Hydraulic Characteristics, Residence Time Distribution, and Flow Field of Electrochemical Descaling Reactor Using CFD
Abstract
:1. Introduction
2. Methods
2.1. Methods of RTD
2.2. Geometry and Mesh
2.3. Governing Equations
2.4. Model Solution Procedure
3. Results and Discussion
3.1. Validation of Grid Independence
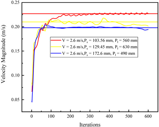
3.2. Judgment of Flow Field Reaching the Steady State
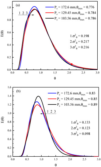
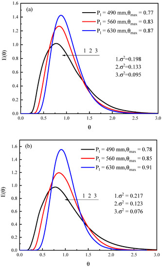
3.3. The Effect of Plate Length on the Reactor’s Hydraulic Characteristics
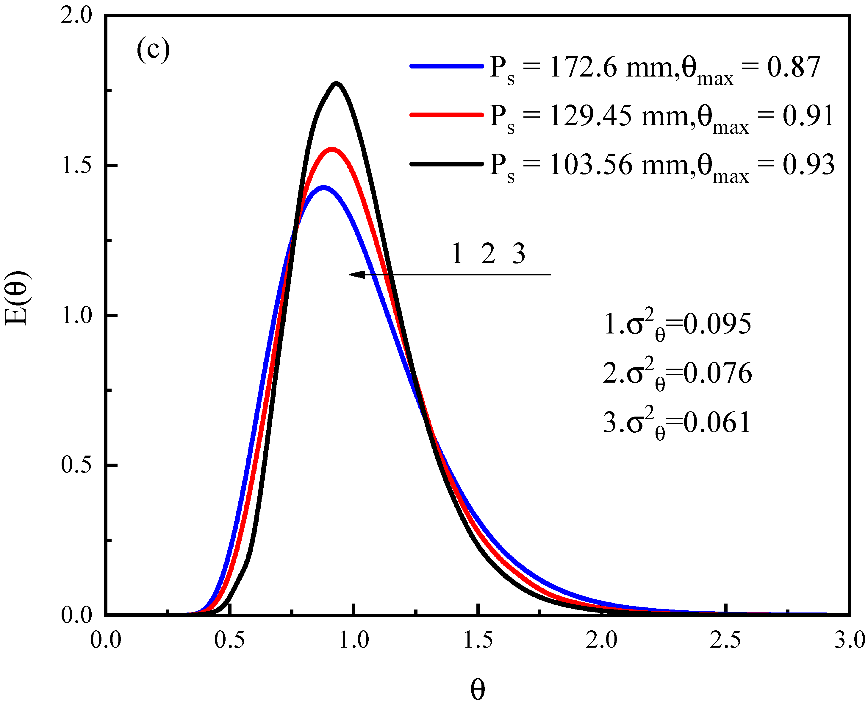
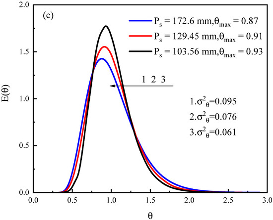
3.4. The Effect of Plate Spacing on the Reactor’s Hydraulic Characteristics
3.5. Reactor Flow Field Characteristics and Analysis
3.6. Energy Consumption Analysis
4. Conclusions
- The verification of grid independence and the verification of the flow field reaching a steady-state were carried out for the numerical simulation to reduce the rounding error and to ensure that the experimental conditions were established, which ensured the accuracy of the numerical simulation results.
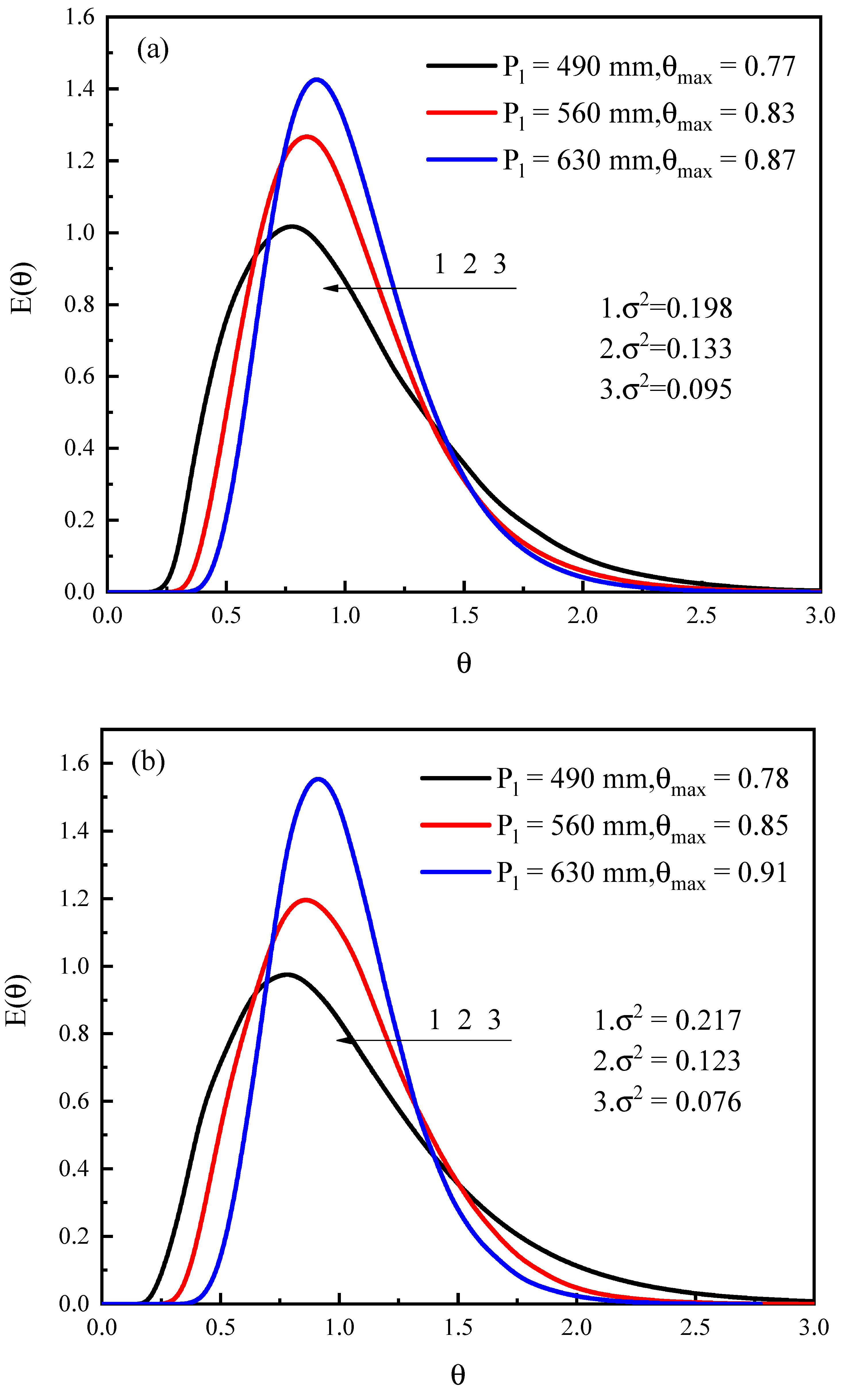
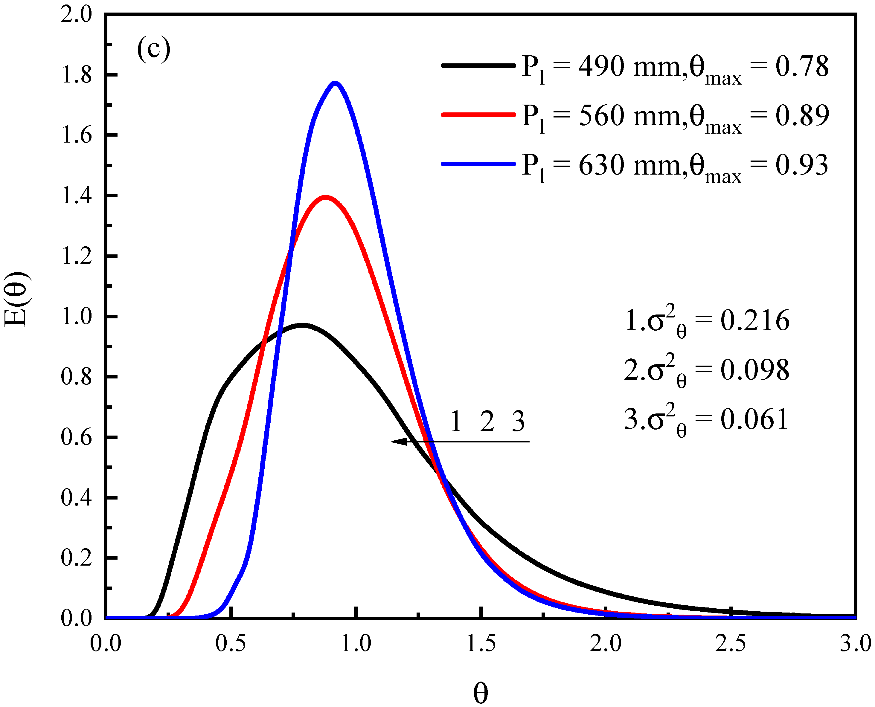
- The qualitative analysis of the reactor flow characteristics and the degree of backmixing by analyzing the RTD curves showed that increasing the plate height and decreasing the plate spacing could reduce the reactor backmixing and make it more similar to the plug-flow. The trend in increasing the maximum peak time and making it more similar to the average residence time was observed, which could effectively improve the bad flow.
- The simulation experiment can predict the fluid flow field distribution characteristics and tracer concentration in a reactor. By observing the flow field of the reactor, it was found that there were dead zones and short-circuiting in the reactor (Pl = 129.45 mm, Ps = 490 mm). In addition, the distribution characteristics of dead zones and short-circuiting were obtained by analyzing the contour plot of tracer concentration and monitoring the measurement points.
- In the electrochemical descaling reactor studied in this paper, both increasing the plate height and decreasing the plate spacing can effectively reduce the undesirable flow patterns during the reaction process, as well as enhance the reaction efficiency. However, both changes increase the reactor pressure drop and thus, increase the energy loss. Moreover, the effect of increasing the plate height on energy consumption was much smaller than decreasing the plate spacing. Therefore, in this case, we need to make a more balanced choice regarding the efficiency and energy consumption when designing and optimizing the reactors. During the optimization of a reactor, one should consider increasing the height of the pole plate as much as possible to improve the reactor’s performance and, at the same time, reduce the expenditure.
Author Contributions
Funding
Institutional Review Board Statement
Informed Consent Statement
Data Availability Statement
Conflicts of Interest
References
- National Bureau of Statistics of China, China Statistical Yearbook. 2021. Available online: https://data.stats.gov.cn/easyquery.htm?cn=C01 (accessed on 31 August 2021).
- Bao, Q. Circulating cooling water treatment over the last thirty years in China. Ind. Water Treat. 2010, 30, 6–14. [Google Scholar]
- Hasson, D.; Sidorenko, G.; Semiat, R. Calcium Carbonate Hardness Removal by a Novel Electrochemical Seeds System. Desalination 2010, 263, 285–289. [Google Scholar] [CrossRef]
- Zhi, S.; Zhang, K. Hardness Removal by a Novel Electrochemical Method. Desalination 2016, 381, 8–14. [Google Scholar] [CrossRef]
- Zhang, C.; Tang, J.; Zhao, G.; Tang, Y.; Li, J.; Li, F.; Zhuang, H.; Chen, J.; Lin, H.; Zhang, Y. Investigation on an Electrochemical Pilot Equipment for Water Softening with an Automatic Descaling System: Parameter Optimization and Energy Consumption Analysis. J. Clean. Prod. 2020, 276, 123178. [Google Scholar] [CrossRef]
- Gabrielli, C.; Maurin, G.; Francy-Chausson, H.; Thery, P.; Tran, T.T.M.; Tlili, M. Electrochemical Water Softening: Principle and Application. Desalination 2006, 201, 150–163. [Google Scholar] [CrossRef]
- Hasson, D.; Lumelsky, V.; Greenberg, G.; Pinhas, Y.; Semiat, R. Development of the Electrochemical Scale Removal Technique for Desalination Applications. Desalination 2008, 230, 329–342. [Google Scholar] [CrossRef]
- Janssen, L. The Role of Electrochemistry and Electrochemical Technology in Environmental Protection. Chem. Eng. J. 2002, 85, 137–146. [Google Scholar] [CrossRef]
- Guo, Y.; Xu, Z.; Guo, S.; Chen, S.; Xu, H.; Xu, X.; Gao, X.; Yan, W. Selection of Anode Materials and Optimization of Operating Parameters for Electrochemical Water Descaling. Sep. Purif. Technol. 2021, 261, 118304. [Google Scholar] [CrossRef]
- Luan, J.; Wang, L.; Sun, W.; Li, X.; Zhu, T.; Zhou, Y.; Deng, H.; Chen, S.; He, S.; Liu, G. Multi-Meshes Coupled Cathodes Enhanced Performance of Electrochemical Water Softening System. Sep. Purif. Technol. 2019, 217, 128–136. [Google Scholar] [CrossRef]
- Hasson, D.; Sidorenko, G.; Semiat, R. Low Electrode Area Electrochemical Scale Removal System. Desalination Water Treat. 2011, 31, 35–41. [Google Scholar] [CrossRef]
- Weinert, F.M.; Braun, D. Observation of Slip Flow in Thermophoresis. Phys. Rev. Lett. 2008, 101, 168301. [Google Scholar] [CrossRef] [Green Version]
- Mattia, D.; Leese, H.; Calabrò, F. Electro-Osmotic Flow Enhancement in Carbon Nanotube Membranes. Philos. Trans. R. Soc. A Math. Phys. Eng. Sci. 2016, 374, 20150268. [Google Scholar] [CrossRef] [PubMed] [Green Version]
- Aminpour, M.; Torres, S.A.G.; Scheuermann, A.; Li, L. Slip-Flow Regimes in Nanofluidics: A Universal Superexponential Model. Phys. Rev. Appl. 2021, 15, 054051. [Google Scholar] [CrossRef]
- Ríos, D.A.; Toro Vélez, A.F.; Peña, M.R.; Parra, C.A.M. Changes of Flow Patterns in a Horizontal Subsurface Flow Constructed Wetland Treating Domestic Wastewater in Tropical Regions. Ecol. Eng. 2009, 35, 274–280. [Google Scholar] [CrossRef]
- Danckwerts, P.V. Continuous Flow Systems: Distribution of Residence Times. Chem. Eng. Sci. 1953, 2, 1–13. [Google Scholar] [CrossRef]
- Levenspiel, O. Chemical Reaction Engineering; Wiley: New York, NY, USA, 1962. [Google Scholar]
- Makokha, A.B.; Moys, M.H.; Bwalya, M.M. Modeling the RTD of an Industrial Overflow Ball Mill as a Function of Load Volume and Slurry Concentration. Miner. Eng. 2011, 24, 335–340. [Google Scholar] [CrossRef]
- Ding, J.; Wang, X.; Zhou, X.-F.; Ren, N.-Q.; Guo, W.-Q. CFD Optimization of Continuous Stirred-Tank (CSTR) Reactor for Biohydrogen Production. Bioresour. Technol. 2010, 101, 7005–7013. [Google Scholar] [CrossRef]
- Das, S.; Sarkar, S.; Chaudhari, S. Modification of UASB Reactor by Using CFD Simulations for Enhanced Treatment of Municipal Sewage. Water Sci. Technol. 2017, 77, 766–776. [Google Scholar] [CrossRef]
- Hurtado, J.P.; Villegas, B.; Pérez, S.; Acuña, E. Optimization Study of Guide Vanes for the Intake Fan-Duct Connection Using CFD. Processes 2021, 9, 1555. [Google Scholar] [CrossRef]
- Xie, Q.; Zheng, M. CFD Simulation and Performance Investigation on a Novel Bionic Spider-Web-Type Flow Field for PEM Fuel Cells. Processes 2021, 9, 1526. [Google Scholar] [CrossRef]
- Yang, R.; Sun, X.; Liu, Z.; Zhang, Y.; Fu, J. A Numerical Analysis of the Effects of Equivalence Ratio Measurement Accuracy on the Engine Efficiency and Emissions at Varied Compression Ratios. Processes 2021, 9, 1413. [Google Scholar] [CrossRef]
- Chen, G. Chemical Reaction Engineering; Chemical Industry Press: Beijing, China, 1989. [Google Scholar]
- Zhang, C.; Li, S.; Wang, Z.; Shen, Y.; Wei, F. Model and Experimental Study of Relationship between Solid Fraction and Back-Mixing in a Fluidized Bed. Powder Technol. 2020, 363, 146–151. [Google Scholar] [CrossRef]
- Shi, X.; Sun, R.; Lan, X.; Liu, F.; Zhang, Y.; Gao, J. CPFD Simulation of Solids Residence Time and Back-Mixing in CFB Risers. Powder Technol. 2015, 271, 16–25. [Google Scholar] [CrossRef]
- Shah, Y.T.; Stiegel, G.J.; Sharma, M.M. Backmixing in Gas-Liquid Reactors. AIChE J. 1978, 24, 369–400. [Google Scholar] [CrossRef]
- Tobita, H. Continuous Free-Radical Polymerization with Long-Chain Branching and Scission in a Tanks-in-Series Model. Macromol. Theory Simul. 2014, 23, 182–197. [Google Scholar] [CrossRef]
- Jafarikojour, M.; Sohrabi, M.; Royaee, S.J.; Rezaei, M. A New Model for Residence Time Distribution of Impinging Streams Reactors Using Descending-Sized Stirred Tanks in Series. Chem. Eng. Res. Des. 2016, 109, 86–96. [Google Scholar] [CrossRef]
- Chrismianto, D.; Kim, D.-J. Parametric Bulbous Bow Design Using the Cubic Bezier Curve and Curve-Plane Intersection Method for the Minimization of Ship Resistance in CFD. J. Mar. Sci. Technol. 2014, 19, 479–492. [Google Scholar] [CrossRef]
- Ruggiero, A.; D’Amato, R.; Affatato, S. Comparison of Meshing Strategies in THR Finite Element Modelling. Materials 2019, 12, 2332. [Google Scholar] [CrossRef] [Green Version]
- Farhadian, N.; Behin, J.; Parvareh, A. Residence Time Distribution in an Internal Loop Airlift Reactor: CFD Simulation versus Digital Image Processing Measurement. Comput. Fluids 2018, 167, 221–228. [Google Scholar] [CrossRef]
- González-Juárez, D.; Solano, J.P.; Herrero-Martín, R.; Harvey, A.P. Residence Time Distribution in Multiorifice Baffled Tubes: A Numerical Study. Chem. Eng. Res. Des. 2017, 118, 259–269. [Google Scholar] [CrossRef]
- Jones, W.P.; Launder, B. The Calculation of Low-Reynolds-Number Phenomena With a Two-Equation Model of Turbulence. Int. J. Heat Mass Transf. 1973, 16, 1119–1130. [Google Scholar] [CrossRef]
- Jones, W.P.; Launder, B. The Prediction of Laminarization with a Two-Equation Model of Turbulence. Int. J. Heat Mass Transf. 1972, 15, 301–314. [Google Scholar] [CrossRef]
- Zhang, Y.; Wang, Z.; Jin, Y.; Li, Z.; Yi, W. CFD Simulation and Experiment of Residence Time Distribution in Short-Contact Cyclone Reactors. Adv. Powder Technol. 2015, 26, 1134–1142. [Google Scholar] [CrossRef]
- Guenther, C.; Syamlal, M.; Shadle, L.; Ludlow, C. A Numerical Investigation of an Industrial Scale Gas-Solids CFB. Circ. Fluid. Bed Technol. 2002, 25, 483–488. [Google Scholar]
- Hua, L.; Wang, J.; Li, J. CFD Simulation of Solids Residence Time Distribution in a CFB Riser. Chem. Eng. Sci. 2014, 117, 264–282. [Google Scholar] [CrossRef]
- Zhou, Q.; Wang, J.; Li, J. Three-Dimensional Simulation of Dense Suspension Upflow Regime in High-Density CFB Risers with EMMS-Based Two-Fluid Model. Chem. Eng. Sci. 2014, 107, 206–217. [Google Scholar] [CrossRef]
- Jian, W.; Huizhu, Y.; Wang, S.; Xu, S.; Yulan, X.; Tuo, H. Numerical Investigation on Baffle Configuration Improvement of the Heat Exchanger with Helical Baffles. Energy Convers. Manag. 2015, 89, 438–448. [Google Scholar] [CrossRef]
- Kumar, R.; Sethi, M.; Chauhan, R.; Kumar, A. Experimental Study of Enhancement of Heat Transfer and Pressure Drop in a Solar Air Channel with Discretized Broken V-Pattern Baffle. Renew. Energy 2017, 101, 856–872. [Google Scholar] [CrossRef]
- Promvonge, P. Heat Transfer and Pressure Drop in a Channel with Multiple 60° V-Baffles. Int. Commun. Heat Mass Transf. 2010, 37, 835–840. [Google Scholar] [CrossRef]


















| Parameter | Value | Unit |
|---|---|---|
| Inlet velocity | 2.6 | m/s |
| Hydraulic diameter | 1.03 | m |
| Turbulent intensity | 2.4% | / |
| Outlet pressure | 0 | Pa |
| Mixture viscosity | 1 × 10−3 | kg/(m·s) |
| Mixture mass diffusivity | 1 × 10−9 | m2/s |
| Time step size (tracer mass fraction=1) | 0.01 | s |
| Time step size (tracer mass fraction=0) | 0.1 | s |
| Model | ||
| Turbulence model | k-epsilon, Realizable | / |
| Species model | Species Transport | / |
| Mesh | Number of Elements | Velocity (m/s) | Total Pressure (Pa) |
|---|---|---|---|
| M1 | 10948191 | 1.675112 | 1451.376 |
| M2 | 5541889 | 1.673582 | 1451.235 |
| M3 | 1776531 | 1.660281 | 1450.805 |
| Ps(mm) | 172.6 | 129.45 | 103.56 | 172.6 | 129.45 | 103.56 | 172.6 | 129.45 | 103.56 |
| Pl(mm) | 490 | 490 | 490 | 560 | 560 | 560 | 630 | 630 | 630 |
| N | 5 | 4.5 | 4.6 | 7.4 | 8 | 10.1 | 10.4 | 13 | 16.2 |
| Pe | 8.9 | 8 | 8.1 | 13.9 | 15.1 | 19.3 | 19.8 | 25.1 | 31.4 |
Publisher’s Note: MDPI stays neutral with regard to jurisdictional claims in published maps and institutional affiliations. |
© 2021 by the authors. Licensee MDPI, Basel, Switzerland. This article is an open access article distributed under the terms and conditions of the Creative Commons Attribution (CC BY) license (https://creativecommons.org/licenses/by/4.0/).
Share and Cite
Hu, B.; Zhang, X.; Wang, Z.; Wang, Z.; Ji, Y. Hydraulic Characteristics, Residence Time Distribution, and Flow Field of Electrochemical Descaling Reactor Using CFD. Processes 2021, 9, 1896. https://doi.org/10.3390/pr9111896
Hu B, Zhang X, Wang Z, Wang Z, Ji Y. Hydraulic Characteristics, Residence Time Distribution, and Flow Field of Electrochemical Descaling Reactor Using CFD. Processes. 2021; 9(11):1896. https://doi.org/10.3390/pr9111896
Chicago/Turabian StyleHu, Bolin, Xiaoqiang Zhang, Zhaofeng Wang, Zixian Wang, and Yuanfan Ji. 2021. "Hydraulic Characteristics, Residence Time Distribution, and Flow Field of Electrochemical Descaling Reactor Using CFD" Processes 9, no. 11: 1896. https://doi.org/10.3390/pr9111896
APA StyleHu, B., Zhang, X., Wang, Z., Wang, Z., & Ji, Y. (2021). Hydraulic Characteristics, Residence Time Distribution, and Flow Field of Electrochemical Descaling Reactor Using CFD. Processes, 9(11), 1896. https://doi.org/10.3390/pr9111896
