Preparation and Mechanism of EP-HMTA-SiO2 Nanocomposite Polymer Gel for Enhancing Oil Recovery
Abstract
1. Introduction
2. Materials and Methods
2.1. Materials
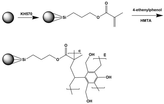
2.2. The Preparation of EP-HMTA-SiO2
2.3. The Characterization of EP-HMTA-SiO2
2.4. Interface Tension Measurements
2.5. Contact Angle Measurements
2.6. Viscosity Measurements
2.7. Oil Recovery Efficiency Measurements
3. Results and Discussion
3.1. The Characterization of EP-HMTA-SiO2
3.1.1. The FTIR of EP-HMTA-SiO2
3.1.2. The SEM of EP-HMTA-SiO2
3.1.3. The TG of EP-HMTA-SiO2
3.1.4. Particle Size Distribution
3.2. Effect on Interfacial Tension
3.3. Effect on Contact Angle
3.4. Evaluation of Viscosity
3.5. Evaluation of Oil Recovery Efficiency
3.6. Mechanism Investigation
4. Conclusions
Author Contributions
Funding
Data Availability Statement
Conflicts of Interest
References
- Kakati, A.; Bera, A.; Al-Yaseri, A. A review on advanced nanoparticle-induced polymer flooding for enhanced oil recovery. Chem. Eng. Sci. 2022, 262, 117994. [Google Scholar] [CrossRef]
- Tavakkoli, O.; Kamyab, H.; Shariati, M.; Mohamed, A.M.; Junin, R. Effect of nanoparticles on the performance of polymer/surfactant flooding for enhanced oil recovery: A review. Fuel 2022, 312, 122867. [Google Scholar] [CrossRef]
- Saw, R.K.; Singh, A.; Maurya, N.K.; Mandal, A. A mechanistic study of low salinity water-based nanoparticle-polymer complex fluid for improved oil recovery in sandstone reservoirs. Colloids Surf. A Physicochem. Eng. Asp. 2023, 666, 131308. [Google Scholar] [CrossRef]
- Amiri, M.; Fatemi, M.; Delijani, E.B. Effect of brine salinity and hydrolyzed polyacrylamide concentration on the Oil/Brine and Brine/Rock Interactions: Implications on enhanced oil recovery by hybrid low salinity polymer flooding in sandstones. Fuel 2022, 324, 124630. [Google Scholar] [CrossRef]
- Ghamarpoor, R.; Jamshidi, M.; Alhaeehm, Z. Synthesis of Hybrid/Superhydrophobic Coupling Agent Grafted Nano SiO2 and Its Use in Fabrication of Rubber Nanocomposite with Outstanding Oil/Water Separation Capability. Results Eng. 2024, 22, 102270. [Google Scholar] [CrossRef]
- Liu, J.; Almakimi, A.; Wei, M.; Bai, B.; Hussein, I.A. A comprehensive review of experimental evaluation methods and results of polymer micro/nanogels for enhanced oil recovery and reduced water production. Fuel 2022, 324, 124664. [Google Scholar] [CrossRef]
- Koolivand, M.; Shokouhi, M.; Esfandyari, M.; Sadeghi, M. A review of fabrication methods for biodegradable pH-Responsive nanocomposite microgels and their performance in enhanced oil recovery. S. Afr. J. Chem. Eng. 2024, 50, 340–352. [Google Scholar] [CrossRef]
- Liu, Y.; Zhou, L.; Wan, X.; Tang, Y.; Liu, Q.; Li, W.; Liao, J. Synthesis and characterization of a temperature sensitive microcapsule gelling agent for high-temperature acid release. ACS Omega 2024, 9, 20849–20858. [Google Scholar] [CrossRef]
- Du, W.; Wang, T.; Xie, Z.; Xia, L.; Lu, J.; Li, P. Superhydrophobic SiO2 microspheres of a porous dehydroabietic-acid-based homopolymer for oil-water separation. Sep. Purif. Technol. 2024, 340, 126838. [Google Scholar] [CrossRef]
- Pal, N.; Manadal, A. Compositional simulation model and history-matching analysis of surfactant-polymer-nanoparticle (SPN) nanoemulsion assisted enhanced oil recovery. J. Taiwan Inst. Chem. Eng. 2021, 122, 1–13. [Google Scholar] [CrossRef]
- Gazem, A.; Patel, H.; Sreenivasan, H.; Sahu, C.; Krishna, S. Combined effect of silica nanoparticles and binary surfactants in enhancing oil recovery: An experimental investigation. Colloids Surf. A Physicochem. Eng. Asp. 2024, 702, 134980. [Google Scholar] [CrossRef]
- Nyah, F.; Ridzuan, N.; Nwaichi, P.I.; Umunnawuike, C.; Agi, A. Comprehensive review on the role of salinity on oil recovery mechanisms during chemical flooding. J. Mol. Liq. 2024, 415, 126308. [Google Scholar] [CrossRef]
- Hou, K.; Wu, H.; Xu, G.; Li, G.; Luan, T.; Chang, J.; Cheng, T.; Song, Z.; Hou, J. A CO2-responsive Janus SiO2 nanofluid: Integration of enhanced oil recovery and demulsification. J. Mol. Liq. 2024, 412, 125832. [Google Scholar] [CrossRef]
- Pal, N.; Mandal, A. Enhanced oil recovery performance of gemini surfactant-stabilized nanoemulsions functionalized with partially hydrolyzed polymer/silica nanoparticles. Chem. Eng. Sci. 2020, 226, 115887. [Google Scholar] [CrossRef]
- Manshad, A.K.; Ali, J.A.; Haghighi, O.M.; Sajadi, S.M.; Keshavarz, A. Oil recovery aspects of ZnO/SiO2 nano-clay in carbonate reservoir. Fuel 2022, 307, 121927. [Google Scholar] [CrossRef]
- Tliba, L.; Sagala, F.; Hethnawi, A.; Glover, P.W.; Menzel, R.; Hassanpour, A. Surface-modified silica nanoparticles for enhanced oil recovery in sandstone cores. J. Mol. Liq. 2024, 413, 125815. [Google Scholar] [CrossRef]
- Pal, N.; Mandal, A. Oil recovery mechanisms of Pickering nanoemulsions stabilized by surfactant-polymer-nanoparticle assemblies: A versatile surface energies’ approach. Fuel 2020, 276, 118138. [Google Scholar] [CrossRef]
- Xia, H.; Wang, D.; Liu, Z.; Yang, Q. Study on the mechanism of polymer solution with viscoelastic behavior increasing microscopic oil displacement efficiency. Acta Pet. Sin. 2001, 22, 60–65. [Google Scholar]
- Lei, T.; Wang, Y.; Zhang, H.; Cao, J.; Xiao, C.; Ding, M.; Chen, W.; Chen, M.; Zhang, Z. Preparation and performance evaluation of a branched functional polymer for heavy oil recovery. J. Mol. Liq. 2022, 363, 119808. [Google Scholar] [CrossRef]
- Cheng, Y.; Jing, D.U.; Luo, W. Synthesis and properties of oil displacement agent nanosilica grafted poly-acrylmide/2-acrylamido-2-methyl-l-propanesulfonic acid sodium. Chem. Res. 2017, 28, 230–235. [Google Scholar]
- Zhong, H.; Gao, X.; Zhang, X.; Qiu, Z.; Zhao, C.; Zhang, X.; Jin, J. Improving the shale stability with nano-silica grafted with hyperbranched polyethyleneimine in water-based drilling fluid. J. Nat. Gas Sci. Eng. 2020, 83, 103624. [Google Scholar] [CrossRef]
- Li, J.; Wen, M.; Yang, J.; Liu, Y.; Jiang, Z.; Chen, J. Synthesis and analysis of magnetic nanoparticles within foam matrix for foam drainage gas production. Geoenergy Sci. Eng. 2024, 238, 212887. [Google Scholar] [CrossRef]
- Wang, L.; Li, J.; Wang, Y.; Cheng, S.; Ma, C. Effects of SiO2-coated CNTs on the directional formation of SiC whiskers and improvement in the ablative resistance of polymer-matrix composites. Compos. Sci. Technol. 2024, 258, 110904. [Google Scholar] [CrossRef]
- Safronova, E.Y.; Yurova, P.A.; Ashrafi, A.M.; Chernyak, A.V.; Khoroshilov, A.V.; Yaroslavtsev, A.B. The effect of ultrasonication of polymer solutions on the performance of hybrid perfluorinated sulfonic acid membranes with SiO2 nanoparticles. React. Funct. Polym. 2021, 165, 104959. [Google Scholar] [CrossRef]
- Li, J.; Wen, M.; Jiang, Z.; Gao, S.; Xiao, X.; Xiang, C.; Tao, J. Formulation and characterization of surfactants with antibacterial and corrosion-inhibiting properties for enhancing shale gas drainage and production. Sci. Rep. 2025, 15, 2376. [Google Scholar] [CrossRef] [PubMed]
- Tang, W.; Zou, C.; Liang, H.; Da, C.; Zhao, Z. The comparison of interface properties on crude oil-water and rheological behavior of four polymeric nanofluids (nano-SiO2, nano-CaO, GO and CNT) in carbonates for enhanced oil recovery. J. Pet. Sci. Eng. 2022, 214, 110458. [Google Scholar] [CrossRef]
- Yu, X.; Ji, R.; Li, Q.; Yong, S.; Yang, H.; Su, G. Core-shell polymer microsphere PSN@SiO2 based on “dry water microreactor” for enhanced oil recovery and its properties. Geoenergy Sci. Eng. 2024, 239, 212972. [Google Scholar] [CrossRef]
- Hou, C.; Fan, Z.; Yang, J. Construction of super hydrophobic paper by modified nano-SiO2 hybrid medium fluoro-epoxy polymer and its properties. Prog. Org. Coat. 2024, 187, 10818. [Google Scholar] [CrossRef]
- Li, J.; Wen, M.; Jiang, Z.; Xian, L.; Liu, J.; Chen, J. Development and characterization of a surfactant responsive to redox conditions for gas recovery in foam drainage. Sci. Rep. 2025, 15, 511. [Google Scholar] [CrossRef] [PubMed]
- Xu, H.; Zhu, Y.; Liu, Y.; Fan, W.; Tang, L.; Chen, T.; Wang, Y.; Yang, F. Temperature-sensitive polymer grafted with nano-SiO2 improves sealing and inhibition performance of shale water-based drilling fluid. Colloids Surf. A Physicochem. Eng. Asp. 2024, 698, 134531. [Google Scholar] [CrossRef]
- Li, X.; Gao, D.; Liu, M.; Zheng, L.; Li, P.; Lyu, B. Synthesis of amphiphilic Janus SiO2/styrene butyl acrylate polymer microspheres and their application in oil recovery. Colloids Surf. A Physicochem. Eng. Asp. 2023, 675, 132076. [Google Scholar] [CrossRef]










Disclaimer/Publisher’s Note: The statements, opinions and data contained in all publications are solely those of the individual author(s) and contributor(s) and not of MDPI and/or the editor(s). MDPI and/or the editor(s) disclaim responsibility for any injury to people or property resulting from any ideas, methods, instructions or products referred to in the content. |
© 2025 by the authors. Licensee MDPI, Basel, Switzerland. This article is an open access article distributed under the terms and conditions of the Creative Commons Attribution (CC BY) license (https://creativecommons.org/licenses/by/4.0/).
Share and Cite
Zhang, W.; Sun, Y.; Meng, X.; Dou, R. Preparation and Mechanism of EP-HMTA-SiO2 Nanocomposite Polymer Gel for Enhancing Oil Recovery. Processes 2025, 13, 596. https://doi.org/10.3390/pr13030596
Zhang W, Sun Y, Meng X, Dou R. Preparation and Mechanism of EP-HMTA-SiO2 Nanocomposite Polymer Gel for Enhancing Oil Recovery. Processes. 2025; 13(3):596. https://doi.org/10.3390/pr13030596
Chicago/Turabian StyleZhang, Weiyou, Yongpeng Sun, Xianghua Meng, and Rutong Dou. 2025. "Preparation and Mechanism of EP-HMTA-SiO2 Nanocomposite Polymer Gel for Enhancing Oil Recovery" Processes 13, no. 3: 596. https://doi.org/10.3390/pr13030596
APA StyleZhang, W., Sun, Y., Meng, X., & Dou, R. (2025). Preparation and Mechanism of EP-HMTA-SiO2 Nanocomposite Polymer Gel for Enhancing Oil Recovery. Processes, 13(3), 596. https://doi.org/10.3390/pr13030596
