Assessing the Effect of Organic, Inorganic, and Hybrid Phase Change Materials on Thermal Regulation and Energy Efficiency in Asphalt Pavements—A Review
Abstract
1. Introduction
2. Review Methodology
3. Studies Related to Using Organic PCMs in Asphalt
4. Studies Related to the Use of Inorganic PCMs in Asphalt Pavements
5. Studies Related to the Use of Mixture (Organic–Inorganic) PCMs in Asphalt Pavements
6. A Summary of Advantages and Disadvantages of Using Organic and Inorganic PCMs in Asphalt Pavements
- Both organic and inorganic PCMs can store a considerable amount of thermal energy, which lead to enhanced thermal management of asphalt pavements.
- The thermal and structural stability can be ascertained via incorporating inorganic PCMs into asphalt pavements besides preventing the degrading of pavement at high-temperatures.
- The existence of organic and inorganic compounds can demonstrate better resistance to aging and fatigue when compared to pure PCMs.
- The reduced thermal conductivity of organic and inorganic PCMs is a well-known challenge. This in turn would reduce the absorption and release of heat.
- The possible leaching of organic PCMs can hinder their effectiveness.
7. Conclusions
- A micro-encapsulated PCM-enhanced asphalt binder exhibited higher specific heat capacities than basic asphalt binders within their phase transition temperature range (20–60 °C), indicating its significance in thermal regulation.
- The incorporation of a micro-PCM into asphalt resulted in a modification of its characteristics, namely a reduction in ductility and penetrability, as well as an increase in the softening point. The visible viscosity, composite modulus, and rutting factor were all improved as a result, which strengthened the material’s resistance to deformation at high temperatures.
- Phase change capsules can mitigate asphalt pavement damage from excessive heat by undergoing phase transition, slowing down temperature variations in response to the environment.
- The impact of 4% paraffin/expanded graphite/high-density polyethylene composite material/high-viscosity modified asphalt and 15% polyethylene glycol/high-viscosity modified asphalt on temperature regulation during heating was 4 °C lower when compared to high-viscosity modified asphalt without PCM, and the delay durations for these two mixtures were 456 and 1240 s, respectively, despite the fact that the exact same quantity of PCM was included in both compositions.
- It has been observed that the rate of heating of polyurethane-based solid–solid PCM samples is consistently lower than the rate of heating of the control samples while the samples are being heated.
- A PCM composite comprised of palmitic acid and stearic acid and nano-Al2O3 effectively cools asphalt pavement, reducing stress caused by high-temperature rutting.
- When compared to an asphalt block that is not coated, the temperature will drop by about 5 °C in one hour due to the fact that the volume percentage of the composite material is exactly 12%.
- Increasing the amount of polyurethane solid–solid PCM in asphalt can make it more resistant to aging, and this benefit becomes more pronounced as the polyurethane solid–solid PCM content increases.
- The top surface temperature of an asphalt mixture including polyethylene glycol/SiO2 can be lowered by around 9 °C, thanks to the asphalt mixture’s remarkable temperature adjustment performance.
- Adding polyethylene glycol with a 4000 molar mass that was encapsulated in SiO2 as a replacement for 10% of the aggregate in the top sublayer was determined to be the most effective method for improving rutting performance in asphalt. For a period of one month after the construction of the pavement, this replacement led to a decrease in rut depth of fourteen percent.
- Asphalt binders that were given treatments with CuO at the nanoscale had much higher specific heat capacities and less reactivity to moisture and temperature.
- A polyethylene glycol/SiO2 composite is a great option for porous asphalt concrete, with a bulk polyethylene glycol content of 70%. It has been determined that the optimal replacement level should be 1.4%, based on the total weight of the aggregate. Additionally, the ideal particle size range for the PCM is between 0.6 mm and 1.18 mm.
- The inclusion of expanded graphite/polyethylene glycol composite PCM causes the enhanced binders’ creep rate to drop and their creep stiffness to increase, both of which are counterproductive to the goal of preventing low-temperature cracking.
8. Recommendations and Challenges for Future Directions
- Various asphalt binders need to have their thermal and rheological characteristics assessed, and it is necessary to determine the influence of variable temperatures on the quality of PCMs.
- Future research should explore methods to increase PCM content in pavements without significantly compromising their mechanical strength.
- Exploring the use of porous coarse aggregates as carriers for PCMs is an intriguing strategy to augment PCM quantities in asphalt mixtures. However, this approach requires identifying aggregates capable of efficiently absorbing PCMs while ensuring the asphalt’s structural integrity under pressure.
- Collaborative efforts among physicists, chemists, and civil engineers will likely be essential to develop durable PCMs capable of effective heat regulation among the pressures encountered during asphalt pavement production.
- It is essential to horizon the research of incorporating high-conductivity nanoparticles into PCMs to improve their heat transfer capabilities.
- It is mandatory to explore innovative composite PCMs with optimal thermal conductivity by merging organic and inorganic materials with high-conductivity fillers.
- Researching the impact of PCMs’ shape and geometry on thermal conductivity within the asphalt pavement matrix is essential.
- A specific trend of research should focus on improving the chemical structure of organic PCMs to mitigate their solubility in water.
- Modelling and optimization are vital tools for deploying sustainable asphalt pavement solutions that support a sustainable transportation system [71]. Indeed, optimizing energy efficiency based on reduced environmental impact would permit the introduction of groundbreaking PCM technologies with a high potential to perfectly design and construct our roads and sustain excellent transportation systems.
- Despite this review covering several types of organic, inorganic, and mixtures of organic and inorganic PCMs in asphalt pavements, there is still a necessity to examine the integration of other PCMs to asphalt. These would include the biodegradable organic fatty acids of capric acid and lauric acid and the inorganic PCM of calcium chloride hexahydrate.
Author Contributions
Funding
Conflicts of Interest
References
- Athukorallage, B.; Dissanayaka, T.; Senadheera, S.; James, D. Performance analysis of incorporating phase change materials in asphalt concrete pavements. Constr. Build. Mater. 2018, 164, 419–432. [Google Scholar] [CrossRef]
- Nobakht, M.; Sakhaeifar, M.S. Dynamic modulus and phase angle prediction of laboratory aged asphalt mixtures. Constr. Build. Mater. 2018, 190, 740–751. [Google Scholar] [CrossRef]
- Manning, B.J.; Bender, P.R.; Cote, S.A.; Lewis, R.A.; Sakulich, A.R.; Mallick, R.B. Assessing the feasibility of incorporating phase change material in hot mix asphalt. Sustain. Cities Soc. 2015, 19, 11–16. [Google Scholar] [CrossRef]
- Mohod, M.V.; Kadam, K.N. A comparative study on rigid and flexible pavement: A review. IOSR J. Mech. Civ. Eng. (IOSR-JMCE) 2016, 13, 84–88. [Google Scholar]
- Dave, E.V.; Buttlar, W.G. Thermal reflective cracking of asphalt concrete overlays. Int. J. Pavement Eng. 2010, 11, 477–488. [Google Scholar] [CrossRef]
- Brown, N.R. Solution for distressed pavements and crack reflection. Transp. Res. Rec. 2003, 1819, 313–317. [Google Scholar] [CrossRef]
- Tapkin, S.; Uuml Usar, N.; Tuncan, A.; Tuncan, M. Repeated creep behavior of polypropylene fiber-reinforced bituminous mixtures. J. Transp. Eng. 2009, 135, 240–249. [Google Scholar] [CrossRef]
- Ihnayyish, I.L.; Ahmed, A.Q.; Mohammad, A.T.; Al-Syyab, A.K.S. Numerical Study to Investigate the Performance of U-shaped Flat Plate Solar Collector Using Phase Change Materials (PCMs). J. Tech. 2023, 5, 74–80. [Google Scholar] [CrossRef]
- Shamsaei, M.; Carter, A.; Vaillancourt, M. A review on the heat transfer in asphalt pavements and urban heat island mitigation methods. Constr. Build. Mater. 2022, 359, 129350. [Google Scholar] [CrossRef]
- Zhao, Y.; Min, X.; Huang, Z.; Liu, Y.; Wu, X.; Fang, M. Honeycomb-like structured biological porous carbon encapsulating PEG: A shape-stable phase change material with enhanced thermal conductivity for thermal energy storage. Energy Build. 2017, 158, 1049–1062. [Google Scholar] [CrossRef]
- Mu, S.Y.; Guo, J.; Yu, Y.; An, Q.D.; Zhang, S.; Wang, D.; Chen, S.; Huang, X.L.; Li, S.L. Synthesis and thermal properties of cross-linked poly(acrylonitrile-coitaconate)/polyethylene glycol as novel form-stable change material. Energy Convers. Manag. 2016, 110, 176–183. [Google Scholar] [CrossRef]
- He, L.; Li, J.; Zhou, C.; Zhu, H.; Cao, X.; Tang, B. Phase change characteristics of shape-stabilized PEG/SiO2 composites using calcium chloride-assisted and temperature-assisted sol gel methods. Sol. Energy 2014, 103, 448–455. [Google Scholar] [CrossRef]
- Rashid, F.L.; Al-Obaidi, M.A.; Dulaimi, A.; Mahmood, D.M.N.; Sopian, K. A Review of Recent Improvements, Developments, and Effects of Using Phase-Change Materials in Buildings to Store Thermal Energy. Designs 2023, 7, 90. [Google Scholar] [CrossRef]
- Rashid, F.L.; Al-Obaidi, M.A.; Dulaimi, A.; Bahlol, H.Y.; Hasan, A. Recent Advances, Development, and Impact of Using Phase Change Materials as Thermal Energy Storage in Different Solar Energy Systems: A Review. Designs 2023, 7, 66. [Google Scholar] [CrossRef]
- Tiji, M.E.; Al-Azzawi, W.K.; Mohammed, H.I.; Dulaimi, A.; Rashid, F.L.; Mahdi, J.M.; Majdi, H.S.; Talebizadehsardari, P.; Ali, H.M. Thermal Management of the Melting Process in a Latent Heat Triplex Tube Storage System Using Different Configurations of Frustum Tubes. J. Nanomater. 2022, 2022, 7398110. [Google Scholar] [CrossRef]
- Rashid, F.L.; Rahbari, A.; Ibrahem, R.K.; Talebizadehsardari, P.; Basem, A.; Kaood, A.; Mohammed, H.I.; Abbas, M.H.; Al-Obaidi, M.A. Review of solidification and melting performance of phase change materials in the presence of magnetic field, rotation, tilt angle, and vibration. J. Energy Storage 2023, 67, 107501. [Google Scholar] [CrossRef]
- Rashid, F.L.; Basem, A.; Khalaf, F.A.A.; Abbas, M.H.; Hashim, A. Recent Breakthroughs and Improvements in Phase Change Material Melting in a Triple-Tube Thermal Storage Unit. Rev. Des Compos. Des Mater. Av. Compos. Adv. Mater. 2022, 32, 295–304. [Google Scholar] [CrossRef]
- Ryms, M.; Denda, H.; Jaskuła, P. Thermal stabilization and permanent deformation resistance of LWA/PCM-modified asphalt road surfaces. Constr. Build. Mater. 2017, 142, 328–341. [Google Scholar] [CrossRef]
- Chen, Y.; Ding, H.; Wang, B.; Shi, Q.; Gao, J.; Cui, Z.; Wan, Y. Dopamine functionalization for improving crystallization behaviour of polyethylene glycol in shape-stable phase change material with silica fume as the matrix. J. Clean. Prod. 2019, 208, 951–959. [Google Scholar] [CrossRef]
- Zhang, D.; Chen, M.; Wu, S.; Liu, Q.; Wan, J. Preparation of expanded graphite/polyethylene glycol composite phase change material for thermoregulation of asphalt binder. Constr. Build. Mater. 2018, 169, 513–521. [Google Scholar] [CrossRef]
- Jin, J.; Lin, F.; Liu, R.; Xiao, T.; Zheng, J.; Qian, G.; Liu, H.; Wen, P. Preparation and thermal properties of mineral-supported polyethylene glycol as form-stable composite phase change materials (CPCMs) used in asphalt pavements. Sci. Rep. 2017, 7, 16998. [Google Scholar] [CrossRef] [PubMed]
- Wang, X.; Ma, B.; Li, S.; Si, W.; Wei, K.; Zhang, H.; Zhou, X.; Fang, Y.; Kang, X.; Shi, W. Review on application of phase change materials in asphalt pavement. J. Traffic Transp. Eng. (Engl. Ed.) 2023, 10, 185–229. [Google Scholar] [CrossRef]
- Chen, Y.; Wang, H.; You, Z.; Hossiney, N. Application of phase change material in asphalt mixture—A review. Constr. Build. Mater. 2020, 263, 120219. [Google Scholar] [CrossRef]
- Zhang, D.; Chen, M.; Wu, S.; Riara, M.; Wan, J.; Li, Y. Thermal and rheological performance of asphalt binders modified with expanded graphite/polyethylene glycol composite phase change material (EP-CPCM). Constr. Build. Mater. 2019, 194, 83–91. [Google Scholar] [CrossRef]
- Ma, B.; Chen, S.-S.; Wei, K.; Liu, F.-W.; Zhou, X.-Y. Analysis of thermoregulation indices on microencapsulated phase change materials for asphalt pavement. Constr. Build. Mater. 2019, 208, 402–412. [Google Scholar] [CrossRef]
- Du, Y.; Liu, P.; Wang, J.; Wang, H.; Hu, S.; Tian, J.; Li, Y. Laboratory investigation of phase change effect of polyethylene glycolon on asphalt binder and mixture performance. Constr. Build. Mater. 2019, 212, 1–9. [Google Scholar] [CrossRef]
- Tian, Y.-X.; Ma, B.; Liu, F.-W.; Li, N.; Zhou, X.-Y. Thermoregulation effect analysis of microencapsulated phase change thermoregulation agent for asphalt pavement. Constr. Build. Mater. 2019, 221, 139–150. [Google Scholar] [CrossRef]
- Wei, K.; Wang, X.; Ma, B.; Shi, W.; Duan, S.; Liu, F. Study on rheological properties and phase-change temperature control of asphalt modified by polyurethane solid–solid phase change material. Sol. Energy 2019, 194, 893–902. [Google Scholar] [CrossRef]
- Sonibare, K.; Rathnayaka, L.; Zhang, L. Comparison of CHARMM and OPLS-aa forcefield predictions for components in one model asphalt mixture. Constr. Build. Mater. 2020, 236, 117577. [Google Scholar] [CrossRef]
- Yinfei, D.; Pusheng, L.; Jiacheng, W.; Hancheng, D.; Hao, W.; Yingtao, L. Effect of lightweight aggregate gradation on latent heat storage capacity of asphalt mixture for cooling asphalt pavement. Constr. Build. Mater. 2020, 250, 118849. [Google Scholar] [CrossRef]
- Ma, B.; Hu, Y.; Si, W.; Wei, K.; Chang, X. Study on the temperature control effects of an epoxy resin composite thermoregulation agent on asphalt mixtures. Constr. Build. Mater. 2020, 257, 119580. [Google Scholar] [CrossRef]
- Jia, M.; Sha, A.; Jiang, W.; Wang, W.; Li, J.; Dai, J.; Lu, Z. Laboratory evaluation of poly(ethylene glycol) for cooling of asphalt pavements. Constr. Build. Mater. 2021, 273, 121774. [Google Scholar] [CrossRef]
- Liu, Z.; Wei, K.; Wang, S.; Ma, B.; Wang, X.; Shi, W.; Xu, J. Effect of high-temperature-resistant epoxy resin/polyethylene glycol 2000 composite stereotyped phase change material particles on asphalt properties. Constr. Build. Mater. 2021, 300, 124007. [Google Scholar] [CrossRef]
- Betancourt-Jimenez, D.; Montoya, M.; Haddock, J.; Youngblood, J.P.; Martinez, C.J. Regulating asphalt pavement temperature using microencapsulated phase change materials (PCMs). Constr. Build. Mater. 2022, 350, 128924. [Google Scholar] [CrossRef]
- Shi, J.; Wei, K.; Fan, Y.; Cheng, P.; Wang, S.; Shi, W.; Ma, B. Influence of low-temperature polyurethane solid-solid PCMs particles on the pavement performance of asphalt mixtures. Constr. Build. Mater. 2022, 357, 129386. [Google Scholar] [CrossRef]
- Sha, A.; Zhang, J.; Jia, M.; Jiang, W.; Jiao, W. Development of polyurethane-based solid-solid phase change materials for cooling asphalt pavements. Energy Build. 2022, 259, 111873. [Google Scholar] [CrossRef]
- Xu, P.; Zhang, D.; Miao, Y.; Sani, B.M.; Zhang, K. Development and characterization of a novel steel slag-based composite phase change aggregate for snow/ice melting of asphalt pavements. Constr. Build. Mater. 2022, 341, 127769. [Google Scholar] [CrossRef]
- Wang, X.; Wang, X.; Ma, B.; Ma, B.; Wei, K.; Wei, K.; Si, W.; Si, W.; Kang, X.; Kang, X.; et al. Thermal storage properties of polyurethane solid-solid phase-change material with low phase-change temperature and its effects on performance of asphalt binders. J. Energy Storage 2022, 55, 105686. [Google Scholar] [CrossRef]
- Wang, S.; Wei, K.; Shi, W.; Cheng, P.; Shi, J.; Ma, B. Study on the rheological properties and phase-change temperature regulation of asphalt modified by high/low-temperature phase change material particles. J. Energy Storage 2022, 56, 105970. [Google Scholar] [CrossRef]
- Jia, M.; Sha, A.; Jiang, W.; Li, X.; Jiao, W. Developing a solid–solid phase change heat storage asphalt pavement material and its application as functional filler for cooling asphalt pavement. Energy Build. 2023, 285, 112935. [Google Scholar] [CrossRef]
- Jiao, W.; Sha, A.; Zhang, J.; Jia, M.; Jiang, W.; Hu, L. Design and properties of polyurethane solid–solid phase-change granular temperature regulation asphalt mixtures. Sol. Energy 2023, 253, 47–57. [Google Scholar] [CrossRef]
- Zhang, J.; Dong, Z.; Sun, G.; Qi, Y.; Zhu, X.; Li, Y. Roles of phase change materials on the morphological, physical, rheological and temperature regulating performances of high-viscosity modified asphalt. Sci. Total. Environ. 2023, 875, 162632. [Google Scholar] [CrossRef]
- Zhao, Y.; Chen, M.; Wu, S.; Xu, H.; Wan, P.; Zhang, J. Preparation and characterization of phase change capsules containing waste cooking oil for asphalt binder thermoregulation. Constr. Build. Mater. 2023, 395, 132311. [Google Scholar] [CrossRef]
- Wang, X.; Kuang, D.; Chen, H.; Xue, H. Capsulated phase-change materials containing paraffin core/polymethyl methacrylate shell: Thermoregulation modifier for asphalt binder. Constr. Build. Mater. 2023, 369, 130574. [Google Scholar] [CrossRef]
- Kakar, M.R.; Refaa, Z.; Worlitschek, J.; Stamatiou, A.; Partl, M.N.; Bueno, M. Effects of aging on asphalt binders modified with microencapsulated phase change material. Compos. Part B Eng. 2019, 173, 107007. [Google Scholar] [CrossRef]
- Wei, K.; Wang, Y.; Ma, B. Effects of microencapsulated phase change materials on the performance of asphalt binders. Renew. Energy 2019, 132, 931–940. [Google Scholar] [CrossRef]
- Wei, K.; Ma, B.; Huang, X.; Xiao, Y.; Liu, H.; Wei, K.; Ma, B.; Huang, X.; Xiao, Y.; Liu, H. Influence of NiTi alloy phase change heat-storage particles on thermophysical parameters, phase change heat-storage thermoregulation effect, and pavement performance of asphalt mixture. Renew. Energy 2019, 141, 431–443. [Google Scholar] [CrossRef]
- Amini, N.; Hayati, P. Effects of CuO nanoparticles as phase change material on chemical, thermal and mechanical properties of asphalt binder and mixture. Constr. Build. Mater. 2020, 251, 118996. [Google Scholar] [CrossRef]
- Jin, J.; Liu, S.; Gao, Y.; Liu, R.; Huang, W.; Wang, L.; Xiao, T.; Lin, F.; Xu, L.; Zheng, J. Fabrication of cooling asphalt pavement by novel material and its thermodynamics model. Constr. Build. Mater. 2021, 272, 121930. [Google Scholar] [CrossRef]
- Zhang, D.; Chen, M.; Wu, S.; Liu, P. Effect of expanded graphite/polyethylene glycol composite phase change material (EP-CPCM) on thermal and pavement performance of asphalt mixture. Constr. Build. Mater. 2021, 277, 122270. [Google Scholar] [CrossRef]
- Dai, J.; Ma, F.; Fu, Z.; Li, C.; Jia, M.; Shi, K.; Wen, Y.; Wang, W. Applicability assessment of stearic acid/palmitic acid binary eutectic phase change material in cooling pavement. Renew. Energy 2021, 175, 748–759. [Google Scholar] [CrossRef]
- Gao, Y.; Jin, J.; Xiao, T.; Liu, M.; Liu, S.; Liu, R.; Pan, J.; Qian, G.; Liu, X. Study of temperature-adjustment asphalt mixtures based on silica-based composite phase change material and its simulation. Constr. Build. Mater. 2022, 342, 127871. [Google Scholar] [CrossRef]
- Wei, K.; Liu, Z.; Wang, L.; Ma, B.; Fan, Y.; Shi, J.; Cheng, P. Preparation of polyurethane solid-solid low temperature PCMs granular asphalt mixes and study of phase change temperature control behavior. Sol. Energy 2022, 231, 149–157. [Google Scholar] [CrossRef]
- Dai, J.; Ma, F.; Fu, Z.; Li, C.; Wu, D.; Shi, K.; Dong, W.; Wen, Y.; Jia, M. Assessing the direct interaction of asphalt binder with stearic acid/palmitic acid binary eutectic phase change material. Constr. Build. Mater. 2022, 320, 126251. [Google Scholar] [CrossRef]
- Jia, M.; Sha, A.; Jiang, W.; Wang, W.; Yuan, D.; Li, J.; Dai, J.; Jiao, W. A solid–solid phase change filler with enhanced thermal properties for cooling asphalt mastic. Sol. Energy 2022, 242, 105–118. [Google Scholar] [CrossRef]
- Ren, Y.; Hao, P. Modification mechanism and enhanced low-temperature performance of asphalt mixtures with graphene-modified phase-change microcapsules. Constr. Build. Mater. 2022, 320, 126301. [Google Scholar] [CrossRef]
- Phan, T.M.; Park, D.-W.; Kim, H.-S. Utilization of micro encapsulated phase change material in asphalt concrete for improving low-temperature properties and delaying black ice. Constr. Build. Mater. 2022, 330, 127262. [Google Scholar] [CrossRef]
- Jin, J.; Liu, L.; Liu, R.; Wei, H.; Qian, G.; Zheng, J.; Xie, W.; Lin, F.; Xie, J. Preparation and thermal performance of binary fatty acid with diatomite as form-stable composite phase change material for cooling asphalt pavements. Constr. Build. Mater. 2019, 226, 616–624. [Google Scholar] [CrossRef]
- Si, W.; Ma, B.; Ren, J.; Hu, Y.; Zhou, X.; Tian, Y.; Li, Y. Temperature responses of asphalt pavement structure constructed with phase change material by applying finite element method. Constr. Build. Mater. 2020, 244, 118088. [Google Scholar] [CrossRef]
- Chen, J.; Zhang, W.; Shi, X.; Yao, C.; Kuai, C. Use of PEG/SiO2 phase change composite to control porous asphalt concrete temperature. Constr. Build. Mater. 2020, 245, 118459. [Google Scholar] [CrossRef]
- Wan, X.; Chen, C.; Tian, S.; Guo, B. Thermal characterization of net-like and form-stable ML/SiO2 composite as novel PCM for cold energy storage. J. Energy Storage 2020, 28, 101276. [Google Scholar] [CrossRef]
- Kuai, C.; Chen, J.; Shi, X.; Grasley, Z. Regulating porous asphalt concrete temperature using PEG/SiO2 phase change composite: Experiment and simulation. Constr. Build. Mater. 2021, 273, 122043. [Google Scholar] [CrossRef]
- Wang, H.-R.; Wang, Y.-M.; Qi, M.-L.; Wang, Q.-L.; Li, X.; Zhu, X.-X.; Yu, X.-Q.; Liu, Z.-M. PEG/diatomite modified Asphalt Mixture with Self-Regulating temperature property. Case Stud. Constr. Mater. 2021, 15, e00585. [Google Scholar] [CrossRef]
- Cheng, C.; Gong, F.; Fu, Y.; Liu, J.; Qiao, J. Effect of polyethylene glycol/polyacrylamide graft copolymerizaton phase change materials on the performance of asphalt mixture for road engineering. J. Mater. Res. Technol. 2021, 15, 1970–1983. [Google Scholar] [CrossRef]
- Deng, Y.; Shi, X.; Kou, Y.; Chen, J.; Shi, Q. Optimized design of asphalt concrete pavement containing phase change materials based on rutting performance. J. Clean. Prod. 2022, 380, 134787. [Google Scholar] [CrossRef]
- Wu, L.; Liu, Q.; Tang, N.; Wang, X.; Gao, L.; Wang, Q.; Lv, G.; Hu, L. Development of two-dimensional nano Mts/SA phase change materials for self-adjusting temperature of pavement. Constr. Build. Mater. 2022, 349, 128753. [Google Scholar] [CrossRef]
- Zhang, D.; Sani, B.M.; Xu, P.; Liu, K.; Gu, F. Preparation and characterization of binary eutectic phase change material laden with thermal conductivity enhancer for cooling steel slag asphalt pavement. Constr. Build. Mater. 2023, 388, 131688. [Google Scholar] [CrossRef]
- Cheng, C.; Liu, J.; Gong, F.; Fu, Y.; Cheng, X.; Qiao, J. Performance and evaluation models for different structural types of asphalt mixture using shape-stabilized phase change material. Constr. Build. Mater. 2023, 383, 131411. [Google Scholar] [CrossRef]
- Ma, F.; Hou, Y.; Fu, Z.; Qin, W.; Tang, Y.; Dai, J.; Wang, Y.; Peng, C. Microencapsulated binary eutectic phase change materials with high energy storage capabilities for asphalt binders. Constr. Build. Mater. 2023, 392, 131814. [Google Scholar] [CrossRef]
- Wang, X.; Chen, H.; Kuang, D.; Wu, S. Temperature regulation and rheological properties assessment of asphalt binders modified with paraffin/ SiO2 micro-encapsulated phase change materials. Constr. Build. Mater. 2023, 368, 130377. [Google Scholar] [CrossRef]
- Al-Obaidi, M.; Kara-Zaïtri, C.; Mujtaba, I. Simulation and optimisation of a two-stage/two-pass reverse osmosis system for improved removal of chlorophenol from wastewater. J. Water Process. Eng. 2018, 22, 131–137. [Google Scholar] [CrossRef]















| Authors (Year) [Reference] | Configuration/Composition | Type of Study | Results/Findings |
|---|---|---|---|
| Zhang et al. (2019) [24] | An EP-CPCM made of expanding graphite and polyethylene glycol. | Experimental | Incorporating EP-CPCM lowers the creep rate and raises the creep stiffness of the changed binders. These effects make it harder to stop low-temperature cracking from happening. |
| Ma et al. (2019) [25] | Isopropyl alcohol (CH3CH2OH), an organic solution for ethyl cellulose (EC), was used to cover the PCM material. | Experimental | If the temperature of the surroundings around the micro-PCM quickly rose, the latent heat performance of the micro-PCM would not be able to grow to its full potential. |
| Yinfei et al. (2019) [26] | A 6 wt.% of pure asphalt (PAC) in the asphalt blend that had 20% PEG in it. | Experimental | The PEG/asphalt combination that included 20% PEG had a peak temperature that was 3.3 °C lesser than the control asphalt mixture. |
| Tian et al. (2019) [27] | Membrane material (Ethyl Cellulose) and ethanol (CH3CH2OH). | Experimental | The circumstances of sun radiation and air movement were the most critical contributors to the micro-PCM’s latent heat impact. |
| Wei et al. (2019) [28] | PCM stands for polyurethane solid–solid phase change material. | Experimental | Both the temperature control ability and effectiveness of temperature control of the improved asphalt steadily improved along with an increase in the amount of polyurethane solid–solid PCM included in the asphalt. |
| Sonibare et al. (2020) [29] | An average amount of n-docosane, 1,7-dimethylnaphthalene, and asphaltene molecules. | Experimental and numerical | The n-C22 exhibited a noteworthy degree of chain twisting in the alkane system. However, the structure of 1,7-dimethylnanpthalene is extremely stable with the structure that has the lowest possible amount of energy. |
| Yinfei et al. (2020) [30] | Composite PCMs (PEG/FACS). | Experimental | Based on the SMA13 grade, the asphalt mixture with C-PEG/FACS between 4.75 and 9.5 mm has the best cooling effect. On the other hand, the asphalt mixture with C-PEG/FACS between 2.36 and 4.75 mm had the least amount of strength loss. |
| Ma et al. (2020) [31] | In different amounts, ERCTA was mixed into asphalt. | Experimental | The slower the pace of temperature change was the bigger the dose quantity that was administered. When there was a larger concentration of ERCTA, there was also a higher concentration of LHATV and LHTI, and the impact of temperature regulation was enhanced. |
| Jia et al. (2021) [32] | Polyethylene glycol (PEG). | Experimental | According to the selection principle that were presented, PEG that has a high average molecular weight is generally chosen, with the exception of PEG-20 K. |
| Liu et al. (2021) [33] | EPPCM particles made of epoxy glue and polyethylene glycol 2000. | Experimental | There was a steady improvement in the rheological characteristics of the modified asphalt as the amount of EPPCM doping increased, and there was a tendency towards an increase in the temperature regulation effect as the doping level increased. |
| Jimenez et al. (2022) [34] | Capsules have a polymer shell and are made up of about 85–90% paraffin as the PCM material. | Experimental | Thermal cycling tests showed that when PCM microcapsules were added to HMA, temperature delays of 5 °C to 10 °C were shown with the 10 and 20 vol.% PCM when they approached the PCM’s melting/freezing threshold. |
| Shi et al. (2022) [35] | LPSPCMs are low-temperature polyurethane solid–solid PCMs. | Experimental | The temperature at which the asphalt mixture cracked dropped steadily as the proportion of LPSPCM particles increased in its composition. |
| Sha et al. (2022) [36] | Polyurethanes (PUs) were used as solid–solid PCMs. | Experimental | Researchers have shown that it is possible to use M_PU5 to actively cool asphalt surfaces. |
| Xu et al. (2022) [37] | Dodecane (n12), tetradecane (n14), hexadecane (n16), and octadecane (n18) are the four kinds of n-alkanes that were used in the production of the binary eutectic composite PCMs. | Experimental | The addition of SS-CPCA can raise the surface temperature of a SMA-13 asphalt mixture to a maximum of 3.4 °C, which extends the cooling time to 780 s after the mixture’s temperature hits 0 °C. |
| Wang et al. (2022) [38] | Samples of polyurethane solid–solid PCM-PUPCM | Experimental | The anti-aging performance of asphalt is enhanced by the addition of PUPCM, and the benefit becomes much more noticeable as the amount of PUPCM in the asphalt increases. |
| Wang et al. (2022) [39] | The PEG-2000, E51 epoxy resin, and Polyamide curing agent. | Experimental | When phase change material particles were added to the composite-modified asphalt, they made it much less likely to get ruts. |
| Jia et al. (2023) [40] | PUSSPCM that had been synthesized and had effective phase transition temperatures. | Experimental | As a result of the replacements, the heat absorption capacity of the asphalt mixture is increased, but the pace at which heat is transferred is decreased. This results in a slower rate at which the mixture’s temperature is increasing when more PUSSPCM is used. |
| Jiao et al. (2023) [41] | In SSPCMs with linear structures, soft and hard segments are alternated. PEG-8000 is the material utilized for the soft portion. | Experimental | When blended with asphalt, PUSSPCMs are less stable in water, and 1 to 30% of samples failed remaining stability tests. PUSSPCMs warms up slower than control. The control sample has a temperature difference of 4.6 °C, whereas the 1–20% and 1–10% samples have a difference of 3.3 |
| Zhang et al. (2023) [42] | Paraffin, expanding graphite, high-density polyethylene, and polyethylene glycol are the components that go into the production of PHDP and PEG, which are hybrid materials. | Experimental | PEG/HVMA of 15% PEG and PHDP/HVMA of 4% PHDP exhibited 456 s and 1240 s delay times, respectively, and controlled temperature 4 °C lower than HVMA without PCM Although both formulations included PCM, this was true. |
| Zhao et al. (2023) [43] | Waxy components derived from WCO are used. | Experimental | PCCs may lessen the harm that overly hot temperatures do to asphalt pavement by going through a phase transition, which in turn slows down how quickly the asphalt temperature varies in reaction to the environment. |
| Wang et al. (2023) [44] | CPCM stands for paraffin/polymethyl methacrylate encased PCM. | Experimental | Adding CPCM barely changed the temperature at which asphalt weakened and its ability to enter, but it changed the material’s low-temperature flexibility and stiffness in the opposite way. |
| Authors (Year) [Reference] | Configuration/Composition | Type of Study | Results/Findings |
|---|---|---|---|
| Kakar et al. (2019) [45] | Tetradecane (nalkane C14H30). | Experimental | The PCM crystallization gives off heat energy during the chilling process that the rheological properties of better asphalt binders. |
| Wei et al. (2019) [46] | The asphalt binder was modified by adding micro-PCMs consisting of MF resin shells and n-tetradecane cores. | Experimental | The temperature change rate of the asphalt changed by micro-PCMs decreases as the amount of micro-PCMs increases close to the temperature where the micro-PCMs switch between phases. |
| Wei et al. (2019) [47] | NiTi APCEP can be used instead of fine asphalt pebbles by using pieces that are the same size. | Experimental | When added to the asphalt mixture, NiTi APCEP has the potential to lower the mixture’s daily maximum temperature. The ability of an asphalt mixture to phase shift heat store and regulate temperature can be improved by increasing the amount of NiTi APCEP. |
| Amini and Hayati (2020) [48] | CNTs were used as a conductive material, while copper oxide nano-powders were utilized as a primary carrier material. | Experimental | Asphalt binders that were treated with nanoscale amounts of CuO showed a considerable improvement in their Cp, as well as a reduction in their sensitivity to temperature and moisture. |
| Jin et al. (2021) [49] | Diatomite, expanded perlite, and stearic acid are the three components that used to produce CPCMs, which are essential for the development of a new asphalt surface that is capable of cooling. | Experimental | The inclusion of CPCMs has the potential to limit the impact of urban heat islands and temperature fluctuations in the pavement. |
| Zhang et al. (2021) [50] | EP-CPCM was spread out in an AC-13 asphalt blend at different ratios. | Experimental | As the EP-CPCM amount was increased, it became clear that EP-CPCM had a negative impact on the ability to maintain moisture in hot water, the ability to withstand freeze–thaw conditions, the ability to handle stress, and the ability to fight tiredness. |
| Dai et al. (2021) [51] | For the purpose of filling asphalt, a stearic acid and palmitic acid binary eutectic PCM was used. | Experimental | The temperature at which SA/PA-PCM breaks down, which is close to 200 °C, is greater than the temperature at which two different types of individual fatty acids do so. |
| Gao et al. (2022) [52] | SiO2-PCMs were used. | Experimental and Numerical | Asphalt mixture that contains PEG/SiO2 has an outstanding temperature modification impact, and it is able to reduce the temperature of the asphalt mixture’s top surface by about 9 °C. |
| Wei et al. (2022) [53] | PSLPCMs were incorporated into a hot mix asphalt mixture to create a PSLPCMs particle asphalt hybrid. | Experimental | When it comes to the temperature control capability of the combination, the PSLPCM particles that range in size from 1.18 to 2.36 mm have a superior improvement impact. If the concentration of PSLPCMs in the mixture is 7 wt.%, the highest temperature control impact of the combination is 3.4 °C. |
| Dai et al. (2022) [54] | Asphalt reacts with a material called SA/PA-PCM, which is made up of stearic acid and palmitic acid. | Experimental | After SA/PA-PCM was introduced, the binder required around 20% greater specific heat to function more effectively. The fact that the improved binder was able to manage temperature more effectively than the basic binder. |
| Jia et al. (2022) [55] | There are different mesh sizes and amounts of graphite in GPCM structures. | Experimental | The phase change asphalt mastics showed to have a cooling impact, with the largest cooling amplitude reaching 5.6 °C. |
| Ren and Hao (2022) [56] | Graphene-modified phase-change microcapsules are a type of specimen. | Experimental | The asphalt’s performance at low temperatures was greatly improved with the addition of CGMFPCM, which was performed by the asphalt. |
| Phan et al. (2022) [57] | The synthesis of microencapsulated phase change materials was accomplished by using n-tetradecane and silica in certain amounts. | Experimental | To increase low temperature breaking resistance and postpone the production of black ice, the use of μPCM is an intriguing potential option. |
| Authors (Year) [Reference] | Configuration/Composition | Type of Study | Results/Findings |
|---|---|---|---|
| Jin et al. (2019) [58] | Diatomite was chosen to serve as the load matrix, and eutectic binary fatty acids stearic acid (SA) and palmitic acid (PA) were chosen to be the components of the CPCM that would be determined to be stable. | Experimental | The high-temperature performance and water stability of temperature-adjusting asphalt mixtures have both decreased, whereas the low-temperature performance of these mixes has increased somewhat. |
| Si et al. (2020) [59] | The PCM was made up of four components: Tetradecane, silica, ethanol, and ethyl cellulose. | Numerical | While just the top surface course of a pavement was built with different PCM doses, the temperature domain rose as the dosage decreased. Both the pavement surface and the top surface course bottom have constant time domains. |
| Chen et al. (2020) [60] | PEG and SiO2 were used to make a composite material with a phase transition, which was mixed into porous asphalt concrete. | Experimental | The PEG/SiO2 composite is an excellent option for porous asphalt concrete application with a bulk PEG content of 70%. The optimal replacement level of the aggregate’s total weight is 1.4%, while the best range of particle size for the PCM is between 0.6 and 1.18 mm. |
| Wan et al. (2020) [61] | Methyl laurate (ML)/SiO2 PCMs composite. | Experimental | The cold energy storage capability of the generated ML/SiO2 PCMs composite with its innovative net-like structure was found to be very promising. |
| Kuai et al. (2021) [62] | PEG/SiO2 PCM. | Experimental and Numerical | One possible method for reducing the summertime temperature of porous pavement is the treatment of OGFC with a phase change composite consisting of PEG and SiO2. |
| Wang et al. (2021) [63] | To achieve the self-regulating temperature feature of asphalt mixture, PEG composite can be used as a filler. | Experimental | Increasing the composite content led to a drop in the water stability, but the product still meets all of the parameters specified in the specification. |
| Cheng et al. (2021) [64] | Asphalt was enhanced with a new type of PCM—PPGC-PCM, which is a solid–solid mixture. | Experimental | The best application was achieved with 7.5% PPGC-PCM. Additionally, the addition of PPGC-PCM into the asphalt mixture has the potential to greatly boost its capacity for holding heat. |
| Deng et al. (2022) [65] | PCM, polyethylene glycol (molar mass 4000) in silica oxide would replace 10% of asphalt top sublayer aggregate. | Experimental and Numerical | To maximize rutting resistance, the asphalt top sublayer PCM that replaced 10% of the aggregate had a polyethylene glycol molecular mass of 4000 and was encapsulated in silicon dioxide. |
| Wu et al. (2022) [66] | The exfoliation of montmorillonite (Mt) was less than 19.78 nanometers. | Experimental and Numerical | The highest rutting efficiency was achieved by replacing 10% of the aggregate in the asphalt top sublayer with polyethylene glycol with a 4000 molar mass encapsulated in SiO2 as a PCM. This reduced rut depth by 14% during a month after pavement construction. |
| Zhang et al. (2023) [67] | This is a brand-new asphalt pavement cooling system that utilized as a binary eutectic mix of palmitic acid (PA), stearic acid, and fatty acid PCMs. | Experimental | Pavement combined with a PCM composite of PA-SA and nano-Al2O3 can efficiently cool asphalt and relieve high-temperature rutting. |
| Cheng et al. (2023) [68] | The asphalt mixture received some PPGC-PCM. | Experimental | Adding PPGC-PCM at 7.5% concentration lowered asphalt pavement’s midsummer maximum temperature by 8.9 °C and delayed it by 60 min compared to regular asphalt pavement. Winter snowmelt was faster and more effective on the experimental road. |
| Ma et al. (2023) [69] | For the purpose of producing a MPCM from OA-TD wall and wrapping components, nano-TiO2 and polyvinyl alcohol reinforced melamine formaldehyde resin were used. | Experimental | Adding MPCM to asphalt has decreased its ductility and penetrability while simultaneously raising the softening point of the material. |
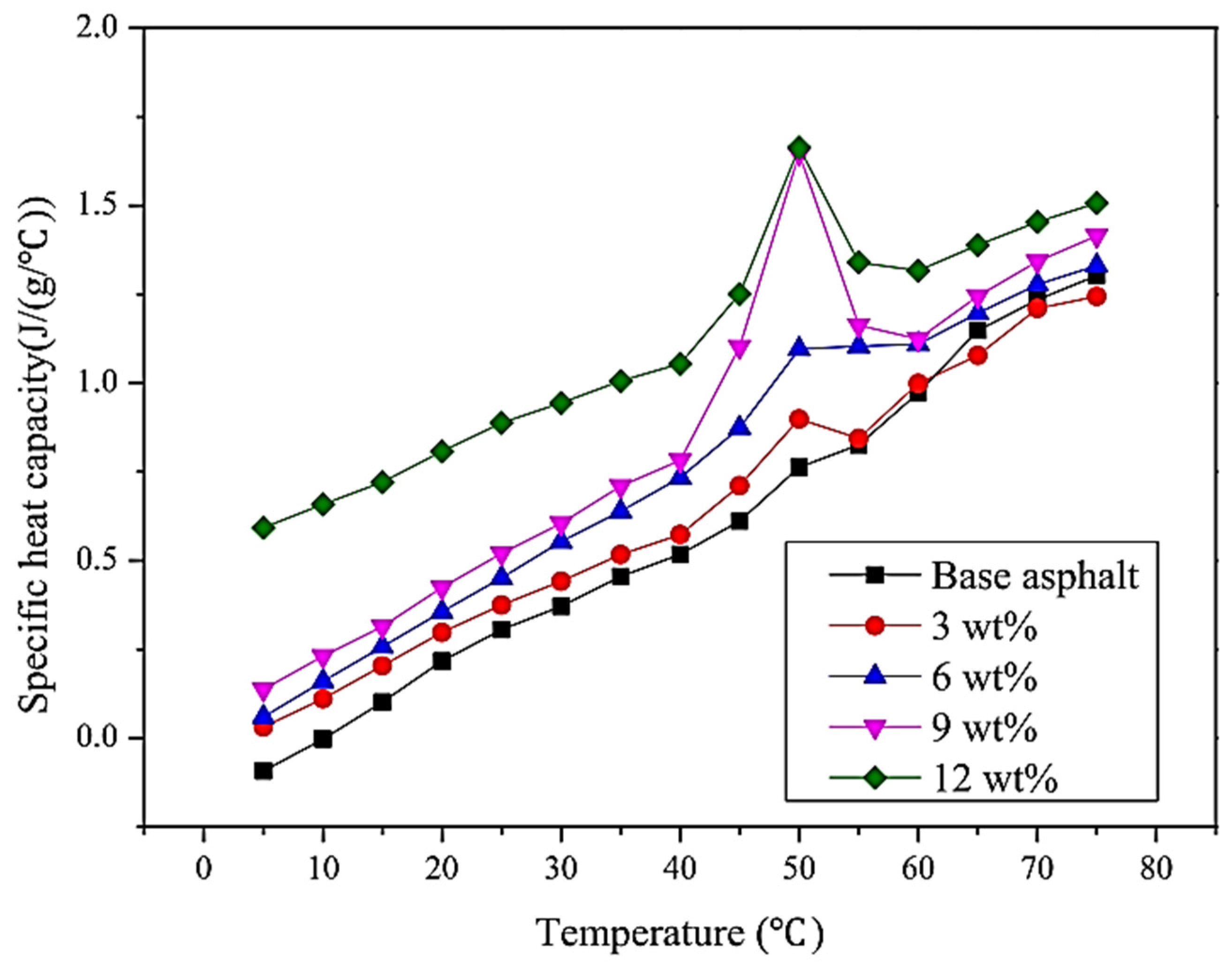
| Wang et al. (2023) [70] | MPCM included paraffin and silica dioxide. | Experimental | The MPCM-enhanced asphalt binders have a greater Cp than the basic asphalt binders, particularly in the range of phase transition temperatures (20–60 °C). |
Disclaimer/Publisher’s Note: The statements, opinions and data contained in all publications are solely those of the individual author(s) and contributor(s) and not of MDPI and/or the editor(s). MDPI and/or the editor(s) disclaim responsibility for any injury to people or property resulting from any ideas, methods, instructions or products referred to in the content. |
© 2025 by the authors. Licensee MDPI, Basel, Switzerland. This article is an open access article distributed under the terms and conditions of the Creative Commons Attribution (CC BY) license (https://creativecommons.org/licenses/by/4.0/).
Share and Cite
Rashid, F.L.; Al-Obaidi, M.A.; Hatem, W.A.; Almuhanna, R.R.A.; Abdul Redha, Z.A.; Al Maimuri, N.M.L.; Dulaimi, A. Assessing the Effect of Organic, Inorganic, and Hybrid Phase Change Materials on Thermal Regulation and Energy Efficiency in Asphalt Pavements—A Review. Processes 2025, 13, 597. https://doi.org/10.3390/pr13030597
Rashid FL, Al-Obaidi MA, Hatem WA, Almuhanna RRA, Abdul Redha ZA, Al Maimuri NML, Dulaimi A. Assessing the Effect of Organic, Inorganic, and Hybrid Phase Change Materials on Thermal Regulation and Energy Efficiency in Asphalt Pavements—A Review. Processes. 2025; 13(3):597. https://doi.org/10.3390/pr13030597
Chicago/Turabian StyleRashid, Farhan Lafta, Mudhar A. Al-Obaidi, Wadhah Amer Hatem, Raid R. A. Almuhanna, Zeina Ali Abdul Redha, Najah M. L. Al Maimuri, and Anmar Dulaimi. 2025. "Assessing the Effect of Organic, Inorganic, and Hybrid Phase Change Materials on Thermal Regulation and Energy Efficiency in Asphalt Pavements—A Review" Processes 13, no. 3: 597. https://doi.org/10.3390/pr13030597
APA StyleRashid, F. L., Al-Obaidi, M. A., Hatem, W. A., Almuhanna, R. R. A., Abdul Redha, Z. A., Al Maimuri, N. M. L., & Dulaimi, A. (2025). Assessing the Effect of Organic, Inorganic, and Hybrid Phase Change Materials on Thermal Regulation and Energy Efficiency in Asphalt Pavements—A Review. Processes, 13(3), 597. https://doi.org/10.3390/pr13030597

