Abstract
Shale and coal in the transitional marine–continental facies of the Ordos Basin serve as unconventional natural gas reservoirs, with their pore structures controlling gas adsorption characteristics and occurrence states. To quantitatively characterize the pore structure features and differences between these two reservoirs, this study takes the Shanxi Formation shale and coal in the Daning–Jixian area on the eastern margin of the Ordos Basin as examples. Field-emission scanning electron microscopy (FE-SEM), high-pressure mercury intrusion, low-temperature N2 adsorption, and low-pressure CO2 adsorption experiments were employed to analyze and compare the full-scale pore structures of the shale and coal reservoirs. Combined with methane isothermal adsorption experiments, the gas adsorption capacity and its differences in these reservoirs were investigated. The results indicate that the average total organic carbon (TOC) content of shale is 2.66%, with well-developed organic pores, inorganic pores, and microfractures. Organic pores are the most common, typically occurring densely and in clusters. The average TOC content of coal is 74.22%, with organic gas pores being the dominant pore type, significantly larger in diameter than those in transitional marine–continental facies shale and marine shale. In coal, micropores contribute the most to pore volume, while mesopores and macropores contribute less. In shale, mesopores dominate, followed by micropores, with macropores being underdeveloped. Both coal and shale exhibit a high SSA primarily contributed by micropores, with organic matter serving as the material basis for micropore development. The methane adsorption capacity of coal is 8–29 times higher than that of shale. Coal contains abundant organic micropores, providing a large SSA and numerous adsorption sites for methane, facilitating gas adsorption and storage. This study comprehensively reveals the similarities and differences in pore structures between transitional marine–continental facies shale and coal reservoirs in the Ordos Basin at the microscale, providing a scientific basis for the precise evaluation and development of unconventional oil and gas resources.
1. Introduction
Unconventional oil and gas have the characteristics of wide distribution area and great resource potential. As new fields for China’s unconventional natural gas exploration and development, marine–continental transitional shale gas and coalbed methane boast total geological resources of approximately 19.8 × 1012 m3, with technically recoverable resources reaching 5.1 × 1012 m3, accounting for 25% of the total shale gas resources [1,2,3]. In the Upper Paleozoic Shanxi Formation of the Ordos Basin, coal-measure shale and coal seams are widely developed, exhibiting notable features such as large cumulative thickness, extensive planar distribution, and substantial resource potential [4]. In recent years, breakthroughs have been made in both shale gas and coalbed methane (CBM) in the Daning–Jixian block: Five vertical wells obtained industrial gas flow through fracturing and test production in the shale section of the Shanxi Formation, with the maximum unobstructed flow rate reaching 1.0 × 104 m3/day. The horizontal JP1H well has produced a cumulative gas of 1936 × 104 m3/day in 18 months and has a stable daily gas production of 3.3 × 104 m3/day. JS6-7 Well achieved a high-yield industrial gas flow with a daily output of 10.1 × 104 m3/day in the coal rock section [5]. These achievements highlight the necessity of integrated geological evaluations for transitional shale and coal systems in the Ordos Basin’s Upper Paleozoic sequences to optimize exploration strategies.
Shale gas and CBM are important components of unconventional natural gas. Unlike sandstone and carbonate rock reservoirs, shale and coal rock reservoirs have the characteristic of self-storage and self-preservation [6,7,8,9]. The occurrence characteristics and production laws of shale gas and CBM are controlled by the complex pore structure of the reservoir. Due to the presence of a large number of organic pores smaller than 2 nm in the organic components of coal reservoirs, CBM mainly exists in the coal rock in an adsorbed state. The pore network of shale reservoirs is mainly composed of interparticle pores, intraparticle pores, and organic pores of micrometer and nanometer scales. Shale gas often exists in the shale reservoir in a free state and an adsorbed state [10]. This storage mechanism is closely associated with the complex nanopore systems in shale and coal reservoirs, which govern gas storage flow behavior and ultimately influence hydrocarbon storage capacity and well productivity. Currently, numerous analytical techniques have been employed to characterize the pore structures of shale and coal, including direct methods such as scanning electron microscopy (SEM) and micro-CT imaging, as well as indirect methods like high-pressure mercury intrusion, low-pressure CO2 adsorption (LPCO2A), and low-temperature N2 adsorption (LTN2A) [5,11,12,13]. The former enables qualitative observation of pore morphology, size, and distribution, while the latter provides quantitative characterization of pore volume (PV), specific surface area (SSA), and other structural parameters. However, due to the strong heterogeneity and wide pore size distribution of shale and coal, a multi-method approach is required to comprehensively characterize their full-scale pore structures. Previous studies have employed integrated experimental methods to reveal the characteristics of nanopore systems in marine shale reservoirs such as the Wufeng-Longmaxi Formation [4,14,15,16]. However, similar research on transitional marine–continental facies reservoirs remains limited. Compared to marine shale gas, transitional marine–continental facies shale gas is influenced by complex hydrodynamic conditions and multi-source sediment supply, resulting in frequent sandstone–mudstone interbedding and strong vertical heterogeneity in the distribution of shale and coal layers. These factors significantly constrain the exploration and development of transitional marine–continental facies shale gas [17,18,19,20].
This study focuses on the shale and coal samples from the Shanxi Formation in the Daning–Jixian area along the eastern margin of the Ordos Basin. A comprehensive characterization of the full-aperture pore structure characteristics of these shale and coal reservoirs was conducted using an integrated approach combining field emission scanning electron microscopy (FE-SEM), LPCO2A, LTN2A, and high-pressure mercury intrusion (HPMI) methods. Through comparative analysis, the differences in pore structure between shale and coal samples and their underlying formation mechanisms were systematically investigated. Furthermore, methane isothermal adsorption experiments were performed to examine the natural gas adsorption capacity and its variations within these reservoirs. The research aims to provide theoretical support for the evaluation and development of coal-bearing reservoirs in the Ordos Basin.
2. Geological Setting
The Ordos Basin, located in north-central China, features stable internal structure with limited fault development, exhibiting an overall tectonic framework characterized by north–south uplift and west-thrusting-east-upheaval [21,22]. The basin can be divided into six first-order tectonic units: the Western Thrust Belt, Western Tianhuan Depression, Central Shaanxi Slope, Eastern Shanxi Flexural Fold Belt, Southern Weibei Uplift, and Northern Yimeng Uplift (Figure 1a). As China’s largest oil and gas producing basin, the Ordos Basin has accumulated proven natural gas reserves of 6.86 × 1012 m3. Major gas fields including Sulige, Jingbian, Yulin, Zizhou, and Shenmu have been successively discovered in the Paleozoic strata [23,24].
Figure 1.
(a) Location of the study area; (b) Comprehensive stratigraphic column chart.
The Permian system in the Ordos Basin develops, from bottom to top, the Taiyuan Formation, Shanxi Formation, Shihezi Formation, and Shiqianfeng Formation (Figure 1b). Influenced by the Hercynian tectonic movement, the entire North China Platform experienced uplift, causing seawater to gradually retreat from both eastern and western flanks of the basin. This resulted in frequent water body fluctuations in the Ordos Basin, forming multiple sedimentary cycles of shallow marine–delta front–shallow lacustrine facies, which deposited several sets of organic-rich transitional marine–continental shales [23,24,25]. The study area, located in the southeastern part of the basin, contains well-developed shale and coal seams in the Shan-23 submember. The cumulative thickness of shale ranges from 20 to 40 m, while coal seams measure approximately 3–5 m in thickness (Figure 1). These formations currently represent one of the key target intervals for transitional marine–continental shale gas and coalbed methane exploration and development in the Ordos Basin.
3. Materials and Methods
3.1. Experimental Materials
A total of eight fresh samples from the coal-bearing shale and coal seams of the Shanxi Formation in the Ordos Basin were selected for this study, including four fresh coal samples and four fresh shale samples. The collected cylindrical shale and coal specimens were processed through cutting and crushing procedures to prepare subsamples for various analyses: total organic carbon (TOC) testing, Rock-Eval pyrolysis, X-ray diffraction (XRD) analysis for whole-rock and clay mineral composition, maceral identification, FE-SEM observation, HPMI, LPCO2A and LTN2A experiments, and CH4 isothermal adsorption experiments.
3.2. Experimental Methods
The key experiments involved in this study include FE-SEM, HPMI, LPCO2A, LTN2A, and CH4 isothermal adsorption experiments: ① shale and coal rock samples were observed for pore structure through FE-SEM. Before observation, the surface was treated with argon ion polishing (using a Gatan 697 argon ion polishing instrument to polish the sample surface for 6 h) to obtain a smooth observation surface, and 5 nm thick platinum was sprayed to enhance the conductivity of the sample surface [26,27]. FE-SEM imaging is performed at a working distance of 2–4 mm with an acceleration voltage of 1 kV. ② The LPCO2A and LTN2A experiments were conducted using a Micromeritics ASAP 2460 SSA, Noklossor, Torrance, CA, USA and pore size analyzer from the United States. The sample particle size was 60–80 mesh. Before the experiment, all samples were dried at 105 °C for 8 h. Then, an appropriate amount of sample was weighed and placed on the machine. The samples were vacuum degassed at 110 °C for 10 h in a degassing station. Finally, high-purity CO2 and N2 were subjected to adsorption and desorption experiments at 273 K and 77 K, respectively, to obtain corresponding LPCO2A and LTN2A experimental data. The entire experimental process was strictly carried out in accordance with GB/T21650.3-2011 [28] and GB/T21650.2-2008 [29]. ③ The HPMI experiment used the AutoPore9510 fully automatic mercury injection instrument from Micromeritics Instrument in the United States. During the high-pressure testing phase, the instrument injected mercury at a pressure of up to 60,000 psi (approximately 413 MPa), corresponding to a lower limit of 3.75 nm for the test aperture. Before testing, the sample needs to be made into cubic blocks with a size of 1 cm3, and then the surface of the blocks should be polished to eliminate the hemp skin effect during the testing process. Then, a low-temperature long-term drying scheme (continuous drying at 60 °C for 48 h) should be selected to prevent the original pores in the sample from being damaged by high temperature and effectively remove the internal impurity gases [22]. Before the test starts, the dried sample should be loaded and the instrument should be vacuumed. After starting the test, the data of the mercury injection and removal process should be recorded. The entire experimental process should strictly follow GB/T21650.1-2008 [30]. ④ The high-pressure CH4 adsorption was carried out using a Gravimetric Isothermal Rig 3 with a large sample weight method. The sample was first crushed to 60–80 mesh, and then the degassed sample was subjected to high-pressure isothermal adsorption experiments using high-purity CH4 inside the instrument. During the process, 9 testing points were set up at a temperature of 60 degrees Celsius and a maximum pressure of 25 MPa.
4. Results
4.1. Organic Geochemical Characteristics
The TOC measurement and Rock-Eval pyrolysis results reveal that the TOC of the Shanxi Formation shale in the study area ranges from 0.56% to 28.5%, with an average value of 2.66%. Notably, 63% of the samples exceed 2.0%, classifying them as excellent source rocks (Figure 2). Maceral composition analysis demonstrates that the shale contains vitrinite > inertinite > exinite, average contents of 38.3%, 34.5%, and 27.1%, respectively, predominantly indicating Type III organic matter, with a very minor proportion reaching Type II2. The Shanxi Formation coal samples exhibit TOC values between 66.8% and 86.1%, averaging 74.22%. Their maceral composition is dominated by vitrinite (79.56% average), followed by inertinite (12.58%) and liptinite (7.86%), all classified as Type III organic matter. Compared with shale, the coal samples show significantly lower liptinite but higher vitrinite content (Table 1). Both shale and coal samples from the Shanxi Formation display vitrinite reflectance (Ro) values exceeding 2.0%, average of 2.66%, indicating an over-mature stage favorable for hydrocarbon generation through thermal cracking. The predominance of Type III kerogen in both lithologies, when compared with transitional marine–continental facies Type I–II organic matter, is less conducive to organic pore development. However, the relatively higher inertinite and exinite content in shale macerals compared to coal (which is dominated by vitrinite and inertinite) suggests greater potential for organic pore formation in shale.
Figure 2.
Characteristics of organic matter abundance of coal and shale in the study area.
Table 1.
Ro, organic matter abundance, macerals, and minerals of coal and shale in the study area.
The XRD analysis results demonstrate that the Shanxi Formation shale in the study area is primarily composed of brittle minerals and clay minerals (Table 1), with minor amounts of pyrite and carbonate minerals. Among these components: brittle minerals are dominated by quartz, with content ranging from 16% to 65% (average: 46.1%); clay minerals vary between 12% and 76% (average: 38.25%), with kaolinite being the most abundant species. In contrast, coal samples exhibit significantly different mineral compositions: predominantly clay minerals (32–56%, average: 44%); minor quartz and calcite (Table 1); illite/smectite mixed-layer minerals and kaolinite showing the highest concentrations among clay minerals. The substantial variations in mineral composition among shale and coal samples from different depth intervals of the Shanxi Formation indicate strong heterogeneity characteristics of transitional marine–continental facies shales. Furthermore, compared to marine shales, both the transitional facies shales and coals exhibit lower brittle mineral contents [24,29,31].
4.2. Pore Morphology Characteristics
The Shanxi Formation shale and coal samples in the study area exhibit complex micro–nanoscale pore and fracture networks, as revealed by FE-SEM observations (Figure 3). Based on their morphology and genesis, the pores and fractures in shale can be classified into three categories: organic pores, inorganic pores, and microfractures [32]. Organic pores are the predominant pore type in shale, primarily exhibiting individual pore morphologies dominated by circular, elliptical, and irregular polygonal shapes (Figure 3a). Inorganic pores encompass four subtypes: dissolution pores, intergranular residual pores, clay mineral interlayer pores, and pyrite intercrystalline pores [33,34]. Specifically, dissolution pores are typically isolated and predominantly developed within quartz minerals, displaying elliptical or pit-shaped configurations (Figure 3b). Intergranular pores are predominantly hosted between rigid minerals, typically exhibiting fissure-like or irregular polygonal morphologies due to compaction effects (Figure 3c). Clay mineral interlayer pores develop through clay mineral transformation and volume reduction during diagenetic processes; subsequently, these pores either undergo closure under compaction or form elongated, sinuous filamentous pore networks (Figure 3c). In some shale intervals with elevated pyrite content, irregular stacking of multiple crystals creates abundant intercrystalline pores that form reticulated pore networks with favorable connectivity, exhibiting pore diameters ranging from 100 nm to 300 nm (Figure 3c). The Shanxi Formation shales contain observable microfractures with limited distribution density, which are categorized into: those typically propagating along mineral grain boundaries or cross-cutting mineral grains/organic matter (Figure 3a), which effectively interconnect microscopic pore systems, and those predominantly distributed along organic matter margins, formed through hydrocarbon-generation-associated organic matter transformation and progressive volumetric contraction (Figure 3c).
Figure 3.
SEM images of coal and shale in the study area. (a) DJ-Y-1, Shale; (b) DJ-Y-2, Shale; (c) DJ-Y-3, Shale; (d) DJ-M-1, Coal; (e) DJ-M-2, Coal; (f) DJ-M-4, Coal.
Compared to shales, coal rocks in the study area are primarily composed of organic matter and clay minerals, with notably lower contents of rigid minerals such as quartz and pyrite. Under intense compaction, most pores become occluded, though observable pore types include organic-matter-hosted gas vesicles, residual intergranular pores, cleats, and microfractures (Figure 3d–f). Gas vesicles—a subtype of organic pores—constitute the dominant pore type in the Shanxi Formation coal (Figure 3e), formed during hydrocarbon generation at high-over maturity stages. Scanning electron microscopy reveals these vesicles exhibit elliptical or slit-shaped morphologies with preferential alignment due to compaction (Figure 3e). While residual intergranular pores and microfractures in coal share morphological similarities with their shale counterparts, they occur in significantly lower abundances. Distinctively, localized development of microfractures is observed in coal lithofacies (Figure 3d,e), a feature absent in adjacent shale units.
4.3. Microstructural Pore Characteristics
4.3.1. LPCO2A
LPCO2A experiments revealed Type I adsorption isotherms without saturation plateaus for both shale and coal samples from the Shanxi Formation (Figure 4). Comparative analysis of LPCO2A curves demonstrates distinct adsorption characteristics between coal and shale, primarily manifested in their maximum CO2 adsorption capacities: coal samples exhibit an average adsorption capacity of 20.18 cm3/g, significantly exceeding the shale average of 2.13 cm3/g, indicating more developed micropores in coal. NLDFT model-based calculations of LPCO2A data yielded pore size distribution curves (0.3–1.5 nm range) and structural parameters (Table 2). Coal samples display micro-PVs and SSAs ranging from 0.038–0.071 cm3/g and 128.01–242.99 m2/g, respectively, with mean values of 0.061 cm3/g and 207.54 m2/g. In contrast, shale samples show markedly lower values (0.004–0.008 cm3/g and 14.49–26.99 m2/g; mean: 0.007 cm3/g and 21.76 m2/g), with average pore diameters concentrated at 0.349 nm. The micro-PV and SSA of coal and rock are higher than those of shale, indicating that, compared with shale, coal and rock have more abundant micropores developed. The pore size distribution characteristics based on LPCO2A P show that the micropore development of shale and coal rock samples generally presents a multi-peak pattern, with peak distributions ranging from 0.3–0.4 nm, 0.4–0.7 nm, and 0.8–0.9 nm (Figure 5). Notably, when the pore diameter is >1.0 nm, the increase rate of micro-PV and SSA slows down significantly, and the contents of PV and surface area corresponding to this pore diameter are both very small. Due to the relatively well-developed micropores in the coal sample and the large SSA of these pores, a large number of adsorption points can be provided for the occurrence of gas.
Figure 4.
LPCO2A curves of coals and shales. (a) Coal samples, (b) shale samples.
Figure 5.
Pore size distribution curves of coal and shale based on LPCO2A. (a) PV distribution of the coal samples, (b) PV distribution of the shale samples, (c) SSA distribution of the coal samples, (d) SSA distribution of the shale samples.
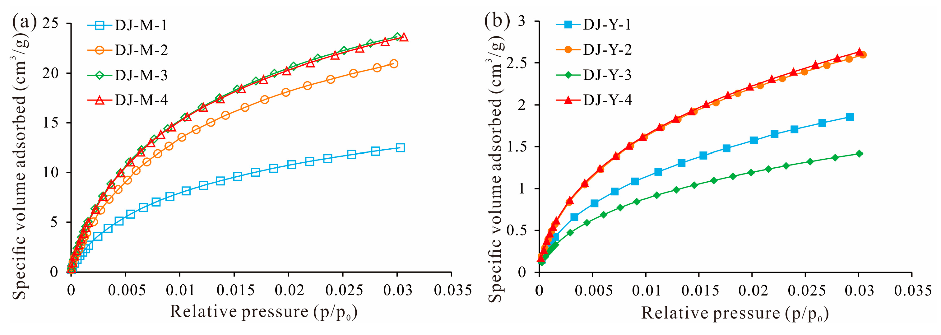
4.3.2. LTN2A
LTN2A isotherms of Shanxi Formation shale and coal samples exhibit characteristic “inverted S shapes” (Figure 6). Following IUPAC classification [33,34,35], shale samples display Type IV isotherms, indicating the presence of micropores coupled with substantial mesopores and macropores. Significant adsorption capacity differences are observed: coal samples exhibit an average N2 adsorption capacity of 3.55 cm3/g, markedly lower than shale’s 12.54 cm3/g, demonstrating superior mesopore development in shale. The isotherms progress through three distinct phases with increasing relative pressure (P/P0): monolayer adsorption (P/P0 = 0–0.1): slow convex-curve adsorption with monolayer saturation achieved at P/P0 ≈ 0.1, transitioning to multilayer adsorption. Multilayer adsorption (P/P0 = 0.3–0.9): gradual adsorption increase following BET theory. Capillary condensation (P/P0 = 0.9–1): rapid uptake without plateau near saturation pressure (P/P0 = 1), indicative of macropore/microfracture-facilitated gas condensation. A pronounced hysteresis loop emerges at P/P0 = 0.45–0.9 (Figure 6), attributable to irreversible capillary condensation in mesopores (2–50 nm). This hysteresis behavior aligns with Type H3 loops in IUPAC nomenclature, suggesting slit-shaped pores formed by plate-like particle aggregates in shale.
Figure 6.
LTN2A curves of coal and shale. (a) Coal samples, (b) shale samples.
According to the classification of hysteresis loops by IUPAC [35], the coal and rock conform to the morphology of the H3 type hysteresis loop, which changes slowly at both medium and low relative pressures, and the adsorption capacity increases rapidly at high relative pressures. The vertex of the curve is relatively sharp, indicating that the pore morphology is parallel plate pores with open ends and slit-shaped pores. Furthermore, when the relative pressure is 0.5, the desorption curve has a sharply decreasing inflection point, indicating that a certain number of “ink bottle”-shaped pores have developed in the coal rock. The hysteresis rings of the shale sheet are of type H3, H4, or a mixture of both, indicating that the shale has developed pores in various forms such as wedge, slit, and parallel plate, and the combinations of pore morphology types are diverse.
Non-local density functional theory (NLDFT) analysis of LTN2A data reveals distinct pore structure characteristics between coal and shale samples within the 1.06–78 nm pore size range (Figure 7; Table 2) [36,37]. Coal samples exhibit DFT PVs and SSAs of 0.002–0.009 cm3/g and 1.38–5.76 m2/g, respectively, with mean values of 0.005 cm3/g and 3.14 m2/g. The average pore diameter of coal measures 2.18 nm. In contrast, shale samples demonstrate significantly higher pore structure parameters: PVs range from 0.013–0.023 cm3/g (mean: 0.017 cm3/g), SSAs from 8.09–22.89 m2/g (mean: 12.73 m2/g), and average pore diameter is 1.23 nm. The DFT PV and SSA of shale are higher than those of coal and rock, indicating that, compared with coal and rock, shale has a more abundant mesopore development. The PV and SSA distribution curves of shale and coal rock samples in the study area with pore size are shown in Figure 7. With the increase in pore size, the PV at this stage decreases significantly. When the pore diameter is greater than 10 nm, the change in PV is relatively small, indicating that the proportion of pores at 10 nm is relatively high.
Figure 7.
Pore size distribution curves of coal and shale based on LTN2A. (a) PV distribution of the coal samples, (b) PV distribution of the shale samples, (c) SSA distribution of the coal samples, (d) SSA distribution of the shale samples.
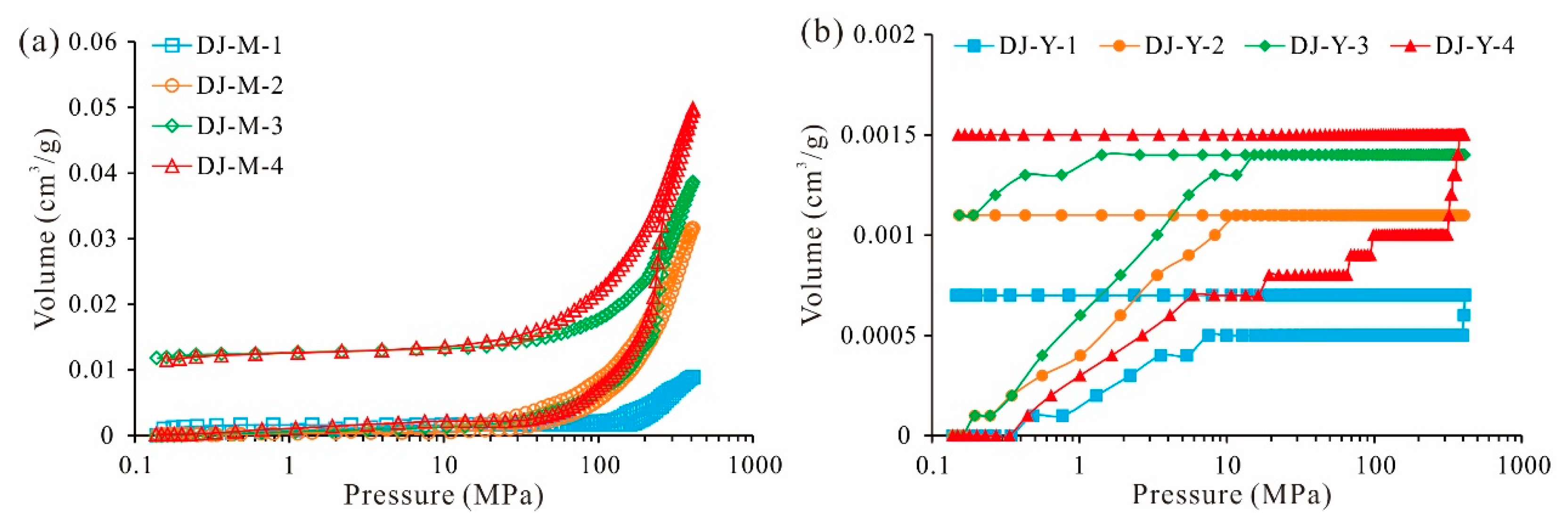
4.3.3. HPMI
Figure 8 illustrates mercury intrusion–extrusion curves for shale and coal samples, whose morphological features reflect pore connectivity and throat size distribution [34]. The mercury entry and exit curves of coal and rock have the characteristics of being gentle at the front end and middle and steep at the back end, indicating that there are abundant nanoscale micropores and some mesopores in the coal and rock samples. The mercury intrusion–extrusion curve of shale has the characteristics of being gentle at both ends and steep in the middle, indicating that there are abundant nanoscale mesopores, with some microfractures or large-scale pores in the shale samples. The mercury removal efficiency of high-pressure mercury compression experiments is mainly related to the morphology of pores and throat channels developed in shale. Coal and rock samples have a relatively high organic matter content and usually develop a large number of micro–nanoscale pores and throat channels. The capillary force in the relatively fine and large throat channels is weak, which is conducive to the movement of pore fluids, thereby affecting the higher mercury removal efficiency. Shale samples have a relatively low organic matter content and usually develop a certain amount of nanoscale pores and throat channels. The capillary force in the relatively small throat channels is strong, which is not conducive to the movement of pore fluids, thereby manifested as a lower mercury removal efficiency.
Figure 8.
Mercury intrusion–extrusion curves of coal and shale by HPMI. (a) Coal samples, (b) shale samples.
Based on the Washburn equation [38], the pore size distribution curves and pore structure parameters of shale and coal rock samples in the pore size range of 3 nm~10 μm were calculated using HPMI experimental data (Table 2). The PV and SSA of coal rock samples are 0.009–0.050 cm3/g and 5.55–30.65 m2/g, with mean values of 0.032 cm3/g and 19.72 m2/g, respectively. The PV and SSA of shale samples are 0.001–0.002 cm3/g and 0.01–0.56 m2/g, with mean values of 0.001 cm3/g and 0.20 m2/g, respectively. The PV and SSA of shale are lower than those of coal rock, indicating that coal rock has more abundant large pores and fractures compared to shale. The distribution curves of PV and SSA with pore size for coal and shale samples in the research area are shown in Figure 9. The peak of mercury injection occurs within the range of less than 30 nm, and the mercury saturation approaching 80% begins to enter in large quantities only when the pore size is less than 30 nm, indicating that microscale large pores and fractures are mainly developed in coal rocks.
Figure 9.
Pore size distribution curves of coal and shale Based on HPMI. (a) PV distribution of the coal samples, (b) PV distribution of the shale samples, (c) SSA distribution of the coal samples, (d) SSA distribution of the shale samples.
Table 2.
Pore structure parameters of the coal and shale samples.
Table 2.
Pore structure parameters of the coal and shale samples.
| Sample ID | Lithology | LPCO2A | LTN2A | HPMI | ||||||
|---|---|---|---|---|---|---|---|---|---|---|
| VDFT | SDFT | DCO2 | SBET | VDFT | SDFT | DN2 | VHPMI | SHPMI | ||
| (cm3/g) | (m2/g) | (nm) | (m2/g) | (cm3/g) | (m2/g) | (nm) | (cm3/g) | (m2/g) | ||
| DJ-M-1 | Coal | 0.038 | 128.01 | 0.524 | 5.08 | 0.009 | 5.76 | 1.22 | 0.009 | 5.55 |
| DJ-M-2 | Coal | 0.064 | 216.74 | 0.479 | 1.20 | 0.002 | 1.38 | 4.887 | 0.032 | 19.39 |
| DJ-M-3 | Coal | 0.071 | 242.99 | 0.501 | 1.96 | 0.003 | 2.35 | 1.326 | 0.039 | 23.29 |
| DJ-M-4 | Coal | 0.071 | 242.42 | 0.501 | 2.23 | 0.004 | 3.08 | 1.273 | 0.050 | 30.65 |
| Average | 0.061 | 207.539 | 0.501 | 2.618 | 0.005 | 3.143 | 2.177 | 0.032 | 19.720 | |
| DJ-Y-1 | Shale | 0.006 | 19.14 | 0.349 | 10.68 | 0.018 | 11.73 | 1.220 | 0.001 | 0.25 |
| DJ-Y-2 | Shale | 0.008 | 26.43 | 0.548 | 7.45 | 0.013 | 8.09 | 1.220 | 0.001 | 0.01 |
| DJ-Y-3 | Shale | 0.004 | 14.49 | 0.349 | 7.13 | 0.014 | 8.20 | 1.273 | 0.001 | 0.01 |
| DJ-Y-4 | Shale | 0.008 | 26.99 | 0.349 | 20.01 | 0.023 | 22.89 | 1.220 | 0.002 | 0.56 |
| Average | 0.007 | 21.762 | 0.399 | 11.315 | 0.017 | 12.729 | 1.233 | 0.001 | 0.205 | |
4.4. CH4 Isothermal Adsorption Characteristics
High-pressure methane isothermal adsorption experiments elucidate the CH4 adsorption capacity on pore surfaces. The adsorption isotherms (Figure 10) exhibit Type I behavior according to IUPAC classification [35], characteristic of monolayer adsorption dominated by micropore filling. This physisorption mechanism aligns with the Langmuir model assumptions of homogeneous surface coverage and finite adsorption sites [25,26].
Figure 10.
CH4 isothermal adsorption curves of coal and shale. (a) Coal samples, (b) shale samples.
The Langmuir equation is expressed as:
where P represents equilibrium pressure, MPa, VL denotes Langmuir volume (monolayer saturation capacity), cm3/g, and PL corresponds to Langmuir pressure (half-saturation threshold), MPa.
The fitting results of methane adsorption using the Langmuir model are shown in Table 3. It can be seen that the fitting degree is high, indicating that the Langmuir model can well describe the adsorption behavior of shale and coal rock samples. The VL of coal rock samples ranges from 21.75 to 30.29 cm3/g, average of 26.57 cm3/g. The PL ranges from 3.47 to 3.59 MPa, average of 3.52 MPa. The VL of shale samples is 1.04–2.71 cm3/g, average of 1.92 cm3/g. The PL is 2.81–5.54 MPa, with an average of 3.75 MPa. The VL of shale samples is relatively low, but the PL is the highest, indicating that their adsorption capacity for gases is the weakest and they struggle to adsorb gases under low pressure conditions. The high VL of coal rock samples indicates their strongest adsorption ability for gases.
Table 3.
Langmuir parameters of coal and shale.
5. Discussion
5.1. Quantitative Characterization of Full-Scale Pores in Shale and Coal
According to the joint characterization results of PV and pore size distribution of shale and coal rock samples in the research area (Figure 11), the PV distribution type of coal rock is mainly dominated by single peak microporous dominant type, showing a microporous single peak state. Shale samples exhibit multi-modal characteristics (Figure 11), with micropores, mesopores, and macropores all contributing to the total PV (Figure 11). According to Table 4 and Figure 12a, the total PV of coal rock samples ranges from 0.047 to 0.077 cm3/g (average 0.067 cm3/g). Among them, micropores mainly contribute to the PV, followed by mesopores and macropores, with less contribution from both. The micro-PV ranges from 0.038 to 0.071 cm3/g (average 0.061 cm3/g), accounting for 80.3% to 95.5% (average 90.6%) of the total PV. Secondly, mesopores have a PV ranging from 0.002 to 0.008 cm3/g (average 0.004 cm3/g), accounting for 3.0% to 16.1% (average 6.8%) of the total PV. Macropores are the smallest group, with a volume ranging from 0.001 to 0.002 cm3/g (average 0.002 cm3/g), accounting for 1.5% to 3.6% (average 2.6%) of the total PV. The total PV of shale samples ranges from 0.017 to 0.026 cm3/g (with an average of 0.021 cm3/g), among which the PV is mainly contributed by mesopores, followed by micropores and macropores, with less contribution from both. The mesoporous volume ranges from 0.011 to 0.016 cm3/g (average 0.014 cm3/g), accounting for 56.3% to 69.9% (average 63.4%) of the total PV. Secondly, micropores have PVs ranging from 0.004 to 0.009 cm3/g (average 0.007 cm3/g), accounting for 25.8% to 38.4% (average 31.9%) of the total PV. Macropores can be ignored.
Figure 11.
Full-Pore size distribution characteristics of PV and specific surface area of coal and shale. (a) PV distribution of the coal samples, (b) PV distribution of the shale samples, (c) SSA distribution of the coal samples, (d) SSA distribution of the shale samples.
Table 4.
Statistical results of the PV and SSA of coal and shale.
Figure 12.
Proportion of PV and SSA of different scales in coal and shale. (a) Proportion of PV, (b) Proportion of SSA.
According to the joint characterization results of pore SSA and pore size distribution of shale and coal rock samples in the research area (Figure 11), the distribution types of pore SSA in coal rock and shale are mainly dominated by a single peak microporous dominant type, showing a microporous single peak state. According to Table 4 and Figure 12b, the total pore SSA of coal rock samples ranges from 131.30 to 244.34 m2/g (average 209.26 cm2/g). Among them, the pore SSA is mainly contributed by micropores, followed by mesopores and macropores, and their contributions are ignored. The SSA of micropores ranges from 128.18 to 243.06 m2/g (average 207.61 m2/g), accounting for 97.6% to 99.6% (average 99.0%) of the total pore SSA. The total pore SSA of shale samples ranges from 19.13 to 38.14 m2/g (average 28.77 m2/g), with micropores contributing the most to the pore SSA, followed by mesopores, and the contribution of macropores is ignored. The SSA of micropores ranges from 14.74 to 30.28 m2/g (average 22.83 m2/g), accounting for 75.1% to 84.3% (average 79.0%) of the total pore SSA. Next are mesopores, with a pore SSA ranging from 4.36 to 7.86 m2/g (average 5.93 m2/g), accounting for 15.7% to 24.9% (average 21.0%) of the total pore SSA. Macropores can be ignored.
In the transitional facies strata of the Shanxi Formation in the research area, the shale pore types are mainly organic pores and clay-mineral-related fractures, with both micropores and mesopores developed. Compared with marine shale, TOC has a greater impact on the development of micropores in transitional shale, because Type III kerogen cracking is more conducive to the formation of smaller diameter organic pores [39,40,41,42]. In shale with poor organic matter, clay has a promoting effect on the development of mesopores and macropores, because the mutual transformation between kaolinite, illite, and montmorillonite mixed layers is conducive to the formation of clay mineral pores. For coal rock, the pore characteristics of coal reservoirs are significantly better than shale, with organic matter pores as the dominant pore type and more developed micropores. The pore diameter is smaller, but the development density is higher than that of shale. This is due to the high TOC of coal rock, where organic matter accounts for the vast majority of the total volume, resulting in significantly smaller organic pore diameters than marine shale and transitional shale, with development at the micropore scale. However, it should be noted that, although both coal rock and shale are Type III organic matter, the content of vitreous groups in coal rock is higher, which is more conducive to pore formation. Therefore, the pore development in coal rock is denser than that in shale [26,40].
5.2. Differences in Adsorption Capacity Between Shale and Coal
The pore and fracture structure of coal rock and shale is the most direct factor controlling their adsorption capacity [42]. Previous studies have found a significant positive correlation between VL and micro-PV, as well as SSA, but a weak correlation with mesopores and macropores [43,44]. The main influencing factor on the maximum adsorption capacity of methane in coal rock and shale samples is the degree of development of micropores, which can provide a large number of adsorption sites for methane and a place for gas adsorption and occurrence. As shown in Figure 13, the adsorption capacity of coal rock for methane in the study area is 5–30 times that of shale reservoirs, with a significant difference between the two. Thanks to the abundant organic matter micropores and large SSA in coal rock, the adsorption capacity of coal reservoirs is high, with a VL ranging from 21.75 to 30.29 cm3/g, average of 26.57 cm3/g, and most exceeding 20 cm3/g. In shale reservoirs, on the one hand, the PV and SSA are small, and on the other hand, the organic matter content is low. Although shale contains a large amount of clay minerals, these clay minerals are hydrophilic. In the presence of water molecules in the formation conditions, water molecules occupy the majority of the adsorption sites of clay materials, which makes the presence of clay minerals unable to greatly improve the adsorption capacity of the reservoir, resulting in a lower adsorption capacity of shale compared to coal reservoirs. The VL of shale samples in the research area ranges from 1.04 to 2.71 cm3/g, average of 1.92 cm3/g. Comparing the shale and coal rock samples in the study area, the adsorption capacity of coal rock for methane is 8–29 times that of shale reservoirs, and there is a significant difference between the two (Figure 14). Thanks to the abundant organic matter micropores in coal and rock, which have a large SSA, micropores can provide a large number of adsorption sites for methane, providing a place for gas adsorption and occurrence.
Figure 13.
Comparison and analysis of the VL of coal and shale.
Figure 14.
Relationship between the VL and pore structure parameters of coals and shales. (a) VL vs. micropore SSA, (b) VL vs. micropore PV.
5.3. Comparative Analysis of Coal and Shale Reservoir Characteristics
By comparing the differences in pore structure between shale and coal rock, it can be found that shale has a richer variety of pore types and stronger heterogeneity than coal rock. Coal rock is mainly composed of organic matter components, with less ash content. The organic matter components are mainly composed of vitrinite (Table 1), which contains a large number of micropores below 2 nm. This is the main reason why the micropore content in coal rock is much higher than that in shale (Table 3). At the same time, the fewer inorganic matter components make the pore system more accessible, which is conducive to fluid flow in the pore network. The composition of shale material is more complex compared to coal rock (Table 4), and the internal connectivity of the organic matter pore network is good. However, due to the sealing of peripheral inorganic minerals, the organic matter pores lack pathways to connect with the outside, resulting in a decrease in the overall internal pore connectivity of shale. The research results on closed pores of over-mature marine shale indicate that closed pore systems are mostly related to organic matter pores, mainly formed by the closure of organic matter pore networks by brittle inorganic minerals [45]. Sun et al. (2020) reconstructed the three-dimensional pore network of over-mature marine shale using field emission scanning electron microscopy, which also showed that the organic matter pore network had good pore connectivity [46]. However, the sealing of inorganic minerals around the organic matter reduced the overall pore connectivity of the shale matrix. Mastalerz et al. (2012) also found that the pore connectivity of shale is worse than that of coal rock through small angle neutron scattering experiments after injecting deuterated methane into the sample [47].
The average TOC content of the Shanxi Formation shale reservoir in the research area is 2.66%, and the “honeycomb-like” organic matter pores are developed, which is conducive to methane diffusion and seepage. The shale reservoir has well-developed micropores, mesopores, and macropores, with mesopores being the main type (accounting for an average PV of 63.4%). The average PV of micropores and macropores is 31.9% and 4.7%, respectively. Micropores are the main contributors to its SSA (with an average proportion of 79%), while mesopores account for 21% of its SSA (Table 5). The pore types of coal rock are mainly micropores, followed by mesopores. Macropores are not developed, and the pore structure is worse, which is not conducive to methane permeation. However, the pore SSA of the coal rock reservoir in the research area is more than 10 times that of the Longmaxi Formation shale reservoir (Table 5) and, compared to shale, the micropore structures within coal matrices offer greater availability of sorption sites for methane molecules. Through comparative analysis, it was found that the pore connectivity of the Shanxi Formation shale reservoir in the study area is better than that of the coal rock reservoir in the study area. Within the pore size range of 1–100 nm, the proportion of connected pores in the former is more than twice that of the latter, and the difference between the two is more significant when the pore size is less than 40 nm. There is a natural barrier for seepage in coal rock reservoirs. Comprehensive analysis suggests that the cleavage and fractures of coal rock reservoirs are filled with minerals, and the pores are mainly micropores with poor connectivity, which is the direct cause of their extremely low porosity and permeability. The reservoir properties and pore structure of coal rock reservoirs are poor. Although they have developed cleavage and fractures, they are mostly filled with calcite and other materials. The cleavage fractures form weak planes that are prone to fracture and opening in coal rock. Therefore, the brittleness of coal rock reservoirs is similar to that of shale. Based on the latest understanding of coal rock reservoirs, the concept of ultra-large-volume fracturing should be adopted for deep coal reservoirs. The strength of various fracturing parameters should be higher than that of shale reservoirs to promote more cleavage opening and even cutting of coal matrix to form a complex and ultra-dense fracture network [43,48]. More small-sized proppants should be used to effectively support the multi-level and multi-scale fracture network, establishing an optimized matrix pore cleavage fracture network multi-level secondary microfine-fracture network multi-scale main fracture transport “channel” that conforms to reservoir properties, thereby reducing the difficulty of methane migration from micropores to fractures, increasing the range and depth of fracturing, and achieving a breakthrough in the “natural barrier” of seepage.
Table 5.
Comprehensive characteristics of transitional shale and coal reservoirs in the Shanxi Formation.
6. Conclusions
- (1)
- The average TOC content of shale in the Shanxi Formation of the research area is 2.66%, and the microscopic components are mainly composed of vitrinite and inertinite. The mineral composition is high in quartz and clay minerals, with a small amount of pyrite and carbonate minerals present. The average TOC content of coal rock is 74.22%, and the maceral compositions are mainly composed of vitrinite, with clay minerals and organic matter carbon being the main components.
- (2)
- Organic pores, inorganic pores, and microcracks are all developed in the shale of the Shanxi Formation in the research area. Compared with shale, coal rock mainly develops organic pores, intergranular pores, cleavage, and tectonic fractures, and observations reveal that cleats are mineral-filled. The PV of Shanxi Formation coal rock in the research area is mainly contributed by micropores, with less contribution from mesopores and macropores. The PV of shale is mainly contributed by mesopores, followed by micropores, and macropores are underdeveloped. The SSA of coal rock and shale pores is mainly contributed by micropores.
- (3)
- The adsorption capacity of Shanxi Formation coal rock for methane in the study area is 8–29 times that of shale reservoirs, indicating that its adsorbed gas content is much higher than that of shale. Mainly because coal rock contains a large number of organic matter micropores with a large SSA, micropores can provide a large number of adsorption sites for methane, providing a place for gas adsorption and occurrence.
- (4)
- Based on the understanding of reservoir characteristics and pore structures in the Shanxi Formation coal seams within the study area, a strategic shift in fracturing methodology was implemented. Through the application of targeted, ultra-large-scale volume fracturing technology, significant enhancement in CBM development outcomes has been achieved.
Author Contributions
Conceptualization, M.O. and T.W.; methodology, B.W. and T.W.; formal analysis, T.W. and Z.D.; investigation, W.T. and X.Y.; writing—original draft preparation, M.O. and T.W.; writing—review and editing, M.O. and T.W.; supervision, M.Y. and C.Y.; project administration, J.Y. and B.W.; funding acquisition, X.Y. and Z.D. All authors have read and agreed to the published version of the manuscript.
Funding
This research was funded by the Chongqing Key Project of Technological Innovation and Application Development hnology Project funder grant number CSTB2024TIAD-KPX0096, and the Chongqing Natural Science Foundation Innovation and Development Joint Funfunder grant number CSTB2023NSCQ-LZX0078, the China Petroleum Science and Technology Project funder grant number 2024DJ23, the China Petroleum Science and Technology Project funder grant number 2023ZZ18. And The APC was funded by 2024DJ23 and 2023ZZ18.
Data Availability Statement
The original contributions presented in this study are included in the article. Further inquiries can be directed to the corresponding authors.
Acknowledgments
This study was jointly supported by the China Petroleum Science and Technology Project (2024DJ23), the China Petroleum Science and Technology Project (2023ZZ18), the Chongqing Key Project of Technological Innovation and Application Development (CSTB2024TIAD-KPX0096), and the Chongqing Natural Science Foundation Innovation and Development Joint Fund (CSTB2023NSCQ-LZX0078).
Conflicts of Interest
Authors Mukun Ouyang, Bo Wang, Wei Tang, Maonan Yu, Chunli You, and Jianghai Yang are employed by the Chongqing Division of Southwest Oil and Gas Field Company; Authors Tao Wang and Ze Deng are employed by the PetroChina Research Institute of Petroleum Exploration & Development. The authors declare that the research was conducted in the absence of any commercial or financial relationships that could be construed as a potential conflict of interest.
References
- Li, Y.; Zhou, D.H.; Wang, W.H.; Jiang, T.X.; Xue, Z.J. Development of Unconventional Gas and Technologies Adopted in China. Energy Geosci. 2020, 1, 55–68. [Google Scholar] [CrossRef]
- Zou, C.; Zhang, G.; Yang, Z.; Tao, S.; Hou, L.; Zhu, R.; Yuan, X.; Ran, Q.; Li, D.; Wang, Z. Concepts, Characteristics, Potential and Technology of Unconventional Hydrocarbons: On Unconventional Petroleum Geology. Pet. Explor. Dev. 2013, 40, 413–428. [Google Scholar] [CrossRef]
- Zou, C.; Yang, Z.; He, D.; Wei, Y.; Li, J.; Jia, A.; Chen, J.; Zhao, Q.; Li, Y.; Li, J.; et al. Theory, Technology and Prospects of Conventional and Unconventional Natural Gas. Pet. Explor. Dev. 2018, 45, 604–618. [Google Scholar] [CrossRef]
- Li, Z.; Liu, D.; Cai, Y.; Ranjith, P.G.; Yao, Y. Multi-Scale Quantitative Characterization of 3-D Pore-Fracture Networks in Bituminous and Anthracite Coals Using FIB-SEM Tomography and X-Ray μ-CT. Fuel 2017, 209, 43–53. [Google Scholar] [CrossRef]
- Zhou, S.; Liu, D.; Cai, Y.; Yao, Y.; Li, Z. 3D Characterization and Quantitative Evaluation of Pore-Fracture Networks of Two Chinese Coals Using FIB-SEM Tomography. Int. J. Coal Geol. 2017, 174, 41–54. [Google Scholar] [CrossRef]
- Wei, Q.; Li, X.; Zhang, J.; Hu, B.; Zhu, W.; Liang, W.; Sun, K. Full-size pore structure characterization of deep-buried coals and its impact on methane adsorption capacity: A case study of the Shihezi Formation coals from the Panji Deep Area in Huainan Coalfield, Southern North China. J. Pet. Sci. Eng. 2019, 173, 975–989. [Google Scholar] [CrossRef]
- Chen, S.; Tao, S.; Tang, D.; Xu, H.; Li, S.; Zhao, J.; Jiang, Q.; Yang, H. Pore Structure Characterization of Different Rank Coals Using N2 and CO2 Adsorption and Its Effect on CH4 Adsorption Capacity: A Case in Panguan Syncline, Western Guizhou, China. Energy Fuels 2017, 31, 6034–6044. [Google Scholar] [CrossRef]
- Chalmers, G.R.L.; Bustin, R.M. The Organic Matter Distribution and Methane Capacity of the Lower Cretaceous Strata of Northeastern British Columbia, Canada. Int. J. Coal Geol. 2007, 70, 223–239. [Google Scholar] [CrossRef]
- Wu, J.; Wang, H.; Shi, Z.; Wang, Q.; Zhao, Q.; Dong, D.; Li, S.; Liu, D.; Sun, S.; Qiu, Z. Favorable Lithofacies Types and Genesis of Marine-Continental Transitional Black Shale: A Case Study of Permian Shanxi Formation in the Eastern Margin of Ordos Basin, NW China. Pet. Explor. Dev. 2021, 48, 1315–1328. [Google Scholar] [CrossRef]
- Song, X.; Lu, X.; Shen, Y.; Guo, S.; Guan, Y. A modified supercritical Dubinin–Radushkevich model for the accurate estimation of high-pressure methane adsorption on shales. Int. J. Coal Geol 2018, 193, 1–15. [Google Scholar] [CrossRef]
- Shang, F.; Zhu, Y.; Hu, Q.; Zhu, Y.; Wang, Y.; Du, M.; Liu, R.; Han, Y. Characterization of methane adsorption on shale of a complex tectonic area in Northeast Guizhou, China: Experimental results and geological significance. J. Nat. Gas Sci. Eng. 2020, 84, 103676. [Google Scholar] [CrossRef]
- Pszonka, J.; Schulz, B. SEM Automated Mineralogy applied for the quantification of mineral and textural sorting in submarine sediment gravity flows. Gospod. Surowcami Miner. Miner. Resour. Manag. 2022, 38, 105–131. [Google Scholar]
- Zheng, H.; Yang, F.; Guo, Q.; Pan, S.; Jiang, S.; Wang, H. Multi-scale pore structure, pore network and pore connectivity of tight shale oil reservoir from Triassic Yanchang Formation, Ordos Basin. J. Nat. Gas Sci. Eng. 2022, 212, 110283. [Google Scholar] [CrossRef]
- Yan, J.; Meng, Z.; Zhang, K.; Yao, H.; Hao, H. Pore distribution characteristics of various rank coals matrix and their influences on gas adsorption. J. Pet. Sci. Eng. 2020, 189, 107401. [Google Scholar] [CrossRef]
- He, Q.; Chen, S.; Li, S.; Guo, B.; Lu, J.; Li, Y.; Li, X.; Zhao, L.; Ma, Z. Organic geochemical characteristics and hydrocarbon generation mechanism of marine-continental transitional organic-rich shale: A case study from the Shanxi Formation in the eastern margin of the Ordos Basin. J. Pet. Sci. Eng. 2022, 219, 11116. [Google Scholar] [CrossRef]
- Li, Y.; Tang, D.; Wu, P.; Niu, X.; Wang, K.; Qiao, P.; Wang, Z. Continuous unconventional natural gas accumulations of Carboniferous-Permian coal-bearing strata in the Linxing area, northeastern Ordos Basin, China. J. Nat. Gas Sci. Eng. 2016, 36, 314–327. [Google Scholar] [CrossRef]
- Ahmadi, S.; Khormali, A.; Razmjooie, A. Experimental investigation on separation of water in crude oil emulsions using an oil-soluble demulsifier. Iran. J. Chem. Chem. Eng. 2023, 42, 2332–2343. [Google Scholar]
- Kuang, L.; Dong, D.; He, W.; Wen, S.; Sun, S.; Li, S.; Qiu, Z.; Liao, X.; Li, Y.; Wu, J.; et al. Geological characteristics and development potential of transitional shale gas in the east margin of the Ordos Basin, NW China. Pet. Explor. Dev. 2020, 47, 435–446. [Google Scholar] [CrossRef]
- Niu, X.; Fan, L.; Yan, X.; Zhao, G.; Zhang, H.; Jing, X.; Zhang, M. Enrichment conditions and resource potential of coal-rock gas in Ordos Basin, NW China. Pet. Explor. Dev. 2024, 51, 972–985. [Google Scholar] [CrossRef]
- Wang, Y.; Liu, L.; Zheng, S.; Luo, Z.; Sheng, Y.; Wang, X. Full-scale pore structure and its controlling factors of the Wufeng-Longmaxi shale, southern Sichuan Basin, China: Implications for pore evolution of highly overmature marine shale. J. Nat. Gas Sci. Eng. 2019, 67, 134–146. [Google Scholar] [CrossRef]
- Wu, Z.; He, S.; Li, X.; Liu, X.; Zhai, G.; Huang, Z.; Yang, W. Comparative study on pore structure characteristics of marine and transitional facies shales: A case study of the Upper Permian Longtan Formation and Dalong Formation in the Lower Yangtze area, south China. J. Pet. Sci. Eng. 2022, 215, 110578. [Google Scholar] [CrossRef]
- Wang, J.Y.; Guo, S.B. Study on the Relationship between Hydrocarbon Generation and Pore Evolution in Continental Shale from the Ordos Basin, China. Pet. Sci. 2021, 18, 1305–1322. [Google Scholar] [CrossRef]
- Shan, C.; Zhao, W.; Wang, F.; Zhang, K.; Feng, Z.; Guo, L.; Ma, X.; Liao, T. Nanoscale Pore Structure Heterogeneity and Its Quantitative Characterization in Chang7 Lacustrine Shale of the Southeastern Ordos Basin, China. J. Pet. Sci. Eng. 2020, 187, 106754. [Google Scholar] [CrossRef]
- Liang, L.; Xiong, J.; Liu, X. An Investigation of the Fractal Characteristics of the Upper Ordovician Wufeng Formation Shale Using Nitrogen Adsorption Analysis. J. Nat. Gas Sci. Eng. 2015, 27, 402–409. [Google Scholar] [CrossRef]
- Thommes, M.; Kaneko, K.; Neimark, A.V.; Olivier, J.P.; Rodriguez-Reinoso, F.; Rouquerol, J.; Sing, K.S.W. Physisorption of Gases, with Special Reference to the Evaluation of Surface Area and Pore Size Distribution (IUPAC Technical Report). Pure Appl. Chem. 2015, 87, 1051–1069. [Google Scholar] [CrossRef]
- Loucks, R.G.; Reed, R.M.; Ruppel, S.C.; Hammes, U. Spectrum of Pore Types and Networks in Mudrocks and a Descriptive Classification for Matrix-Related Mudrock Pores. AAPG Bull. 2012, 96, 1071–1098. [Google Scholar] [CrossRef]
- Yang, R.; He, S.; Yi, J.; Hu, Q. Nano-Scale Pore Structure and Fractal Dimension of Organic-Rich Wufeng-Longmaxi Shale from Jiaoshiba Area, Sichuan Basin: Investigations Using FE-SEM, Gas Adsorption and Helium Pycnometry. Mar. Pet. Geol. 2016, 70, 27–45. [Google Scholar] [CrossRef]
- GB/T 21650.3-2011; Pore Size Distribution and Porosity of Solid Materials by Mercury Porosimetry and Gas Adsorption-Part 3: Analysis of Micropores by Gas Adsorption. China Quality and Standards Publishing & Media Co., Ltd.: Beijing, China, 2011.
- GB/T 21650.2-2008; Pore Size Distribution and Porosity of Solid Materials by Mercury Porosimetry and Gas Adsorption-Part 2: Analysis of Mesopores and Macropores by Gas Adsorption. China Quality and Standards Publishing & Media Co., Ltd.: Beijing, China, 2008.
- GB/T 21650.1-2008; Pore Size Distribution and Porosity of Solid Materials by Mercury Porosimetry and Gas Adsorption-Part 1: Mercury Porosimetry. China Quality and Standards Publishing & Media Co., Ltd.: Beijing, China, 2008.
- Zhou, S.; Yan, G.; Xue, H.; Guo, W.; Li, X. 2D and 3D Nanopore Characterization of Gas Shale in Longmaxi Formation Based on FIB-SEM. Mar. Pet. Geol. 2016, 73, 174–180. [Google Scholar] [CrossRef]
- Evans, R.; Marconi, U.M.B.; Tarazona, P. Capillary condensation and adsorption in cylindrical and slit-like pores. J. Chem. Soc. 1986, 82, 1763–1787. [Google Scholar] [CrossRef]
- Sing, K.S.W. Reporting physisorption data for gas/solid systems with special reference to the determination of surface area and porosity (recommendations 1984). Pure Appl. Chem. 1985, 57, 603–619. [Google Scholar] [CrossRef]
- Wang, T.; Tian, F.; Deng, Z.; Hu, H. The Characteristic Development of Micropores in Deep Coal and Its Relationship with Adsorption Capacity on the Eastern Margin of the Ordos Basin, China. Minerals 2023, 13, 302. [Google Scholar] [CrossRef]
- IUPAC (International Union of Pure and Applied Chemistry). Physical chemistry division commission on colloid and surface chemistry, subcommittee on characterization of porous solids: Recommendations for the characterization of porous solids (technical report). Pure Appl. Chem. 1994, 66, 1739–1758. [Google Scholar] [CrossRef]
- Gelb, L.D.; Gubbins, K.E.; Radhakrishnan, R.; Sliwinska-Bartkowiak, M. Phase separation in confined systems. Rep. Prog. Phys. 1999, 62, 1573–1659. [Google Scholar] [CrossRef]
- El-Merraoui, M.; Aoshima, M.; Kaneko, K. Micropore size distribution of activated carbon fiber using the density functional theory and other methods. Langmuir 2000, 16, 4300–4304. [Google Scholar] [CrossRef]
- Washburn, E.W. Note on a method of determining the distribution of pore sizes in a porous material. Proc. Natl. Acad. Sci. USA 1921, 15, 115–116. [Google Scholar] [CrossRef]
- Wang, T.; Deng, Z.; Hu, H.; Wang, H.; Jiang, Z.; Wang, D. Study on pore structure and multifractal characteristics of middle- and high-rank coals based on gas adsorption method: A case study of Benxi Formation in the eastern margin of Ordos Basin. Energy Fuels 2024, 38, 4102–4121. [Google Scholar] [CrossRef]
- Cao, T.; Song, Z.; Wang, S.; Xia, J. Characterization of Pore Structure and Fractal Dimension of Paleozoic Shales from the Northeastern Sichuan Basin, China. J. Nat. Gas Sci. Eng. 2016, 35, 882–895. [Google Scholar] [CrossRef]
- Wang, G.; Zhang, Q.; Zhu, R.; Tang, X.; Liu, K.; Jin, Z. Geological Controls on the Pore System of Lacustrine Unconventional Shale Reservoirs: The Triassic Chang 7 Member in the Ordos Basin, China. Geoenergy Sci. Eng. 2023, 221, 111139. [Google Scholar] [CrossRef]
- He, H.; Liu, P.; Xu, L.; Hao, S.; Qiu, X.; Shan, C.; Zhou, Y. Pore Structure Representations Based on Nitrogen Adsorption Experiments and an FHH Fractal Model: Case Study of the Block Z Shales in the Ordos Basin, China. J. Pet. Sci. Eng. 2021, 203, 108661. [Google Scholar] [CrossRef]
- Wang, T.; Deng, Z.; Hu, H.; Tian, F.; Ding, R.; Zhang, T.; Ma, Z.; Hou, S.; Li, X.; Dai, R.; et al. Pore structure and fractal characteristics of transitional shales with different lithofacies from the eastern margin of the Ordos Basin. Energy Sci Eng. 2023, 11, 3979–4000. [Google Scholar] [CrossRef]
- Liu, J.; Lu, D.; Li, P. Nano-Scale Dual-Pore-Shape Structure and Fractal Characteristics of Transitional Facies Shale Matrix. J. Nat. Gas Sci. Eng. 2019, 68, 102907. [Google Scholar] [CrossRef]
- Deng, Z.; Wang, H.; Jiang, Z.; Sun, M.; Wu, Z.; Xu, Y.; Ke, Y. Pore structure differences between shale and coal and their gas migration mechanisms. Nat. Gas Ind. 2022, 42, 37–49. [Google Scholar]
- Sun, M.; Zhang, L.; Hu, Q.; Pan, Z.; Yu, B.; Sun, L.; Bai, L.; Fu, H.; Zhang, Y.; Zhang, C.; et al. Multiscale connectivity characterization of marine shales in southern China by fluid intrusion, small-angle neutron scattering (SANS), and FIB-SEM. Mar. Pet. Geol. 2020, 112, 104101. [Google Scholar] [CrossRef]
- Mastalerz, M.; He, L.; Melnichenko, Y.; Rupp, J. Porosity of coal and shale: Insights from gas adsorption and SANS/USANS techniques. Energy Fuels 2012, 26, 5109–5120. [Google Scholar] [CrossRef]
- Hu, C.; Tan, J.; Lu, Q.; Zhang, Y. Evolution of organic pores in Permian low maturity shales from the Dalong Formation in the Sichuan Basin: Insights from a thermal simulation experiment. Gas Sci. Eng. 2024, 121, 205166. [Google Scholar] [CrossRef]
Disclaimer/Publisher’s Note: The statements, opinions and data contained in all publications are solely those of the individual author(s) and contributor(s) and not of MDPI and/or the editor(s). MDPI and/or the editor(s) disclaim responsibility for any injury to people or property resulting from any ideas, methods, instructions or products referred to in the content. |
© 2025 by the authors. Licensee MDPI, Basel, Switzerland. This article is an open access article distributed under the terms and conditions of the Creative Commons Attribution (CC BY) license (https://creativecommons.org/licenses/by/4.0/).













