Activation Energy and Second Order Slip in Bioconvection of Oldroyd-B Nanofluid over a Stretching Cylinder: A Proposed Mathematical Model
Abstract
1. Introduction
2. Physical Model
3. Numerical Computations
Validation of Result
4. Analysis of Results
5. Conclusions
- ❖
- The velocity distribution increases with mixed convection parameter while a decreasing profile of velocity has been observed for mixed convection parameter.
- ❖
- The interaction of the second order slip reduces the velocity distribution.
- ❖
- Enhanced temperature distribution is observed for the first order and second order slip factors, thermophoresis constant and curvature parameter.
- ❖
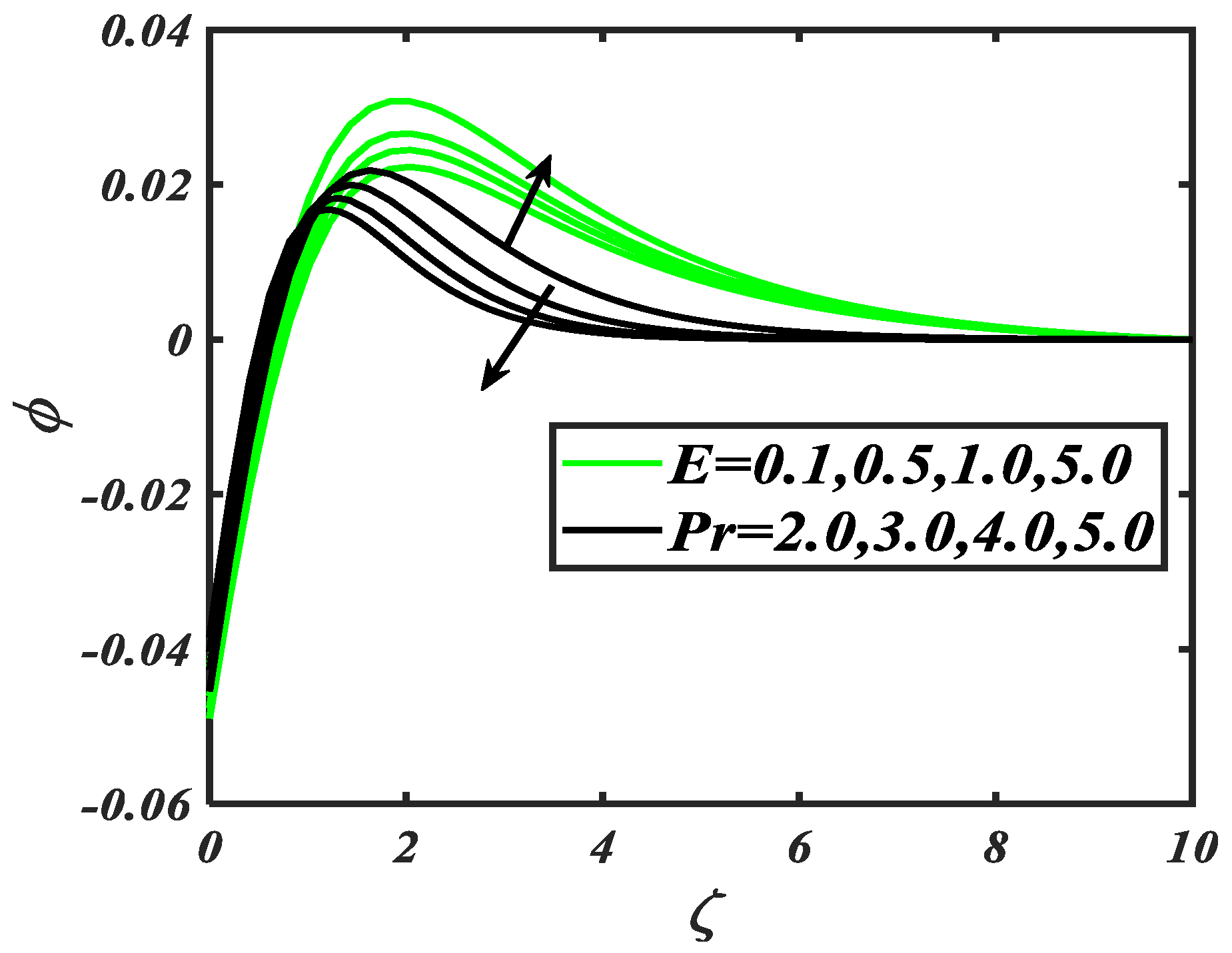
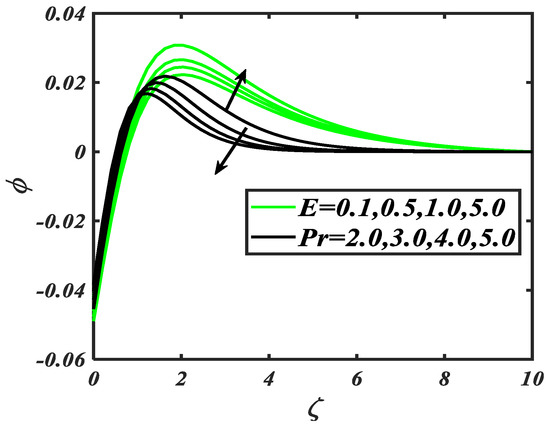
- The activation energy parameter, thermophoresis parameter, and slip parameter increase the variation in the nanoparticle concentration.
- ❖
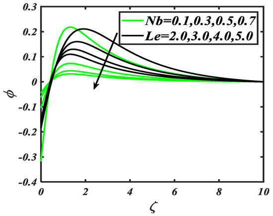
- The motile microorganism distribution decreases with an increase of Peclet number, mixed convection parameter and bioconvection Lewis number.
Author Contributions
Funding
Conflicts of Interest
Nomenclature
| velocity component | |
| nanoparticles temperature | |
| atmospheric temperature | |
| microorganisms density | |
| retardation time | |
| magnetic field strength | |
| motile microorganism particles density | |
| nanoparticles density | |
| momentum coefficient | |
| thermal diffusivity | |
| thermophoretic diffusion coefficient | |
| Knudsen number | |
| chemotaxis constant | |
| constant Curvature parameter | |
| Deborah number in terms of retardation time | |
| mixed convection parameter | |
| buoyancy ratio constant | |
| thermal radiation parameter | |
| Lewis number | |
| Peclet constant | |
| bioconvection constant | |
| second order slip constant | |
| cylindrical coordinate | |
| Concentration profile | |
| atmospheric concentration | |
| relaxation time coefficient, | |
| electrical conductivity, | |
| gravity | |
| volume concentration of magnetic particles, | |
| nanoparticles temperature, | |
| liquid density | |
| Brownian motion constant, | |
| speed of gyrotactic cell, | |
| stands for constant, | |
| molecular mean path | |
| Deborah number in terms of relaxation time | |
| Hartmann number, | |
| Rayleigh number, | |
| Brownian motion, | |
| Prandtl number, | |
| Biot number, | |
| Lewis number | |
| first order slip constant | |
| thermophoresis parameter |
References
- Choi, S.U.S. Enhancing thermal conductivity of fluids with nanoparticles. In Developments and Applications of Non-Newtonian Flows; Siginer, D.A., Wang, H.P., Eds.; ASME: New York, NY, USA, 1995; Volume 66, pp. 99–105. [Google Scholar]
- Buongiorno, J. Convective transport in nanofluids. J. Heat Transf. 2006, 128, 240–250. [Google Scholar] [CrossRef]
- Azam, M.; Khan, M.; Alshomrani, A.S. Effects of magnetic field and partial slip on unsteady axisymmetric flow of Carreaunanofluid over a radially stretching surface. Results Phys. 2017, 7, 2671–2682. [Google Scholar] [CrossRef]
- Alblawi, A.; Malik, M.Y.; Nadeem, S.; Abbas, N. Buongiorno’sNanofluid Model over a Curved Exponentially Stretching Surface. Processes 2019, 7, 665. [Google Scholar] [CrossRef]
- Elgazery, N.S. Nanofluids flow over a permeable unsteady stretching surface with non-uniform heat source/sink in the presence of inclined magnetic field. J. Egypt. Math. Soc. 2019, 27, 9. [Google Scholar]
- Hayat, T.; Aziz, A.; Muhammad, T.; Alsaedi, A. Active and passive controls of Jeffrey nanofluid flow over a nonlinear stretching surface. Results Phys. 2017, 7, 4071–4078. [Google Scholar] [CrossRef]
- Gireesha, B.J.; Mahanthesh, B.; Thammanna, G.T.; Sampathkumar, P.B. Hall effects on dusty nanofluid two-phase transient flow past a stretching sheet using KVL model. J. Mol. Liq. 2018, 256, 139–147. [Google Scholar] [CrossRef]
- Hamid, A.; Khan, M. Heat and mass transport phenomena of nanoparticles on time dependent flow of Williamson fluid towards heated surface. Neural Comput. Appl. 2019. [Google Scholar] [CrossRef]
- Waqas, H.; Imran, M.; Khan, S.U.; Shehzad, S.A.; Meraj, M.A. Slip flow of Maxwell viscoelasticity-based micropolarnano particles with porous medium: A numerical study. Appl. Math. Mech. 2019, 40, 1255–1268. [Google Scholar] [CrossRef]
- Turkyilmazoglu, M. Free and circular jets cooled by single phase nanofluids. Eur. J. Mech. B/Fluids 2019, 76, 1–6. [Google Scholar] [CrossRef]
- Rafiq, M.; Yasmin, H.; Hayat, T.; Alsaadi, F. Effect of Hall and ion-slip on the peristaltic transport of nanofluid: A biomedical application. Chin. J. Phys. 2019, 60, 208–227. [Google Scholar] [CrossRef]
- Tlili, I.; Khan, W.A.; Ramadan, K. MHD Flow of Nanofluid Flow Across Horizontal Circular Cylinder: Steady Forced Convection. J. Nanofluids 2019, 8, 179–186. [Google Scholar] [CrossRef]
- Alzahrani, E.O.; Shah, Z.; Alghamdi, W.; Ullah, M.Z. Darcy–Forchheimer Radiative Flow of Micropoler CNT Nanofluid in Rotating Frame with Convective Heat Generation/Consumption. Processes 2019, 7, 666. [Google Scholar] [CrossRef]
- Ul Rahman, J.; Khan, U.; Ahmad, S.; Ramzan, M.; Suleman, M.; Lu, D.; Inam, S. Numerical Simulation of Darcy–Forchheimer 3D Unsteady Nanofluid Flow Comprising Carbon Nanotubes with Cattaneo–Christov Heat Flux and Velocity and Thermal Slip Conditions. Processes 2019, 7, 687. [Google Scholar] [CrossRef]
- Mozaffari, S.; Tchoukov, P.; Atias, J.; Czarnecki, J.; Nazemifard, N. Effect of Asphaltene Aggregation on Rheological Properties of Diluted Athabasca Bitumen. Energy Fuels 2015, 29, 5595–5599. [Google Scholar] [CrossRef]
- Mozaffari, S.; Li, W.; Dixit, M.; Seifert, S.; Lee, B.; Kovarik, L.; Mpourmpakis, G.; Karim, A.M. The role of nanoparticle size and ligand coverage in size focusing of colloidal metal nanoparticles. Nanoscale Adv. 2019, 1, 4052–4066. [Google Scholar] [CrossRef]
- Mozaffari, A.; Sharifi-Mood, N.; Koplik, J.; Maldarelli, C. Self-diffusiophoretic colloidal propulsion near a solid boundary. Phys. Fluids 2016, 28, 053107. [Google Scholar] [CrossRef]
- Mozaffari, S.; Tchoukov, P.; Mozaffari, A.; Atias, J.; Czarnecki, J.; Nazemifard, N. Capillary driven flow in nanochannels—Application to heavy oil rheology studies. Colloids Surf. A Physicochem. Eng. Asp. 2017, 513, 178–187. [Google Scholar] [CrossRef]
- Hashmi, M.S.; Khan, N.; Khan, S.U.; Rashidi, M.M. A Mathematical model for mixed convective flow of chemically reactive Oldroyd-B fluid between isothermal stretching disks. Results Phys. 2017, 7, 3016–3023. [Google Scholar] [CrossRef]
- Khan, S.U.; Shehzad, S.A.; Nasir, S. Unsteady flow of chemically reactive Oldroyd-B fluid over oscillatory moving surface with thermo-diffusion and heat absorption/generation effects. J. Braz. Soc. Mech. Sci. Eng. 2019, 41, 72. [Google Scholar] [CrossRef]
- Irfan, M.; Khan, M.; Khan, W.A. Impact of non-uniform heat sink/source and convective condition in radiative heat transfer to Oldroyd-B nanofluid: A revised proposed relation. Phys. Lett. A 2019, 383, 376–382. [Google Scholar] [CrossRef]
- Khan, S.U.; Ali, N. Unsteady Hydromagnetic Flow of Oldroyd-B Fluid over an Oscillatory Stretching Surface: A Mathematical Model. Tech. Sci. 2017, 20, 87–100. [Google Scholar] [CrossRef]
- Kumar, K.G.; Ramesh, G.K.; Gireesha, B.J.; Gorla, R.S.R. Characteristics of Joule heating and viscous dissipation on three-dimensional flow of Oldroyd B nanofluid with thermal radiation. Alex. Eng. J. 2018, 57, 2139–2149. [Google Scholar] [CrossRef]
- Waqas, M.; Khan, M.I.; Hayat, T.; Alsaedi, A. Stratified flow of an Oldroyd-B nano-liquid with heat generation. Results Phys. 2017, 7, 2489–2496. [Google Scholar] [CrossRef]
- Mehmood, R.; Rana, S.; Nadeem, S. Transverse thermopherotic MHD Oldroyd-B fluid with Newtonian heating. Results Phys. 2018, 8, 686–693. [Google Scholar] [CrossRef]
- Kuznetsov, A.V. The onset of nanofluidbioconvection in a suspension containing both nanoparticles and gyrotactic microorganisms. Int. Commun. Heat Mass Transf. 2010, 37, 1421–1425. [Google Scholar] [CrossRef]
- Kuznetsov, A.V. Nanofluidbioconvection in water-based suspensions containing nanoparticles and oxytactic microorganisms: Oscillatory instability. Nanoscale Res. Lett. 2011, 6, 100. [Google Scholar] [CrossRef]
- Chakraborty, T.; Das, K.; Kundu, P.K. Framing the impact of external magnetic field on bioconvection of a nanofluid flow containing gyrotactic microorganisms with convective boundary conditions. Alex. Eng. J. 2018, 57, 61–71. [Google Scholar] [CrossRef]
- Alsaedi, A.; Khan, M.I.; Farooq, M.; Gull, N.; Hayat, T. Magnetohyrodynamic (MHD) stratified bio-convective flow of nanofluid due to gyrotactic microorganisms. Adv. Powder Technol. 2017, 28, 288–298. [Google Scholar] [CrossRef]
- Khan, W.A.; Uddin, M.J.; Ismail, A.I.M. Free convection of non-Newtonian nanofluids in porous media with gyrotactic microorganisms. Trans. Porous Med. 2013, 97, 241–252. [Google Scholar] [CrossRef]
- Xun, S.; Zhao, J.; Zheng, L.; Zhang, X. Bio convection in rotating system immersed in nanofluid with temperature dependent viscosity and thermal conductivity. Int. J. Heat Mass Transf. 2017, 111, 1001–1006. [Google Scholar] [CrossRef]
- Beg, O.A.; Uddin, M.D.J.; Khan, W.A. Bioconvective non-Newtonian nanofluid transport in porous media containing micro-organisms in a moving free stream. J. Mech. Med. Biol. 2015, 15, 1550071. [Google Scholar] [CrossRef]
- Waqas, H.; Khan, S.U.; Imran, M.; Bhatti, M.M. Thermally developed Falkner-Skanbioconvection flow of a magnetized nanofluid in the presence of motile gyrotactic microorganism: Buongiorno’s nanofluid model. Phys. Scr. 2019, 94, 115304. [Google Scholar] [CrossRef]
- ZamanMahwishGul, S. Magnetohydrodynamicbioconvective flow of Williamson nanofluid containing gyrotactic microorganisms subjected to thermal radiation and Newtonian conditions. J. Theor. Biol. 2019, 479, 22–28. [Google Scholar]
- Ur Rehman, K.; Malik, A.A.; Tahir, M.; Malik, M.Y. Undersized description on motile gyrotactic micro-organisms individualities in MHD stratified water-based Newtonian nanofluid. Results Phys. 2018, 8, 981–987. [Google Scholar] [CrossRef]
- Bhatti, M.M.; Mishra, S.R.; Abbas, T.; Rashidi, M.M. A mathematical model of MHD nanofluid flow having gyrotactic microorganisms with thermal radiation and chemical reaction effects. Neural Comput. Appl. 2018, 30, 1237–1249. [Google Scholar] [CrossRef]
- Wu, L. A slip model for rarefied gas flows at arbitrary Knudsen number. Appl. Phys. Lett. 2008, 93, 253103. [Google Scholar] [CrossRef]
- Nandeppanavar, M.M.; Vajravelu, K.; Abel, M.S.; Siddalingappa, M. Second order slip flow and heat transfer over a stretching sheet with non-linear Navier boundary condition. Int. J. Therm. Sci. 2012, 58, 143–150. [Google Scholar] [CrossRef]
- Khan, S.U.; Waqas, H.; Shehzad, S.A.; Imran, M. Theoretical analysis for tangent hyperbolic nanoparticles with combined electrical MHD, activation energy and Wu’s slip features: A mathematical model. Phys. Scr. 2019, 94, 125211. [Google Scholar] [CrossRef]
- Ibrahim, W. Magnetohydrodynamics (MHD) flow of a tangent hyperbolic fluid with nanoparticles past a stretching sheet with second order slip and convective boundary condition. Results Phys. 2017, 7, 3723–3731. [Google Scholar] [CrossRef]
- Abel, M.S.; Tawade, J.V.; Nandeppanavar, M.M. MHD flow and heat transfer for the upper-convected Maxwell fluid over a stretching sheet. Meccanica 2012, 47, 385–393. [Google Scholar]
- Megahed, A.M. Variable fluid properties and variable heat flux effects on the flow and heat transfer in a non-Newtonian Maxwell fluid over an unsteady stretching sheet with slip velocity. Chin. Phys. B 2012, 22, 094701. [Google Scholar] [CrossRef]
- Irfan, M.; Khan, M.; Khan, W.A.; Sajid, M. Thermal and solutal stratifications in flow of Oldroyd-B nanofluid with variable conductivity. Appl. Phys. A 2018, 124, 674. [Google Scholar] [CrossRef]
- Atif, S.M.; Hussain, S.; Sagheer, M. Effect of viscous dissipation and Joule heating on MHD radiative tangent hyperbolic nanofluid with convective and slip conditions. J. Braz. Soc. Mech. Sci. Eng. 2019, 41, 189. [Google Scholar] [CrossRef]
- Tlili, I. Effects MHD and Heat Generation on Mixed Convection Flow of Jeffrey Fluid in Microgravity Environment over an Inclined Stretching Sheet. Symmetry 2019, 11, 438. [Google Scholar] [CrossRef]
- Goodarzi, M.; Tlili, I.; Tian, Z.; Safaei, M. Efficiency assessment of using graphene nanoplatelets-silver/water nanofluids in microchannel heat sinks with different cross-sections for electronics cooling. Int. J. Numer. Methods Heat Fluid Flow 2019. [Google Scholar] [CrossRef]
- Tlili, I.; Alkanhal, T.A. Nanotechnology for water purification: Electrospun nanofibrous membrane in water and wastewater treatment. J. Water Reuse Desalin. 2019, 24. [Google Scholar] [CrossRef]
- Tlili, I.; Khan, W.A.; Khan, I. Multiple slips effects on MHD SA-Al2O3 and SA-Cu Non-Newtonian nanofluids flow over a stretching cylinder in porous medium with radiation and chemical reaction. Results Phys. 2018, 8, 213–222. [Google Scholar] [CrossRef]
- Tlili, I.; Hamadneh, N.N.; Khan, W.A. Thermodynamic Analysis of MHD Heat and Mass Transfer of Nanofluids Past a Static Wedge with Navier Slip and Convective Boundary Conditions. Arab. J. Sci. Eng. 2018, 44, 1255–1267. [Google Scholar] [CrossRef]
- Tlili, I.; Hamadneh, N.N.; Khan, W.A.; Atawneh, S. Thermodynamic analysis of MHD Couette–Poiseuille flow of water-based nanofluids in a rotating channel with radiation and Hall effects. J. Therm. Anal. Calorim. 2018, 132, 1899–1912. [Google Scholar] [CrossRef]
- Alwatban, A.M.; Khan, S.U.; Waqas, H.; Tlili, I. Interaction of Wu’s slip features in bioconvection of Eyring Powell nanoparticles with activation energy. Processes 2019, 7, 859. [Google Scholar] [CrossRef]
- Waqas, H.; Khan, S.U.; Hassan, M.; Bhatti, M.M.; Imran, M. Analysis for bioconvection flow of modified second grade fluid containing gyrotactic microorganisms and nanoparticles. J. Mol. Liq. 2019, 291, 111231. [Google Scholar] [CrossRef]














| Present Results | ||||
|---|---|---|---|---|
| Reference [42] | Reference [43] | Reference [44] | ||
| 0.0 | 0.999978 | 1.000000 | 1.000000 | 1.000000 |
| 0.2 | 1.051945 | 1.051889 | 1.0518898 | 1.0518899 |
| 0.4 | 1.101848 | 1.101903 | 1.1019033 | 1.1019033 |
| 0.2 | 0.3 | 0.3 | 0.3 | 0.8 | 0.5 | 0.5 | 1 | −1 | 0.3592 |
| 0.6 | 0.3566 | ||||||||
| 1.0 | 0.3532 | ||||||||
| 0.5 | 0.1 | 0.3547 | |||||||
| 0.4 | 0.3573 | ||||||||
| 0.7 | 0.3841 | ||||||||
| 0.3 | 0.1 | 0.3374 | |||||||
| 0.4 | 0.3649 | ||||||||
| 0.7 | 0.3811 | ||||||||
| 0.3 | 0.2 | 0.2641 | |||||||
| 0.4 | 0.2093 | ||||||||
| 0.6 | 0.1733 | ||||||||
| 0.3 | 0.1 | 0.3547 | |||||||
| 0.3 | 0.3555 | ||||||||
| 0.5 | 0.3562 | ||||||||
| 0.8 | 0.1 | 0.3584 | |||||||
| 0.6 | 0.3570 | ||||||||
| 1.0 | 0.3560 | ||||||||
| 0.5 | 0.1 | 0.3584 | |||||||
| 1.0 | 0.3560 | ||||||||
| 2.0 | 0.3570 | ||||||||
| 0.5 | 2.0 | 0.2641 | |||||||
| 3.0 | 0.2093 | ||||||||
| 4.0 | 0.1733 | ||||||||
| 1.0 | −2.0 | 0.2836 | |||||||
| −3.0 | 0.2362 | ||||||||
| −4.0 | 0.2028 |
| Pr | |||||||||||||
|---|---|---|---|---|---|---|---|---|---|---|---|---|---|
| 0.5 | 0.3 | 0.3 | 0.3 | 0.8 | 0.5 | 0.5 | 2.0 | 0.3 | 0.3 | 5.0 | 2.0 | 0.8 | |
| 0.2 | 0.3001 | ||||||||||||
| 0.6 | 0.2746 | ||||||||||||
| 1.0 | 0.2549 | ||||||||||||
| 0.1 | 0.3062 | ||||||||||||
| 0.4 | 0.2693 | ||||||||||||
| 0.7 | 0.2904 | ||||||||||||
| 0.1 | 0.3158 | ||||||||||||
| 0.4 | 0.2670 | ||||||||||||
| 0.7 | 0.2377 | ||||||||||||
| 0.2 | 0.2829 | ||||||||||||
| 0.4 | 0.2778 | ||||||||||||
| 0.6 | 0.0374 | ||||||||||||
| 0.1 | 0.2356 | ||||||||||||
| 0.4 | 0.2079 | ||||||||||||
| 0.7 | 0.1893 | ||||||||||||
| 0.1 | 0.2784 | ||||||||||||
| 0.6 | 0.2808 | ||||||||||||
| 1.0 | 0.2827 | ||||||||||||
| 0.1 | 0.2681 | ||||||||||||
| 1.0 | 0.2949 | ||||||||||||
| 2.0 | 0.3210 | ||||||||||||
| 1.0 | 0.1744 | ||||||||||||
| 3.0 | 0.3828 | ||||||||||||
| 5.0 | 0.5435 | ||||||||||||
| 0.1 | 0.2824 | ||||||||||||
| 0.3 | 0.2797 | ||||||||||||
| 0.5 | 0.2798 | ||||||||||||
| 0.1 | 0.2595 | ||||||||||||
| 0.4 | 0.2910 | ||||||||||||
| 0.8 | 0.3340 | ||||||||||||
| 1.0 | 0.2787 | ||||||||||||
| 2.0 | 0.2788 | ||||||||||||
| 3.0 | 0.2793 | ||||||||||||
| 1.0 | 0.2452 | ||||||||||||
| 1.4 | 0.2641 | ||||||||||||
| 1.8 | 0.2759 | ||||||||||||
| 0.1 | 0.4037 | ||||||||||||
| 0.3 | 0.3585 | ||||||||||||
| 0.5 | 0.3222 |
| 0.5 | 0.3 | 0.3 | 0.3 | 0.8 | 0.5 | 0.5 | 2.0 | 0.3 | 0.3 | 5.0 | 2.0 | 0.1 | |
|---|---|---|---|---|---|---|---|---|---|---|---|---|---|
| 0.2 | 0.4501 | ||||||||||||
| 0.6 | 0.4119 | ||||||||||||
| 1.0 | 0.3824 | ||||||||||||
| 0.1 | 0.4594 | ||||||||||||
| 0.4 | 0.4040 | ||||||||||||
| 0.7 | 0.4358 | ||||||||||||
| 0.1 | 0.4736 | ||||||||||||
| 0.4 | 0.4005 | ||||||||||||
| 0.7 | 0.3565 | ||||||||||||
| 0.2 | 0.4244 | ||||||||||||
| 0.4 | 0.4166 | ||||||||||||
| 0.6 | 0.0564 | ||||||||||||
| 0.1 | 0.4294 | ||||||||||||
| 0.4 | 0.4269 | ||||||||||||
| 0.7 | 0.4247 | ||||||||||||
| 0.1 | 0.4176 | ||||||||||||
| 0.6 | 0.4241 | ||||||||||||
| 1.0 | 0.4212 | ||||||||||||
| 0.1 | 0.4022 | ||||||||||||
| 1.0 | 0.4424 | ||||||||||||
| 2.0 | 0.4815 | ||||||||||||
| 1.0 | 0.2615 | ||||||||||||
| 3.0 | 0.5742 | ||||||||||||
| 5.0 | 0.8152 | ||||||||||||
| 0.1 | 0.8472 | ||||||||||||
| 0.3 | 0.2797 | ||||||||||||
| 0.5 | 0.1675 | ||||||||||||
| 0.1 | 0.1297 | ||||||||||||
| 0.4 | 0.5819 | ||||||||||||
| 0.8 | 1.3360 | ||||||||||||
| 1.0 | 0.4180 | ||||||||||||
| 2.0 | 0.4182 | ||||||||||||
| 3.0 | 0.4190 | ||||||||||||
| 1.0 | 0.3678 | ||||||||||||
| 1.4 | 0.3961 | ||||||||||||
| 1.8 | 0.4139 | ||||||||||||
| 0.5 | 0.6056 | ||||||||||||
| 1.0 | 0.5378 | ||||||||||||
| 1.5 | 0.4833 |
| 0.5 | 0.3 | 0.3 | 0.3 | 0.8 | 0.5 | 0.5 | 1.0 | 0.1 | |
|---|---|---|---|---|---|---|---|---|---|
| 0.2 | 0.3620 | ||||||||
| 0.6 | 0.3261 | ||||||||
| 1.0 | 0.2992 | ||||||||
| 0.1 | 0.3567 | ||||||||
| 0.4 | 0.3244 | ||||||||
| 0.7 | 0.6409 | ||||||||
| 0.1 | 0.3850 | ||||||||
| 0.4 | 0.3155 | ||||||||
| 0.7 | 0.2758 | ||||||||
| 0.2 | 0.3378 | ||||||||
| 0.4 | 0.3305 | ||||||||
| 0.6 | 0.0389 | ||||||||
| 0.1 | 0.3424 | ||||||||
| 0.4 | 0.3401 | ||||||||
| 0.7 | 0.3377 | ||||||||
| 0.1 | 0.3314 | ||||||||
| 0.6 | 0.3348 | ||||||||
| 1.0 | 0.3375 | ||||||||
| 0.1 | 0.3170 | ||||||||
| 1.0 | 0.3548 | ||||||||
| 2.0 | 0.3927 | ||||||||
| 0.1 | 0.1643 | ||||||||
| 0.5 | 0.2378 | ||||||||
| 0.8 | 0.2956 | ||||||||
| 0.2 | 0.3752 | ||||||||
| 0.6 | 0.5399 | ||||||||
| 1.0 | 0.7046 |
© 2019 by the authors. Licensee MDPI, Basel, Switzerland. This article is an open access article distributed under the terms and conditions of the Creative Commons Attribution (CC BY) license (http://creativecommons.org/licenses/by/4.0/).
Share and Cite
Tlili, I.; Waqas, H.; Almaneea, A.; Khan, S.U.; Imran, M. Activation Energy and Second Order Slip in Bioconvection of Oldroyd-B Nanofluid over a Stretching Cylinder: A Proposed Mathematical Model. Processes 2019, 7, 914. https://doi.org/10.3390/pr7120914
Tlili I, Waqas H, Almaneea A, Khan SU, Imran M. Activation Energy and Second Order Slip in Bioconvection of Oldroyd-B Nanofluid over a Stretching Cylinder: A Proposed Mathematical Model. Processes. 2019; 7(12):914. https://doi.org/10.3390/pr7120914
Chicago/Turabian StyleTlili, Iskander, H. Waqas, Abulmajeed Almaneea, Sami Ullah Khan, and M. Imran. 2019. "Activation Energy and Second Order Slip in Bioconvection of Oldroyd-B Nanofluid over a Stretching Cylinder: A Proposed Mathematical Model" Processes 7, no. 12: 914. https://doi.org/10.3390/pr7120914
APA StyleTlili, I., Waqas, H., Almaneea, A., Khan, S. U., & Imran, M. (2019). Activation Energy and Second Order Slip in Bioconvection of Oldroyd-B Nanofluid over a Stretching Cylinder: A Proposed Mathematical Model. Processes, 7(12), 914. https://doi.org/10.3390/pr7120914

