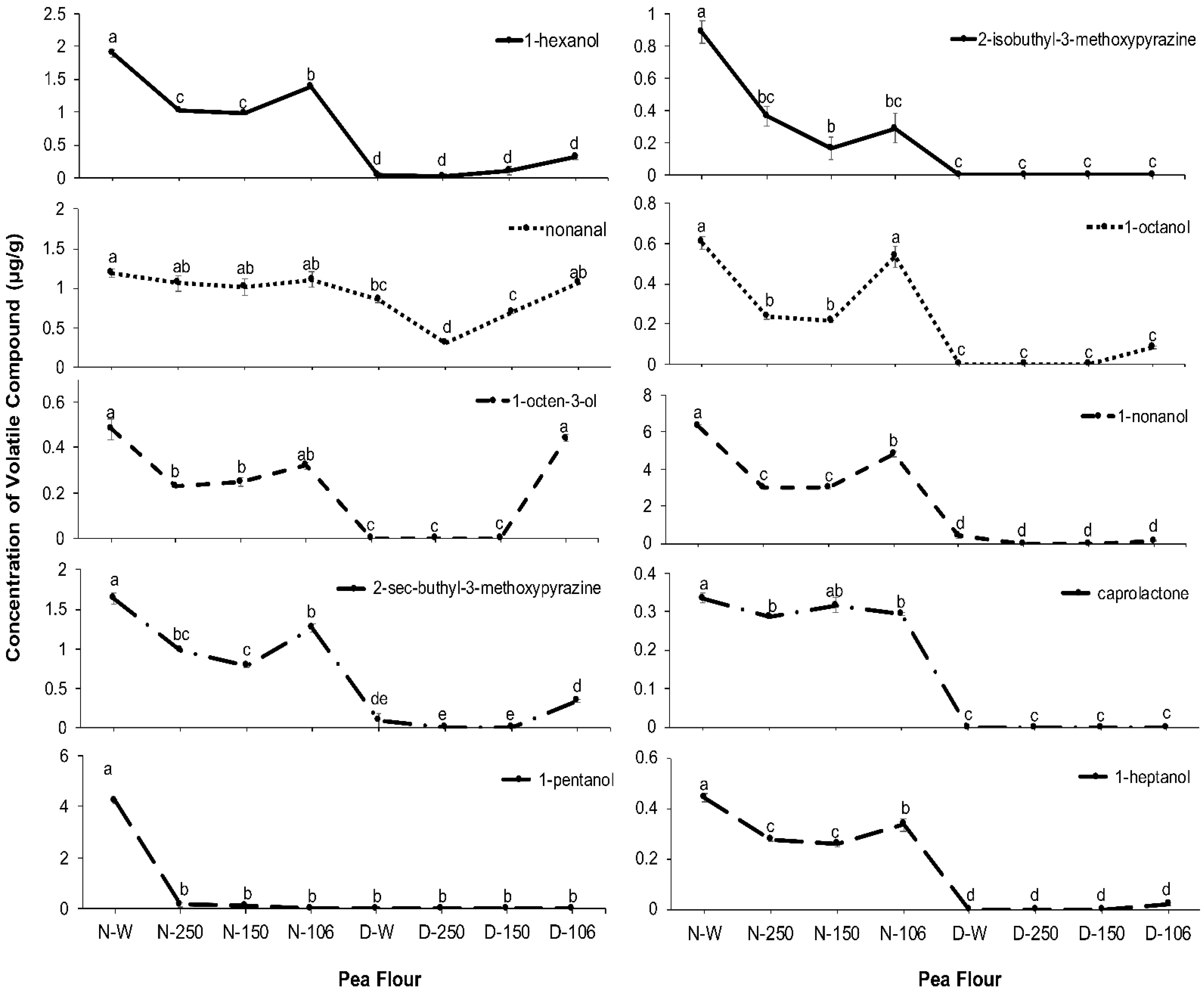
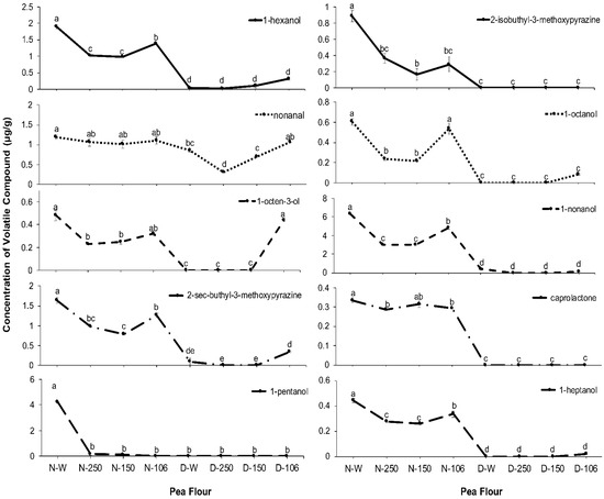
3.1. Volatile Compounds Identified in Pea Flour Using the HS-SPME-GC Analysis
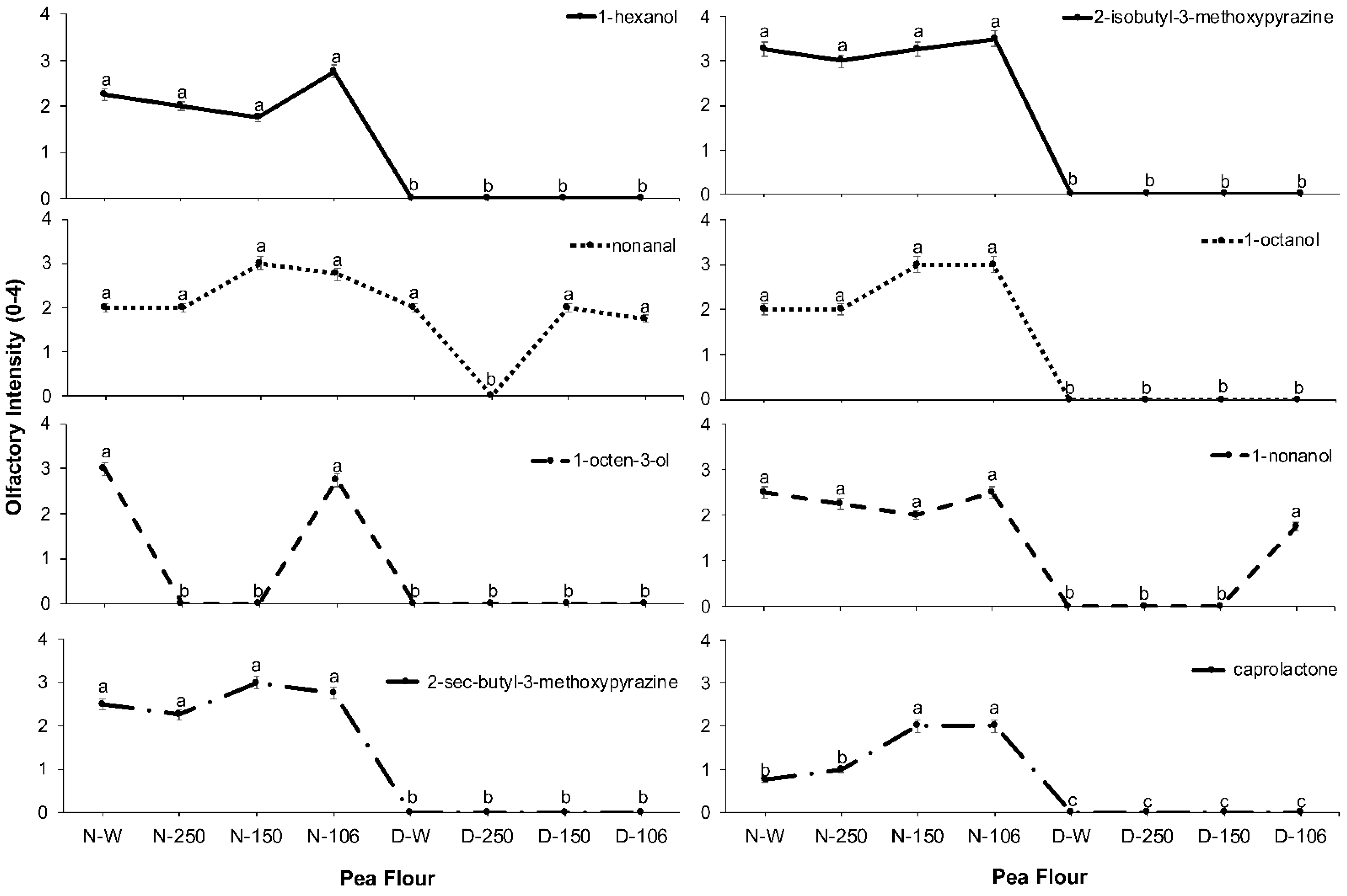
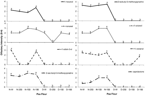
3.2. HS-SPME-GC/MS-O Analysis of Volatile Compounds in Pea Flours
3.3. QDA Analysis of Pea Flours
3.4. Chemometric Analysis of Response Variables from Instrumental and Sensory Analyses
4. Conclusions
Author Contributions
Funding
Institutional Review Board Statement
Informed Consent Statement
Data Availability Statement
Acknowledgments
Conflicts of Interest
Appendix A


| Off-Aroma Compounds | CAS Number | Threshold (µg/L) A | Standard Curve | R2 B |
| 2-pentylfuran | 3777-69-3 | 6 | y = 30.536x + 31.236 | 0.9746 |
| 1-pentanol | 71-41-0 | 400 | y = 2.8851x + 8.4212 | 0.9840 |
| 1-hexanol | 928-96-1 | 2500 | y = 9.0737x − 0.5495 | 0.9959 |
| Nonanal | 124-19-6 | 1 | y = 7.3643x − 7.9437 | 0.9927 |
| 1-octen-3-ol | 3391-86-4 | 1 | y = 6.0098x + 0.6923 | 0.9869 |
| 1-heptanol | 111-70-6 | -- | y = 5.338x − 0.6407 | 0.9919 |
| 2-sec-butyl-3 methoxypyrazine | 24168-70-5 | 0.001 | y = 2.028x − 0.1348 | 0.9990 |
| 2-isobutyl-3-methoxypyrazine | 24683-00-9 | 0.001 | y = 1.8039x − 1.5212 | 0.9846 |
| 1-octanol | 111-87-5 | 110–130 | y = 4.8329x + 1.1097 | 0.9933 |
| 1-nonanol | 143-08-8 | 50 | y = 1.2204x + 0.7846 | 0.9962 |
| γ-caprolactone C | 695-06-7 | -- | y = 4.1966x − 0.168 | 0.9976 |
References
- Alves, A.C.; Tavares, G.M. Mixing animal and plant proteins: Is this a way to improve protein techno-functionalities? Food Hydrocoll. 2019, 97. [Google Scholar] [CrossRef]
- Nadathur, S.R.; Wanasundara, J.P.D.; Scanlin, L. Feeding the globe nutritious food in 2050: Obligations and ethical choices. Sustain. Protein Sources 2017, 409–421. [Google Scholar] [CrossRef]
- Pojic, M.; Misan, A.; Tiwari, B. Eco-innovative technologies for extraction of proteins for human consumption from renewable protein sources of plant origin. Trends Food Sci. Technol. 2018, 75, 93–104. [Google Scholar] [CrossRef]
- Malcolmson, L.; Frohlich, P.; Boux, G.; Bellido, A.S.; Boye, J.; Warkentin, T.D. Aroma and flavour properties of Saskatchewan grown field peas (Pisum sativum L.). Can. J. Plant Sci. 2014, 94, 1419–1426. [Google Scholar] [CrossRef]
- Hall, C.; Hillen, C.; Robinson, J.G. Composition, nutritional value, and health benefits of pulses. Cereal Chem. 2017, 94, 11–31. [Google Scholar] [CrossRef]
- Maskus, H.; Bourre, L.; Fraser, S.; Sarkar, A.; Malcolmson, L. Effects of grinding method on the compositional, physical, and functional properties of whole and split yellow pea flours. Cereal Food World 2016, 61, 59–64. [Google Scholar] [CrossRef]
- Vatansever, S.; Tulbek, M.C.; Riaz, M.N. Low- and high-moisture extrusion of pulse proteins as plant-based meat ingredients: A review. Cereal Food World 2020, 65. [Google Scholar] [CrossRef]
- Murat, C.; Bard, M.H.; Dhalleine, C.; Cayot, N. Characterisation of odour active compounds along extraction process from pea flour to pea protein extract. Food Res. Int. 2013, 53, 31–41. [Google Scholar] [CrossRef]
- Nosworthy, M.G.; Tulbek, M.C.; House, J.D. Does the concentration, isolation, or deflavoring of pea, lentil, and faba bean protein alter protein quality? Cereal Food World 2017, 62, 139–142. [Google Scholar] [CrossRef]
- Vatansever, S.; Hall, C. Flavor modification of yellow pea flour using supercritical carbon dioxide plus ethanol extraction and response surface methodology. J. Supercrit. Fluids 2020, 156. [Google Scholar] [CrossRef]
- Roland, W.S.U.; Pouvreau, L.; Curran, J.; van de Velde, F.; de Kok, P.M.T. Flavor aspects of pulse ingredients. Cereal Chem. 2017, 94, 58–65. [Google Scholar] [CrossRef]
- Azarnia, S.; Boye, J.I.; Warkentin, T.; Malcolmson, L. Changes in volatile flavour compounds in field pea cultivars as affected by storage conditions. Int. J. Food Sci. Technol. 2011, 46, 2408–2419. [Google Scholar] [CrossRef]
- Sessa, D.J.; Rackis, J.J. Lipid-derived flavors of legume protein products. J. Am. Oil Chem. Soc. 1977, 54, 468–473. [Google Scholar] [CrossRef]
- Murray, K.E.; Shipton, J.; Whitfield, F.B.; Last, J.H. Volatiles of off-flavored unblanched green peas (Pisum sativum). J. Sci. Food Agric. 1976, 27, 1093–1107. [Google Scholar] [CrossRef]
- Xu, M.; Jin, Z.; Lan, Y.; Rao, J.; Chen, B. HS-SPME-GC-MS/olfactometry combined with chemometrics to assess the impact of germination on flavor attributes of chickpea, lentil, and yellow pea flours. Food Chem. 2019, 280, 83–95. [Google Scholar] [CrossRef] [PubMed]
- Murray, K.E.; Shipton, J.; Whitfield, F.B. 2-methoxypyrazines and flavour of green peas (Pisum sativum). Chem. Ind. 1970, 27, 897–898. [Google Scholar]
- Jakobsen, H.B.; Hansen, M.; Christensen, M.R.; Brockhoff, P.B.; Olsen, C.E. Aroma volatiles of blanched green peas (Pisum sativum L.). J. Agric. Food Chem. 1998, 46, 3727–3734. [Google Scholar] [CrossRef]
- Heng, L.; Vincken, J.P.; Hoppe, K.; van Koningsveld, G.A.; Decroos, K.; Gruppen, H.; van Boekel, M.A.J.S.; Voragen, A.G.J. Stability of pea DDMP saponin and the mechanism of its decomposition. Food Chem. 2006, 99, 326–334. [Google Scholar] [CrossRef]
- Shao, Q.; Huang, Y.; Zhou, A.; Guo, H.; Zhang, A.; Wang, Y. Application of response surface methodology to optimise supercritical carbon dioxide extraction of volatile compounds from Crocus sativus. J. Sci. Food Agric. 2014, 94, 1430–1436. [Google Scholar] [CrossRef] [PubMed]
- Vatansever, S.; Rao, J.J.; Hall, C. Effects of ethanol modified supercritical carbon dioxide extraction and particle size on the physical, chemical, and functional properties of yellow pea flour. Cereal Chem. 2020, 97, 1133–1147. [Google Scholar] [CrossRef]
- Gracia, I.; Rodriguez, J.F.; Garcia, M.T.; Alvarez, A.; Garcia, A. Isolation of aroma compounds from sugar cane spirits by supercritical CO2. J. Supercrit. Fluids 2007, 43, 37–42. [Google Scholar] [CrossRef]
- Sharif, K.M.; Rahman, M.M.; Azmir, J.; Mohamed, A.; Jahurul, M.H.A.; Sahena, F.; Zaidul, I.S.M. Experimental design of supercritical fluid extraction—A review. J. Food Eng. 2014, 124, 105–116. [Google Scholar] [CrossRef]
- Xu, H.; Xu, X.; Tao, Y.; Yuan, F.; Gao, Y. Optimization by response surface methodology of supercritical carbon dioxide extraction of flavour compounds from Chinese liquor vinasse. Flavour Fragr. J. 2015, 30, 275–281. [Google Scholar] [CrossRef]
- Cobb, B.F.; Kallenbach, J.; Hall, C.A., III; Pryor, S.W. Optimizing the supercritical fluid extraction of lutein from corn gluten meal. Food Bioproc. Tech. 2018, 11, 757–764. [Google Scholar] [CrossRef]
- Ozkal, S.G.; Yener, M.E.; Salgin, U.; Mehmetoglu, U. Response surfaces of hazelnut oil yield in supercritical carbon dioxide. Eur. Food Res. Technol. 2005, 220, 74–78. [Google Scholar] [CrossRef]
- Braga, M.E.M.; Moreschi, S.R.M.; Meireles, M.A.A. Effects of supercritical fluid extraction on Curcuma longa L. and Zingiber officinale R. starches. Carbohydr. Polym. 2006, 63, 340–346. [Google Scholar] [CrossRef]
- Ivanovic, J.; Milovanovic, S.; Zizovic, I. Utilization of supercritical CO2 as a processing aid in setting functionality of starch-based materials. Starch-Starke 2016, 68, 821–833. [Google Scholar] [CrossRef]
- Muljana, H.; Picchioni, F.; Heeres, H.J.; Janssen, L. Supercritical carbon dioxide (scCO2) induced gelatinization of potato starch. Carbohydr. Polym. 2009, 78, 511–519. [Google Scholar] [CrossRef]
- Vatansever, S.; Whitney, K.; Ohm, J.-B.; Simsek, S.; Hall, C. Physicochemical and multi-scale structural alterations of pea starch induced by supercritical carbon dioxide plus ethanol extraction. Food Chem. 2021, 344. [Google Scholar] [CrossRef]
- Ozkal, S.G.; Yener, M.E. Supercritical carbon dioxide extraction of flaxseed oil: Effect of extraction parameters and mass transfer modeling. J. Supercrit. Fluids 2016, 112, 76–80. [Google Scholar] [CrossRef]
- Chai, Y.H.; Yusup, S.; Kadir, W.N.A.; Wong, C.Y.; Rosli, S.S.; Ruslan, M.S.H.; Chin, B.L.F.; Yiin, C.L. Valorization of tropical biomass waste by supercritical fluid extraction technology. Sustainability 2021, 13, 233. [Google Scholar] [CrossRef]
- Chang, C.; Stone, A.K.; Green, R.; Nickerson, M.T. Reduction of off-flavours and the impact on the functionalities of lentil protein isolate by acetone, ethanol, and isopropanol treatments. Food Chem. 2019, 277, 84–95. [Google Scholar] [CrossRef]
- Wang, Y.; Guldiken, B.; Tulbek, M.; House, J.D.; Nickerson, M. Impact of alcohol washing on the flavour profiles, functionality and protein quality of air classified pea protein enriched flour. Food Res. Int. 2020, 132. [Google Scholar] [CrossRef]
- Schindler, S.; Zelena, K.; Krings, U.; Bez, J.; Eisner, P.; Berger, R.G. Improvement of the aroma of pea (Pisum sativum) protein extracts by lactic acid fermentation. Food Biotechnol. 2012, 26, 58–74. [Google Scholar] [CrossRef]
- Kaiser, A.C.; Barber, N.; Manthey, F.; Hall, C. Physicochemical properties of hammer-milled yellow split pea (Pisum Sativum L.). Cereal Chem. 2019, 96, 313–323. [Google Scholar] [CrossRef]
- AACC Approved Methods of Analysis, 11th ed.; Method 55-60.01. Guideline for determination of particle size distribution; Cereals & Grains Association: St. Paul, MN, USA, 2011. [CrossRef]
- Hall, C.A.; Manthey, F.A.; Lee, R.E.; Niehaus, M. Stability of alpha-linolenic acid and secoisolariciresinol diglucoside in flaxseed-fortified macaroni. J. Food Sci. 2005, 70, C483–C489. [Google Scholar] [CrossRef]
- Vene, K.; Seisonen, S.; Koppel, K.; Leitner, E.; Paalme, T. A method for GC-Olfactometry panel training. Chemosens. Percept. 2013, 6, 179–189. [Google Scholar] [CrossRef]
- Heng, L. Flavour Aspects of Pea and Its Protein Preparations in Relation to Novel Protein Foods. Ph.D. Thesis, Wageningen University, Wageningen, The Netherlands, 2005. [Google Scholar]
- Trikusuma, M.; Paravisini, L.; Peterson, D.G. Identification of aroma compounds in pea protein UHT beverages. Food Chem. 2020, 312. [Google Scholar] [CrossRef] [PubMed]
- Anantharamkrishnan, V.; Thomas, H.; Reineccius, G.A. Covalent adduct formation between flavor compounds of various functional group classes and the model protein β-Lactoglobulin. J. Agric. Food Chem. 2020, 68, 6395–6402. [Google Scholar] [CrossRef] [PubMed]
- Cordoba, N.; Pataquiva, L.; Osorio, C.; Moreno Moreno, F.L.; Yolanda Ruiz, R. Effect of grinding, extraction time and type of coffee on the physicochemical and flavour characteristics of cold brew coffee. Sci. Rep. 2019, 9. [Google Scholar] [CrossRef]
- Khaw, K.-Y.; Parat, M.-O.; Shaw, P.N.; Falconer, J.R. Solvent supercritical fluid technologies to extract bioactive compounds from natural sources: A review. Molecules 2017, 22, 1186. [Google Scholar] [CrossRef] [PubMed]
- Neta, E.R.D.; Miracle, R.E.; Sanders, T.H.; Drake, M.A. Characterization of alkyl methoxypyrazines contributing to earthy/bell pepper flavor in farmstead cheddar cheese. J. Food Sci. 2008, 73, C632–C638. [Google Scholar] [CrossRef] [PubMed]
- Liu, D.; Deng, Y.; Sha, L.; Hashem, M.A.; Gai, S. Impact of oral processing on texture attributes and taste perception. J. Food Sci. Tech. Mys. 2017, 54, 2585–2593. [Google Scholar] [CrossRef] [PubMed]
- Leffingwell & Associates. Odor & Flavor Detection Thresholds in Water (in Parts per Billion). Available online: http://www.leffingwell.com/odorthre.htm (accessed on 24 February 2021).





| Treatment | Pea intensity | Bitterness | HS-SPME-GC (TV) A | GC-O (TVI) B | |
|---|---|---|---|---|---|
| mm | µg/g | degree of intensity | |||
| Non-deflavored | Whole | 112.3 ± 4.7 a | 53.4 ± 4.3 ab | 18.1 ± 1.0 a | 19.0 ± 1.5 a |
| ≥250 C | 106.1 ± 6.4 ab | 65.5 ± 4.9 a | 7.7 ± 0.2 c | 14.5 ± 1.8 b | |
| ≥150 | 87.9 ± 3.6 b | 38.5 ± 4.8 bc | 7.1 ± 0.3 c | 18.0 ± 1.7 ab | |
| ≥106 | 63.0 ± 5.4 c | 26.7 ± 2.9 c | 10.3 ± 0.3 b | 22.0 ± 1.2 a | |
| Deflavored | Whole | 18.3 ± 3.5 d | 4.5 ± 1.7 d | 1.4 ± 0.2 de | 2.0 ± 0.1 c |
| ≥250 | 13.0 ± 3.7 d | 9.7 ± 2.4 d | 0.4 ± 0.1 e | 0.0 ± 0.0 a | |
| ≥150 | 12.0 ± 3.5 d | 8.1 ± 2.8 d | 0.8 ± 0.1 e | 2.0 ± 0.9 c | |
| ≥106 | 29.5 ± 5.9 d | 6.1 ± 2.2 d | 2.7 ± 0.4 d | 3.5 ± 1.0 c | |
| Response Variable | Extraction | Particle Size | Extraction*Particle Size | |||
|---|---|---|---|---|---|---|
| F-Value | p-Value | F-Value | p-Value | F-Value | p-Value | |
| Pea Intensity | 491.94 | <0.0001 | 6.84 | 0.0003 | 17.94 | <0.0001 |
| Bitterness | 257.24 | <0.0001 | 13.59 | <0.0001 | 11.17 | <0.0001 |
| HS-SPME-GC (TV) B | 1109.05 | <0.0001 | 91.45 | <0.0001 | 72.19 | <0.0001 |
| GC-O (TVI) C | 622.28 | <0.0001 | 11.67 | <0.0001 | 1.62 | 0.2112 ns |
| Compound | CAS | Theoretical Descriptors | Experimental Descriptors | Origin B | N-W C | N-250 D | N-150 E | N-106 F |
|---|---|---|---|---|---|---|---|---|
| 1-Hexanol | 928-96-1 | Green, hay-like odor | Floral, green, grain, hay-like | Lipid | 75% | 75% | 50% | 75% |
| Nonanal | 124-19-6 | Waxy, citrus | Lemon, citrus, green | Lipid | 75% | 75% | 75% | 75% |
| 1-Octen-3-ol | 3391-86-4 | Mushroom, earthy, broccoli | Broccoli, mushroom, earthy | Lipid | 75% | 0% | 0% | 100% |
| Alkyl Pyrazine 1 H | 24168-70-5 | Green, bell pepper, peapod | Green, vegetable, bell pepper, cilantro | Natural/ Protein K | 100% | 50% | 75% | 75% |
| Alkyl Pyrazine 2 I | 24683-00-9 | Green, peas, bell pepper | Bell pepper, broccoli, pea | Natural/ Protein | 100% | 100% | 100% | 100% |
| 1-Octanol | 111-87-5 | Mushroom, green, vegetable | Grainy, vegetable, mushroom, musty | Lipid | 50% | 75% | 75% | 100% |
| 1-Nonanol | 143-08-8 | Peas, vegetable, green, | Green, bell pepper | Lipid | 100% | 75% | 75% | 100% |
| γ-Caprolactone J | 695-06-7 | Candy, coconut, sweet | Sweet, coconut | Natural | 50% | 75% | 75% | 100% |
Publisher’s Note: MDPI stays neutral with regard to jurisdictional claims in published maps and institutional affiliations. |
© 2021 by the authors. Licensee MDPI, Basel, Switzerland. This article is an open access article distributed under the terms and conditions of the Creative Commons Attribution (CC BY) license (http://creativecommons.org/licenses/by/4.0/).
Share and Cite
Vatansever, S.; Xu, M.; Magallanes-López, A.; Chen, B.; Hall, C. Supercritical Carbon Dioxide + Ethanol Extraction to Improve Organoleptic Attributes of Pea Flour with Applications of Sensory Evaluation, HS-SPME-GC, and GC-Olfactory. Processes 2021, 9, 489. https://doi.org/10.3390/pr9030489
Vatansever S, Xu M, Magallanes-López A, Chen B, Hall C. Supercritical Carbon Dioxide + Ethanol Extraction to Improve Organoleptic Attributes of Pea Flour with Applications of Sensory Evaluation, HS-SPME-GC, and GC-Olfactory. Processes. 2021; 9(3):489. https://doi.org/10.3390/pr9030489
Chicago/Turabian StyleVatansever, Serap, Minwei Xu, Ana Magallanes-López, Bingcan Chen, and Clifford Hall. 2021. "Supercritical Carbon Dioxide + Ethanol Extraction to Improve Organoleptic Attributes of Pea Flour with Applications of Sensory Evaluation, HS-SPME-GC, and GC-Olfactory" Processes 9, no. 3: 489. https://doi.org/10.3390/pr9030489
APA StyleVatansever, S., Xu, M., Magallanes-López, A., Chen, B., & Hall, C. (2021). Supercritical Carbon Dioxide + Ethanol Extraction to Improve Organoleptic Attributes of Pea Flour with Applications of Sensory Evaluation, HS-SPME-GC, and GC-Olfactory. Processes, 9(3), 489. https://doi.org/10.3390/pr9030489

