Numerical Simulation on Hydraulic Characteristics of Nozzle in Waterjet Propulsion System
Abstract
1. Introduction
2. Numerical Calculation
2.1. Numerical Model
2.2. Governing Equations
2.3. Grid Sensitivity Analysis
2.4. Turbulence Model Selecting
2.5. Boundary Conditions
3. Hydraulic Characteristics Test
3.1. Test Rig Set-Up
3.2. Experimental Verification
4. The Influence of Nozzle with Different Geometric Parameters on Hydraulic Characteristics of Waterjet Propulsion System
4.1. The Influence of Different Nozzle Outlet Shapes on the Hydraulic Characteristic
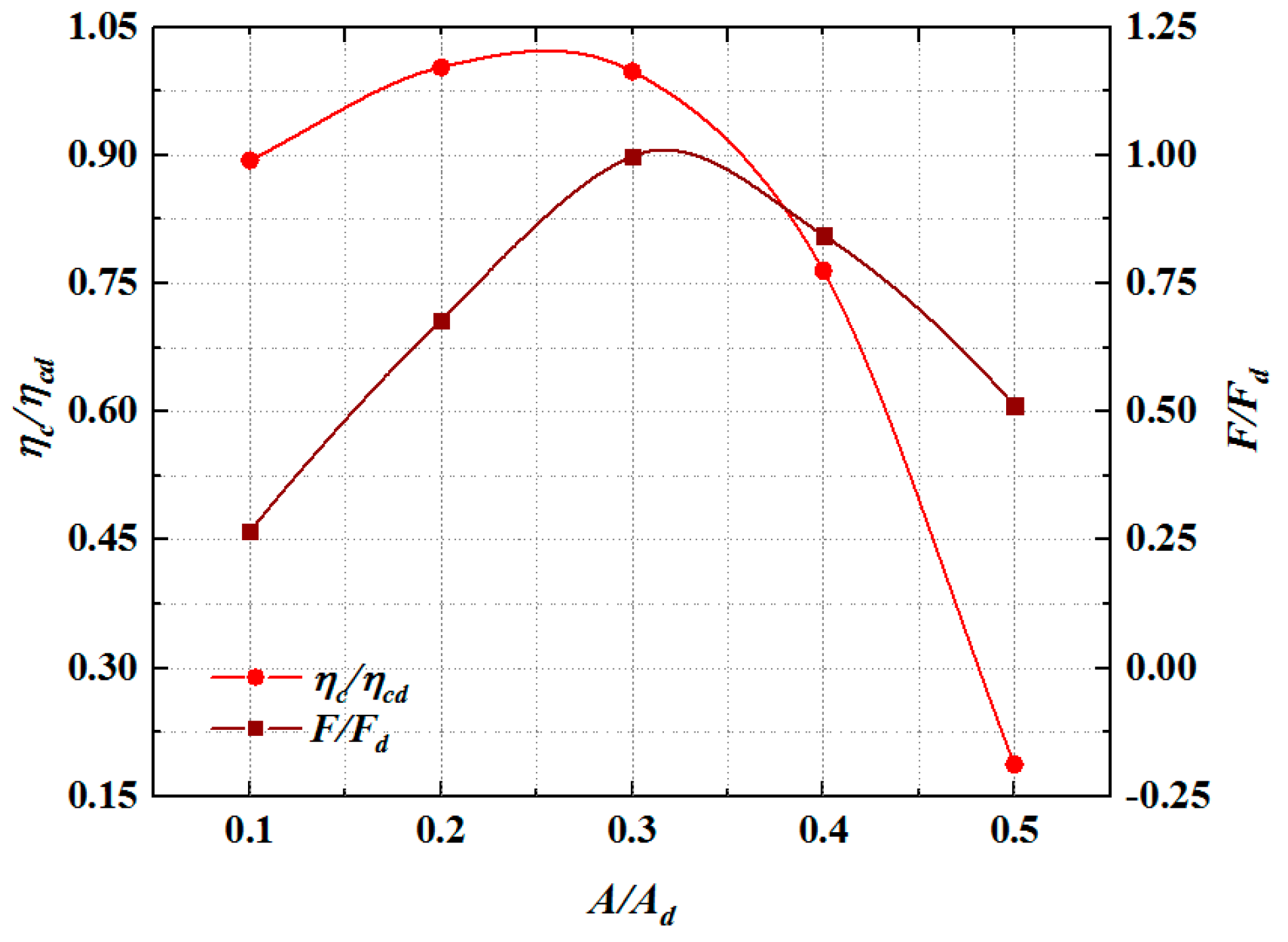
4.2. The Influence of Different Nozzle Outlet Areas on the Hydraulic Characteristic
4.3. The Effect of Different Transition Curve Forms on the Hydraulic Characteristic
5. Conclusions
Author Contributions
Funding
Conflicts of Interest
Nomenclature
| Symbols | |
| D0 | inlet diameter of the impeller, mm | 
| θ | dip angle of inlet duct, ° | 
| ui,j | velocity component of the direction of x, y | 
| t | time, s | 
| P | pressure, pa | 
| volume force component in the i direction, N | |
| dynamics viscosity coefficient | |
| coordinate component | |
| Hd | head under design flow rate condition, m | 
| ηd | efficiency under design flow rate condition, % | 
| Qd | design flow rate, m3/s | 
| Htd | test value of head under design flow rate condition, m | 
| ηtd | test value of efficiency under design flow rate condition, % | 
| P1-1 | pressure of section 1-1, Pa | 
| P1-1 | pressure of section 2-2, Pa | 
| water density, kg/m3 | |
| g | gravitational acceleration, m/s2 | 
| T | torque of blades, N∙m | 
| Q | flow rate, m3/s | 
| N | shaft power, kW | 
| Ad | outlet area of inlet duct, m2 | 
| Di | diameter of nozzle with circle shape, m | 
| ai | major axis of nozzle with elliptical shape, m | 
| bi | minor axis of nozzle with elliptical shape, m | 
| ci | length of nozzle with rounded rectangle, m | 
| β | effect coefficient of boundary layer | 
| K1 | pipeline loss coefficient | 
| k’ | the ratio of vout to vs | 
| Fd | thrust under design flow rate condition, N | 
| Dg | outlet diameter of guide vane, m | 
| R1 | shrinkage arc radius of guide vane outlet section, m | 
| shrinkage angle of nozzle with linear contraction, ° | |
| L’ | total length of nozzle and outlet section of guide vane, m | 
| di | width of nozzle with rounded rectangle, m | 
| r | radius of nozzle with rounded rectangle, m | 
| Cp | pressure coefficient | 
| time-average pressure, Pa | |
| vout | averaged outlet velocity at the nozzle, m/s | 
| the axial velocity distribution coefficient, % | |
| uai | axial velocity of each element of the calculated section, m/s | 
| averaged axial velocity of the calculated section, m/s | |
| n | number of cells of the calculated section | 
| Vz | axial velocity of nozzle outlet, m/s | 
| averaged axial velocity of nozzle outlet, m/s | |
| hydraulic loss, m | |
| total pressure of inlet section, Pa | |
| total pressure of outlet section, Pa | |
| pressure energy recovery coefficient, % | |
| IVR | inlet velocity ratio | 
| averaged axial outflow velocity at the duct outlet, m/s | |
| ship speed, m/s | |
| Nd | shaft power under design flow rate condition, % | 
| IVRd | IVR under design flow rate condition | 
| T | thrust of the waterjet propulsion system, N | 
| A | outlet area of the nozzle, m2 | 
| mass averaged ingested velocity at duct inlet, m/s | |
| effect coefficient of boundary layer | |
| efficiency of waterjet propulsion system, % | |
| R2 | first transition arc radius of nozzle in case 8, m | 
| R3 | second transition arc radius of nozzle in case 8, m | 
| R4 | transition arc radius of nozzle in case 9, m | 
| s weighted-velocity average swirl angle, ° | |
| uti | tangential velocity of each element of the calculated section, m/s | 
| maximum axial outlet velocity of the nozzle, m/s | |
| averaged outlet axial velocity of the nozzle, m/s | 
References
- Bulten, N.W.H. Numerical Analysis of a Waterjet Propulsion System. Ph.D. Thesis, Library Eindhoven University of Technology, Eindhoven, Netherlands, 2006. [Google Scholar]
- Takai, T.; Kandasamy, M.; Stern, F. Verification and validation study of URANS simulations for an axial waterjet propelled large high-speed ship. J. Mar. Sci. Technol. 2011, 16, 434–447. [Google Scholar] [CrossRef]
- Lavis, D.R.; Forstell, B.G.; Purnell, J.G. Compact waterjets for high-speed ships. Ships Offshore Struct. 2007, 2, 11. [Google Scholar] [CrossRef]
- Hu, B.; Li, X.; Fu, Y.; Zhang, F.; Gu, C.; Ren, X.; Wang, C. Experimental investigation on the flow and flow-rotor heat transfer in a rotor-stator spinning disk reactor. Appl. Therm. Eng. 2019, 162, 114316. [Google Scholar] [CrossRef]
- Zhu, Y.; Qian, P.; Tang, S.; Jiang, W.; Li, W.; Zhao, J. Amplitude-frequency characteristics analysis for vertical vibration of hydraulic AGC system under nonlinear action. AIP Adv. 2019, 9, 035019. [Google Scholar] [CrossRef]
- Verbeek, R.; Bulten, N.W.H. Recent development in waterjet design. In Proceedings of the International Conference on Waterjet Propulsion, Latest Developments, Amsterdam, The Netherlands, 22–23 October 1998; RINA: Amsterdam, The Netherlands, 1998. [Google Scholar]
- Jiao, W.X.; Cheng, L.; Xu, J.; Wang, C. Numerical analysis of two-phase flow in the cavitation process of a waterjet propulsion pump system. Processes 2019, 7, 690. [Google Scholar] [CrossRef]
- Ding, J.M.; Wang, Y.S. Research on flow loss of inlet duct of marine waterjets. J. Shanghai Jiaotong Univ. (Sci.) 2010, 15, 158–162. [Google Scholar] [CrossRef]
- Park, W.G.; Yun, H.S.; Chun, H.H.; Kim, M.C. Numerical flow simulation of flush type intake duct of waterjet. Ocean Eng. 2005, 32, 2107–2120. [Google Scholar] [CrossRef]
- Cao, P.; Wang, Y.; Li, G.; Cui, Y.; Yin, G. Numerical hydraulic efficiency analysis of waterjet propulsion. In Proceedings of the International Symposium on Fluid Machinery & Fluid Engineering, Wuhan, China, 22–25 October 2014. [Google Scholar]
- Cheng, L.; Qi, W. Rotating stall region of water-jet pump. Trans. Famena 2014, 38, 31–40. [Google Scholar]
- Xia, C.Z.; Cheng, L.; Luo, C.; Jiao, W.; Zhang, D. Hydraulic characteristics and measurement of rotating stall suppression in a waterjet propulsion system. Trans. Famena 2018, 4, 85–100. [Google Scholar] [CrossRef]
- Wang, C.; He, X.; Zhang, D.; Hu, B.; Shi, W. Numerical and experimental study of the self-priming process of a multistage self-priming centrifugal pump. Int. J. Energy Res. 2019, 43, 4074–4092. [Google Scholar] [CrossRef]
- Wang, C.; Shi, W.; Wang, X.; Jiang, X.; Yang, Y.; Li, W.; Zhou, L. Optimal design of multistage centrifugal pump based on the combined energy loss model and computational fluid dynamics. Appl. Energy 2017, 187, 10–26. [Google Scholar] [CrossRef]
- Kim, M.C.; Chun, H.H. Experimental investigation into the performance of the Axial-Flow-Type Waterjet according to the Variation of Impeller Tip Clearance. Ocean Eng. 2007, 34, 275–283. [Google Scholar] [CrossRef]
- Etter, R.J.; Krishnamoorthy, V.; Sherer, J.O. Model testing of waterjet propelled craft. In Proceedings of the 19th ATTC, Ann Arbor, American, 11–15 August 1980. [Google Scholar]
- Eslamdoost, A.; Larsson, L.; Bensow, R. Net and gross thrust in waterjet propulsion. J. Ship Res. 2016, 60, 1–14. [Google Scholar] [CrossRef]
- Park, W.G.; Jang, J.H.; Chun, H.H.; Kim, M.C. Numerical flow and performance analysis of waterjet propulsion system. Ocean Eng. 2005, 32, 1740–1761. [Google Scholar] [CrossRef]
- Liang, J.; Li, X.; Zhang, Z.; Luo, X.; Zhu, Y. Numerical investigation into effects on momentum thrust by nozzle’s geometric parameters in water jet propulsion system of autonomous underwater vehicles. Ocean Eng. 2016, 123, 327–345. [Google Scholar]
- Abcand, L.; Cobolli, C.R. Optimization of waterjet propulsion for high-speed ships. J. Hydronaut. 1968, 2, 2–8. [Google Scholar] [CrossRef]
- Chin, P.C. Determination of the main parameters of water-jet propulsion system. Shipbuild. China 1978, 1, 80–91. [Google Scholar]
- Jiao, W.X.; Cheng, L.; Zhang, D.; Zhang, B.; Su, Y.; Wang, C. Optimal design of inlet passage for waterjet propulsion system based on flow and geometric parameters. Adv. Mater. Sci. Eng. 2019, 2320981. [Google Scholar] [CrossRef]
- Xin, B.; Luo, X.; Shi, Z.; Zhu, Y. A vectored water jet propulsion method for autonomous underwater vehicles. Ocean Eng. 2013, 74, 133–140. [Google Scholar] [CrossRef]
- Gong, Z.H.; Li, G.Q.; Xiong, W.; Li, J.Z.; Yu, Y.X.; Yuan, J.Q. Modeling and Simulation of the Steering Control System of Marine Water-Jet Propulsion Unit. J. Shanghai Jiaotong Univ. 2016, 50, 1114–1118. [Google Scholar]
- Wang, C.; He, X.; Shi, W.; Wang, X.; Wang, X.; Qiu, N. Numerical study on pressure fluctuation of a multistage centrifugal pump based on whole flow field. AIP Adv. 2019, 9, 035118. [Google Scholar] [CrossRef]
- Zhu, Y.; Tang, S.; Quan, L.; Jiang, W.; Zhou, L. Extraction method for signal effective component based on extreme-point symmetric mode decomposition and Kullback-Leibler divergence. J. Braz. Soc. Mech. Sci. Eng. 2019, 41, 100. [Google Scholar] [CrossRef]
- Wang, C.; Chen, X.; Qiu, N.; Zhu, Y.; Shi, W. Numerical and experimental study on the pressure fluctuation, vibration, and noise of multistage pump with radial diffuser. J. Braz. Soc. Mech. Sci. Eng. 2018, 40, 481. [Google Scholar] [CrossRef]
- Wei, Y.; Yang, H.; Dou, H.S.; Lin, Z.; Wang, Z.; Qian, Y. A novel two-dimensional coupled lattice Boltzmann model for thermal incompressible flows. Appl. Math. Comput. 2018, 339, 556–567. [Google Scholar] [CrossRef]
- Yang, H.; Zhang, W.; Zhu, Z. Unsteady mixed convection in a square enclosure with an inner cylinder rotating in a bi-directional and time-periodic mode. Int. J. Heat Mass Transf. 2019, 136, 563–580. [Google Scholar] [CrossRef]
- Zhu, Y.; Tang, S.N.; Wang, C.; Jiang, W.; Yuan, X.; Lei, Y. Bifurcation characteristic research on the load vertical vibration of a hydraulic automatic gauge control system. Processes 2019, 7, 718. [Google Scholar] [CrossRef]
- Zhu, Y.; Tang, S.; Wang, C.; Jiang, W.; Zhao, J.; Li, G. Absolute stability condition derivation for position closed-loop system in hydraulic automatic gauge control. Processes 2019, 7, 766. [Google Scholar] [CrossRef]
- Li, X.J.; Chen, B.; Luo, X.W.; Zhu, Z. Effects of flow pattern on hydraulic performance and energy conversion characterisation in a centrifugal pump. Renew. Energy 2020, in press. [Google Scholar] [CrossRef]
- Wang, X.; Su, B.; Li, Y.; Wang, C. Vortex formation and evolution process in an impulsively starting jet from long pipe. Ocean Eng. 2019, 176, 134–143. [Google Scholar] [CrossRef]
- Chang, H.; Shi, W.; Li, W.; Wang, C.; Zhou, L.; Liu, J.; Yang, Y.; Rameshe, K.A. Experimental optimization of jet self-priming centrifugal pump based on orthogonal design and grey-correlational method. J. Therm. Sci. 2019, 435, 1–10. [Google Scholar] [CrossRef]
- Zhang, S.; Li, X.; Hu, B.; Hu, B.; Liu, Y.; Zhu, Z. Numerical investigation of attached cavitating flow in thermo-sensitive fluid with special emphasis on thermal effect and shedding dynamics. Int. J. Hydrogen Energy 2019, 44, 3170–3184. [Google Scholar] [CrossRef]
- He, X.; Jiao, W.; Wang, C.; Cao, W. Influence of surface roughness on the pump performance based on Computational Fluid Dynamics. IEEE Access 2019, 7, 105331–105341. [Google Scholar] [CrossRef]
- Wang, C.; Hu, B.; Zhu, Y.; Wang, X.; Luo, C.; Cheng, L. Numerical study on the gas-water two-phase flow in the self-priming process of self-priming centrifugal pump. Processes 2019, 7, 330. [Google Scholar] [CrossRef]




















| Turbulence Model | Standard k-ε | RNG k-ε | Standard k-ω | SST | SSG | 
|---|---|---|---|---|---|
| H/Htd | 1.0115 | 1.0263 | 1.0437 | 1.0655 | 1.0271 | 
| Efficiency η/ηtd | 1.0237 | 1.0274 | 1.1088 | 1.1098 | 1.0341 | 
| Case | Shape | Area | Transition Curve Form | Note | |
|---|---|---|---|---|---|
| Diagram of Shape | Value | ||||
| 1 | Circle | 30%Ad | Linear contraction |  Circle shape  Elliptical shape  Rounded rectangle | D1 = 0.55 D0 | 
| 2 | Elliptical | 30%Ad | Linear contraction | a2 = 0.33 D0 b2 = 0.22 D0 | |
| 3 | Rounded rectangle | 30%Ad | Linear contraction | c3 = 0.65 D0 d3 = 0.43 D0 r = 0.22 D0 | |
| 4 | Circle | 10%Ad | Linear contraction | D1 = 0.32 D0 | |
| 5 | Circle | 20%Ad | Linear contraction | D1 = 0.45 D0 | |
| 6 | Circle | 40%Ad | Linear contraction | D1 = 0.63 D0 | |
| 7 | Circle | 50%Ad | Linear contraction | D1 = 0.71 D0 | |
| 8 | Circle | 30%Ad | Curve contraction followed by straight line | D1 = 0.55 D0 | |
| 9 | Circle | 30%Ad | Arc contraction | D1 = 0.55 D0 | |
| Case | L’ | D1 | Dg | R1 | θ | R2 | R3 | R4 | 
|---|---|---|---|---|---|---|---|---|
| 1 | 0.56D0 | 0.55D0 | 0.86D0 | 0.37D0 | 13° | / | / | / | 
| 8 | 0.56D0 | 0.55D0 | 0.86D0 | 0.37D0 | / | 0.30D0 | 0.11D0 | / | 
| 9 | 0.56D0 | 0.55D0 | 0.86D0 | 0.37D0 | / | / | / | 0.87D0 | 
| Case | ||||
|---|---|---|---|---|
| 1 | 10.42 | 10.02 | 97.57% | 78.73° | 
| 8 | 10.47 | 9.78 | 94.24% | 80.10° | 
| 9 | 10.44 | 9.81 | 96.07% | 75.07° | 
© 2019 by the authors. Licensee MDPI, Basel, Switzerland. This article is an open access article distributed under the terms and conditions of the Creative Commons Attribution (CC BY) license (http://creativecommons.org/licenses/by/4.0/).
Share and Cite
Wang, C.; He, X.; Cheng, L.; Luo, C.; Xu, J.; Chen, K.; Jiao, W. Numerical Simulation on Hydraulic Characteristics of Nozzle in Waterjet Propulsion System. Processes 2019, 7, 915. https://doi.org/10.3390/pr7120915
Wang C, He X, Cheng L, Luo C, Xu J, Chen K, Jiao W. Numerical Simulation on Hydraulic Characteristics of Nozzle in Waterjet Propulsion System. Processes. 2019; 7(12):915. https://doi.org/10.3390/pr7120915
Chicago/Turabian StyleWang, Chuan, Xiaoke He, Li Cheng, Can Luo, Jing Xu, Kun Chen, and Weixuan Jiao. 2019. "Numerical Simulation on Hydraulic Characteristics of Nozzle in Waterjet Propulsion System" Processes 7, no. 12: 915. https://doi.org/10.3390/pr7120915
APA StyleWang, C., He, X., Cheng, L., Luo, C., Xu, J., Chen, K., & Jiao, W. (2019). Numerical Simulation on Hydraulic Characteristics of Nozzle in Waterjet Propulsion System. Processes, 7(12), 915. https://doi.org/10.3390/pr7120915
 
        



 
       