Next Article in Journal
Robust Scheduling Optimization Model for Multi-Energy Interdependent System Based on Energy Storage Technology and Ground-Source Heat Pump
Next Article in Special Issue
New Approaches in Modeling and Simulation of CO2 Absorption Reactor by Activated Potassium Carbonate Solution
Previous Article in Journal
Integration Multi-Model to Evaluate the Impact of Surface Water Quality on City Sustainability: A Case from Maanshan City in China
Previous Article in Special Issue
A Data-Driven Reaction Network for the Fluid Catalytic Cracking of Waste Feeds
 
 
Font Type:
Arial Georgia Verdana
Font Size:
Aa Aa Aa
Line Spacing:
Column Width:
Background:
Article

Modeling/Simulation of the Dividing Wall Column by Using the Rigorous Model

1
Beijing Key Lab of Membrane Science and Technology, College of Chemical Engineering, Beijing University of Chemical Technology, North Third Ring Road 15, Chaoyang District, Beijing 100029, China
2
Department of Chemical Engineering, Louisiana State University, Baton Rouge, LA 70803, USA
*
Author to whom correspondence should be addressed.
Processes 2019, 7(1), 26; https://doi.org/10.3390/pr7010026
Submission received: 7 December 2018 / Revised: 18 December 2018 / Accepted: 29 December 2018 / Published: 8 January 2019
(This article belongs to the Special Issue Modeling, Simulation and Control of Chemical Processes)

Abstract

:
Dividing wall column (DWC) is an atypical distillation column with an internal, vertical WE partition wall that effectively accommodates two conventional distillation columns into one to improve the thermodynamic efficiency. In previous studies, different equivalent models by combining conventional columns are adopted to approximate the DWC modeling, which may not well describe the integration of the DWC; moreover, the computational cost increases when multiple columns are implemented to represent one DWC. In this paper, a rigorous mathematical model is proposed based on the mass balance, the energy and phase equilibrium of the DWC, where decision variables and state variables are equally treated. The model was developed in the general process modeling system (gPROMS). Based on the rigorous model, the influences of liquid split ratio and vapor split ratio are discussed, and it is shown that the heat duty is sensitive to changes on the liquid and vapor split ratio. Inappropriate liquid and vapor split ratio will increase the mixing effects at both ends of the dividing wall, and adversely affect the thermodynamic efficiency. Hence, the degree of mixing is defined to characterize the column efficiency. Furthermore, the middle component split ratio at the top of the pre-fractionator has an optimal point for better energy saving with certain liquid and vapor split ratios, and can be used as an indicator for the energy performance. Finally, the model was tested and validated against literature data by using the ternary benzene–toluene–xylene mixture system as a case study.

1. Introduction

Distillation column is one of the most important separation facilities in the process industry. Distillation necessitates considerable energy investments, as it is reported that distillation can account for more than 50% of plant operating cost [1]. There is ample scope for developing more energy efficient distillation schemes, one of which is dividing wall column (DWC).
For the sharp separation of a multi-component mixture, one always adopts a sequence of distillation columns. For example, at least two columns are used in either direct or indirect sequence for the separation of a three-component mixture. Figure 1 shows an energy efficient configuration for separating a three components mixture (Petlyuk configuration [2]). In this configuration, the vapor and liquid streams leaving the first column are directly connected with the second column. The first column is called the pre-fractionator and the second is the main column. In this case, a mixture containing A, B and C (in decreasing order of volatilit) first enters the pre-fractionator, sharp separation happens between light component A and heavy component C, while the middle component B is distributed naturally between the top and bottom of the pre-fractionator [2]. Then, a further separation is performed to obtain high-purity individual components at the top, middle and bottom of the main column.
It is reported that the Petlyuk configuration can save up to 30% of operational cost [3], in comparison with the conventional direct or indirect sequencing. The improvement of thermodynamic efficiency originates from two sources: (1) the Petlyuk column avoids the remixing of the middle components happening in the conventional column sequence [4]; and (2) the condenser and reboiler downsize to one for a three-component separation system, which saves both energy cost and capital cost. To make the Petlyuk configuration compact, the two columns in Figure 1 are accommodated in one shell, which formulates the DWC, as shown in Figure 2. By inserting an internal, vertical partition wall into the column, the two sections of the DWC function as two columns in Figure 1, but one can easily conjecture that DWC needs less capital investment than the Petlyuk configuration.
The first patent related to DWC was granted to Wright in 1949 [5], but wide acceptance of DWC in industry did not happen until the 1980s, when the first industrial application of DWC was implemented by BASF (i.e., Baden Aniline and Soda Factory, a German chemical company) [6]. The reason for delayed recognition/acceptance by both academic and industrial communities is that DWC has more complex structure than the conventional one, which leads to more design parameters and makes the dynamics of the DWC more difficult to follow. Since the success of its application, DWC has gradually obtained wide recognition. By 2010, over 100 DWC applications were facilitated worldwide [7], prominent among which are catalytic product recovery by a dividing wall debutanizer column [8] (UOP, i.e., Universal Oil Products, a US chemical company) and high-purity 2-ethylhexyl-acrylate [9] and neopentyl glycol [10] preparation using the DWC (LG Chem, i.e., a Korean chemical company). In academia, DWCs are studied to conduct azeotropic, extractive, and reactive distillation. Kiss et al. [11] proposed an innovative dimethyl ether synthesis process based on a reactive DWC, in which a reactive distillation unit was effectively conducted in one DWC. By their accounts, the integrated reactive DWC outperformed conventional or reactive distillation schemes by significant saving energy of 12–58%, reducing CO2 emissions up to 60%, and lowering total annual costs up to 30%. Lan-Yi et al. [12] proposed the DWC for heterogeneous azeotropic distillation using cyclohexane as an entrainer for ethanol dehydration, by which an energy saving of 42.17% and total annual cost reduction of 35.18% were achieved. Kiss and Ignat [13] applied a extractive DWC to concentrate and dehydrate bio-ethanol in one step, with ethylene glycol as mass separating agent.
However, due to increased design parameters, it has been rather difficult to design, model and simulate DWCs. Although the MultiFrac unit of Aspen Plus can be used to model the Petlyuk configurations, simulation modules exclusively for DWC are still not available in commercial process simulators such as Aspen Plus, HYSYS, or ChemCAD [1,7]. Moreover, the Petlyuk model in Aspen Plus is not flexible for customized modification due to its closed software environment. In practice, a DWC unit is always modeled as a sequence of simple column sections, for example the pump-around model, the two-column sequence model and the four-column sequence model [1,7], as shown in Figure 3a–c, respectively. Once the models mentioned above approximate a typical DWC, its structure is partitioned deliberately and some of the internal relations are exposed as decision variables, which increase the number of dimensions overall and complicate the problem. Furthermore, most of the previously mentioned simulators implement the sequential modular (SM) approach, which adopts the iteration-and-convergence solving strategy. Both increasing the dimension and adopting the SM approach cause the simulator to work with high computational cost.
To tackle the problems above, a rigorous DWC model was developed in the general process modeling system (gPROMS) environment (Imperial College London, Process System Enterprise Ltd., London, UK, Version 4.0). gPROMS software is a flexible, open source and user-friendly platform, especially suitable for modeling unconventional or complex process systems, such as the catalyst activity reduction [14], the emulsion polymerization reaction [15] or the dynamics of the non-equilibrium, three-phase separation [16]. One of the key advantages of the gPROMS platform is that it adopts the equation-oriented (EO) approach to solve the problem. As for the DWC case, the decision variables and state variables are treated equally, which further provides high flexibility and efficiency for solving the design and optimization problems related to the DWC design. Moreover, the platform enables easy extrapolation to modeling more complex DWC with multiple partitioning walls.
In this paper, a rigorous DWC model is proposed based on the equilibrium stage assumption, which may be used as a standard DWC module for further development. The rigorous DWC modeling is detailed in Section 2. Then, the proposed model was tested and validated (against literature data) by separation of a ternary mixture of benzene–toluene–xylene (BTX), as presented in Section 3. Based on the case study, some of the general features about the DWC can be properly outlined and easily studied with this rigorous DWC model. For example, the liquid and vapor split ratio are key design parameters for the DWC, which can be studied similarly to other parameters by our proposed model, whereas, in the “equivalent model” (as shown in Figure 3), they are exposed as decision variables, and one testing point needs a full procedure of initial guess, iteration and convergence. Hence, we present the DWC analysis on three key indicators for designing and assessment purposes: the liquid and vapor split ratio, the middle component split ratio and the degree of mixing. Finally, conclusions are drawn about the DWC based on the proposed model in Section 4.

2. Materials and Methods

As mentioned above, most existing models for the DWC are based on the combination of conventional columns, which is only thermodynamically equivalent to the DWC. Here, a rigorous DWC model is established based on the following assumptions:
(1)
At each stage, the vapor and liquid reach their equilibrium right after their contacting, so the vapor and liquid leaving this stage are at equilibrium state.
(2)
The number of stages on both sides of the dividing wall is identical; hence, the pressure drop is uniform across each stage.
(3)
The heat transfer across the dividing wall is ignored.
For modeling purpose, the DWC is considered to incorporate four main sections as shown in Figure 4. I section is the public rectifying section, II is actually the pre-fractionator, III is the main column, and IV is the public stripping section. A typical schematic representation of a generic stage is shown in Figure 5. Each stage contains mass, enthalpy balance equations, phase equilibrium equations and summary equations (MESH). The corresponding equations for the jth-stage are given below:
1. Mass balance equations
F j + L j 1 + V j + 1 ( S j + L j ) ( V j + G j ) = 0
F j z i , j + L j 1 x i , j 1 + V j + 1 y i , j + 1 ( S j + L j ) x i , j ( V j + G j ) y i , j = 0
where F is feed flow rate; L and V are the flow rates in liquid and vapor phases; S and G are the side-draw flow rates in liquid and vapor phases; xi is liquid fraction; and yi is vapor fraction.
2. Phase equilibrium equations
y i , j = K i , j x i , j
where K is phase equilibrium constant, which can be obtained by a suitable thermodynamic equation of state.
3. Enthalpy balance equations
F j H j F + L j 1 H j 1 L + V j + 1 H j + 1 V ( S j + L j ) H j L ( V j + G j ) H j V + Q j = 0
where HF is the enthalpy of feed stream; and HV and HL are the enthalpy of vapor and liquid.
4. Summary equations
x i , j = 1
y i , j = 1
Equations (1)–(6) are generally suitable for each stage within the four sections. As shown in Figure 3, the last stage of I section and the first stage of IV need special consideration, because they are accompanied with the splitting and mixing of the liquid and vapor streams. As shown in Figure 6a, above the dividing wall, the liquid from I splits into two streams, and one goes to the pre-fractionator while the other goes to the main column. The vapor leaving the first stage of both II and III goes to I and mixes. Similarly, in Figure 6b, below the dividing wall, the vapor stream from IV splits as well, and enters the pre-fractionator and main column. The liquid leaving the last stage of II and III goes to IV and mixes. Concentration and temperature remain unchanged after splitting [17] for split streams.
Above the dividing wall, the liquid from the last stage of I is splits into two streams, one enters the pre-fractionator, while the other going to the main column. That means,
L N 1 I = L 0 II + L 0 III
where L N 1 I represents the total liquid flow from the last stage of I, and L 0 II and L 0 III represent the liquid streams which enter the first stage of II (pre-fractionator) and III (main column), respectively. The liquid split ratio is defined accordingly as:
β L = L 0 II L N 1 I
Below the dividing wall, the vapor stream from the first stage of IV splits into two streams, one goes to the pre-fractionator, and the other enters the main column.
V 1 IV = V N 2 + 1 II + V N 3 + 1 III
where V 1 IV represents the total vapor stream from the first stage of IV, and V N 2 + 1 II and V N 3 + 1 III represent the vapor streams which enter the last stage of II and III, respectively. Here, the vapor split ratio is defined as:
β V = V N 2 + 1 II V 1 IV
As the vapor streams from both sides of the dividing wall are mixed, the material and enthalpy balance equations of the last stage of I are different from other stages, and can be described as follows,
V 1 II + V 1 III + L N 1 1 I V N 1 I L N 1 I = 0
V 1 II H V , 1 II + V 1 III H V , 1 III + L N 1 1 I H L , N 1 1 I V N 1 I H V , N 1 I L N 1 I H L , N 1 I = 0
where L and V are the flow rates in liquid and vapor phases, and HV and HL are the enthalpy of vapor and liquid.
As the liquid streams from both ends of the dividing wall are mixed, the material and enthalpy balance equations of the first stage of Section IV are different from other stages and can be described as follows,
L N 2 II + L N 3 III + V 2 IV L 1 IV V 1 IV = 0
L N 2 II H L , N 2 II + L N 3 III H L , N 3 III + V 2 IV H V , 2 IV L 1 IV H L , 1 IV V 1 IV H V , 1 IV = 0
It is interesting to investigate how each component moves through the column sections towards the products. According to the Mueller and Kenig [18], another important parameter RB,top, the middle component split ratio at the top of the pre-fractionator, is defined as:
R B , t o p = V o u t , t o p . y o u t , t o p , B L i n , t o p . x i n , t o p , B F z B
Accordingly, the middle component split ratio at the bottom of the pre-fractionator is defined as:
R B , b o t m = L o u t , b o t m . x o u t , b o t m , B V i n , b o t m . y i n , b o t m , B F z B
As shown in Figure 7, V o u t , t o p and L i n , t o p represent the outlet vapor flowrate and inlet liquid flowrate at the top of the pre-fractionator; y o u t , t o p , B and x o u t , t o p , B represent the middle component mole fractions of the corresponding streams; L o u t , b o t m and V i n , b o t m represent the outlet liquid and inlet vapor flowrate at the bottom of the pre-fractionator, respectively; x o u t , b o t m , B and y i n , b o t m , B represent the middle component mole fractions of the corresponding streams. From Equations (15) and (16), parameters R B , t o p and R B , b o t m are related to the liquid and vapor split ratio. Note that the summation of R B , t o p and R B , b o t m is 1. Thus, if one parameter is known, the other can be readily determined.
Mixing streams with different compositions, which occurs at stages of I and IV right next to the dividing wall, means changes of the monotonic property of each component within II and III (typically, a weighted average of that from both sides). This inevitably accompanies with an increase in entropy, which is an intrinsic source of thermodynamic inefficiency of the separation process occurring in the DWC [1,7,19]. To measure the mixing effect at both ends of the dividing wall, the liquid and vapor mixing degree need to be assessed. In this paper, we define the degree of liquid mixing as the quadratic sum of liquid concentration difference for the three components at the bottom of the dividing wall, and similarly the degree of vapor mixing is defined as the quadratic sum of the vapor concentration difference for the three components at the top of the wall indicates,
D e g r e e   o f   l i q u i d   m i x i n g = ( x A , p r e f r a c x A , m a i n ) 2 + ( x B , p r e f r a c x B , m a i n ) 2 + ( x C , p r e f r a c x C , m a i n ) 2
D e g r e e   o f   v a p o r   m i x i n g = ( y A , p r e f r a c y A , m a i n ) 2 + ( y B , p r e f r a c y B , m a i n ) 2 + ( y C , p r e f r a c y C , m a i n ) 2
The solution of the rigorous model of the DWC described in previous section (Equations (1)–(14)) requires definition of a number of parameters: the number of stages in the four different sections of the column, the locations of the feed and side-draw, feed condition and the position of the dividing wall [19].

2.1. Case Description

A ternary feed mixture of Benzene (A), Toluene (B) and p-Xylene (C) was used as the case study. The flowrate was set as 1 kmol/s, feeding temperature as 358 K, and the composition ratio was 30:30:40 mol% for A:B:C. A DWC was implemented for separation of the three components with molar purity up to 99 mol% by each.
According to Luyben [20], there are four sections in the DWC (as shown in Figure 4), 12 stages for I and IV, and 24 stages for II and III. The feed steam was introduced at Stage 12 of II in the pre-fractionator, the middle component was extracted from the main column at the side-draw of Stage 11 in III, and the reflux ratio was set as 2.62.

2.2. Model Validation

Based on the configuration described above, the DWC model proposed in this paper was adopted to separate the ternary mixture of benzene, toluene and o-xylene, with 99 mol% product purities. Table 1 presents the simulation results, which are compared with those of Luyben [20].
As shown in Table 1, the simulation result by our model shows an excellent agreement with those of Luyben [20]. We also cross-validated the simulation results with other process simulation platform, e.g., Aspen Plus (Version 7.1, Aspen Technology, Inc., Burlington, MA, USA, 2009). After a few tests on different thermodynamic models or other ternary species separation cases, we rendered that the model we developed is mathematically correct in describing the DWC process, and further analysis based on this model is presented in the next section.

3. Results and Discussion

The DWC has the prominent feature of energy saving compared to the conventional columns, which makes it a problem for the assessment of its energy efficiency. The rigorous DWC model developed in this paper enables implementing the assessment procedure simply. Based on the case study introduced previously, three key indicators, the liquid and vapor split ratio, the middle component split ratio and the degree of mixing, are discussed in detail as follows. Note that not all indicators are mandatory for a specific DWC application. We incorporated all of them to both test our DWC model and outline the general properties of a DWC at different angles.

3.1. The Effect of Liquid and Vapor Split Ratio

As defined in Section 2, vapor split ratio is the vapor flowrate entering the pre-fractionator against the total vapor flowrate, and the liquid split ratio is the liquid flowrate entering the pre-fractionator against the total liquid flowrate. The split and mix of liquid and vapor flows from both sides of the dividing wall take place at both ends of the wall, which can be adjusted by proper positioning of the dividing wall, or by shifting the capacity from one side to the other.
The liquid and vapor split ratio affects the separation performance and energy efficiency of a DWC. If the liquid or vapor split ratio is too low, it means that large amount of vapor flow or liquid flow enters the main column. If the liquid or vapor split ratio is too high, it means that large amount of vapor flow or liquid flow enters the pre-fractionator. As these cases are similar with the separation of three components in a conventional distillation, the split ratios considered were within the range from 0.35 to 0.66.
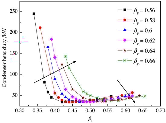
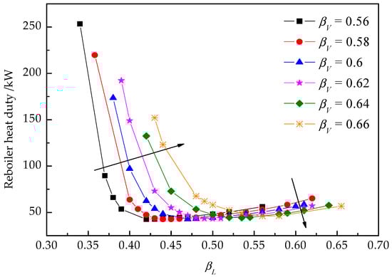
For specified separation requirement and DWC configuration, the performance depends on its energy consumption at the steady state, i.e., heat duties of reboiler and condenser (neglects energy loses elsewhere). Figure 8 and Figure 9 illustrate the reboiler and condenser heat duties under different liquid and vapor split ratios.
For a specified vapor split ratio βV, the reboiler heat duty varies with the change of the liquid split ratio βL, i.e., when the vapor split ratio βV is 0.56 in Figure 8, the heat duty of the reboiler decreases first, and then increases with the increase of βL after reaching its minimum value of 0.43. Hence, an optimal liquid split ratio exists to reduce the reboiler duty to minimum when the vapor split ratio is specified. In accordance with the result in Figure 8, for a given vapor split ratio βV, the heat duty of condenser decreases first and then increases with the increase of liquid split ratio βL, as shown in Figure 9. Consequently, there also exists an optimal βL that minimize the heat duty of the condenser. When the liquid split ratio is less than the optimal value, the condenser and reboiler heat duties increase with the increase of vapor split ratio and vice versa. Therefore, there is always an optimal liquid split ratio where both the condenser and reboiler heat duties reach minimum when the vapor split ratio is specified.

3.2. The Middle Component Split Ratio

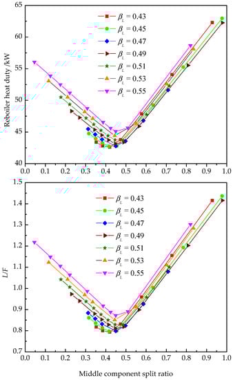
In Section 2, we define the middle component split ratio at the top and bottom of the pre-fractionator (Equations (15) and (16)). According to the definition, the middle component split ratio is determined by the liquid and vapor streams entering the pre-fractionator, which directly affects the overall heat duty of the DWC. In practice, the ratio of liquid reflux to feed (L/F) is commonly used. Figure 10 and Figure 11 show the behavior of the middle component split ratio at the top of pre-fractionator against the corresponding L/F under different liquid and vapor split ratios.
Figure 12 and Figure 13 shows how both the reboiler and condenser heat duties vary with changes of the vapor split ratio. For a given liquid split ratio βL, an optimal vapor split ratio can minimize the heat duty of both the reboiler and condenser. The results show that the separation performance is almost the same as that in the single distillation column, but the heat duty of the DWC increases dramatically.
Figure 14 shows the total heat duty under different liquid and vapor split ratios. Total heat duty is the sum of condenser heat duty and reboiler heat duty. We can see that the minimum total heat duty is 77.557 kW when liquid split ratio is 0.45 and vapor split ratio is 0.58. Based on the above analysis, the liquid and vapor split ratios strongly affect the heat duty of the DWC. Hence, it is necessary to decide the liquid and vapor split ratio appropriately to design a good DWC.
For specified vapor and liquid split ratio, when the middle component split ratio increases, heat duty decreases first, and then reaches the minimum before increasing. The trend of L/F is consistent with that of the heat duty, i.e., there is a minimum L/F for a given separation requirement, which means the minimum energy consumption. In practice, we cannot control the middle component split ratio. Instead, the liquid reflux rate (L) and feed rate (F) are controlled. Consequently, liquid split ratio and the minimum L/F need to be decided to keep the energy consumption at the optimal value.

3.3. The Effect of Mixing

We define the degree of mixing above (Equations (17) and (18)). Figure 15 and Figure 16 illustrate the effect of mixing under different liquid split ratios and vapor split ratios. We can see in Figure 15 that, for a specified vapor split ratio, heat duty decreases first and then increases with the increase of liquid split ratio. Higher heat duties are obtained when the degree of liquid mixing or the degree of vapor mixing is high, while, at the same time, higher or lower liquid split ratio will lead to increased degree of mixing. Since the separation conducted within a distillation column generally follows the monotonic component change along the stages in both directions, the interruption of the monotonic property causes the mixing effect, which is hinders separation. However, when the liquid or vapor from both sub-columns meet at the end of dividing wall, the monotonic property being interrupted is inevitable. Hence, the degree of mixing can be assessed to evaluate the energy efficiency of the DWC.
Accordingly, the results in Figure 16 are similar to those in Figure 15. Based on the above results, it can be concluded that suitable liquid split ratio and vapor split ratio can reduce the degree of mixing, hence increase the separation efficiency.
To summarize, three indicators are discussed through the rigorous DWC model in this section. The first two are for design purposes, and the last reveals the intrinsic reasons that cause unnecessary energy loss in a DWC configuration. It is obvious that the three indicators are intercorrelated, and their analysis aids DWC design and evaluation.

4. Conclusions

In this paper, a rigorous mathematical model is proposed based on the mass balance, the energy and phase equilibrium of the DWC, where decision variables and state variables are treated equally, and this model has the potential to be a standard DWC module on the gPROMS platform. Based on the rigorous model, the influences of liquid split ratio and vapor split ratio are discussed, and it is shown that the heat duty is sensitive to changes in the liquid and vapor split ratio. Inappropriate liquid and vapor split ratio will increase the mixing effects at both ends of the dividing wall, and adversely affect the thermodynamic efficiency. Hence, the degree of mixing is defined to characterize the column efficiency. Furthermore, the middle component split ratio at the top of the pre-fractionator has an optimal point for better energy saving with certain liquid and vapor split ratios, and can be used as an indicator for the energy performance. The model was tested and validated against literature data using the ternary benzene–toluene–xylene mixture system as a case study. Instead of constructing thermodynamically equivalent models by combining conventional columns, the rigorous model developed in this paper could provide better design and assessment of DWC processes.

Author Contributions

C.Z. and Q.L. conceived and designed the case-study; Q.L. performed the simulation and analysis; C.Z. and W.S. conceived and analyzed the solution methods; J.A.R. contributed analysis tools paper conception; C.Z. and Q.L. wrote and revised the paper.

Funding

The authors gratefully acknowledge the following institutions for support: The National Natural Science Foundation of China (Grant No. 2157015); and the National Basic Research Program of China, 973 Program (Grant No. 2013CB733600).

Conflicts of Interest

The authors declare no conflict of interest.

References

  1. Kiss, A.A. Advanced Distillation Technologies: Design, Control and Applications; John Wiley & Sons: Hoboken, NJ, USA, 2013. [Google Scholar]
  2. Petlyuk, F.B.; Platonov, V.M.; Slavinskii, D.M. Thermodynamically optimal method for separating multicomponent mixtures. Int. J. Chem. Eng. 1965, 5, 555–561. [Google Scholar]
  3. Yildirim, O.; Kiss, A.A.; Kenig, E.Y. Dividing wall columns in chemical process industry: A review on current activities. Sep. Purif. Technol. 2011, 80, 403–417. [Google Scholar] [CrossRef]
  4. Christiansen, A.C.; Skogestad, S.; Lien, K. Complex distillation arrangements: Extending the Petlyuk ideas. Comput. Chem. Eng. 1997, 21, 237–242. [Google Scholar] [CrossRef]
  5. Ehlers, C.; Schroder, M.; Fieg, G. Influence of heat transfer across the wall of dividing wall columns on energy demand. AIChE J. 2015, 61, 1648–1662. [Google Scholar] [CrossRef]
  6. Wright, R.O. Fractionation apparatus. U.S. Patent 2471134, 17 July 1949. [Google Scholar]
  7. Asprion, N.; Kaibel, G. Dividing wall columns: fundamentals and recent advances. Chem. Eng. Process. Process. Intensif. 2010, 49, 139–146. [Google Scholar] [CrossRef]
  8. Dejanovic, I.; Matijasevic, L.; Olujic, Z. Dividing wall column: A breakthrough towards sustainable distilling. Chem. Eng. Process. Process. Intensif. 2010, 49, 559–580. [Google Scholar] [CrossRef]
  9. Acikgoz, S.U.; Schultz, M.A.; Zhu, X.X. Process for recovering catalytic product. U.S. Patent 8747654b2, 10 June 2014. [Google Scholar]
  10. Lee, S.K.; Shin, J.H.; Lee, J.K.; Kim, S.K. Dividing wall column for preparing high-purity 2 ethylhexyl-acrylate and preparation method using same. U.S. Patent 8894821B2, 25 November 2014. [Google Scholar]
  11. Lee, S.K.; Shin, J.H.; Lee, J.K. Dividing wall column for producing high-purity neopentyl glycol and manufacturing method using same. U.S. Patent 8864948B2, 21 October 2014. [Google Scholar]
  12. Kiss, A.A.; David, J.P.S. Innovative dimethyl ether synthesis in a reactive dividing-wall column. Comput. Chem. Eng. 2012, 38, 74–81. [Google Scholar] [CrossRef]
  13. Sun, L.Y.; Chang, X.W.; Qi, C.X.; Li, Q.S. Implementation of ethanol dehydration using dividing-wall heterogeneous azeotropic distillation column. Sep. Sci. Technol. 2011, 46, 1365–1375. [Google Scholar] [CrossRef]
  14. Kiss, A.A.; Ignat, R.M. Innovative single step bioethanol dehydration in an extractive dividing-wall column. Sep. Purif. Technol. 2012, 98, 290–297. [Google Scholar] [CrossRef]
  15. Filipe, R.M.; Matos, H.A.; Novais, A.Q. Catalyst deactivation in reactive distillation. Comut. Aided Chem. Eng. 2009, 27, 831–836. [Google Scholar]
  16. Hvala, N.; Kukanja, D. Modelling and simulation of semi-batch polymerisation reactor for improved reactants dosing control. Simul. Model. Pract. Theory 2013, 33, 102–114. [Google Scholar] [CrossRef]
  17. Goortani, B.M.; Gaurav, A.; Deshpande, A.; Ng, F.T.; Rempel, G.L. Production of isooctane from isobutene: Energy integration and carbon dioxide abatement via catalytic distillation. Ind. Eng. Chem. Res. 2015, 54, 3570–3581. [Google Scholar] [CrossRef]
  18. Mueller, I.; Kenig, E.Y. Reactive distillation in a dividing wall column: Rate-based modeling and simulation. Ind. Eng. Chem. Res. 2007, 46, 3709–3719. [Google Scholar] [CrossRef]
  19. Muralikrishna, K.; Madhavan, V.; Shah, S. Development of dividing wall distillation column design space for a specified separation. Chem. Eng. Res. Des. 2002, 80, 155–166. [Google Scholar] [CrossRef]
  20. Luyben, W.L. Distillation Design and Control Using Aspen Simulation; John Wiley & Sons: Hoboken, NJ, USA, 2013. [Google Scholar]
Figure 1. Petlyuk column configuration.
Figure 1. Petlyuk column configuration.
Processes 07 00026 g001
Figure 2. Scheme for the dividing wall column.
Figure 2. Scheme for the dividing wall column.
Processes 07 00026 g002
Figure 3. Equivalent column model: (a) the pump-around model; (b) the two-column sequence model; and (c) the four-column sequence model.
Figure 3. Equivalent column model: (a) the pump-around model; (b) the two-column sequence model; and (c) the four-column sequence model.
Processes 07 00026 g003
Figure 4. Four sections in dividing wall column (DWC).
Figure 4. Four sections in dividing wall column (DWC).
Processes 07 00026 g004
Figure 5. Scheme for the jth stage.
Figure 5. Scheme for the jth stage.
Processes 07 00026 g005
Figure 6. The liquid and vapor splitting and mixing at the specific wall: (a) the structure at the top of the column, and (b) the structure at the bottom of the column.
Figure 6. The liquid and vapor splitting and mixing at the specific wall: (a) the structure at the top of the column, and (b) the structure at the bottom of the column.
Processes 07 00026 g006
Figure 7. Material balance in Equations (15) and (16).
Figure 7. Material balance in Equations (15) and (16).
Processes 07 00026 g007
Figure 8. The effect of liquid split ratio on the reboiler heat duty for the case study.
Figure 8. The effect of liquid split ratio on the reboiler heat duty for the case study.
Processes 07 00026 g008
Figure 9. The effect of liquid split ratio on the condenser heat duty for the case study.
Figure 9. The effect of liquid split ratio on the condenser heat duty for the case study.
Processes 07 00026 g009
Figure 10. The middle component split ratio at the top of pre-fractionator versus corresponding L/F and the heat duty of reboiler.
Figure 10. The middle component split ratio at the top of pre-fractionator versus corresponding L/F and the heat duty of reboiler.
Processes 07 00026 g010
Figure 11. The middle component split ratio at the top of column versus L/F and the heat duty of reboiler.
Figure 11. The middle component split ratio at the top of column versus L/F and the heat duty of reboiler.
Processes 07 00026 g011
Figure 12. The effect of vapor split ratio on reboiler heat duty for the case study.
Figure 12. The effect of vapor split ratio on reboiler heat duty for the case study.
Processes 07 00026 g012
Figure 13. The effect of vapor split ratio on condenser heat duty for the case study.
Figure 13. The effect of vapor split ratio on condenser heat duty for the case study.
Processes 07 00026 g013
Figure 14. The total heat duty versus liquid and vapor split ratios for the case study.
Figure 14. The total heat duty versus liquid and vapor split ratios for the case study.
Processes 07 00026 g014
Figure 15. The effects of mixing and heat duty of reboiler versus liquid split ratio under different vapor split ratios. L, the liquid mixing effects at the bottom of the dividing wall; V, the vapor mixing effects at the top of the wall; Qreb, the heat duty of the reboiler: (a) βV is fixed at 0.56; (b) βV is fixed at 0.58; (c) βV is fixed at 0.60; (d) βV is fixed at 0.62; (e) βV is fixed at 0.64; (f) βV is fixed at 0.66.
Figure 15. The effects of mixing and heat duty of reboiler versus liquid split ratio under different vapor split ratios. L, the liquid mixing effects at the bottom of the dividing wall; V, the vapor mixing effects at the top of the wall; Qreb, the heat duty of the reboiler: (a) βV is fixed at 0.56; (b) βV is fixed at 0.58; (c) βV is fixed at 0.60; (d) βV is fixed at 0.62; (e) βV is fixed at 0.64; (f) βV is fixed at 0.66.
Processes 07 00026 g015
Figure 16. The effects of mixing and heat duty of reboiler versus vapor split ratio under different liquid split ratios, where L is the liquid mixing effects at the bottom of the dividing wall, V is the vapor mixing effects at the top of the wall and Qreb is the heat duty of the reboiler: (a) βL is fixed at 0.45; (b) βL is fixed at 0.47; (c) βL is fixed at 0.49; (d) βL is fixed at 0.51; (e) βL is fixed at 0.53; (f) βL is fixed at 0.55.
Figure 16. The effects of mixing and heat duty of reboiler versus vapor split ratio under different liquid split ratios, where L is the liquid mixing effects at the bottom of the dividing wall, V is the vapor mixing effects at the top of the wall and Qreb is the heat duty of the reboiler: (a) βL is fixed at 0.45; (b) βL is fixed at 0.47; (c) βL is fixed at 0.49; (d) βL is fixed at 0.51; (e) βL is fixed at 0.53; (f) βL is fixed at 0.55.
Processes 07 00026 g016
Table 1. Results comparison between this paper and Luyben [20].
Table 1. Results comparison between this paper and Luyben [20].
Tcon#
/K
Treb
/K
D
/kmol·s−1
S
/kmol·s−1
B
/kmol·s−1
Qreb
/MW
Qcon
/MW
LP
/kmol·s−1
VP
/kmol·s−1
This work323396.80.30270.2960.401342.59734.6980.3030.651
Luyben322403.70.3030.2960.40139.1536.460.2080.612
Tcon# and Treb are condenser temperature and reboiler temperature; D, S and B are molar flow rate of distillate, side-draw and bottoms; Qreb and Qcon are heat duty of condenser and reboiler; Lp is liquid stream going to the first stage of II (prefractionator); Vp is vapor stream going to the last stage of II.

Share and Cite

MDPI and ACS Style

Zhai, C.; Liu, Q.; Romagnoli, J.A.; Sun, W. Modeling/Simulation of the Dividing Wall Column by Using the Rigorous Model. Processes 2019, 7, 26. https://doi.org/10.3390/pr7010026

AMA Style

Zhai C, Liu Q, Romagnoli JA, Sun W. Modeling/Simulation of the Dividing Wall Column by Using the Rigorous Model. Processes. 2019; 7(1):26. https://doi.org/10.3390/pr7010026

Chicago/Turabian Style

Zhai, Chi, Qinjun Liu, Jose A. Romagnoli, and Wei Sun. 2019. "Modeling/Simulation of the Dividing Wall Column by Using the Rigorous Model" Processes 7, no. 1: 26. https://doi.org/10.3390/pr7010026

APA Style

Zhai, C., Liu, Q., Romagnoli, J. A., & Sun, W. (2019). Modeling/Simulation of the Dividing Wall Column by Using the Rigorous Model. Processes, 7(1), 26. https://doi.org/10.3390/pr7010026

Note that from the first issue of 2016, this journal uses article numbers instead of page numbers. See further details here.

Article Metrics

Back to TopTop