New Method for Calculating Rock Compressibility, Dynamic Reserves, and Aquifer Size for Fractured–Vuggy Reservoirs with Bottom Aquifer
Abstract
1. Introduction
2. The Establishment of the Material Balance Equation
2.1. No Water Invasion Stage
2.2. Water Invasion Stage
3. Calculation of Rock Compressibility, Dynamic Reserves, and Aquifer Size
3.1. Identification of Water Invasion Stage
3.2. Estimation of Rock Compressibility and Dynamic Reserves
- Set the value range of dynamic reserves and rock compressibility and give the corresponding initial value;
- Calculate the right-hand side of Equation (16) according to the pressure and rate data to obtain ;
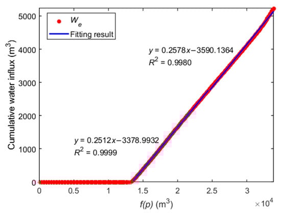
3.3. Calculation of Aquifer Size
4. Method Validation
5. Application to a Field Case
6. Conclusions
- (1)
- The method replaces the traditional averaged oil compressibility with a pressure-dependent power law model for oil volume factors. The error caused by large pressure drops is eliminated by fitting a segmented elastic-drive material balance equation;
- (2)
- Integrated parameter inversion simultaneously resolves rock compressibility, dynamic reserves, and aquifer size using only production data (oil/water rates, pressure), bypassing reliance on injection data or laboratory rock properties;
- (3)
- The PELT algorithm is employed to automate water invasion stage segmentation, objectively identifying no water invasion, initial water invasion, and full water invasion stages by analyzing average pressure-cumulative production slopes, minimizing subjective bias. Rock compressibility and dynamic reserves can be calculated using data from the no water invasion stage, and the aquifer size can be determined from the water invasion stage data;
- (4)
- Rock compressibility and dynamic reserves can be ascertained via the nonlinear least squares method with relative errors below 1%. The aquifer size obtained for the linear regression of the cumulative water influx against the pressure-dependent function yields an error of 1.19%;
- (5)
- Due to its connectivity and production regulation, the reservoir’s water body may not be entirely impacted by pressure, resulting in a gradual increase in the aquifer size until stabilization.
Author Contributions
Funding
Data Availability Statement
Conflicts of Interest
References
- Wang, X.; Wang, J.; Cao, Y.; Han, J.; Wu, K.; Liu, Y.; Liu, K.; Xie, M. Characteristics, formation mechanism and evolution model of Ordovician carbonate fault-controlled reservoirs in the Shunnan area of the Shuntuogole lower uplift, Tarim Basin, China. Mar. Petrol. Geol. 2022, 145, 105878. [Google Scholar] [CrossRef]
- Ostad, H.; Mohammadi, Z.; Raeisi, E.; Azimi, M.H.; Liso, I.S.; Parise, M. An integrated approach for characterization of a fractured-rock carbonate aquifer in the Zagros Region of Iran. J. Hydrol. 2024, 640, 131681. [Google Scholar] [CrossRef]
- Wu, W.P.; Yang, M.; Ma, D.C.; Hou, J.R.; Liang, T.; Qu, M.; Tan, T.; Yang, B.; Ma, G.R. Towards in-depth profile control using s-MPG synergy with MSRG in fractured-vuggy carbonate reservoirs. Petrol. Sci. 2024, 22, 324–337. [Google Scholar] [CrossRef]
- Islamov, S.; Bondarenko, A.V.; Gabibov, A.F.; Mardashov, D. Polymer compositions for well killing operation in fractured reservoirs. In Advances in Raw Material Industries for Sustainable Development Goals; Taylor & Francis: London, UK, 2020. [Google Scholar] [CrossRef]
- Wu, Y.S.; Liu, H.H.; Bodvarsson, G.S. A triple-continuum approach for modeling flow and transport processes in fractured rock. J. Contam. Hydrol. 2004, 73, 145–179. [Google Scholar] [CrossRef]
- Arbogast, T.; Gomez, M.S.M. A discretization and multigrid solver for a Darcy-Stokes system of three dimensional vuggy porous media. Computat. Geosci. 2009, 13, 331–348. [Google Scholar] [CrossRef]
- Wu, Y.S.; Di, Y.; Kang, Z.; Fakcharoenphol, P. A multiple-continuum model for simulating single-phase and multiphase flow in naturally fractured vuggy reservoirs. J. Pet. Sci. Eng. 2011, 78, 13–22. [Google Scholar] [CrossRef]
- Zhang, N.; Yao, J.; Xue, S.; Huang, Z. Multiscale mixed finite element, discrete fracture-vug model for fluid flow in fractured vuggy porous media. Int. J. Heat Mass Tran. 2016, 96, 396–405. [Google Scholar] [CrossRef]
- Wang, Y.; Hou, J.R.; Tang, Y.; Song, Z.J.; You, Z.J. Application of modified Dykstra-Parsons method to natural bottom-water drive in non-communicating fractured-vuggy reservoir. J. Pet. Sci. Eng. 2018, 167, 682–691. [Google Scholar] [CrossRef]
- Yan, X.; Huang, Z.; Yao, J.; Zhang, Z.; Liu, P.; Li, Y.; Fan, D. Numerical simulation of hydro-mechanical coupling in fractured vuggy porous media using the equivalent continuum model and embedded discrete fracture model. Adv. Water Resour. 2019, 126, 137–154. [Google Scholar] [CrossRef]
- Shao, R.; Di, Y.; Wu, D.; Wu, Y.-S. An Integrally Embedded Discrete Fracture Model for Flow Simulation in Anisotropic Formations. Energies 2020, 13, 3070. [Google Scholar] [CrossRef]
- Idogun, I.; Jeboda, O.; Charles, D.; Ufomadu, H. Material Balance Modeling and Performance Prediction of a Multi-Tank Reservoir. In Proceedings of the SPE Nigeria Annual International Conference and Exhibition, Lagos, Nigeria, 4–6 August 2015. [Google Scholar] [CrossRef]
- Alcantara, R.; Ham, J.M.; Paredes, J.E. Applications of Material Balance for Determining the Dynamic Performance of Fractures in a Dual-Porosity System in HP-HT Reservoirs. In Proceedings of the SPE Russian Petroleum Technology Conference, Moscow, Russia, 16–18 October 2017. [Google Scholar] [CrossRef]
- Molokwu, V.C.; Onyekonwu, M.O. Multi-Tank Material Balance Analysis in Heterogeneous Oil Reservoirs. In Proceedings of the SPE Nigeria Annual International Conference and Exhibition, Lagos, Nigeria, 31 July–2 August 2017. [Google Scholar] [CrossRef]
- Wang, Z.H.; Wang, Z.D.; Zeng, F.H.; Guo, P.; Xu, X.Y.; Deng, D. The material balance equation for fractured vuggy gas reservoirs with bottom water-drive combining stress and gravity effects. J. Nat. Gas Sci. Eng. 2017, 44, 96–108. [Google Scholar] [CrossRef]
- Fuentes-Cruz, G.; Vásquez-Cruz, M.A. Reservoir performance analysis through the material balance equation: An integrated review based on field examples. J. Pet. Sci. Eng. 2022, 208, 109377. [Google Scholar] [CrossRef]
- Istayeva, U.; King, G. Application of the Extended Dynamic Material Balance Method to a Super Giant Carbonate Oilfield. In Proceedings of the SPE Annual Caspian Technical Conference and Exhibition, Astana, Kazakhstan, 12–14 November 2014. [Google Scholar] [CrossRef]
- Han, G.F.; Liu, Y.W.; Sun, L.; Liu, M.; Gao, D.P.; Li, Q. Determination of pore compressibility and geological reserves using a new form of the flowing material balance method. J. Pet. Sci. Eng. 2019, 172, 1025–1033. [Google Scholar] [CrossRef]
- Yao, C.; Yan, R.; Zhou, F.; Zhang, Q.; Niu, G.; Chen, F.; Cao, W.; Wang, J. A Novel Method to Calculate Water Influx Parameters and Geologic Reserves for Fractured-Vuggy Reservoirs with Bottom/Edge Water. Energies 2024, 17, 2822. [Google Scholar] [CrossRef]
- Obot, N.; Eme, V. Application of Fluid Contact Match in Material Balance Study in a Water Injection Reservoir to Estimate STOOIP and Initial Reservoir Contacts. In Proceedings of the SPE Nigeria Annual International Conference and Exhibition, Lagos, Nigeria, 6–8 August 2018. [Google Scholar] [CrossRef]
- Chen, L.; Jia, C.; Zhang, R.; Yue, P.; Jiang, X.; Wang, J.; Su, Z.; Xiao, Y.; Lv, Y. High-pressure capacity expansion and water injection mechanism and indicator curve model for fractured-vuggy carbonate reservoirs. Petroleum 2024, 10, 511–519. [Google Scholar] [CrossRef]
- Yue, P.; Xie, Z.W.; Liu, H.H.; Chen, X.F.; Guo, Z.L. Application of water injection curves for the dynamic analysis of fractured-vuggy carbonate reservoirs. J. Pet. Sci. Eng. 2018, 169, 220–229. [Google Scholar] [CrossRef]
- Wang, Y.; Jiang, H.Q.; Li, J.J. Study on Water Injection Indicator Curve Model in Fractured Vuggy Carbonate Reservoir. Geofluids 2021, 2021, 5624642. [Google Scholar] [CrossRef]
- Zhang, Q.; Li, Y.; Wang, D.G.; Zhang, J.; Wang, Q.; Bao, R.F. A novel dynamic reserve evaluation method by division between oil and water in isolated fractured-caved carbonate reservoirs. J. Pet. Sci. Eng. 2022, 214, 110440. [Google Scholar] [CrossRef]
- Yildiz, T. Prediction of In-Situ Formation Compressibility from Production Data. In Proceedings of the SPE/ISRM Rock Mechanics in Petroleum Engineering, Trondheim, Norway, 8–10 July 1998. [Google Scholar] [CrossRef]
- Kegang, L.; Jun, H.; Peng, P.; Xiao, N. A New Method to Determine Pore Compressibility. In Proceedings of the 48th U.S. Rock Mechanics/Geomechanics Symposium, Minneapolis, Minnesota, 1–4 June 2014. [Google Scholar]
- Zhu, S.Y.; Du, Z.M.; Li, C.L.; You, Z.J.; Peng, X.L.; Deng, P. An analytical model for pore volume compressibility of reservoir rock. Fuel 2018, 232, 543–549. [Google Scholar] [CrossRef]
- Vazquez, M.; Beggs, H.D. Correlations for Fluid Physical Property Prediction. J. Pet. Technol. 1980, 32, 968–970. [Google Scholar] [CrossRef]
- Killick, R.; Fearnhead, P.; Eckley, I.A. Optimal Detection of Changepoints with a Linear Computational Cost. J. Am. Stat. Assoc. 2012, 107, 1590–1598. [Google Scholar] [CrossRef]
- Truong, C.; Oudre, L.; Vayatis, N. Selective Review of Offline Change Point Detection Methods. Signal Process. 2020, 167, 107299. [Google Scholar] [CrossRef]
- Yan, Q.; Sun, Z.; Gan, Q.; Jin, W.-L. Automatic identification of near-stationary traffic states based on the PELT changepoint detection. Transport. Res. B-Meth. 2018, 108, 39–54. [Google Scholar] [CrossRef]
- Ruzhnikov, A.; Guillot, V.; Corona, M. Real-Time Evaluation of the Lost Circulation Zone Based on a Changepoint Analysis of the Mechanical Specific Energy and Standpipe Pressure. In Proceedings of the International Petroleum Technology Conference, Dhahran, Saudi Arabia, 12 February 2024. [Google Scholar] [CrossRef]
- Shakirov, A.B.; Lipko, A.; Mezghani, M. Automated Well Log-Based Prediction of Formation Tops: Case Study of Norway Offshore Data. In Proceedings of the ADIPEC, Abu Dhabi, United Arab Emirates, 2–5 October 2023. [Google Scholar] [CrossRef]
- Sinha, S.; Kiran, R.; Tellez, J.; Marfurt, K. Identification and Quantification of Parasequences Using Expectation Maximization Filter: Defining Well Log Attributes for Reservoir Characterization. In Proceedings of the SPE/AAPG/SEG Unconventional Resources Technology Conference, Denver, CO, USA, 22 July 2019. [Google Scholar] [CrossRef]
- Hwang, Y.; Kwak, S.; Jyoti; Kim, J. Optimal time-dependent SUC model for COVID-19 pandemic in India. BMC Infect. Dis. 2024, 24, 1031. [Google Scholar] [CrossRef]
- Levenberg, K.Q. A Method for The Solution of Certain Non-Linear Problem in Least Squares. Quart. Appl. Math. 1944, 11, 93–101. [Google Scholar] [CrossRef]
- Marquardt, D.W. An Algorithm for Least-Squares Estimation of Nonlinear Parameters. J. Soc. Ind. Appl. Math. 1963, 11, 431–441. [Google Scholar] [CrossRef]







| Parameter | Value | Parameter | Value |
|---|---|---|---|
| Grid number in x direction | 50 | Permeability in x direction (mD) | 50 |
| Grid number in y direction | 50 | Permeability in y direction (mD) | 50 |
| Grid number in z direction | 40 | Permeability in z direction (mD) | 5 |
| Grid size (m) | 10 | Porosity | 0.05 |
| Initial pressure (MPa) | 80.4 | Rock compressibility (MPa−1) | 0.0003 |
| Original oil in place (m3) | 621,078 | Water volume (m3) | 309,845 |
| Parameter | Type | Value | Relative Error |
|---|---|---|---|
| Dynamic reserves (m3) | Fitting | 618,964.17 | 0.34% |
| Validation | 621,078 | ||
| Rock compressibility (MPa−1) | Fitting | 0.000333 | 0.67% |
| Validation | 0.000302 | ||
| Aquifer size | Fitting | 0.2578 | 1.19% |
| Validation | 0.2548 |
| Fitting Parameter b of Oil Volume Factor | Rock Compressibility (10−4/MPa) | Dynamic Reserves (104 m3) | Aquifer Size |
|---|---|---|---|
| −0.075 | 0.00028 | 74.41 | 8.22 |
Disclaimer/Publisher’s Note: The statements, opinions and data contained in all publications are solely those of the individual author(s) and contributor(s) and not of MDPI and/or the editor(s). MDPI and/or the editor(s) disclaim responsibility for any injury to people or property resulting from any ideas, methods, instructions or products referred to in the content. |
© 2025 by the authors. Licensee MDPI, Basel, Switzerland. This article is an open access article distributed under the terms and conditions of the Creative Commons Attribution (CC BY) license (https://creativecommons.org/licenses/by/4.0/).
Share and Cite
Fang, B.; Jiao, Y.; Zhang, Q.; Tian, Y.; Li, B.; Yu, W. New Method for Calculating Rock Compressibility, Dynamic Reserves, and Aquifer Size for Fractured–Vuggy Reservoirs with Bottom Aquifer. Processes 2025, 13, 684. https://doi.org/10.3390/pr13030684
Fang B, Jiao Y, Zhang Q, Tian Y, Li B, Yu W. New Method for Calculating Rock Compressibility, Dynamic Reserves, and Aquifer Size for Fractured–Vuggy Reservoirs with Bottom Aquifer. Processes. 2025; 13(3):684. https://doi.org/10.3390/pr13030684
Chicago/Turabian StyleFang, Bo, Yuwei Jiao, Qi Zhang, Yajie Tian, Baozhu Li, and Wei Yu. 2025. "New Method for Calculating Rock Compressibility, Dynamic Reserves, and Aquifer Size for Fractured–Vuggy Reservoirs with Bottom Aquifer" Processes 13, no. 3: 684. https://doi.org/10.3390/pr13030684
APA StyleFang, B., Jiao, Y., Zhang, Q., Tian, Y., Li, B., & Yu, W. (2025). New Method for Calculating Rock Compressibility, Dynamic Reserves, and Aquifer Size for Fractured–Vuggy Reservoirs with Bottom Aquifer. Processes, 13(3), 684. https://doi.org/10.3390/pr13030684

