Freeze-Drying and Convective Drying of the Underutilized Red Seaweed Sarcodiotheca gaudichaudii: A Comparative Study on Key Chemical Parameters and Biological Activities
Abstract
1. Introduction
2. Materials and Methods
2.1. Collection and Preparation of Seaweed Sample
2.2. Freeze-Drying and Convective Drying Processes
2.3. Chemical Composition Analysis of Dried Seaweed
- (i)
- The proximate composition of S. gaudichaudii, including moisture, ash, crude protein, total lipids, and crude fiber, was determined for both fresh and dried samples according to standard AOAC [20] procedures, with the only modification being the use of a nitrogen-to-protein conversion factor of 5.0 for crude protein determination [6]. For the fresh seaweed, the respective mean contents (±standard deviation (SD), %) were as follows: moisture 90.90 ± 0.28 (wet basis), lipids 0.06 ± 0.03, ash 47.66 ± 2.84, crude protein 20.52 ± 1.31, and crude fiber 3.82 ± 0.35 (dry matter [d.m.] basis). All analyses were performed in triplicate.
- (ii)
- The determination of micro- and macrominerals was carried out by wet digestion followed by quantification through atomic absorption spectroscopy (AAS), using a Varian SpectrAA 220 Fast Sequential (FS) atomic absorption spectrometer (Agilent Technologies, Santa Clara, CA, USA), according to the modified AOAC Official Method 968.08. Approximately 0.1–0.2 g of dried and finely ground seaweed powder was weighed into 250 mL beakers suitable for acid digestion. Subsequently, 14 mL of concentrated nitric acid (HNO3, 65%) and 6 mL of concentrated perchloric acid (HClO4, 70–72%) were carefully added. The beakers were covered with watch glasses and heated on a hot plate until near dryness, as indicated by the appearance of dense white fumes, signaling the complete removal of acids. After heating, the beakers were removed from the hot plate and allowed to cool naturally at room temperature (20 °C). Once cooled to a safe handling temperature, approximately 30 mL of distilled water was added to dissolve the remaining salts. The digested samples were quantitatively filtered using Whatman N°1 filter paper into 100 mL volumetric flasks, brought to the volume with distilled water, and mixed thoroughly. This solution was designated as solution A. From this solution A, an aliquot of 5 mL was transferred into a 100 mL volumetric flask, to which 10 mL of a 2% lanthanum chloride (LaCl3) solution was added as a releasing agent. The mixture was then diluted to an appropriate volume with distilled water and homogenized, obtaining solution B. Microminerals, such as iron (Fe), copper (Cu), manganese (Mn), and zinc (Zn) were determined from solution A, while macrominerals, such as calcium (Ca), magnesium (Mg), sodium (Na), and potassium (K), were quantified from solution B. All measurements were performed by AAS using external calibration curves for each element.
- (iii)
- The amino acid composition was determined by HPLC system equipped with a diode array detector (Jasco MD-2015Plus, Jasco Inc., Tokyo, Japan) after pre-column derivatization with o-phthalaldehyde (OPA). The AAS-18 amino acid standard (Sigma-Aldrich, St. Louis, MO, USA), containing 18 amino acids with a concentration of 2.5 μmol/mL each, was used for calibration. Additionally, glutamine, asparagine, and tryptophan were prepared at 2.3 × 10−3 M in borate buffer (pH 10.2) and incorporated into the standard mixture. Free and protein-bound amino acids were extracted from dried S. gaudichaudii (200 ± 0.5 mg) according to the extraction, hydrolysis, and purification procedures described by Araya et al. [21]. Chromatographic separation was performed on a ZORBAX Eclipse AAA column (150 × 4.6 mm, 3.5 μm; Agilent, Santa Clara, CA, USA) at a temperature of 40 °C, with UV detection at 338 nm under the chromatographic conditions reported by Araya et al. [21].
- (iv)
- The fatty acid profile was analyzed following the method of Folch et al. [22]. For lipid extraction, approximately 1.000 ± 0.005 g (d.m.) of sample was used, and the recovered lipids were subsequently transesterified to fatty acid methyl esters (FAMEs) using boron trifluoride in 14% methanol (BF3–MeOH). FAMEs were extracted with hexane, washed with 20% aqueous NaCl solution, evaporated to dryness, and reconstituted in 1 mL of hexane. Chromatographic analyses were performed using a GC–FID system (Clarus 600, PerkinElmer, Waltham, MA, USA) equipped with an OmegaWax 320 capillary column (30 m × 0.32 mm × 0.25 µm; Supelco, Bellefonte, PA, USA). The oven temperature was programmed from 60 °C (held for 3 min) to 260 °C at 10 °C min−1. Gaseous nitrogen served as the carrier gas at a flow rate of 1.0 mL min−1. Fatty acids were identified and quantified by comparing retention times and peak areas with the Supelco 37 Component FAME Mix (Sigma-Aldrich, CRM47885, St. Louis, MO, USA).
2.4. Color and Phycobiliprotein Analysis of Dried Seaweed
2.5. Antioxidant Propierties Analysis of Dried Seaweed
- (i)
- Seaweed extracts were obtained by solid–liquid extraction using an aqueous methanolic solvent system. Dried seaweed samples were finely ground, and a defined mass (1.0 g) was suspended in 50 mL of a methanol–water mixture (60:40, v/v). The suspension was agitated at 200 rpm and maintained at ambient temperature for 24 h to promote the diffusion of soluble compounds into the solvent phase. After extraction, insoluble residues were removed by filtration through Whatman No. 1 filter paper. The resulting extract was concentrated under reduced pressure using a rotary evaporator (Büchi, R-210, Flawil, Switzerland), freeze-dried to remove residual water, and finally reconstituted in an appropriate solvent and volume according to the requirements of each analytical assay.
- (ii)
- The total phenolic content (TPC) was determined using a microplate-adapted Folin–Ciocalteu assay following the method described by Pasten et al. [25], with minor modifications. Aliquots of sample or standard solutions (15 μL) were dispensed into 96-well microplates and reacted with Folin–Ciocalteu reagent (100 μL, 0.2 M) and sodium carbonate solution (100 μL, 60 mg/mL), promoting the reduction of phosphomolybdic–phosphotungstic complexes under alkaline conditions. The reaction mixtures were homogenized and incubated at room temperature for 90 min to allow chromophore formation. Absorbance was measured at 750 nm using a microplate reader (OptiPlate™-96 F HB, PerkinElmer, Turku, Finland). Quantification was carried out using a phloroglucinol calibration curve (0–0.6 mg/mL), and results were expressed as mg phloroglucinol equivalents per gram of extract (mg PGE/g extract). The calibration equation was Y = 3.5281x − 0.0002 (R2 = 0.9935).
- (iii)
- Total flavonoid content (TFC) was determined using the aluminum chloride colorimetric method, as previously described [25]. This assay is based on the formation of stable complexes between aluminum ions and the hydroxyl groups of flavonoids, allowing the estimation of total flavonoid content associated with their characteristic structural features. Aliquots of the extracts were sequentially reacted with sodium nitrite, aluminum chloride, and sodium hydroxide at predefined time intervals, followed by dilution with distilled water. Absorbance was measured at 415 nm using a UV–Vis spectrophotometer. Quantification was carried out using a quercetin calibration curve (0–50 μg/mL), and results were expressed as milligrams of quercetin equivalents per gram of extract (mg QE/g extract). The calibration equation was Y = 0.0014x + 0.0291 (R2 = 0.9978).
- (iv)
- The radical-scavenging capacity of the extracts was evaluated using the DPPH assay according to Grajeda-Iglesias et al. [26], with minor modifications. This assay determines antioxidant activity through a combined electron transfer and hydrogen atom transfer mechanism, depending on the antioxidant structure and the reaction conditions. Briefly, extract samples (20 μL) were mixed with a DPPH solution (180 μL, 120 μM) in transparent 96-well microplates and incubated in the dark for 30 min. Absorbance was measured at 517 nm using a microplate reader. Antioxidant capacity was calculated from a Trolox calibration curve (y = −0.0011x + 0.5676; R2 = 0.9911) and expressed as μmol Trolox equivalents per gram of extract (μmol TE/g extract).
- (v)
- Oxygen radical absorbance capacity (ORAC) was determined according to the method described by Ou et al. [27], which primarily reflects hydrogen atom transfer reactions against peroxyl radicals. Extracts (40 µL), diluted in phosphate buffer (75 mM, pH 7.4), were mixed with fluorescein solution (200 µL, 100 nM) in black 96-well microplates and pre-incubated at 37 °C for 20 min. The oxidative reaction was initiated by adding AAPH solution (35 µL, 0.36 M). Fluorescence decay was monitored at 1 min intervals at 37 °C (excitation: 485 nm; emission: 535 nm), and antioxidant capacity was calculated from the area under the fluorescence decay curve. A Trolox standard curve (5–250 µM; y = 0.0002x − 20.5775; R2 = 0.9808) was used for quantification, and results were expressed as µmol TE/g extract.
2.6. α-Glucosidase Inhibitory Activity Analysis of Dried Seaweed
2.7. Cytotoxicity Analysis of Dried Seaweed
2.8. Statistical Analysis
3. Results and Discussion
3.1. Drying Effect on the Chemical Composition of S. gaudichaudii
3.2. Hierarchical Clustering of the Chemical Composition of S. gaudichaudii
3.3. Drying Effect on Color Parameters and Phycobiliprotein Content of S. gaudichaudii
3.4. Drying Effect on Antioxidant Properties of S. gaudichaudii
3.5. Drying Effect on α-Glucosidase Inhibitory Activity of S. gaudichaudii
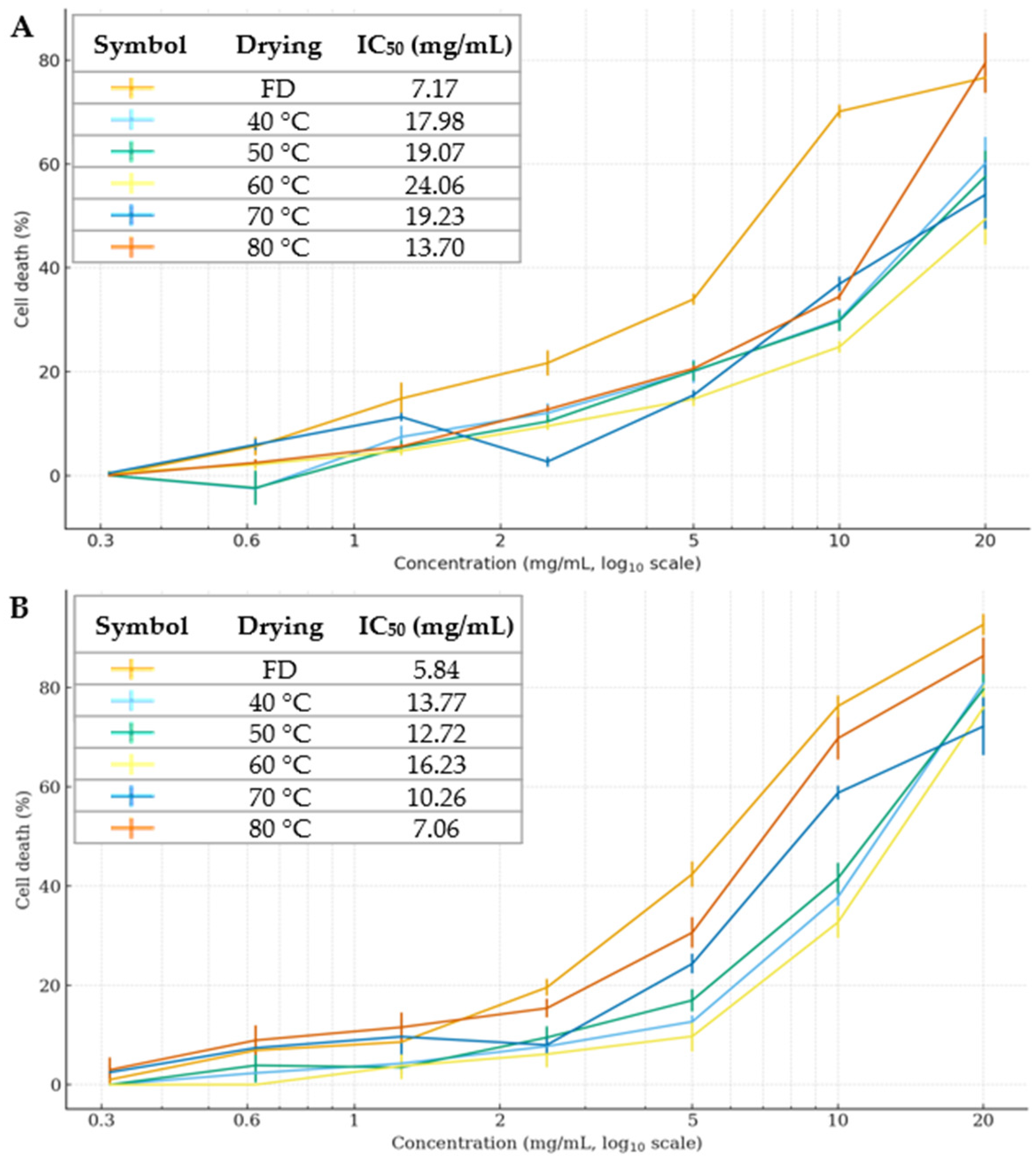
3.6. Drying Effect on Cytotoxicity Activity of S. gaudichaudii
4. Conclusions
Author Contributions
Funding
Data Availability Statement
Acknowledgments
Conflicts of Interest
References
- Santhoshkumar, P.; Yoha, K.S.; Moses, J.A. Drying of seaweed: Approaches, challenges and research needs. Trends Food Sci. Technol. 2023, 138, 153–163. [Google Scholar] [CrossRef]
- Chopin, T.; Tacon, A.G.J. Importance of seaweeds and extractive species in global aquaculture production. Rev. Fish. Sci. Aquac. 2021, 29, 139–148. [Google Scholar] [CrossRef]
- Mouritsen, O.G.; Rhatigan, P.; Pérez-Lloréns, J.L. World cuisine of seaweeds: Science meets gastronomy. Int. J. Gastron. Food Sci. 2018, 14, 55–65. [Google Scholar] [CrossRef]
- Pacheco, L.V.; Parada, J.; Pérez-Correa, J.R.; Mariotti-Celis, M.S.; Erpel, F.; Zambrano, A.; Palacios, M. Bioactive polyphenols from southern Chile seaweed as inhibitors of enzymes for starch digestion. Mar. Drugs 2020, 18, 353. [Google Scholar] [CrossRef] [PubMed]
- Camus, C.; Infante, J.; Buschmann, A.H. Revisiting the economic profitability of giant kelp Macrocystis pyrifera (Ochrophyta) cultivation in Chile. Aquaculture 2019, 502, 80–86. [Google Scholar] [CrossRef]
- Véliz, K.; Toledo, P.; Araya, M.; Gómez, M.F.; Villalobos, V.; Tala, F. Chemical composition and heavy metal content of Chilean seaweeds: Potential applications of seaweed meal as food and feed ingredients. Food Chem. 2023, 398, 133866. [Google Scholar] [CrossRef]
- Gabrielson, P.W. Morphological studies of members of the tribe Agardhielleae (Solieriaceae, Rhodophyta). II. Sarcodiotheca gaudichaudii (Montagne) comb. nov. Phycologia 1982, 21, 86–96. [Google Scholar] [CrossRef]
- Tibbetts, S.M.; Milley, J.E.; Lall, S.P. Nutritional quality of some wild and cultivated seaweeds: Nutrient composition, total phenolic content and in vitro digestibility. J. Appl. Phycol. 2016, 28, 3575–3585. [Google Scholar] [CrossRef]
- Kulshreshtha, G.; Rathgeber, B.; Stratton, G.; Thomas, N.; Evans, F.; Critchley, A.; Hafting, J.; Prithiviraj, B. Feed supplementation with red seaweeds, Chondrus crispus and Sarcodiotheca gaudichaudii, affects performance, egg quality, and gut microbiota of layer hens. Poult. Sci. 2014, 93, 2991–3001. [Google Scholar] [CrossRef]
- Kulshreshtha, G.; Borza, T.; Rathgeber, B.; Stratton, G.S.; Thomas, N.A.; Critchley, A.; Hafting, J.; Prithiviraj, B. Red seaweeds Sarcodiotheca gaudichaudii and Chondrus crispus downregulate virulence factors of Salmonella Enteritidis and induce immune responses in Caenorhabditis elegans. Front. Microbiol. 2016, 7, 421. [Google Scholar] [CrossRef]
- Kulshreshtha, G.; Rathgeber, B.; MacIsaac, J.; Boulianne, M.; Brigitte, L.; Stratton, G.; Thomas, N.A.; Critchley, A.T.; Hafting, J.; Prithiviraj, B. Feed supplementation with red seaweeds, Chondrus crispus and Sarcodiotheca gaudichaudii, reduces Salmonella Enteritidis in laying hens. Front. Microbiol. 2017, 8, 567. [Google Scholar] [CrossRef]
- Kulshreshtha, G.; Critchley, A.; Rathgeber, B.; Stratton, G.; Banskota, A.H.; Hafting, J.; Prithiviraj, B. Antimicrobial effects of selected, cultivated red seaweeds and their components in combination with tetracycline against poultry pathogen Salmonella enteritidis. J. Mar. Sci. Eng. 2020, 8, 511. [Google Scholar] [CrossRef]
- Premarathna, A.D.; Ahmed, T.A.E.; Kulshreshtha, G.; Humayun, S.; Darko, C.N.S.; Rjabovs, V.; Hammami, R.; Critchley, A.T.; Tuvikene, R.; Hincke, M.T. Polysaccharides from red seaweeds: Effect of extraction methods on physicochemical characteristics and antioxidant activities. Food Hydrocoll. 2024, 147, 109307. [Google Scholar] [CrossRef]
- Premarathna, A.D.; Ahmed, T.A.E.; Rjabovs, V.; Hammami, R.; Critchley, A.T.; Tuvikene, R.; Hincke, M.T. Immunomodulation by xylan and carrageenan-type polysaccharides from red seaweeds: Anti-inflammatory, wound healing, cytoprotective, and anticoagulant activities. Int. J. Biol. Macromol. 2024, 260, 129433. [Google Scholar] [CrossRef] [PubMed]
- Wu, J.; Pan, N.; Chen, X.; Shan, D.; Shi, H.; Qiu, Y.; Liu, Z.; Su, Y.; Weng, J. Comparative evaluation of physical characteristics and volatile flavor components of Bangia fusco-purpurea subjected to hot air drying and vacuum freeze-drying. Curr. Res. Food Sci. 2023, 7, 100624. [Google Scholar] [CrossRef] [PubMed]
- Khan, N.; Sudhakar, K.; Mamat, R. Seaweed processing: Efficiency, kinetics, and quality attributes under solar drying. Food Chem. Adv. 2025, 6, 100859. [Google Scholar] [CrossRef]
- Uribe, E.; Vega-Gálvez, A.; García, V.; Pastén, A.; Rodríguez, K.; López, J.; Di Scala, K. Evaluation of physicochemical composition and bioactivity of a red seaweed (Pyropia orbicularis) as affected by different drying technologies. Dry. Technol. 2020, 38, 1218–1230. [Google Scholar] [CrossRef]
- Ullah, M.R.; Haque, M.A.; Hasan, M.M.; Islam, M.A.; Bhadra, A. The influences of different drying procedures on the nutritional contents and antioxidant activities of brown seaweed, Sargassum oligocystum Mont. (Sargassaceae). Appl. Food Res. 2025, 5, 101055. [Google Scholar] [CrossRef]
- Subbiah, V.; Duan, X.; Agar, O.T.; Dunshea, F.R.; Barrow, C.J.; Suleria, H.A.R. Comparative study on the effect of different drying techniques on phenolic compounds in Australian beach-cast brown seaweeds. Algal Res. 2023, 72, 103140. [Google Scholar] [CrossRef]
- AOAC. Official Methods of Analysis, 15th ed.; Association of Official Analytical Chemists: Washington, DC, USA, 1990. [Google Scholar]
- Araya, M.; García, S.; Rengel, J.; Pizarro, S.; Álvarez, G. Determination of free and protein amino acid content in microalgae by HPLC-DAD with pre-column derivatization and pressure hydrolysis. Mar. Chem. 2021, 234, 103999. [Google Scholar] [CrossRef]
- Folch, J.; Lees, M.; Sloane, G. A simple method for the isolation and purification of total lipids from animal tissues. J. Biol. Chem. 1957, 226, 497–509. [Google Scholar] [CrossRef]
- López-Hortas, L.; Caleja, C.; Pinela, J.; Petrović, J.; Soković, M.; Ferreira, I.C.F.R.; Torres, M.D.; Domínguez, H.; Pereira, E.; Barros, L. Comparative evaluation of physicochemical profile and bioactive properties of red edible seaweed Chondrus crispus subjected to different drying methods. Food Chem. 2022, 383, 132450. [Google Scholar] [CrossRef]
- Moradi, F.; Aghamaali, M.; Hadavi, M. Osteogenic differentiation of human amniotic mesenchymal stem cells by phycocyanin and phycoerythrin pigments isolated from Spirulina platensis and Gracilaria gracilis algae. Tissue Cell 2023, 85, 102216. [Google Scholar] [CrossRef]
- Pasten, A.; Vega-Gálvez, A.; Uribe, E.; Carvajal, M.; Mejías, N.; Araya, M.; Goñi, M.G. A comparison of the effects of low-temperature vacuum drying and other methods on cauliflower’s nutritional–functional properties. Processes 2024, 12, 1629. [Google Scholar] [CrossRef]
- Grajeda-Iglesias, C.; Salas, E.; Barouh, N.; Baréa, B.; Panya, A.; Figueroa-Espinoza, M.C. Antioxidant activity of protocatechuates evaluated by DPPH, ORAC, and CAT methods. Food Chem. 2016, 194, 749–757. [Google Scholar] [CrossRef]
- Ou, B.; Hampsch-Woodill, M.; Prior, R.L. Development and validation of an improved oxygen radical absorbance capacity assay using fluorescein as the fluorescent probe. J. Agric. Food Chem. 2001, 49, 4619–4626. [Google Scholar] [CrossRef] [PubMed]
- Zhao, T.; Dong, Q.; Zhou, H.; Yang, H. Drying kinetics, physicochemical properties, antioxidant activity and antidiabetic potential of Sargassum fusiforme processed under four drying techniques. LWT–Food Sci. Technol. 2022, 163, 113578. [Google Scholar] [CrossRef]
- Charles, A.L.; Sridhar, K.; Alamsjah, M.A. Effect of drying techniques on color and bioactive potential of two commercial edible Indonesian seaweed cultivars. J. Appl. Phycol. 2020, 32, 563–572. [Google Scholar] [CrossRef]
- Biancarosa, I.; Belghit, I.; Bruckner, C.G.; Liland, N.S.; Waagbø, R.; Amlund, H.; Heesch, S.; Lock, E.-J. Chemical characterization of 21 species of marine macroalgae common in Norwegian waters: Benefits of and limitations to their potential use in food and feed. J. Sci. Food Agric. 2018, 98, 2035–2042. [Google Scholar] [CrossRef] [PubMed]
- Wang, L.; Liu, X.; Liu, J.; Zheng, T.; Wang, Z.; Liu, X.; Luo, G. Effects of different drying methods on the nutritional components, microstructure, and metabolomic profile of Spirulina maxima. Algal Res. 2024, 84, 103788. [Google Scholar] [CrossRef]
- Coleman, B.; Van Poucke, C.; De Witte, B.; Casciaro, V.; Moerdijk-Poortvliet, T.; Muylaert, K.; Robbens, J. The effect of drying, cell disruption and storage on the sensory properties of Nannochloropsis sp. Algal Res. 2023, 71, 103092. [Google Scholar] [CrossRef]
- Wong, K.; Cheung, P.C. Influence of drying treatment on three Sargassum species. J. Appl. Phycol. 2001, 13, 43–50. [Google Scholar] [CrossRef]
- Adeniyi, A.G.; Iwuozor, K.O.; Emenike, E.C.; Tijani, I.A.; Adeleke, J.A. Impact of freeze drying on the properties of palmitic acid extracted from plantain stalk waste. Sustain. Chem. Pharm. 2024, 42, 101820. [Google Scholar] [CrossRef]
- Osório, C.; Machado, S.; Peixoto, J.; Bessada, S.; Pimentel, F.B.; Alves, R.C.; Oliveira, M.B.P.P. Pigments content (chlorophylls, fucoxanthin and phycobiliproteins) of different commercial dried algae. Separations 2020, 7, 33. [Google Scholar] [CrossRef]
- Tello-Ireland, C.; Lemus-Mondaca, R.; Vega-Gálvez, A.; López, J.; Di Scala, K. Influence of hot-air temperature on drying kinetics, functional properties, colour, phycobiliproteins, antioxidant capacity, texture and agar yield of Gracilaria chilensis. LWT–Food Sci. Technol. 2011, 44, 2112–2118. [Google Scholar] [CrossRef]
- Zhu, X.; Healy, L.E.; Sevindik, O.; Sun, D.-W.; Selli, S.; Kelebek, H.; Tiwari, B.K. Impacts of novel blanching treatments combined with commercial drying methods on the physicochemical properties of Irish brown seaweed Alaria esculenta. Food Chem. 2022, 369, 130949. [Google Scholar] [CrossRef]
- Silva, A.F.R.; Abreu, H.; Silva, A.M.S.; Cardoso, S.M. Effect of oven-drying on the recovery of valuable compounds from Ulva rigida, Gracilaria sp., and Fucus vesiculosus. Mar. Drugs 2019, 17, 90. [Google Scholar] [CrossRef]
- Seghiri, R.; Legrand, J.; Hsissou, R.; Essamri, A. Comparative study of the impact of conventional and unconventional drying processes on phycobiliproteins from Arthrospira platensis. Algal Res. 2021, 53, 102165. [Google Scholar] [CrossRef]
- Uribe, E.; Vega-Gálvez, A.; Heredia, V.; Pastén, A.; Di Scala, K. An edible red seaweed (Pyropia orbicularis): Influence of vacuum drying on physicochemical composition, bioactive compounds, antioxidant capacity, and pigments. J. Appl. Phycol. 2018, 30, 673–683. [Google Scholar] [CrossRef]
- Lajili, S.; Ali Azouaou, S.; Turki, M.; Muller, C.D.; Bouraoui, A. Anti-inflammatory, analgesic activities and gastro-protective effects of the phenolic contents of the red alga Laurencia obtusa. Eur. J. Integr. Med. 2016, 8, 298–306. [Google Scholar] [CrossRef]
- Tanna, B.; Choudhary, B.; Mishra, A.; Yadav, S.; Chauhan, O.P.; Elansary, H.O.; Shokralla, S.; Zin El-Abedin, T.K.; Mahmoud, E.A. Biochemical and antiproliferative activities of seven abundant tropical red seaweeds confirm nutraceutical potential of Grateloupia indica. Arab. J. Chem. 2022, 15, 103868. [Google Scholar] [CrossRef]
- Ebrahimi, F.; Subbiah, V.; Agar, O.T.; Bringloe, T.T.; Legione, A.R.; Suleria, H.A.R. LC-ESI-QTOF-MS/MS characterization of phenolic compounds from Victorian shorebound red seaweeds and their antioxidant capacity. Algal Res. 2024, 82, 103609. [Google Scholar] [CrossRef]
- Hossain, A.; Yasir, M.; Guo, Y.; Singh, A.; Kitts, D.D.; Pratap-Singh, A. First comprehensive phenolic profiling and antioxidant assessment of red seaweed (Mazzaella japonica) using cold plasma-treated water. Food Chem. 2025, 496, 146582. [Google Scholar] [CrossRef]
- Ling, A.L.M.; Yasir, S.; Matanjun, P.; Abu Bakar, M.F. Effect of different drying techniques on the phytochemical content and antioxidant activity of Kappaphycus alvarezii. J. Appl. Phycol. 2015, 27, 1717–1723. [Google Scholar] [CrossRef]
- Gupta, S.; Cox, S.; Abu-Ghannam, N. Effect of different drying temperatures on the moisture and phytochemical constituents of edible Irish brown seaweed. LWT–Food Sci. Technol. 2011, 44, 1266–1272. [Google Scholar] [CrossRef]
- Tang, Y.; Huang, Y.; Li, M.; Zhu, W.; Zhang, W.; Luo, S.; Zhang, Y.; Ma, J.; Jiang, Y. Balancing Maillard reaction products formation and antioxidant activities for improved sensory quality and health benefit properties of pan baked buns. Food Res. Int. 2024, 195, 114984. [Google Scholar] [CrossRef]
- Sultana, S.; Hossain, M.L.; Sostaric, T.; Lim, L.Y.; Foster, K.J.; Locher, C. Investigating flavonoids by HPTLC analysis using aluminium chloride as derivatization reagent. Molecules 2024, 29, 5161. [Google Scholar] [CrossRef] [PubMed]
- Olsen, E.K.; Hansen, E.; Isaksson, J.; Andersen, J.H. Cellular antioxidant effect of four bromophenols from the red algae Vertebrata lanosa. Mar. Drugs 2013, 11, 2769–2784. [Google Scholar] [CrossRef]
- Skroza, D.; Šimat, V.; Vrdoljak, L.; Jolić, N.; Skelin, A.; Čagalj, M.; Frleta, R.; Generalić Mekinić, I. Investigation of antioxidant synergisms and antagonisms among phenolic acids in model matrices using FRAP and ORAC methods. Antioxidants 2022, 11, 1784. [Google Scholar] [CrossRef]
- Sakurai, S.; Kawakami, Y.; Kuroki, M.; Gotoh, H. Structure–antioxidant activity (oxygen radical absorbance capacity) relationships of phenolic compounds. Struct. Chem. 2022, 33, 1055–1062. [Google Scholar] [CrossRef]
- Cruces, E.; Rojas-Lillo, Y.; Ramirez-Kushel, E.; Atala, E.; López-Alarcón, C.; Lissi, E.; Gómez, I. Comparison of different techniques for the preservation and extraction of phlorotannins in the kelp Lessonia spicata (Phaeophyceae): Assays of DPPH, ORAC-PGR, and ORAC-FL as testing methods. J. Appl. Phycol. 2016, 28, 573–580. [Google Scholar] [CrossRef]
- Kim, K.Y.; Nam, K.A.; Kurihara, H.; Kim, S.M. Potent α-glucosidase inhibitors purified from the red alga Grateloupia elliptica. Phytochemistry 2008, 69, 2820–2825. [Google Scholar] [CrossRef] [PubMed]
- Magwaza, S.N.; Olofinsan, K.A.; Mohamed, A.I.; Meriga, B.; Islam, M.S. Bioactivities of Sargassum elegans, Bryopsis myosuroides, Callophyllis variegata seaweeds on diabetes and obesity-related biochemical parameters: A comparative in vitro study. Fitoterapia 2024, 179, 106252. [Google Scholar] [CrossRef]
- Paudel, P.; Seong, S.H.; Park, H.J.; Jung, H.A.; Choi, J.S. Anti-diabetic activity of 2,3,6-tribromo-4,5-dihydroxybenzyl derivatives from Symphyocladia latiuscula through PTP1B downregulation and α-glucosidase inhibition. Mar. Drugs 2019, 17, 166. [Google Scholar] [CrossRef]
- Sudhakar, M.P.; Dharani, G.; Paramasivam, A. Evaluation of antimicrobial, antioxidant and cytotoxicity potential of R-phycoerythrin extracted from Gracilaria corticata seaweed. Curr. Res. Green Sustain. Chem. 2023, 6, 100352. [Google Scholar] [CrossRef]
- Sanger, G.; Wonggo, D.; Taher, N.; Dotulong, V.; Setiawan, A.A.; Permatasari, H.K.; Maulana, S.; Nurkolis, F.; Tsopmo, A.; Kim, B. Green seaweed Caulerpa racemosa—Chemical constituents, cytotoxicity in breast cancer cells and molecular docking simulation. J. Agric. Food Res. 2023, 12, 100621. [Google Scholar] [CrossRef]





| Parameters | Control | Convective Drying Temperatures | ||||
|---|---|---|---|---|---|---|
| FD | 40 °C | 50 °C | 60 °C | 70 °C | 80 °C | |
| Proximate composition (g/100 g d.m.) and water activity (dimensionless) | ||||||
| 1 Moisture | 2.96 ± 0.04 cd | 5.06 ± 0.03 a | 4.52 ± 0.34 b | 3.26 ± 0.09 c | 2.96 ± 0.71 de | 2.67 ± 0.18 e |
| Water activity | 0.0552 ± 0.0032 e | 0.2643 ± 0.0032 a | 0.2336 ± 0.0045 b | 0.1573 ± 0.0061 c | 0.1047 ± 0.0116 d | 0.1144 ± 0.0049 d |
| Fat | 0.70 ± 0.03 a | 0.37 ± 0.02 b | 0.18 ± 0.01 c | 0.34 ± 0.01 b | 0.38 ± 0.02 b | 0.70 ± 0.05 a |
| Ash | 34.73 ± 0.44 e | 46.98 ± 1.44 a | 41.34 ± 0.91 c | 43.75 ± 0.39 b | 35.78 ± 0.48 de | 36.26 ± 0.88 d |
| Crude protein | 21.08 ± 0.05 a | 17.59 ± 0.23 c | 17.73 ± 0.05 d | 11.33 ± 0.41 e | 20.04 ± 0.23 b | 19.87 ± 0.37 b |
| Crude fiber | 3.73 ± 0.17 bc | 3.49 ± 0.19 c | 2.25 ± 0.09 d | 3.54 ± 0.12 c | 4.44 ± 0.26 a | 3.94 ± 0.33 b |
| Macrominerals (mg/kg) | ||||||
| Sodium (Na) | 10,541 ± 394 b | 17,544 ± 899.85 a | 17,138 ± 1274.5 a | 17,426 ± 621.0 a | 10,391 ± 425.4 b | 8643 ± 144.3 c |
| Potassium (K) | 70,203 ± 2967 e | 129,516 ± 1372 a | 117,515 ± 915 b | 119,335 ± 436 b | 93,478 ± 1342 c | 86,161 ± 2602 d |
| Magnesium (Mg) | 418.00 ± 8.00 a | 409.00 ± 2.52 a | 346.00 ± 3.79 c | 337.00 ± 10.97 c | 386.00 ± 11.15 b | 346.00 ± 15.04 c |
| Calcium (Ca) | 11,722 ± 243 b | 5686 ± 42.71 e | 5898 ± 80.28 de | 6248 ± 138.6 d | 13,539 ± 388.9 a | 8896 ± 140.2 c |
| Microminerals (mg/kg) | ||||||
| Zinc (Zn) | 41.86 ± 1.27 bc | 29.05 ± 2.00 d | 46.35 ± 3.13 a | 25.46 ± 2.09 d | 45.81 ± 3.24 ab | 37.90 ± 1.43 c |
| Iron (Fe) | 2096 ± 88.71 a | 973 ± 21.07 e | 1210 ± 52.03 d | 1210 ± 43.00 d | 1516 ± 33.06 c | 1936 ± 32.72 b |
| Manganese (Mn) | 25.92 ± 1.28 a | 1.66 ± 0.43 d | 1.42 ± 0.29 d | 4.79 ± 0.86 c | 14.01 ± 0.25 b | 25.05 ± 1.45 a |
| Copper (Cu) | 23.67 ± 1.13 a | 12.56 ± 0.30 d | 11.48 ± 0.46 e | 11.08 ± 0.27 e | 14.13 ± 0.44 c | 16.09 ± 0.23 b |
| Essential amino acids (EAA; g/100 g of sample) | ||||||
| Histidine (His) | 0.98 ± 0.08 a | 0.83 ± 0.08 a | 0.90 ± 0.00 a | 0.83 ± 0.08 a | 0.83 ± 0.08 a | 0.83 ± 0.08 a |
| Threonine (Thr) | 2.12 ± 0.14 a | 2.12 ± 0.24 a | 2.26 ± 0.09 a | 2.12 ± 0.05 a | 2.40 ± 0.14 a | 2.36 ± 0.09 a |
| Arginine (Arg) | 3.11 ± 0.12 abc | 2.53 ± 0.12 d | 2.88 ± 0.12 bcd | 2.76 ± 0.12 cd | 3.22 ± 0.12 ab | 3.34 ± 0.12 a |
| Valine (Val) | 1.67 ± 0.18 b | 1.70 ± 0.07 b | 1.88 ± 0.18 ab | 1.70 ± 0.00 b | 2.13 ± 0.07 a | 2.13 ± 0.07 a |
| Methionine (Met) | 0.42 ± 0.33 b | 0.80 ± 0.14 ab | 0.89 ± 0.05 ab | 0.85 ± 0.00 ab | 1.04 ± 0.00 a | 1.04 ± 0.09 a |
| Tryptophan (Trp) | 0.71 ± 0.00 e | 1.79 ± 0.00 ab | 1.97 ± 0.18 a | 0.89 ± 0.18 de | 1.25 ± 0.18 cd | 1.43 ± 0.00 bc |
| Phenylalanine (Phe) | 1.71 ± 0.00 ab | 1.57 ± 0.13 ab | 1.64 ± 0.20 ab | 1.38 ± 0.07 b | 1.90 ± 0.07 a | 1.90 ± 0.07 a |
| Isoleucine (Ile) | 1.90 ± 0.11 ab | 1.85 ± 0.16 ab | 2.00 ± 0.21 ab | 1.69 ± 0.21 b | 2.32 ± 0.11 a | 2.27 ± 0.05 a |
| Leucine (Leu) | 1.84 ± 0.15 a | 1.54 ± 0.10 a | 1.97 ± 0.17 a | 1.74 ± 0.10 a | 1.97 ± 0.12 a | 1.94 ± 0.05 a |
| Lysine (Lys) | 1.01 ± 0.03 b | 0.92 ± 0.07 b | 0.88 ± 0.03 b | 0.85 ± 0.00 b | 1.21 ± 0.10 a | 1.21 ± 0.03 a |
| Non-essential amino acids (NEAA; g/100 g of sample) | ||||||
| Aspartic acid (Asp) | 3.11 ± 0.04 b | 2.59 ± 0.00 c | 2.99 ± 0.16 b | 2.95 ± 0.04 b | 3.47 ± 0.16 a | 3.47 ± 0.08 a |
| Glutamic acid (Glu) | 3.50 ± 0.23 ab | 2.96 ± 0.05 b | 3.55 ± 0.18 a | 3.37 ± 0.09 ab | 3.91 ± 0.18 a | 3.82 ± 0.18 a |
| Asparagine (Asn) | 2.54 ± 0.00 a | 2.08 ± 0.00 a | 1.73 ± 0.35 a | 2.20 ± 0.58 a | 2.54 ± 0.00 a | 2.54 ± 0.23 a |
| Serine (Ser) | 1.32 ± 0.10 bc | 1.15 ± 0.00 c | 1.22 ± 0.07 bc | 1.26 ± 0.10 bc | 1.73 ± 0.24 a | 1.60 ± 0.03 ab |
| Glutamine (Gln) | 0.90 ± 0.13 a | 0.77 ± 0.00 a | 0.90 ± 0.13 a | 0.38 ± 0.38 ab | ND | ND |
| Glycine (Gly) | 1.34 ± 0.09 a | 1.34 ± 0.15 a | 1.43 ± 0.06 a | 1.34 ± 0.03 a | 1.51 ± 0.09 a | 1.48 ± 0.06 a |
| Alanine (Ala) | 2.01 ± 0.14 a | 1.82 ± 0.11 a | 1.96 ± 0.14 a | 1.90 ± 0.08 a | 2.12 ± 0.08 a | 2.12 ± 0.08 a |
| Tyrosine (Tyr) | 0.78 ± 0.00 a | 0.78 ± 0.22 a | 0.67 ± 0.11 a | 0.62 ± 0.06 a | 0.84 ± 0.06 a | 0.67 ± 0.00 a |
| Cystine (Cys) | 3.91 ± 0.13 a | 3.64 ± 0.13 ab | 3.51 ± 0.27 ab | 2.83 ± 0.40 b | 3.78 ± 0.27 a | 3.78 ± 0.27 a |
| Saturated fatty acids (SFA; g/100 g FAMES) | ||||||
| Myristic acid (C14:0) | 2.73 ± 0.34 a | 2.83 ± 0.19 a | 2.16 ± 0.11 b | 2.21 ± 0.18 b | 2.51 ± 0.16 ab | 2.81 ± 0.13 a |
| Pentadecanoic acid (C15:0) | 0.35 ± 0.08 a | 0.34 ± 0.07 a | 0.35 ± 0.01 a | 0.40 ± 0.05 a | 0.45 ± 0.05 a | 0.45 ± 0.00 a |
| Palmitic acid (C16:0) | 59.20 ± 2.23 a | 37.57 ± 5.51 d | 38.57 ± 3.05 d | 39.48 ± 1.23 cd | 45.44 ± 1.33 c | 52.78 ± 0.60 b |
| Stearic acid (C18:0) | 4.12 ± 0.31 c | 6.35 ± 0.63 ab | 4.43 ± 1.22 c | 4.72 ± 0.40 c | 5.05 ± 0.50 bc | 7.69 ± 0.77 a |
| Lignoceric acid (C24:0) | 0.24 ± 0.04 a | 0.26 ± 0.06 a | 0.51 ± 0.60 a | 0.07 ± 0.05 a | 0.07 ± 0.04 a | ND |
| Monounsaturated fatty acids (MUFA; g/100 g FAMES) | ||||||
| Palmitoleic acid (C16:1) | 1.39 ± 0.29 b | 2.48 ± 0.57 ab | 3.15 ± 1.09 a | 1.46 ± 0.11 b | 1.36 ± 0.12 b | 1.47 ± 0.13 b |
| Oleic acid/Elaidic acid (C18:1n9c/C18:1n9t) | 4.34 ± 0.36 b | 6.02 ± 0.47 ab | 7.69 ± 3.10 a | 4.68 ± 0.72 b | 4.48 ± 0.55 b | 4.55 ± 0.56 b |
| Gondoic acid (C20:1n9) | 0.16 ± 0.00 a | 0.26 ± 0.07 a | 0.30 ± 0.22 a | 0.12 ± 0.03 a | 0.17 ± 0.02 a | 0.15 ± 0.01 a |
| Polyunsaturated fatty acids (PUFA; g/100 g FAMES) | ||||||
| Linoleic acid (C18:2 n6c) | 0.30 ± 0.07 b | 1.13 ± 0.38 a | 1.23 ± 0.36 a | 0.43 ± 0.11 b | 0.51 ± 0.09 b | 0.39 ± 0.05 b |
| Gamma-linolenic acid (C18:3 n6) | 0.25 ± 0.04 a | 0.34 ± 0.05 a | 0.42 ± 0.34 a | 0.17 ± 0.02 a | 0.22 ± 0.02 a | 0.26 ± 0.06 a |
| Arachidonic acid (C20:4 n6) | 17.55 ± 1.54 c | 30.65 ± 2.59 ab | 27.51 ± 4.74 b | 33.81 ± 1.55 a | 27.76 ± 1.36 b | 20.54 ± 0.93 c |
| Eicosapentaenoic acid (C20:5 n3) | 8.65 ± 0.73 b | 11.34 ± 2.95 ab | 13.33 ± 1.09 a | 12.15 ± 1.07 a | 11.55 ± 1.15 ab | 8.41 ± 0.86 b |
| Docosahexaenoic acid (C22:6 n3) | 0.77 ± 0.09 a | 0.43 ± 0.11 b | 0.36 ± 0.05 b | 0.30 ± 0.08 b | 0.42 ± 0.08 b | 0.42 ± 0.12 b |
| Parameters | Control | Convective Drying Temperatures | ||||
|---|---|---|---|---|---|---|
| FD | 40 °C | 50 °C | 60 °C | 70 °C | 80 °C | |
| Color parameters (dimensionless) | ||||||
| L* | 39.02 ± 0.31 c | 41.64 ± 1.98 a | 41.44 ± 1.32 a | 40.06 ± 1.59 b | 33.96 ± 0.12 e | 35.18 ± 0.10 d |
| a* | 4.17 ± 0.20 a | 3.24 ± 0.19 b | 2.64 ± 0.20 c | 2.48 ± 0.18 d | 2.26 ± 0.20 e | 2.63 ± 0.64 c |
| b* | 5.33 ± 0.10 a | 4.65 ± 0.24 c | 5.56 ± 0.22 a | 5.35 ± 0.71 a | 4.05 ± 0.20 d | 4.93 ± 0.64 b |
| ∆E* | - | 2.87 ± 1.01 c | 2.88 ± 0.98 cd | 1.99 ± 0.59 e | 5.56 ± 0.62 a | 4.15 ± 1.26 b |
| h° | 51.98 ± 1.36 d | 55.13 ± 1.51 c | 64.56 ± 2.28 a | 64.68 ± 5.72 a | 60.82 ± 2.08 b | 61.53 ± 4.50 b |
| C* | 6.77 ± 0.16 a | 5.66 ± 0.27 d | 6.15 ± 0.18 b | 5.90 ± 0.55 c | 4.63 ± 0.16 e | 5.59 ± 0.55 d |
| S* | 0.17 ± 0.00 a | 0.14 ± 0.01 d | 0.15 ± 0.01 c | 0.15 ± 0.01 c | 0.14 ± 0.01 d | 0.16 ± 0.01 b |
| Phycobiliproteins (mg/100 g d.m) | ||||||
| Phycocyanin (PC) | 32.74 ± 0.24 a | 7.43 ± 0.57 d | 6.66 ± 0.35 d | 6.77 ± 0.22 d | 15.43 ± 0.44 b | 12.97 ± 1.00 c |
| Allophycocyanin (APC) | 23.39 ± 0.58 a | 6.91 ± 0.40 cd | 5.70 ± 0.56 d | 5.69 ± 0.09 d | 12.49 ± 0.99 b | 7.50 ± 0.52 c |
| Phycoerythrin (PE) | 86.72 ± 0.39 a | 23.69 ± 0.69 c | 18.31 ± 0.08 d | 17.98 ± 0.10 d | 28.03 ± 0.34 b | 24.79 ± 1.93 c |
Disclaimer/Publisher’s Note: The statements, opinions and data contained in all publications are solely those of the individual author(s) and contributor(s) and not of MDPI and/or the editor(s). MDPI and/or the editor(s) disclaim responsibility for any injury to people or property resulting from any ideas, methods, instructions or products referred to in the content. |
© 2025 by the authors. Licensee MDPI, Basel, Switzerland. This article is an open access article distributed under the terms and conditions of the Creative Commons Attribution (CC BY) license.
Share and Cite
Pasten, A.; Vega-Galvez, A.; Araya, M.; Uribe, E.; Mejias, N.; Manriquez, J.; Jamett, F. Freeze-Drying and Convective Drying of the Underutilized Red Seaweed Sarcodiotheca gaudichaudii: A Comparative Study on Key Chemical Parameters and Biological Activities. Processes 2026, 14, 66. https://doi.org/10.3390/pr14010066
Pasten A, Vega-Galvez A, Araya M, Uribe E, Mejias N, Manriquez J, Jamett F. Freeze-Drying and Convective Drying of the Underutilized Red Seaweed Sarcodiotheca gaudichaudii: A Comparative Study on Key Chemical Parameters and Biological Activities. Processes. 2026; 14(1):66. https://doi.org/10.3390/pr14010066
Chicago/Turabian StylePasten, Alexis, Antonio Vega-Galvez, Michael Araya, Elsa Uribe, Nicol Mejias, Joan Manriquez, and Fabiola Jamett. 2026. "Freeze-Drying and Convective Drying of the Underutilized Red Seaweed Sarcodiotheca gaudichaudii: A Comparative Study on Key Chemical Parameters and Biological Activities" Processes 14, no. 1: 66. https://doi.org/10.3390/pr14010066
APA StylePasten, A., Vega-Galvez, A., Araya, M., Uribe, E., Mejias, N., Manriquez, J., & Jamett, F. (2026). Freeze-Drying and Convective Drying of the Underutilized Red Seaweed Sarcodiotheca gaudichaudii: A Comparative Study on Key Chemical Parameters and Biological Activities. Processes, 14(1), 66. https://doi.org/10.3390/pr14010066

