Application of Computational Intelligence in Describing the Drying Kinetics of Persimmon Fruit (Diospyros kaki) During Vacuum and Hot Air Drying Process
Abstract
1. Introduction
2. Materials and Methods
2.1. Samples Preparation
2.2. Drying Experiments
2.2.1. Vacuum Drying (VD) Technique
2.2.2. Hot-Air Drying (HAD) Technique
2.3. Drying Kinetics
2.4. Effective Moisture Diffusivity
2.5. Activation Energy
2.6. Mathematical Thin-Layer Modelling
2.7. Computational Intelligence Methods
2.7.1. Artificial Neural Network
2.7.2. Support Vector Machine
2.7.3. k-Nearest Neighbors
2.8. Color Measurements
2.9. Statistical Analysis for Mean Comparison
3. Results and Discussion
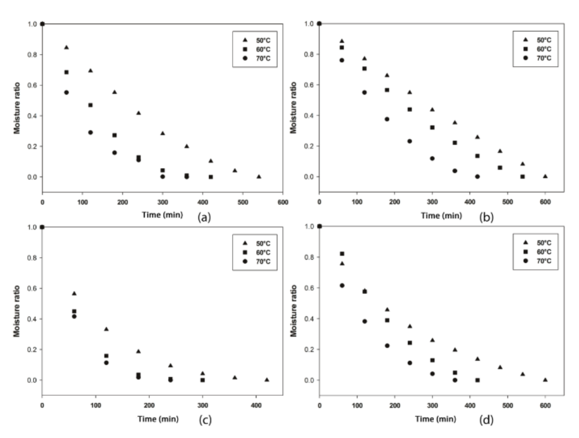
3.1. Drying Process Behavior
3.2. Results of Effective Moisture Diffusivity
3.3. Results of Activation Energy
3.4. Comparison of Mathematical Thin-Layer Models
3.5. Results of Artificial Neural Network
3.6. Results of Support Vector Machine
3.7. Results of k-Nearest Neighbors
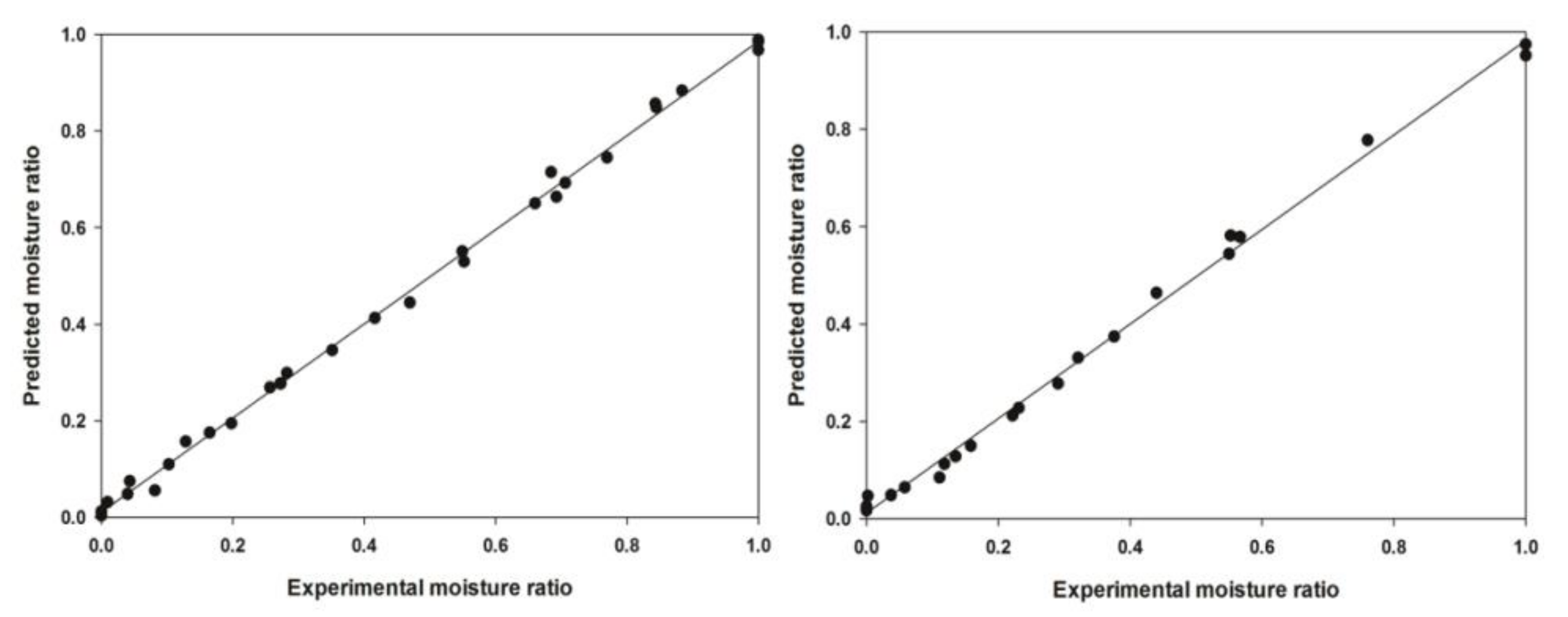
3.8. Comparison between Computational Intelligence and Mathematical Thin-Layer Models
3.9. Results of Color Measurements
4. Conclusions
Author Contributions
Funding
Conflicts of Interest
References
- Bozkir, H.; Rayman, A.; Serdar, E.; Metin, G.; Baysal, T. Ultrasonics—Sonochemistry influence of ultrasound and osmotic dehydration pretreatments on drying and quality properties of persimmon fruit. Ultrason.-Sonochem. 2019, 54, 135–141. [Google Scholar] [CrossRef] [PubMed]
- Çalışkan, G.; Nur Dirim, E. Freeze drying kinetics of persimmon puree. GIDA 2015, 40, 9–14. [Google Scholar]
- Heras, R.M.-L.; Landines, E.F.; Heredia, A.; Castelló, M.L.; Andrés, A. Influence of drying process and particle size of persimmon fibre on its physicochemical, antioxidant, hydration and emulsifying properties. J. Food Sci. Technol. 2017, 54, 2902–2912. [Google Scholar] [CrossRef]
- Bolek, S.; Obuz, E. Quality characteristics of Trabzon persimmon dried at several temperatures and pretreated by different methods. Turk. J. Agric. For. 2014, 38, 242–249. [Google Scholar] [CrossRef]
- Doymaz, I. Evaluation of some thin-layer drying models of persimmon slices (Diospyros kaki L). Energy Convers. Manag. 2012, 56, 199–205. [Google Scholar] [CrossRef]
- Senthilkumar, T.; Jayas, D.S.; White, N.D.; Fields, P.; Gräfenhan, T. Detection of fungal infection and Ochratoxin A contamination in stored barley using near-infrared hyperspectral imaging. Biosyst. Eng. 2016, 147, 162–173. [Google Scholar] [CrossRef]
- Rodríguez, J.; Clemente, G.; Sanjuan, N.; Bon, J. Modelling drying kinetics of thyme (Thymus vulgaris L.): Theoretical and empirical models, and neural networks. Food Sci. Technol. Int. 2013, 20, 13–22. [Google Scholar] [CrossRef]
- Onwude, D.; Hashim, N.; Abdan, K.; Janius, R.; Chen, G. The potential of computer vision, optical backscattering parameters and artificial neural network modelling in monitoring the shrinkage of sweet potato (Ipomoea batatas L.) during drying. J. Sci. Food Agric. 2018, 98, 1310–1324. [Google Scholar] [CrossRef]
- Si, X.; Wu, X.; Yi, J.Y.; Li, Z.; Chen, Q.; Bi, J.; Zhou, L. Comparison of different drying methods on the physical properties, bioactive compounds and antioxidant activity of raspberry powders. J. Sci. Food Agric. 2015, 96, 2055–2062. [Google Scholar] [CrossRef]
- Tekin, Z.H.; Baslar, M. The effect of ultrasound-assisted vacuum drying on the drying rate and quality of red peppers. J. Therm. Anal. Calorim. 2018, 132, 1131–1143. [Google Scholar] [CrossRef]
- Onwude, D.I.; Hashim, N.; Janius, R.B.; Nawi, N.; Abdan, K. Evaluation of a suitable thin layer model for drying of pumpkin under forced air convection. Int. Food Res. J. 2016, 23, 1173. [Google Scholar]
- Karasu, S.; Akcicek, A.; Kayacan, S. Effects of different drying methods on drying kinetics, microstructure, color, and the rehydration ratio of minced meat. Foods 2019, 8, 216. [Google Scholar]
- Bai, J.; Xiao, H.; Ma, H.; Zhou, C. Artificial neural network modeling of drying kinetics and color changes of ginkgo biloba seeds during microwave drying process. J. Food Qual. 2018, 2018, 1–8. [Google Scholar] [CrossRef]
- Behroozi, N.; Tavakoli, T.; Ghassemian, H. Applied machine vision and artificial neural network for modeling and controlling of the grape drying process. Comput. Electron. Agric. 2013, 98, 205–213. [Google Scholar] [CrossRef]
- Akoy, E.O.M. Experimental characterization and modeling of thin-layer drying of mango slices. Int. Food Res. J. 2014, 21, 7–11. [Google Scholar]
- Erbay, Z.; Icier, F. A review of thin layer drying of foods: Theory, a review of thin layer drying of foods: Theory, modeling, and experimental results. Food Sci. Nutr. 2010, 50, 441–464. [Google Scholar]
- Lee, G.; Hsieh, F. Thin-layer drying kinetics of strawberry fruit leather. Trans. ASABE 2008, 51, 1699–1705. [Google Scholar] [CrossRef]
- Liu, Z.; Bai, J.; Yang, W.; Wang, J.; Deng, L. Effect of high-humidity hot air impingement blanching ( HHAIB) and drying parameters on drying characteristics and quality of broccoli florets. Dry. Technol. 2019, 37, 1251–1264. [Google Scholar] [CrossRef]
- Khaled, A.Y.; Aziz, S.A.; Bejo, S.K.; Nawi, N.M.; Abu Seman, I.A. Spectral features selection and classification of oil palm leaves infected by Basal stem rot (BSR) disease using dielectric spectroscopy. Comput. Electron. Agric. 2018, 144, 297–309. [Google Scholar] [CrossRef]
- Zhang, R.; Ma, J. Feature selection for hyperspectral data based on recursive support vector machines. Int. J. Remote Sens. 2009, 30, 3669–3677. [Google Scholar] [CrossRef]
- Xu, G.; Shen, C.; Liu, M.; Zhang, F.; Shen, W. A user behavior prediction model based on parallel neural network and k-nearest neighbor algorithms. Cluster Comput. 2017, 20, 1703–1715. [Google Scholar] [CrossRef]
- Kirbas, I.; Tuncer, A.D.; Şirin, C.; Usta, H. Modeling and developing a smart interface for various drying methods of pomelo fruit (Citrus maxima) peel using machine learning approaches. Comput. Electron. Agric. 2019, 165, 104928. [Google Scholar] [CrossRef]
- Omari, A.; Behroozi-Khazaei, N.; Sharifian, F. Drying kinetic and artificial neural network modeling of mushroom drying process in microwave-hot air dryer. Food Process Eng. 2018, 41, 1–10. [Google Scholar] [CrossRef]
- Movagharnejad, K.; Nikzad, M. Modeling of tomato drying using artificial neural network. Comput. Electron. Agric. 2007, 59, 78–85. [Google Scholar] [CrossRef]
- Wen, S.; Deng, M.; Inoue, A. Moisture content prediction of wood drying process using VM-based model. Int. J. Inov. Comput. Infomation Control 2012, 8, 4083–4093. [Google Scholar]
- Beigi, M.; Ahmadi, I. Artificial neural networks modeling of kinetic curves of celeriac (Apium graveolens L) in vacuum drying. Food Sci. Technol. 2018, 2061, 1–6. [Google Scholar] [CrossRef]
- Jafari, S.M.; Ghanbari, V.; Ganje, M.; Dehnad, D. Modeling the drying kinetics of green bell pepper in a heat pump assisted fluidized bed dryer. J. Food Qual. 2016, 39, 98–108. [Google Scholar] [CrossRef]
- Bahmani, A.; Jafari, S.M.; Shahidi, S.-A.; Dehnad, D. Mass transfer kinetics of eggplant during osmotic dehydration by neural networks. J. Food Process. Preserv. 2016, 40, 815–827. [Google Scholar] [CrossRef]
- Xie, C.; Li, X.; Shao, Y.; He, Y. Color measurement of tea leaves at different drying periods using hyperspectral imaging technique. PLoS ONE 2014, 9, 1–15. [Google Scholar] [CrossRef]
- Ieracitano, C.; Adeel, A.; Morabito, F.C.; Hussain, A. A novel statistical analysis and autoencoder driven intelligent intrusion detection approach. Neurocomputing 2020, 387, 51–62. [Google Scholar] [CrossRef]
- Ieracitano, C.; Mammone, N.; Hussain, A.; Morabito, F.C. A novel multi-modal machine learning based approach for automatic classification of EEG recordings in dementia. Neural Netw. 2020, 123, 176–190. [Google Scholar] [CrossRef] [PubMed]
- Association of Official Analytical Chemists (AOAC). Official Methods of Analysis of the Association of Official Analytical Chemists, 15th ed.; United States Department of Agriculture: Rockville, MD, USA, 1990.
- Aghbashlo, M.; Kianmehr, M.H.; Khani, S.; Ghasemi, M. Mathematical modelling of thin-layer drying of carrot. Int. Agrophys. 2009, 23, 313–317. [Google Scholar]
- Crank, J. The Mathematics of Diffusion; Oxford University Press: Oxford, UK, 1979. [Google Scholar]
- Chen, N.; Chen, M.; Fu, B.; Song, J. Far-infrared irradiation drying behavior of typical biomass briquettes. Energy 2017, 121, 726–738. [Google Scholar] [CrossRef]
- Jafari, S.M.; Ganje, M.; Dehnad, D.; Ghanbari, V. Mathematical, fuzzy logic and artificial neural network modeling techniques to predict drying kinetics of onion. J. Food Process. Preserv. 2016, 40, 329–339. [Google Scholar] [CrossRef]
- Gamea, G.R.; Essa, A.A. Solar drying characteristics of strawberry. J. Food Drug Anal 2007, 78, 456–464. [Google Scholar]
- Antonio, V.; Uribe, E.; Lemus, R.; Miranda, M. Hot-air drying characteristics of Aloe vera (Aloe barbadensis Miller) and influence of temperature on kinetic parameters. LWT-Food Sci. Technol. 2007, 40, 1698–1707. [Google Scholar]
- Kaur, K.; Singh, A.K. Drying kinetics and quality characteristics of beetroot slices under hot air followed by microwave finish drying. African J. Agric. Res. 2014, 9, 1036–1044. [Google Scholar]
- Sacilik, K. Effect of drying methods on thin-layer drying characteristics of hull-less seed pumpkin (Cucurbita pepo L.). J. Food Eng. 2007, 79, 23–30. [Google Scholar] [CrossRef]
- Dash, K.K.; Gope, S.; Sethi, A.; Doloi, M. Study on Thin Layer Drying Characteristics Star Fruit Slices. Int. J. Agric. Food Sci. Technol. 2013, 4, 679–686. [Google Scholar]
- Hashim, N.; Daniel, O.; Rahaman, E. A Preliminary Study: Kinetic Model of Drying Process of Pumpkins (Cucurbita Moschata) in a Convective Hot Air Dryer. Int. Conf. Agric. Food Eng. CAFEi2014 2014, 2, 345–352. [Google Scholar] [CrossRef]
- Zenoozian, M.S.; Feng, H.; Razavi, S.; Shahidi, F.; Pourreza, H.R. Image analysis and dynamic modeling of thin-layer drying of osmotically dehydrated pumpkin. J. Food Process. Preserv. 2008, 32, 88–102. [Google Scholar] [CrossRef]
- Ayadi, M.; Ben Mabrouk, S.; Zouari, I.; Bellagi, A. Kinetic study of the convective drying of spearmint. J. Saudi Soc. Agric. Sci. 2014, 13, 1–7. [Google Scholar] [CrossRef]
- Kose, U.; Arslan, A. Optimization of self-learning in computer engineering courses: An Intelligent software system supported by artificial neural network and vortex optimization algorithm. Comput. Appl. Eng. Educ. 2017, 25, 142–156. [Google Scholar] [CrossRef]
- Haykin, S. Neural Networks a Comprehensive Introduction; Prentice Hall: Upper Saddle River, NJ, USA, 1999. [Google Scholar]
- Fu, L.-M. Neural Networks in Computer Intelligence; Tata McGraw-Hill Education: New York, NY, USA, 2003. [Google Scholar]
- Benkovi, M.; Mari, L.; Male, E.; Valinger, D.; Jurina, T.; Gajdo, J. Effects of drying on physical and chemical properties of root vegetables: Artificial neural network modelling. Food Bioprod. Process. 2020, 119, 148–160. [Google Scholar]
- Onwude, D.I.; Hashim, N.; Janius, R.B.; Nawi, N.; Abdan, K. Modelling the convective drying process of pumpkin (Cucurbita moschata) using an artificial neural network. Int. Food Res. J. 2016, 23, S237–S243. [Google Scholar]
- Das, M.; Akpınar, E. Investigation of pear drying performance by different methods and regression of convective heat transfer coefficient with support vector machine. Appl. Sci. 2018, 8, 2–16. [Google Scholar]
- Vapnik, V.N. An overview of statistical learning theory. IEEE Trans. Neural Netw. 1999, 10, 988–999. [Google Scholar] [CrossRef]
- Shevade, S.; Keerthi, S.S.; Bhattacharyya, C.; Murthy, K.R.K. Improvements to the SMO algorithm for SVM regression. IEEE Trans. Neural Netw. 2000, 11, 1188–1193. [Google Scholar] [CrossRef]
- Xiao, H.; Pang, C.; Wang, L.; Bai, J.; Yang, W.; Gao, Z. Drying kinetics and quality of Monukka seedless grapes dried in an air-impingement jet dryer. Biosyst. Eng. 2010, 105, 233–240. [Google Scholar] [CrossRef]
- Abbaspour-Gilandeh, Y.; Jahanbakhshi, A.; Kaveh, M. Prediction kinetic, energy and exergy of quince under hot air dryer using ANNs and ANFIS. J. Sci. Food Agric. 2020, 8, 594–611. [Google Scholar] [CrossRef]
- Sacilik, K.; Elicin, A.K. The thin layer drying characteristics of organic apple slices. J. Food Eng. 2006, 73, 281–289. [Google Scholar] [CrossRef]
- Telis-Romero, J.; Gabas, A.L.; Menegalli, F.C.; Telis, V.R.N. Drying of persimmon: Mathematical model for diffusivity as a simultaneous function of moisture content and shrinkage. In Proceedings of the Second Inter-American Drying Conference, Monteral, QC, Canada, 8–10 July 2001; pp. 243–251. [Google Scholar]
- Tunde-Akintunde, T.Y.; Ogunlakin, G.O. Influence of drying conditions on the effective moisture diffusivity and energy requirements during the drying of pretreated and untreated pumpkin. Energy Convers. Manag. 2011, 52, 1107–1113. [Google Scholar] [CrossRef]
- Falade, K.O.; Olurin, T.O.; Ike, E.A.; Aworh, O.C. Effect of pretreatment and temperature on air-drying of Dioscorea alata and Dioscorea rotundata slices. J. Food Eng. 2007, 80, 1002–1010. [Google Scholar] [CrossRef]
- Meisami-asl, E.; Rafiee, S.; Keyhani, A. Tabatabaeefar, and others. Drying of apple slices (var. Golab) and effect on moisture diffusivity and activation energy. Plant Omics 2010, 3, 97. [Google Scholar]
- Zogzas, N.P.; Maroulis, Z.B. Drying technology: An international journal moisture diffusivity data compilation in foodstuffs. Dry. Technol. Int. J. 2007, 14, 37–41. [Google Scholar]
- Onwude, D.I.; Hashim, N.; Abdan, K.; Janius, R.; Chen, G. Modelling the mid-infrared drying of sweet potato: Kinetics, mass and heat transfer parameters, and energy consumption. Heat Mass Transf. 2018, 54, 2917–2933. [Google Scholar] [CrossRef]
- Younis, M.; Abdelkarim, D.; El-abdein, A.Z. Saudi journal of biological sciences kinetics and mathematical modeling of infrared thin-layer drying of garlic slices. Saudi J. Biol. Sci. 2018, 25, 332–338. [Google Scholar] [CrossRef]
- Zenoozian, M.S.; Devahastin, S.; Razavi, M.A.; Shahidi, F.; Poreza, H.R. Use of artificial neural network and image analysis to predict physical properties of osmotically dehydrated pumpkin. Dry. Technol. 2014, 26, 132–144. [Google Scholar] [CrossRef]
- Ghaderi, A.; Abbasi, S.; Motevali, A.; Minaei, S. Comparison of mathematical models and artificial neural networks for prediction of drying kinetics of mushroom in microwave vacuum dryer. Chem. Ind. Chem. Eng. Q. 2012, 18, 283–293. [Google Scholar] [CrossRef]
- Nadian, M.H.; Rafiee, S.; Aghbashlo, M.; Hosseinpour, S.; Mohtasebi, S.S. Continuous real-time monitoring and neural network modelling of apple slices color changes during hot air Drying. Food Bioprod. Process. 2014, 94, 1–40. [Google Scholar]
- Samsudin, S.H.; Shafri, H.; Hamedianfar, A.; Mansor, S.B. Spectral feature selection and classification of roofing materials using field spectroscopy data. J. Appl. Remote Sens. 2015, 9, 95079. [Google Scholar] [CrossRef]
- Nozad, M.; Khojastehpour, M.; Tabasizadeh, M. Characterization of hot-air drying and infrared drying of spearmint (Mentha spicata L) leaves. J. Food Meas. Charact. 2016, 10, 466–473. [Google Scholar] [CrossRef]
- Onwude, D.; Hashim, N.; Janius, R.; Nawi, N.; Abdan, K. Color change kinetics and total carotenoid content of pumpkin. Ital. J. Food Sci. 2017, 29, 1–18. [Google Scholar]







| Model No. | Model Name | Model Expression | Reference |
|---|---|---|---|
| 1. | Newton model | MR = exp (−kt) | [36] |
| 2. | Page model | MR = exp (−ktn) | [15] |
| 3. | Modified page | MR = exp [−(kt)n] | [37] |
| 4. | Logarithmic model | MR = a exp (−kt) + c | [38] |
| 5. | Two-term model | MR = a exp (−k1t) + b exp (−k2t) | [39] |
| 6. | Two-term exponential model | MR = a exp (−k0t) + (1−a) exp (−k1at) | [40] |
| 7. | Henderson and Pabis model | MR = a exp (−kt) | [41] |
| 8. | Modified Henderson and Pabis model | MR = a exp (−kt) + b exp (−gt) + c exp (−ht) | [42] |
| 9. | Midilli et al. model | MR = a exp (−kt) + bt | [43] |
| 10. | Hii et al. model | MR = a exp (−k1tn) + b exp (−k2tn) | [11] |
| Thickness (mm) | Drying Method | Deff (m2/s) | R2 | RMSE |
|---|---|---|---|---|
| 5 | VD-50 | 3.316 × 10−9 | 0.9647 | 0.5564 |
| VD-60 | 8.742 × 10−9 | 0.9897 | 0.4563 | |
| VD-70 | 1.330 × 10−8 | 0.8094 | 0.3829 | |
| 8 | VD-50 | 1.417 × 10−9 | 0.9670 | 0.6056 |
| VD-60 | 2.688 × 10−9 | 0.9710 | 0.5708 | |
| VD-70 | 2.959 × 10−9 | 0.9786 | 0.5273 | |
| 5 | HAD-50 | 9.221 × 10−9 | 0.9900 | 0.3632 |
| HAD-60 | 1.712 × 10−8 | 0.9956 | 0.3280 | |
| HAD-70 | 1.925 × 10−8 | 0.9991 | 0.3461 | |
| 8 | HAD-50 | 2.905 × 10−9 | 0.9314 | 0.4644 |
| HAD-60 | 4.834 × 10−9 | 0.9811 | 0.5641 | |
| HAD-70 | 7.890 × 10−9 | 0.9888 | 0.4395 |
| Drying Method | R2 | Ea (kJ/mol) |
|---|---|---|
| VD-5 mm | 0.9577 | 64.2895 |
| VD-8 mm | 0.8583 | 34.1785 |
| HAD-5 mm | 0.8774 | 34.1560 |
| HAD-8 mm | 0.9999 | 46.0715 |
| Drying Temperature (°C) | Model No. | Model Parameters | R2 | RMSE |
|---|---|---|---|---|
| 50 | 1 | k = 0.2491 | 0.9577 | 0.0682 |
| 2 | k = 0.1224, n = 1.4734 | 0.9940 | 0.2559 | |
| 3 | k = 0.2259, n = 1.1031 | 0.9577 | 0.0762 | |
| 4 | a = 1.5532, k= 0.1229, c = −0.5369 | 0.9980 | 0.0146 | |
| 5 | a = 0.5606, k1 = 0.2663, b = 0.5108, k2 = 0.2663 | 0.9650 | 0.0620 | |
| 6 | a = 0.6224, k0 = 0.2491, k1 = 0.4003 | 0.9577 | 0.0815 | |
| 7 | a = 1.0713, k = 0.2663 | 0.9650 | 0.0693 | |
| 8 | a = 0.3715, k = 0.2663, b = 0.3610, g = 0.2663, c = 0.3388, h = 0.2663 | 0.9650 | 0.0620 | |
| 9 | a = 1.0177, k = 0.1639, b = -0.0287 | 0.9976 | 0.0194 | |
| 10 | a = 0.4916, k1 = 0.1068, b = 0.4821, k2 = 0.1068, n = 1.5424 | 0.9948 | 0.0339 | |
| 60 | 1 | k = 0.4503 | 0.9821 | 0.0457 |
| 2 | k = 0.3292, n = 1.3069 | 0.9960 | 0.0217 | |
| 3 | k = 0.4097, n = 1.0990 | 0.9821 | 0.0527 | |
| 4 | a = 1.1435, k = 0.3445, c = −0.1331 | 0.9964 | 0.0206 | |
| 5 | a = 0.5347, k1 = 0.4632, b = 0.4988, k2 = 0.4632 | 0.9836 | 0.0438 | |
| 6 | a = 0.6046, k0 = 0.4503, k1 = 0.7448 | 0.9821 | 0.0577 | |
| 7 | a = 1.0335, k = 0.4632 | 0.9836 | 0.0505 | |
| 8 | a = 0.3531, k = 0.4632, b = 0.3503, g = 0.4632, c = 0.3300, h = 0.4632 | 0.9836 | 0.0438 | |
| 9 | a = 1.0125, k = 0.3867, b = -0.0143 | 0.9955 | 0.0289 | |
| 10 | a = 0.4936, k1 = 0.3194, b = 0.4955, k2 = 0.3194, n = 1.3254 | 0.9961 | 0.0348 | |
| 70 | 1 | k = 0.6145 | 0.9957 | 0.0220 |
| 2 | k = 0.5871, n = 1.0608 | 0.9963 | 0.0205 | |
| 3 | k = 0.5954, n = 1.0320 | 0.9957 | 0.0260 | |
| 4 | a= 1.0325, k = 0.5613, c = −0.0345 | 0.9974 | 0.0173 | |
| 5 | a = 0.5045, k1 = 0.6171, b = 0.5003, k2 = 0.6171 | 0.9958 | 0.0219 | |
| 6 | a = 0.6832, k0 = 0.6145, k1 = 0.8993 | 0.9957 | 0.0290 | |
| 7 | a = 1.0049, k = 0.6171 | 0.9958 | 0.0259 | |
| 8 | a = 0.3329, k= 0.6171, b = 0.3408, g = 0.6171, c = 0.3312, h = 0.6171 | 0.9958 | 0.0219 | |
| 9 | a = 0.9985, k = 0.5811, b = −0.0054 | 0.9975 | 0.0223 | |
| 10 | a = 0.4869, k1 = 0.5862, b = 0.5122, k2 = 0.5862, n = 1.0617 | 0.9963 | 0.0383 |
| Drying Temperature (°C) | Model No. | Model Parameters | R2 | RMSE |
|---|---|---|---|---|
| 50 | 1 | k= 0.1854 | 0.9420 | 0.0765 |
| 2 | k = 0.0754, n = 1.5266 | 0.9878 | 0.0350 | |
| 3 | k = 0.1702, n = 1.0897 | 0.9420 | 0.0846 | |
| 4 | a = 2.8487, k = 0.0435, c = −1.8449 | 0.9998 | 0.0040 | |
| 5 | a = 0.5626, k1 = 0.2010, b = 0.5161, k2 = 0.2010 | 0.9522 | 0.0694 | |
| 6 | a = 0.5761, k0 = 0.1854, k1 = 0.3219 | 0.9420 | 0.0897 | |
| 7 | a = 1.0787, k = 0.2010 | 0.9522 | 0.0768 | |
| 8 | a = 0.3734, k = 0.2010, b = 0.3626, g = 0.2010, c = 0.3427, h = 0.2010 | 0.9522 | 0.0694 | |
| 9 | a = 1.0046, k = 0.0795, b = −0.0456 | 0.9998 | 0.0050 | |
| 10 | a = 0.4864, k1 = 0.0580, b = 0.4751, k2 = 0.0580, n = 1.6487 | 0.9896 | 0.0439 | |
| 60 | 1 | k = 0.2355 | 0.9579 | 0.0667 |
| 2 | k = 0.1183, n = 1.4480 | 0.9921 | 0.0288 | |
| 3 | k = 0.2152, n = 1.0947 | 0.9579 | 0.0746 | |
| 4 | a = 1.6897, k = 0.1027, c = −0.6819 | 0.9994 | 0.0076 | |
| 5 | a = 0.5557, k1 = 0.2512, b = 0.5109, k2 = 0.2512 | 0.9646 | 0.0611 | |
| 6 | a = 0.6343, k0 = 0.2355, k1 = 0.3713 | 0.9579 | 0.0797 | |
| 7 | a = 1.0665, k = 0.2512 | 0.9646 | 0.0683 | |
| 8 | a = 0.3682, k = 0.2512, b = 0.3594, g = 0.2512, c = 0.3389, h = 0.2512 | 0.9646 | 0.0611 | |
| 9 | a = 1.0092, k = 0.1438, b = −0.0323 | 0.9992 | 0.0107 | |
| 10 | a = 0.4885, k1 = 0.1009, b = 0.4817, k2 = 0.1009, n = 1.5277 | 0.9931 | 0.0382 | |
| 70 | 1 | k = 0.3601 | 0.9736 | 0.0548 |
| 2 | k = 0.2336, n = 1.3657 | 0.9955 | 0.0228 | |
| 3 | k = 0.3303, n = 1.0903 | 0.9736 | 0.0633 | |
| 4 | a = 1.3017, k = 0.2238, c = −0.2918 | 0.9987 | 0.0120 | |
| 5 | a = 0.5419, k1 = 0.3756, b = 0.5052, k2 = 0.3756 | 0.9768 | 0.0513 | |
| 6 | a = 0.6891, k0 = 0.3601, k1 = 0.5225 | 0.9736 | 0.0693 | |
| 7 | a = 1.0470, k = 0.3756 | 0.9768 | 0.0593 | |
| 8 | a = 0.3581, k = 0.3756, b = 0.3542, g = 0.3756, c = 0.3347, h = 0.3756 | 0.9768 | 0.0513 | |
| 9 | a = 1.0117, k = 0.2714, b = -0.0249 | 0.9983 | 0.0177 | |
| 10 | a = 0.4921, k1 = 0.2225, b = 0.4942, k2 = 0.2225, n = 1.3937 | 0.9957 | 0.0363 |
| Drying Temperature (°C) | Model No. | Model Parameters | R2 | RMSE |
|---|---|---|---|---|
| 50 | 1 | k = 0.5737 | 0.9986 | 0.0120 |
| 2 | k = 0.5514, n = 1.0481 | 0.9990 | 0.0103 | |
| 3 | k = 0.5582, n = 1.0277 | 0.9986 | 0.0139 | |
| 4 | a = 1.0228, k = 0.5349, c = −0.0255 | 0.9998 | 0.0047 | |
| 5 | a = 0.5027, k1 = 0.5753, b = 0.5005, k2 = 0.5753 | 0.9987 | 0.0120 | |
| 6 | a = 0.6842, k0 = 0.5737, k1 = 0.8384 | 0.9986 | 0.0152 | |
| 7 | a = 1.0032, k = 0.5753 | 0.9987 | 0.0138 | |
| 8 | a = 0.3315, k = 0.5753, b = 0.3405, g = 0.5753, c = 0.3313, h = 0.5753 | 0.9987 | 0.0120 | |
| 9 | a= 0.9980, k = 0.5505, b= −0.0035 | 0.9998 | 0.0059 | |
| 10 | a = 0.4894, k1 = 0.5493, b = 0.5083, k2 = 0.5493, n= 1.0503 | 0.9990 | 0.0167 | |
| 60 | 1 | k = 0.8838 | 0.9957 | 0.0235 |
| 2 | k = 0.7945, n = 1.2519 | 0.9998 | 0.0047 | |
| 3 | k = 0.8213, n = 1.0762 | 0.9957 | 0.0288 | |
| 4 | a = 1.0409, k = 0.8064, c = −0.0359 | 0.9982 | 0.0152 | |
| 5 | a = 0.5142, k1 = 0.8898, b = 0.4950, k2 = 0.8898 | 0.9958 | 0.0232 | |
| 6 | a = 0.6039, k0 = 0.8838, k1 = 1.4636 | 0.9957 | 0.0333 | |
| 7 | a = 1.0092, k = 0.8898 | 0.9958 | 0.0284 | |
| 8 | a = 0.3401, k= 0.8898, b = 0.3409, g = 0.8898, c = 0.3282, h = 0.8898 | 0.9958 | 0.0232 | |
| 9 | a = 1.0058, k = 0.8451, b = −0.0064 | 0.9978 | 0.0240 | |
| 10 | a = 0.4975, k1 = 0.7941, b = 0.5022, k2 = 0.7941, n = 1.2522 | 0.9998 | 0.0117 | |
| 70 | 1 | k = 0.9781 | 0.9943 | 0.0284 |
| 2 | k = 0.8745, n = 1.3348 | 0.9999 | 0.0031 | |
| 3 | k = 0.8897, n = 1.0994 | 0.9943 | 0.0367 | |
| 4 | a = 1.0564, k = 0.8581, c = −0.0522 | 0.9979 | 0.0171 | |
| 5 | a = 0.5158, k1 = 0.9840, b = 0.4928, k2 = 0.9840 | 0.9944 | 0.0281 | |
| 6 | a = 0.5740, k0 = 0.9781, k1 = 1.7039 | 0.9943 | 0.0449 | |
| 7 | a = 1.0086, k = 0.9840 | 0.9944 | 0.0363 | |
| 8 | a = 0.3409, k = 0.9840, b = 0.3408, g = 0.9840, c = 0.3270, h = 0.9840 | 0.9944 | 0.0281 | |
| 9 | a = 1.0047, k = 0.9118, b = −0.0110 | 0.9974 | 0.0301 | |
| 10 | a = 0.4973, k1 = 0.8743, b = 0.5026, k2 = 0.8743, n = 1.3349 | 0.9999 | - |
| Drying Temperature (°C) | Model No. | Model Parameters | R2 | RMSE |
|---|---|---|---|---|
| 50 | 1 | k = 0.2797 | 0.9925 | 0.0264 |
| 2 | k = 0.2448, n = 1.0909 | 0.9946 | 0.0225 | |
| 3 | k = 0.2702, n = 1.0350 | 0.9925 | 0.0292 | |
| 4 | a = 1.0943, k = 0.2204, c = −0.1083 | 0.9989 | 0.0099 | |
| 5 | a = 0.5092, k1 = 0.2828, b = 0.5022, k2 = 0.2828 | 0.9927 | 0.0261 | |
| 6 | a = 0.6403, k0 = 0.2797, k1 = 0.4368 | 0.9925 | 0.0310 | |
| 7 | a = 1.0114, k = 0.2828 | 0.9927 | 0.0288 | |
| 8 | a = 0.3350, k= 0.2828, b = 0.3444, g = 0.2828, c = 0.3320, h = 0.2828 | 0.9927 | 0.0261 | |
| 9 | a = 0.9876, k = 0.2407, b = −0.0080 | 0.9992 | 0.0100 | |
| 10 | a = 0.4845, k1 = 0.2343, b = 0.5018, k2 = 0.2343, n = 1.1112 | 0.9948 | 0.0299 | |
| 60 | 1 | k = 0.3411 | 0.9622 | 0.0670 |
| 2 | k = 0.1887, n = 1.4915 | 0.9979 | 0.0157 | |
| 3 | k = 0.3134, n = 1.0882 | 0.9622 | 0.0774 | |
| 4 | a = 1.3969, k = 0.1992, c = −0.3693 | 0.9956 | 0.0229 | |
| 5 | a = 0.5562, k1 = 0.3624, b = 0.5121, k2 = 0.3624 | 0.9689 | 0.0608 | |
| 6 | a = 0.6258, k0 = 0.3411, k1 = 0.5450 | 0.9622 | 0.0847 | |
| 7 | a = 1.0684, k = 0.3624 | 0.9689 | 0.0702 | |
| 8 | a = 0.3669, k = 0.3624, b = 0.3610, g = 0.3624, c = 0.3405, h= 0.3624 | 0.9689 | 0.0608 | |
| 9 | a = 1.0289, k= 0.2489, b = −0.0294 | 0.9949 | 0.0313 | |
| 10 | a = 0.4986, k1 = 0.1849, b = 0.4961, k2 = 0.1849, n = 1.5034 | 0.9980 | 0.0254 | |
| 70 | 1 | k = 0.5139 | 0.9942 | 0.0255 |
| 2 | k = 0.4559, n = 1.1338 | 0.9972 | 0.0177 | |
| 3 | k = 0.4882, n = 1.0527 | 0.9942 | 0.0302 | |
| 4 | a = 1.0830, k = 0.4234, c = -0.0857 | 0.9998 | 0.0044 | |
| 5 | a = 0.5125, k1 = 0.5195, b = 0.4998, k2= 0.5195 | 0.9944 | 0.0251 | |
| 6 | a = 0.6353, k0 = 0.5139, k1 = 0.8089 | 0.9942 | 0.0338 | |
| 7 | a = 1.0123, k = 0.5195 | 0.9944 | 0.0296 | |
| 8 | a = 0.3385, k = 0.5195, b = 0.3431, g = 0.5195, c = 0.3307, h = 0.5195 | 0.9944 | 0.0251 | |
| 9 | a = 0.9984, k = 0.4570, b = −0.0112 | 0.9999 | 0.0053 | |
| 10 | a = 0.4915, k1 = 0.4516, b = 0.5040, k2= 0.4516, n= 1.1393 | 0.9972 | 0.0329 |
| No. Hidden Layer | No. Neurons | Training | Testing | ||
|---|---|---|---|---|---|
| R2 | RMSE | R2 | RMSE | ||
| 1 | 3 | 0.9979 | 0.0249 | 0.9791 | 0.0696 |
| 1 | 6 | 0.9990 | 0.0245 | 0.9794 | 0.0692 |
| 1 | 9 | 0.9991 | 0.0213 | 0.9812 | 0.0671 |
| 2 | 3, 3 | 0.9981 | 0.0209 | 0.9820 | 0.0658 |
| 2 | 6, 6 | 0.9978 | 0.0237 | 0.9881 | 0.0572 |
| 2 | 9, 9 | 0.9976 | 0.0312 | 0.9848 | 0.0800 |
| 3 | 3, 3, 3 | 0.9980 | 0.0275 | 0.9803 | 0.0704 |
| 3 | 6, 6, 6 | 0.9982 | 0.0264 | 0.9854 | 0.0576 |
| 3 | 9, 9, 9 | 0.9987 | 0.0269 | 0.9866 | 0.0661 |
| No. Hidden Layer | No. Neurons | Training | Testing | ||
|---|---|---|---|---|---|
| R2 | RMSE | R2 | RMSE | ||
| 1 | 3 | 0.9952 | 0.0655 | 0.9885 | 0.0557 |
| 1 | 6 | 0.9962 | 0.0296 | 0.9882 | 0.0878 |
| 1 | 9 | 0.9992 | 0.0183 | 0.9979 | 0.0351 |
| 2 | 3, 3 | 0.9994 | 0.0124 | 0.9983 | 0.0281 |
| 2 | 6, 6 | 0.9975 | 0.0529 | 0.9943 | 0.0605 |
| 2 | 9, 9 | 0.9989 | 0.0297 | 0.9979 | 0.0459 |
| 3 | 3, 3, 3 | 0.9518 | 0.1348 | 0.8025 | 0.3419 |
| 3 | 6, 6, 6 | 0.9969 | 0.0344 | 0.9947 | 0.0649 |
| 3 | 9, 9, 9 | 0.9983 | 0.0233 | 0.9952 | 0.0431 |
| Filter Type | Kernel Type | Training | Testing | ||
|---|---|---|---|---|---|
| R2 | RMSE | R2 | RMSE | ||
| Normalize | Polynomial kernel | 0.9672 | 0.0904 | 0.9234 | 0.1339 |
| Normalize | Pearson universal kernel | 1.0000 | 0.0014 | 0.9564 | 0.1041 |
| Normalize | RBF kernel | 0.9998 | 0.0067 | 0.9575 | 0.1000 |
| Standardize | Polynomial kernel | 0.9672 | 0.0903 | 0.9996 | 0.1213 |
| Standardize | Pearson universal kernel | 1.0000 | 0.0004 | 0.9258 | 0.2174 |
| Standardize | RBF kernel | 0.9999 | 0.0040 | 0.9577 | 0.1042 |
| Filter Type | Kernel Type | Training | Testing | ||
|---|---|---|---|---|---|
| R2 | RMSE | R2 | RMSE | ||
| Normalize | Polynomial kernel | 0.8712 | 0.1697 | 0.8797 | 0.1612 |
| Normalize | Pearson universal kernel | 0.9996 | 0.0103 | 0.9680 | 0.0862 |
| Normalize | RBF kernel | 0.9980 | 0.0233 | 0.9674 | 0.0871 |
| Standardize | Polynomial kernel | 0.9339 | 0.1337 | 0.8797 | 0.1612 |
| Standardize | Pearson universal kernel | 1.0000 | 0.0005 | 0.8933 | 0.2308 |
| Standardize | RBF kernel | 1.0000 | 0.0004 | 0.9690 | 0.0912 |
| k | Training | Testing | ||
|---|---|---|---|---|
| R2 | RMSE | R2 | RMSE | |
| 3 | 0.9327 | 0.1271 | 0.8782 | 0.1829 |
| 5 | 0.9209 | 0.1548 | 0.7881 | 0.2320 |
| 7 | 0.8969 | 0.1730 | 0.6123 | 0.2799 |
| 9 | 0.8383 | 0.2059 | 0.5638 | 0.2877 |
| 11 | 0.8355 | 0.2214 | 0.6399 | 0.6399 |
| k | Training | Testing | ||
|---|---|---|---|---|
| R2 | RMSE | R2 | RMSE | |
| 3 | 0.7923 | 0.2143 | 0.6819 | 0.2510 |
| 5 | 0.8135 | 0.2253 | 0.7873 | 0.2385 |
| 7 | 0.8638 | 0.2320 | 0.7160 | 0.2673 |
| 9 | 0.6347 | 0.2860 | 0.4877 | 0.3099 |
| 11 | 0.7101 | 0.2907 | 0.7484 | 0.2955 |
| Model | VD | HAD | |||
|---|---|---|---|---|---|
| R2 | RMSE | R2 | RMSE | ||
| Computational intelligence | ANN | 0.9991 | 0.0213 | 0.9994 | 0.0124 |
| SVM | 1.0000 | 0.0004 | 1.0000 | 0.0004 | |
| kNN | 0.9327 | 0.1271 | 0.8638 | 0.2320 | |
| Mathematical model | Page | 0.9963 | 0.0205 | 0.9999 | 0.0031 |
| Logarithmic | 0.9998 | 0.0040 | 0.9998 | 0.0047 | |
| Midilli et al. | 0.9998 | 0.0050 | 0.9999 | 0.0053 | |
| Thickness (mm) | Drying Method | Color Properties for Different Sample Thickness | |||
|---|---|---|---|---|---|
| L * | a * | b * | ∆E | ||
| Fresh | 61.425 ± 2.533 ab | 26.282 ± 0.747 b | 65.698 ± 2.126 ab | - | |
| 5 | VD-50 | 52.560 ± 3.680 bc | 20.69 ± 1.95bc d | 56.040 ± 3.410 b | 17.790 ± 4.100 bcd |
| VD-60 | 56.161 ± 3.476 bc | 16.280 ± 3.598 de | 61.073 ± 2.834 ab | 15.859 ± 1.822 bcd | |
| VD-70 | 59.646 ± 0.413 bc | 12.804 ± 0.764 e | 62.265 ± 0.076 ab | 14.568 ± 0.669 cd | |
| 8 | VD-50 | 39.637 ± 2.554 d | 31.815 ± 1.901 a | 45.250 ± 2.542 c | 27.069 ± 3.852 ab |
| VD-60 | 50.341 ± 2.610 c | 15.736 ± 0.868 de | 55.656 ± 2.020 b | 16.624 ± 1.715 bcd | |
| VD-70 | 33.479 ± 6.888 d | 22.842 ± 0.784 bc | 38.733 ± 6.948 c | 35.875 ± 9.638 a | |
| 5 | HAD-50 | 56.930 ± 1.152 bc | 23.438 ± 0.258 b | 61.762 ± 1.088 ab | 9.528 ± 1.568 d |
| HAD-60 | 60.250 ± 2.229 ab | 11.684 ± 0.259 e | 64.831 ± 2.231 ab | 14.928 ± 0.680 bcd | |
| HAD-70 | 59.846 ± 1.149 bc | 17.259 ± 1.164 cde | 64.491 ± 0.750 ab | 10.140 ± 0.405 d | |
| 8 | HAD-50 | 56.301 ± 1.562 bc | 20.571 ± 2.890 bcd | 60.907 ± 0.971 ab | 8.817 ± 0.789 d |
| HAD-60 | 60.310 ± 1.478 ab | 6.032 ± 1.740 f | 69.432 ± 0.556 a | 24.618 ± 2.301 abc | |
| HAD-70 | 60.781 ± 1.973 ab | 11.541 ± 0.798 e | 64.015 ± 1.325 ab | 15.959 ± 0.876 bcd | |
© 2020 by the authors. Licensee MDPI, Basel, Switzerland. This article is an open access article distributed under the terms and conditions of the Creative Commons Attribution (CC BY) license (http://creativecommons.org/licenses/by/4.0/).
Share and Cite
Khaled, A.Y.; Kabutey, A.; Selvi, K.Ç.; Mizera, Č.; Hrabe, P.; Herák, D. Application of Computational Intelligence in Describing the Drying Kinetics of Persimmon Fruit (Diospyros kaki) During Vacuum and Hot Air Drying Process. Processes 2020, 8, 544. https://doi.org/10.3390/pr8050544
Khaled AY, Kabutey A, Selvi KÇ, Mizera Č, Hrabe P, Herák D. Application of Computational Intelligence in Describing the Drying Kinetics of Persimmon Fruit (Diospyros kaki) During Vacuum and Hot Air Drying Process. Processes. 2020; 8(5):544. https://doi.org/10.3390/pr8050544
Chicago/Turabian StyleKhaled, Alfadhl Yahya, Abraham Kabutey, Kemal Çağatay Selvi, Čestmír Mizera, Petr Hrabe, and David Herák. 2020. "Application of Computational Intelligence in Describing the Drying Kinetics of Persimmon Fruit (Diospyros kaki) During Vacuum and Hot Air Drying Process" Processes 8, no. 5: 544. https://doi.org/10.3390/pr8050544
APA StyleKhaled, A. Y., Kabutey, A., Selvi, K. Ç., Mizera, Č., Hrabe, P., & Herák, D. (2020). Application of Computational Intelligence in Describing the Drying Kinetics of Persimmon Fruit (Diospyros kaki) During Vacuum and Hot Air Drying Process. Processes, 8(5), 544. https://doi.org/10.3390/pr8050544

