Next Article in Journal
Robust Distribution System State Estimation with Physics-Constrained Heterogeneous Graph Embedding and Cross-Modal Attention
Next Article in Special Issue
Robust THRO-Optimized PIDD2-TD Controller for Hybrid Power System Frequency Regulation
Previous Article in Journal
Precision Design Method for Superplastic Forming Process Parameters Based on an Improved Back Propagation Neural Network
Previous Article in Special Issue
Comparison of Active and Passive Grid Coupling in Distribution Grids Using Particle Swarm Optimization
 
 
Font Type:
Arial Georgia Verdana
Font Size:
Aa Aa Aa
Line Spacing:
Column Width:
Background:
Article

Enhancing AVR System Stability Using Non-Monopolize Optimization for PID and PIDA Controllers

by
Ahmed M. Mosaad
1,*,
Mahmoud A. Attia
2,
Nourhan M. Elbehairy
3,
Mohammed Alruwaili
4,
Amr Yousef
5,* and
Nabil M. Hamed
2
1
Electrical and Electronic Engineering, University of Liverpool, 9 Brownlow Hill, Liverpool L69 3GJ, UK
2
Electrical Power and Machines Department, Faculty of Engineering, Ain Shams University, Cairo 11517, Egypt
3
Department of Energy and Renewable Energy, Faculty of Engineering and Technology, Egyptian Chinese University (ECU), Cairo 11787, Egypt
4
Department of Electrical Engineering, College of Engineering, Northern Border University, Arar 91431, Saudi Arabia
5
Electrical Engineering Department, University of Business and Technology, Jeddah 23435, Saudi Arabia
*
Authors to whom correspondence should be addressed.
Processes 2025, 13(10), 3072; https://doi.org/10.3390/pr13103072
Submission received: 6 September 2025 / Revised: 22 September 2025 / Accepted: 23 September 2025 / Published: 25 September 2025
(This article belongs to the Special Issue AI-Based Modelling and Control of Power Systems)

Abstract

This work suggests a new use for the Non-Monopolize Optimization (NO) method to improve the dynamic stability and robustness of PID and PIDA controllers in Automatic Voltage Regulator (AVR) systems when there are load disruptions. The NO algorithm is a new search method that does not use metaphors and only looks for one answer. It utilizes adaptive dimension modifications to strike a balance between exploration and exploitation. Its addition to AVR control makes parameter tweaking more efficient, without relying on random metaphors or population-based heuristics. MATLAB/Simulink R2025a runs full simulations to check how well the system works in both the time domain (step response, root locus) and the frequency domain (Bode plot). We compare the results to those of well-known optimizers like WOA, TLBO, ARO, GOA, and GA. The suggested NO-based PID and PIDA controllers always show less overshoot, faster rise and settling periods, and higher phase and gain margins, which proves that they are more stable and responsive. A robustness test with a load change of ±50% shows that NO-tuned controllers are even more reliable. The results show that using NO to tune different controllers could be a good choice for real-time AVR controller tuning in modern power systems because it is lightweight and works well.

1. Introduction

In modern power systems, maintaining terminal voltage stability is critical for efficient and reliable operation. These parameters significantly impair the performance of other operating equipment connected to power systems and have a substantial impact on the equipment’s life expectancy, which in turn affects system productivity and operation. As a result, control devices have been implemented and integrated into power systems’ grids to overcome any disturbance in the terminal voltage and sustain the operation limits or the reference settings. The generation unit is the primary source of power that supplies the load and enables system operation. If different power plants or generation units are connected, they should be synchronized to supply the load with constant voltage and frequency and avoid any failure or system instability. Power plants may be renewable energy, such as solar, wind, hydrothermal, biomass, and tidal power plants, or may be non-renewable, such as fossil fuel gas turbines, diesel generators, steam turbines, nuclear power plants, and gas–steam combined cycle [1,2].
An Automatic Voltage Regulator (AVR) is used to regulate the terminal voltage of synchronous generators through controlling the excitation voltage on the rotor. The terminal voltage is directly proportional to the reactive power or power factor of the synchronous generators. The main objective of an AVR is to maintain the voltage within the reference or nominal values. The AVR should be stable, efficient, and robust to disturbances, such as load variations, faults, and short circuits. A controller is installed in the AVR system to enhance its stability and dynamic response. Controllers, such as Proportional–Integral–Derivative (PID) [3], Proportional–Integral (PI), Proportional–Integral–Derivative–Acceleration (PIDA) [4], Fuzzy Logic [5], and Fractional PID (FPID) [6], maintain the terminal voltage in a closed-loop system. They sense the voltage across the terminals and compare it to the reference, producing an error signal that should be minimized. Therefore, the objective of an AVR system is to minimize the error signal through an objective function, ensuring system stability with fast time and frequency responses. These controllers’ parameters are tuned by optimization techniques and arithmetic algorithms according to the system’s dimensions.
In recent years, optimization techniques have been widely applied to Automatic Voltage Regulator (AVR) controller tuning to improve stability, robustness, and dynamic performance. Traditional tuning methods often face limitations when dealing with system nonlinearities, parameter uncertainties, and the trade-off between the transient response and steady-state accuracy. To address these challenges, researchers have adopted metaheuristic and hybrid optimization algorithms, which effectively balance exploration and exploitation to determine the optimal controller parameters. Nature-inspired and AI-driven algorithms have demonstrated superior performance by achieving faster convergence and avoiding local optima [7,8]. Incorporating these techniques into AVR systems enables significant improvements in overshoot reduction, settling time, and voltage regulation under dynamic operating conditions, establishing optimization-based controller design as a promising solution for modern power systems. Some of the intelligent algorithms are gradient-based optimization (GBO) [9], artificial rabbit optimization (ARO) [10], Sand Cat Swarm Optimization (SCSO) [11], the whale optimization algorithm (WOA) [12], particle swarm optimization (PSO) [13], and teaching–learning-based optimization (TLBO) [14].
Research studies have been conducted in this area to select the fastest and most robust optimization techniques to tune a controller’s parameters for the fastest transient response and enhanced AVR performance in a grid under different disturbance and loading conditions [15]. A recent research paper surveyed AVR systems connected to a PID controller tuned using various optimization algorithms developed over the past two decades. A comparison was made between the grasshopper optimization algorithm (GOA) and vortex search algorithm (VSA), with both demonstrating better performance than the PSO algorithm [16]. Another study comparing the WOA and moth–flame optimization (MFO) using PID controllers showed that the WOA achieved superior performance, but the maximum overshoot was only reduced [17]. Researchers have continued to work on optimizing AVR systems due to their critical role in power generation units and substations. A hybrid optimization of the exponential distribution optimization algorithm (EDO) and transit search optimization algorithm (TSOA) was used to tune a PID controller, resulting in better time and frequency responses than GOA and TLBO. A hybrid fireworks algorithm (FWA) and WOA were also used to tune a PIDD2 controller for an AVR system to analyse the stability, track the trajectory, reject disturbances, and manage parameter uncertainty. Recent papers have also studied AVR systems tuned by different controllers to improve the stability performance, as shown in Table 1. The table presents the types of optimizations, controllers, and comparisons with other optimization algorithms using the same controller [15].
In this paper, Non-Monopolize Optimization (NO) is proposed to tune PID and PIDA controllers and enhance the performance of an Automatic Voltage Regulator (AVR) system. The proposed method is benchmarked against several state-of-the-art optimization techniques through comprehensive simulations, including a step response, frequency response (Bode plots), and root locus analysis. The robustness is further validated under load variations of ±50%, demonstrating stable dynamic performance under fluctuating operating conditions. While numerous metaheuristic optimization techniques have been applied to AVR systems, many suffer from premature convergence, high computational costs, or improvements limited to either the time-domain or frequency-domain performance, with insufficient robustness to load disturbances. To bridge this gap, the NO algorithm introduces a lightweight, metaphor-free, and adaptive search mechanism that achieves superior transient and frequency responses while maintaining high robustness, thereby providing a more reliable and efficient solution for modern power systems.
This paper is organized into six sections. Section 1 introduces AVR systems and their impact on power systems. Section 2 discusses the components of AVR systems. Section 3 presents the controllers used in the MATLAB simulation and outlines the optimization techniques applied. Section 4 examines various objective functions used in AVR systems to minimize errors and enhance stability. Section 5 presents the simulation results, including a comparison with previously studied methods to evaluate the stability, response, and robustness of the AVR system. Finally, Section 6 concludes the paper and summarizes the key findings.

2. AVR System Components

An AVR system senses the terminal voltage using voltage sensors or voltage transformers (VTs) placed across the generator terminals and sends this signal back to the AVR. It then compares the reference voltage with the measured voltage from the VTs using an error detector (comparator) to obtain the error voltage. This error is processed by the controller to achieve better stability and a higher frequency response. The amplifier gain amplifies the error signal to adjust the excitation of the synchronous generator’s rotor, thereby minimizing the terminal voltage error and regulating it to match the reference or nominal voltage. The components of an AVR system include four gain elements, as listed in Table 2. The total transfer function of the AVR system was drawn in MATLAB Simulink and is illustrated in Figure 1 [1,2].

3. The Controllers and the Optimization Techniques

The controllers are installed to improve power system performance, and the objective functions are optimized to achieve the minimum error functions in the power system.

3.1. The Controllers

The controllers in this paper are the conventional-type PID and PIDA controllers, to study the effects of controller parameters on the frequency response as well as the time response. PID is a simple and robust controller and is widely used in diverse industries. It consists of three main gains, the proportional gain ( K p ), integral gain ( K i ), and derivative gain ( K d ), and is found in Equation (1) below. The proportional gain depends on the current error, which produces an output directly proportional to the error. It mainly reduces the rise time while the integral gain improves the steady state error of the system. The integral gain can accumulate past errors over time. The derivative gain reduces the maximum overshoot as well as stability margin enhancement, as it predicts the future based on the rate of change in the error [3].
G S = K P + K i S + K d   S  
PIDA is a third-order control system, with the addition of acceleration gain ( K a ) to the PID controller, which is expressed in the transfer function Equation (2). d and e are filter elements inside the controller. Equation (2) is simplified further to form a third-order polynomial function where the numerator consists of the four main gains ( K P ,   K d ,   K i ,   a n d   K a ) and the two α and β parameters in the dominator, as represented in Equation (3) [4].
G S = K P + K i S + K d   S   ( S + d )   + K a S 2 ( S + d ) ( S + e )
G S = K a S 3 + K d S 2 + K p S + K i S 3 + α S 2 + β   S

3.2. Non-Monopolize Search Optimization (NO)

The Non-Monopolize Optimization (NO) is a metaphor-free and single-solution-based algorithm designed to efficiently solve complex problems without depending on population-based analogies or metaphors. This optimization solves the problem of premature convergence or lack of adaptive behaviour, unlike traditional metaphor-free optimization techniques. It introduces a mechanism by adjusting each decision variable (dimension or controller parameter) of the current solution based on its behavioural characteristics. It is performed through a mixture of localized exploitation and adaptive exploration to reach the optimal search space (objective function). The steps for implementing the NO algorithm to meet these objectives are as follow [32]:
  • Initiate the parameters (maximum iteration (T), position (X), dimensions (Ds), and boundaries).
  • Calculate the objective function with the initial positions for all the dimensions within the boundaries where X(RP) is a random position within the boundaries).
  • If the iteration is less than half of maximum iteration, solve for the position as in Equation (4).
    X n e w   j = r a n d . X ( R P )
  • If the iteration is more than half of maximum iteration, solve for the position as in Equation (5).
    X n e w j = X j ( r a n d . X ( S e l e c t e d R P ) ) *   eps ( X j N O )
  • When the maximum iteration is reached, use the positions as the controller’s parameters for all the controller’s dimensions (a PID controller has three dimensions while a PIDA controller has six dimensions).
This optimization escapes the local optima and prevents premature convergence. As a result, it is crucial to tune the controller parameters for enhanced power system stability in an AVR system. The NO algorithm has diverse advantages over the existing metaphor-free algorithms [32]:
  • Dimension-Specific Adaptation: It operates at a dimensional level, unlike others that use the whole system, to enable the best adaptability and controllability in high-dimensional cases.
  • Stochastic Controlled Search: The operator’s randomness is balanced by a strategic local search for a better exploration–exploitation trade-off.
  • Improved convergence through bypassing the local optima through the inherent operator’s randomness.
  • Lower computational complexity through using a single solution-based algorithm. It means a smaller memory is needed and has lower computational power.
In this paper, the NO algorithm is applied to tune the controller parameters utilizing its distinctive features of non-metaphorical design, specific dimensions, and adaptive local search for higher accuracy, efficiency, and stability in controller tuning compared to the existing metaphor-free algorithms.

4. Objective Function

The objective function aims to minimize the voltage error (ΔVe) between the reference voltage and the terminal voltage of the generator. The most common objective functions in AVR systems for error minimization are Integrated Absolute Error (IAE), Integrated Squared Error (ISE), Integrated Time-weighted Squared Error (ITSE), and Integral Time-weighted Absolute Error (ITAE). These are represented by Equations (6), (7), (8), and (9), respectively.
In control system optimization, the IAE weights all errors equally, but this typically results in a slower response and longer settling time. The ISE is more sensitive to initial errors and penalizes large deviations more heavily. The ITSE balances the need to suppress large errors and sustain penalized late errors. It is used more in research and mathematical modelling. The ITAE is the most widely used objective function in industries due to its ability to produce low overshoot and short settling times. It is characterized by a fast response and quick error reduction as it adds a weighting factor based on the time. As a result, the ITAE is the best objective function used in AVR systems, and it is used in process industries [33]. The final transfer function of the system, after integrating the controller whose parameters are optimized using the selected objective function, is shown in Figure 2.
IAE = 0 t V e d t
ISE = 0 t ( V e ) 2 d t
ITSE = 0 t t ( V e ) 2 d t
ITAE = 0 t t V e d t

5. Results

After performing the step response simulation in MATLAB Simulink, several key analyses were conducted for each controller type, including a 1 p.u. step response, Bode plots, and root locus diagrams. A comprehensive comparison of the PID and PIDA controllers was carried out to identify the most effective optimization technique for tuning the controller parameters. The goal was to achieve optimal power system stability, high time-domain performance, fast frequency response, and strong robustness under load variations.
The transient response was evaluated based on the terminal voltage of the synchronous generator. The best time response, or the benchmark, was indicated by a minimal overshoot ( M p ) that was nearly equal to zero, the shortest rise time ( T r ), a reduced settling time at 5% or 2% ( T s ), and an improved steady-state error ( E s s ) that was nearly equal to 1. The time-domain performance was further assessed using a root locus analysis, from which the eigenvalues and damping ratios were extracted. The fastest time response had the highest damping ratio, nearly equal to one (close to the x-axis), and more negative real parts for the eigenvalues that indicate more system stability.
The frequency response was assessed using Bode diagrams, which provide the peak margin, gain margin, phase margin, and delay margin. The best frequency stability was characterized by the highest gain margin, the biggest phase margin (180 degrees), infinite delay margin, and zero peak margin. The controller parameters for each optimization technique were compared under the same conditions to determine the best AVR system performance. Furthermore, a robust analysis was performed on the best optimization technique to emphasize the power system’s stability and the speed of time response under various loading conditions. The stability should be within 5% of the nominal voltage or reference, and the time response should be within the normal condition ranges with minimal overshoot, rise time, settling time, and unity steady-state error.

5.1. AVR Connected to PID Controller

The PID controller was tuned using several optimization techniques, including the Non-Monopolize Optimization (NO), whale optimization algorithm (WOA), teaching-–earning-based optimization (TLBO), golf optimization algorithm (GOA), artificial bee colony (ABC), and artificial rabbits’ optimization (ARO). The controller gains ( K p , K i , and K d ) were constrained within the range [0, 1], and the optimization was conducted with a maximum of 100 iterations.
Figure 3 shows the step responses of the AVR system using the PID controller that was tuned by the different optimization techniques. The corresponding controller parameters and performance metrics are summarized in Table 3. The results indicate that the NO provided the lowest overshoot among all the techniques. The settling times were generally similar across all methods. Final evaluation of each optimization technique’s effectiveness was based on both the time and frequency response metrics.
Figure 4 presents the Bode diagram for the NO-PID controller only. The other optimization techniques are illustrated in Figure 5 for the frequency response analysis. The phase, gain, delay, and peak margins are calculated, analysed, and presented in Table 4. The NO-PID controller demonstrated the best frequency-domain performance, with the highest gain, phase, and delay margins, and the lowest peak margin.
The root locus diagram is calculated in Figure 6 for the NO-PID. The eigenvalues and damping ratios for all the techniques are presented in Table 5. The NO-PID controller achieved the highest damping ratio and more negative poles, indicating the fastest time response compared to the other techniques.

5.2. AVR Connected to PIDA Controller

The PIDA controllers had different margins compared to the PID controllers. The margins of PIDA controllers were as follows:
50     K a     150
450     K d     550
750     K p     850
350     K i     450
550     α     650
900     β     1000
For the PIDA controller, the transient response was also tested using various optimization methods: NO, WOA, TLBO, hybrid harmony search and dwarf mongoose optimization (HS/DMOA), current search (CS), BAT algorithm, and genetic algorithm (GA). This was conducted by a comparison with previous works in the literature [12,14,29,30,31]. Figure 7 illustrates the step response of the PIDA controllers. Table 6 contains the controller parameters and performance outcomes. Among these, the NO-PIDA achieved the lowest overshoot, while all techniques yielded similar rise times around 0.5 s. Both the NO and WOA showed the best settling times.
The frequency response analysis for the NO-PIDA controller is shown in Figure 8 and compared to the others as indicated in Figure 9. The analysis of the frequency response that was conducted on the optimization techniques used for the PIDA controller and the margins are indicated in Table 6 and Table 7. The NO-PIDA had the highest phase margin, gain margin, delay margin, and negligible peak margin. Although several methods had similar phase and delay margins, the NO-PIDA had a notably higher gain margin.
To assess the time response further, the root locus for the NO-PIDA is presented in Figure 10. The eigenvalues and damping ratios are listed in Table 8 for the different optimization techniques using the PIDA controller. The NO-PIDA controller demonstrated the best time response characteristics, featuring more negative poles and one of the highest damping ratios, approaching a value of 1—indicative of excellent time response and stability.

5.3. Robust Analysis of NO for PIDA Controller

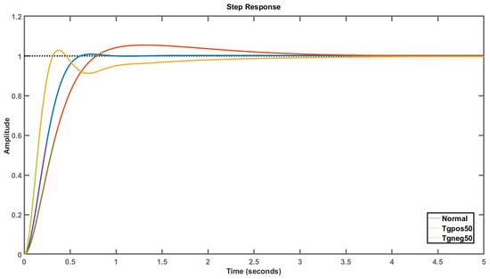
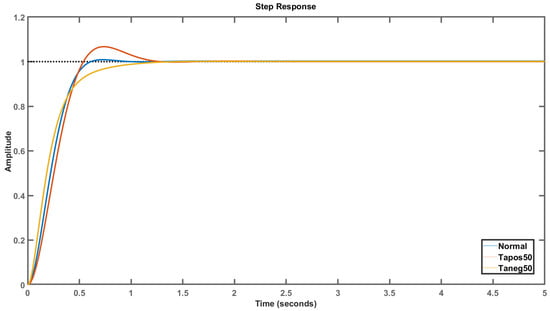
The operating point and the power system parameters depend on the load variation. As a result, a study was performed on the AVR parameters to reflect a variation in loads, with variations from 50% to −50% of their nominal values (time constant). The NO-PIDA was studied as it had the best power system stability and fastest time and frequency responses. The variations in the load on the amplifier, generator, exciter, and sensor are presented in Figure 11, Figure 12, Figure 13, and Figure 14, respectively. Table 9 shows the performance (maximum overshoot, settling time, and rise time) of the AVR system using the NO-PIDA, and Table 10 shows the maximum deviation and its percentage for the variation in load. The results emphasis the robustness of AVR system, where the maximum deviation is acceptable and power system stability is achieved during transients.

6. Conclusions

This paper shows how to fully combine the Non-Monopolize Optimization (NO) method with the tuning of both PID and PIDA controllers for AVR systems to adjust the terminal voltage in the synchronous generator. The NO algorithm is different from other metaheuristics since it has a tuning process that does not use metaphors and is expeditious. It had the best transient stability and fastest time response and frequency response compared to other techniques that use the same controllers. With the PID controller, compared to the others, the NO showed the lowest overshoot of 1.0622 p.u., the highest gain margin of 41.24 dB and phase margin of 176.05 degrees, and the biggest damping ratio. The results show a significant output for the simple PID controller compared to other modern controllers. The NO-PIDA controller had the best transient stability of 1 p.u. overshoot, the fastest frequency stability with a 43.07 dB gain margin and a 180-degree phase margin, and the highest dynamic behaviour with more negative eigenvalues and damping ratios near to 1.
A robust analysis of the NO-PIDA controller was performed to study a loading variation of ±50% on the transient stability, and showed a stable, robust, and efficient AVR system model. These results show that the NO could be a good alternative to the complicated, multi-agent optimizers used in power systems. In the future, this technology may be expanded to work with several machines, different modern controllers, and its performance may be tested on experimental testbeds to see if it can be used in grid-connected generators and smart microgrids.
In future research, the proposed NO approach could be further enhanced by combining it with other optimization techniques to achieve even better AVR system performance. Beyond MATLAB/Simulink simulations, a transition to real-time implementation is planned to validate the findings experimentally and assess their industrial applicability. A hardware-based AVR system will be developed with embedded control platforms, sensors, and power electronic components to monitor the parameters and regulate the terminal voltage. Experimental testing will include step and frequency response evaluations, with particular attention to noise sensitivity, unmodelled system dynamics, and statistical error margins under different dynamic load conditions. These investigations will provide deeper insights into the reliability and robustness of the proposed method, ensuring its suitability for practical power system applications.

Author Contributions

Conceptualization, A.M.M., M.A.A. and M.A.; Methodology, A.M.M., M.A.A., N.M.E. and N.M.H.; Software, A.M.M.; Validation, N.M.E., M.A., A.Y. and N.M.H.; Investigation, A.Y. and N.M.H.; Writing—original draft, A.M.M.; Writing—review and editing, M.A.A., N.M.E., M.A., A.Y. and N.M.H.; Supervision, M.A.A., N.M.E., M.A., and A.Y. All authors have read and agreed to the published version of the manuscript.

Funding

This research was funded by the Deanship of Scientific Research at Northern Border University, Arar, KSA (through project number NBU-FFR-2025-2124-07).

Data Availability Statement

The original contributions presented in this study are included in the article. Further inquiries can be directed to the corresponding authors.

Acknowledgments

The authors extend their appreciation to the Deanship of Scientific Research at Northern Border University, Arar, KSA, for funding this research (through project number NBU-FFR-2025-2124-07).

Conflicts of Interest

The authors declare no conflicts of interest.

References

  1. Ula, A.H.; Hasan, A.R. Design and implementation of a personal computer based automatic voltage regulator for a synchronous generator. IEEE Trans. Energy Convers. 2002, 7, 125–131. [Google Scholar] [CrossRef]
  2. Mosaad, A.M.; Abdelaziz, A.Y.; Attia, M.A. A survey on optimal design of controller for AVR performance enhancement. I-Manag. J. Instrum. Control. Eng. 2017, 6, 31. [Google Scholar] [CrossRef]
  3. Ang, K.H.; Chong, G.; Li, Y. PID control system analysis, design, and technology. IEEE Trans. Control. Syst. Technol. 2005, 13, 559–576. [Google Scholar] [CrossRef]
  4. Jung, S.; Dorf, R.C. Analytic PIDA controller design technique for a third order system. In Proceedings of the 35th IEEE Conference on Decision and Control, Kobe, Japan, 13 December 1996; Volume 3, pp. 2513–2518. [Google Scholar] [CrossRef]
  5. Chakraborty, S.; Mondal, A.; Das, C. Fuzzy fractional order PID controller design for AVR system. In Proceedings of the 2024 IEEE 3rd International Conference on Control, Instrumentation, Energy & Communication (CIEC), Kolkata, India, 25–27 January 2024; pp. 31–36. [Google Scholar] [CrossRef]
  6. Ahmadnia, M.; Hajipour, A.; Tavakoli, H. Robust variable-order fractional PID-LP fuzzy controller for Automatic Voltage Regulator systems. Appl. Soft Comput. 2024, 167, 112268. [Google Scholar] [CrossRef]
  7. Basar, G.; Der, O.; Guvenc, M.A. AI-powered hybrid metaheuristic optimization for predicting surface roughness and kerf width in CO2 laser cutting of 3D-printed PLA-CF composites. J. Thermoplast. Compos. Mater. 2025, 38, 2688–2717. [Google Scholar] [CrossRef]
  8. Seyyedabbasi, A.; Tareq Tareq, W.Z.; Bacanin, N. An effective hybrid metaheuristic algorithm for solving global optimization algorithms. Multimed. Tools Appl. 2024, 83, 85103–85138. [Google Scholar] [CrossRef]
  9. Ekinci, S.; Snášel, V.; Rizk-Allah, R.M.; Izci, D.; Salman, M.; Youssef, A.A. Optimizing AVR system performance via a novel cascaded RPIDD2-FOPI controller and QWGBO approach. PLoS ONE 2024, 19, e0299009. [Google Scholar] [CrossRef] [PubMed]
  10. Saravanan, G.; Suresh, K.P.; Pazhanimuthu, C.; Kumar, R.S. Artificial rabbits optimization algorithm based tuning of PID controller parameters for improving voltage profile in AVR system using IoT. E-Prime-Adv. Electr. Eng. Electron. Energy 2024, 8, 100523. [Google Scholar] [CrossRef]
  11. Shouran, M.; Alenezi, M.; Muftah, M.N.; Almarimi, A.; Abdallah, A.; Massoud, J. A novel AVR system utilizing fuzzy PIDF enriched by FOPD controller optimized via PSO and Sand Cat Swarm Optimization algorithms. Energies 2025, 18, 1337. [Google Scholar] [CrossRef]
  12. Mosaad, A.M.; Attia, M.A.; Abdelaziz, A.Y. Whale optimization algorithm to tune PID and PIDA controllers on AVR system. Ain Shams Eng. J. 2019, 10, 755–767. [Google Scholar] [CrossRef]
  13. Shouran, M.; Alenazi, M. A novel fuzzy PIDF enhancing PIDF controller tuned in two stages by TLBO and PSO algorithms for reliable AVR performance. IEEE Access 2025, 13, 93505–93522. [Google Scholar] [CrossRef]
  14. Mosaad, A.M.; Attia, M.A.; Abdelaziz, A.Y. Comparative performance analysis of AVR controllers using modern optimization techniques. Electr. Power Compon. Syst. 2018, 46, 2117–2130. [Google Scholar] [CrossRef]
  15. Mojumder, M.R.; Roy, N.K. Review of meta-heuristic optimization algorithms to tune the PID controller parameters for automatic voltage regulator. arXiv 2024, arXiv:2409.00538. [Google Scholar] [CrossRef]
  16. Saka, M. Optimal PID Controller Parameters Tuning via GOA and VSA for an AVR System. Int. J. Eng. Res. Dev. 2025, 17, 221–230. [Google Scholar] [CrossRef]
  17. Nath, K.; Pathak, A.; Singh, R.; Pal, A.; Chatterjee, S. Comparative analysis of the MFO tuned PID controller based autonomous power system. In Proceedings of the 2022 2nd International Conference on Advance Computing and Innovative Technologies in Engineering (ICACITE), Greater Noida, India, 28–29 April 2022; pp. 2046–2049. [Google Scholar] [CrossRef]
  18. Amin, M.S.; Attia, M.A.; Khamees, A.K.; Mekhamer, S.F.; Kotb, H.; AboRas, K.M.; Yousef, A. Development of AVR controller performance using exponential distribution and transit search optimization techniques. Front. Energy Res. 2024, 12, 1356978. [Google Scholar] [CrossRef]
  19. Dai, F.; Gao, S. Optimal design of a PIDD2 controller for an AVR system using hybrid whale optimization algorithm. IEEE Access 2024, 12, 128525–128540. [Google Scholar] [CrossRef]
  20. Kar, M.K.; Sabat, J.; Kanungo, S. Voltage profile enhancement of an AVR system using ant lion optimization algorithm. Eng. Res. Express 2025, 7, 015335. [Google Scholar] [CrossRef]
  21. Bouguenna, E.; Ladaci, S.; Lekouaghet, B.; Merrouche, W.; Benghanem, M. Fractional order PID controller design for an AVR system using the artificial hummingbird optimizer algorithm. Int. J. Robust Nonlinear Control 2025, 35, 3919–3943. [Google Scholar] [CrossRef]
  22. Bouguenna, E.; Lekouaghet, B.; Haddad, M. Improved Fractional PIαDβ Controller for AVR System via a New Optimization Algorithm. In Proceedings of the 2024 2nd International Conference on Electrical Engineering and Automatic Control (ICEEAC), Setif, Algeria, 12–24 May 2024; pp. 1–6. [Google Scholar] [CrossRef]
  23. Ibrahim, A.R.; Basil, N.; Mahdi, M.I. Implementation enhancement of AVR control system within optimization techniques. Int. J. Nonlinear Anal. Appl. 2021, 12, 2021–2027. [Google Scholar] [CrossRef]
  24. Zhang, J.; Zhang, T.; Zhang, G.; Kong, M. Parameter optimization of PID controller based on an enhanced whale optimization algorithm for AVR system. Oper. Res. 2023, 23, 44. [Google Scholar] [CrossRef]
  25. Alghamdi, S.; Sindi, H.F.; Rawa, M.; Alhussainy, A.A.; Calasan, M.; Micev, M.; Ali, Z.M.; Abdel Aleem, S.H. Optimal PID controllers for AVR systems using hybrid simulated annealing and gorilla troops optimization. Fractal Fract. 2022, 6, 682. [Google Scholar] [CrossRef]
  26. Pazhanimuthu, C.; Saravanan, G.; Suresh, K.P.; Kumar, R.S. Performance analysis of voltage profile improvement in AVR system using zebra optimization algorithms based on PID controller. E-Prime-Adv. Electr. Eng. Electron. Energy 2023, 6, 100380. [Google Scholar] [CrossRef]
  27. Gozde, H.; Taplamacioglu, M.C. Comparative performance analysis of artificial bee colony algorithm for automatic voltage regulator (AVR) system. J. Frankl. Inst. 2011, 348, 1927–1946. [Google Scholar] [CrossRef]
  28. Setiawan, M.H.; Ma’arif, A.; Suwarno, I. Optimal of PID Controller for Enhanced Performance in an AVR System. In Proceedings of the 2024 IEEE Third International Conference on Power Electronics, Intelligent Control and Energy Systems (ICPEICES), Delhi, India, 26–28 April 2024; pp. 304–311. [Google Scholar] [CrossRef]
  29. Hesham, O.M.; Attia, M.A.; Mekhamer, S.F. Enhancement of AVR system performance by using hybrid harmony search and dwarf mongoose optimization algorithms. Sci. Rep. 2024, 14, 27177. [Google Scholar] [CrossRef] [PubMed]
  30. Puangdownreong, D. Application of current search to optimum PIDA controller design. Intell. Control Autom. 2012, 3, 303–312. [Google Scholar] [CrossRef]
  31. Chetty, N.D.; Gandhi, R.; Sharma, G.; Çelik, E.; Kumar, R. Enhanced automatic voltage regulation using an extended PIDA controller optimised by the snake algorithm. Results Eng. 2025, 26, 105181. [Google Scholar] [CrossRef]
  32. Abualigah, L.; Al-qaness, M.A.; Abd Elaziz, M.; Ewees, A.A.; Oliva, D.; Cuong-Le, T. The non-monopolize search (NO): A novel single-based local search optimization algorithm. Neural Comput. Appl. 2024, 36, 5305–5332. [Google Scholar] [CrossRef]
  33. Sivanandhan, A.; Thriveni, G. Optimal design of controller for automatic voltage regulator performance enhancement: A survey. Electr. Eng. 2024, 106, 3705–3720. [Google Scholar] [CrossRef]
Figure 1. AVR system components model.
Figure 1. AVR system components model.
Processes 13 03072 g001
Figure 2. AVR system with controller’s parameters optimized.
Figure 2. AVR system with controller’s parameters optimized.
Processes 13 03072 g002
Figure 3. Step response of AVR system using PID controller.
Figure 3. Step response of AVR system using PID controller.
Processes 13 03072 g003
Figure 4. Bode diagram for AVR system using NO-PID controller.
Figure 4. Bode diagram for AVR system using NO-PID controller.
Processes 13 03072 g004
Figure 5. Bode diagram for AVR system using different optimizations with PID controller.
Figure 5. Bode diagram for AVR system using different optimizations with PID controller.
Processes 13 03072 g005
Figure 6. Root locus of AVR system using NO-PID controller.
Figure 6. Root locus of AVR system using NO-PID controller.
Processes 13 03072 g006
Figure 7. Step response of AVR system using PIDA controller.
Figure 7. Step response of AVR system using PIDA controller.
Processes 13 03072 g007
Figure 8. Bode diagram of AVR system using PIDA controller.
Figure 8. Bode diagram of AVR system using PIDA controller.
Processes 13 03072 g008
Figure 9. Bode diagram of different optimization techniques using PIDA controller.
Figure 9. Bode diagram of different optimization techniques using PIDA controller.
Processes 13 03072 g009
Figure 10. Root locus of AVR system using NO-PIDA controller.
Figure 10. Root locus of AVR system using NO-PIDA controller.
Processes 13 03072 g010
Figure 11. Time-changing constant ( T a ) using NO-PIDA controller.
Figure 11. Time-changing constant ( T a ) using NO-PIDA controller.
Processes 13 03072 g011
Figure 12. Time-changing constant ( T e ) using NO-PIDA controller.
Figure 12. Time-changing constant ( T e ) using NO-PIDA controller.
Processes 13 03072 g012
Figure 13. Time-changing constant ( T g ) using NO-PIDA controller.
Figure 13. Time-changing constant ( T g ) using NO-PIDA controller.
Processes 13 03072 g013
Figure 14. Time-changing constant ( T s ) using NO-PIDA controller.
Figure 14. Time-changing constant ( T s ) using NO-PIDA controller.
Processes 13 03072 g014
Table 1. Recent research on AVR systems with an optimally tuned controller.
Table 1. Recent research on AVR systems with an optimally tuned controller.
OptimizationControllerComparisonRef.
Quadratic wavelet-enhanced gradient-based optimization (QWGBO)RPIDD2-FOPIGBO, GSA, WOA, SMA, PDO[9]
Artificial rabbits’ optimization (ART)PIDNZ, MNZ, TSA, DE with PCA[10]
Sand cat swarm optimization (SCSO)Fuzzy PIDF + FOPDPSO under normal and uncertainty conditions[11]
Whale optimization algorithm (WOA)PID and PIDATLBO, LUS, HSA[12]
TLBO, PSOFuzzy PIDF + PIDFTLBO (PIDF), GA (PID), IWOA (PID), TLBO and PSO (FPID + FOPF)[13]
TLBO, HSA, LUSPID, PIDAPSO, GSA, ABC, PSO, DE, MOL[14]
Golf optimization algorithm (GOA) and vortex search algorithm (VSA)PIDPSO[16]
Hybrid of EDO and TSPIDGOA, TLBO[18]
Hybrid of FWA and WOAPIDD2FWWOA, SAGTO, PSO, WOA, TLBO[19]
Ant lion optimization (ALO)PIDBA, GWO, BBO[20]
Artificial hummingbird algorithm (AHA)FOPIDPSO, GWO, ABC, GA[21]
PID-based search algorithm (PSA)FPIDZN (PID)[22]
Jaya optimization algorithmPIDDE, PSO, ABC, GOA, BBO, EO, ROA[23]
EWOAPIDWOA, TSO, TSA, SCA, RSO, RSA, BA[24]
Hybrid simulated annealing (SA) and gorilla troops optimizer (GTO)PID, PIDD2GTO, HBA[25]
Zebra optimisation algorithm (ZOA) and osprey optimization algorithm (OOA)PIDZOA, OOA[26]
Artificial bee colony (ABC)PIDPSO, DE[27]
Manual tuningPIDWOA, GOA, CS, GWO, SFS, TSA, SCA[28]
Hybrid of harmony search (HS) and dwarf mongoose optimization (DMO)PIDA, PIDLUS, HAS, TLBO[29]
Current search (CS)PIDAPSO, GA[30]
Bat algorithm (BA)PIDACS, PSO, GA[31]
Table 2. AVR system components.
Table 2. AVR system components.
AVR ComponentGainsValues
1.
Amplifier
K A 1 + S   T A 10 1 + 0.1   S  
2.
Exciter
K E 1 + S   T E 1 1 + 0.4   S  
3.
Generator
K g 1 + S   T g 1 1 + S  
4.
Voltage sensor
K S 1 + S   T S 1 1 + 0.01   S  
Table 3. Step response performance of AVR system using PID controller.
Table 3. Step response performance of AVR system using PID controller.
Optimization K P K i K d OvershootRise TimeSettling Time
NO-PID0.844490.615330.376611.06220.1850.612
WOA-PID [12]0.78470.99610.30611.070.260.555
TLBO-PID [14]0.9685410.898251.2320.0950.5726
GOA-PID [16]2.52640.39880.46351.4540.1181.332
ABC-PID [27]1.65240.40830.36541.2500.1560.92
ARO-PID [10]1.03860.67480.38081.1540.1640.804
Manual-PID [28]1.22610.29020.28361.1710.1921.118
Table 4. Bode diagram performance of AVR system using PID controller.
Table 4. Bode diagram performance of AVR system using PID controller.
OptimizationPeak Margin (dB)Phase Margin (Degrees)Gain Margin (dB)Delay Margin (s)
NO-PID0.1974176.0541.247.082
WOA-PID [12]0.56915522.6991.04
TLBO-PID [14]3.4259.512.570.0553
GOA-PID [16]6.588175.58114.5861.78
ABC-PID [27]2.8769.418.60.111
ARO-PID [10]1.477159.56520.320.875
Manual-PID [28]1.696167.8241.091.42
Table 5. Eigen values (damping ratio) of AVR system using PID controller.
Table 5. Eigen values (damping ratio) of AVR system using PID controller.
Optimization Eigen Values (Damping Ratio)
NO-PID−101 (1)−5.15 ± 8.89j (0.501)−1.12 ± 0.614j (0.877)
WOA-PID [12]−101 (1)−5.24 ± 7.64j (0.565)−1.09 ± 1.3j (0.642)
TLBO-PID [14]−102 (1)−5.02 ± 14.7j (0.323)−0.52 ± 0.86j (0.511)
GOA-PID [16]−100 (1)−5.46 (1), −0.163 (1)−2.63 ± 10.22j (0.249)
ABC-PID [27]−101 (1)−4.74 (1), −0.25 (1)−3.75 ± 8.4j (0.4)
ARO-PID [10]−100 (1)−1.58 (1), −1.09 (1)−4.38 ± 9.113j (0.433)
Manual-PID [28]−101 (1)−4.05(1), −0.252 (1)−3.89 ± 7.096j (0.48)
Table 6. Step response performance of AVR system using PIDA controller.
Table 6. Step response performance of AVR system using PIDA controller.
Optimization K a K d K P K i α β OvershootRise TimeSettling Time
NO-PIDA111.586506.09777.98365.18623.3903.9710.3530.488
WOA-PIDA [12]103.02500.65777.4397.74550.12915.041.020.3280.453
TLBO-PIDA [14]150550850421.65509901.010.27320.81
HS/DMOA-PIDA [29]129.207527.12905.56356.81508.91890.2410.2740.932
CS-PIDA [30]101.01498.95799.12394.01589.54965.051.01820.5241.34
BAT-PIDA [31]149.98549.53755.11350550.23100010.31.182
GA-PIDA [30]99.1577.56784.01342.15592.97912.451.060.4512.5422
Table 7. Bode diagram performance of AVR system using PID controller.
Table 7. Bode diagram performance of AVR system using PID controller.
OptimizationPeak MarginPHASE MarginGain MarginDelay Margin
NO-PIDA0180 degrees43.07Inf
WOA-PIDA [12]0180 degrees41.5Inf
TLBO-PIDA [14]0180 degrees39.1Inf
HS/DMOA-PIDA [29]0180 degrees38.79Inf
CS-PIDA [30]0180 degrees42Inf
BAT-PIDA [31]0180 degrees39.2Inf
GA-PIDA [30]0.15123 degrees420.5 s
Table 8. Eigen values (damping ratio) of AVR system using PID controller.
Table 8. Eigen values (damping ratio) of AVR system using PID controller.
Optimization Eigen Values (Damping Ratio)
NO-PIDA−622 (1)−101(1)−0.856 (1)−5.08 ± 4.92j (0.719)−1.78 ± 0.734j (0.924)
WOA-PIDA [12]−548 (1)−101 (1)−2.28 (1)−4.93 ± 5.1j (0.695)−1.21 ± 0.33j (0.964)
TLBO-PIDA [14]−548 (1)−101 (1) −0.855 (1)−5.47 ± 7.29j (0.6)−1.23 ± 1.08j (0.6)
HS/DMOA-PIDA [29]−507.1 (1)−100 (1)−0.542 (1)−5.39 ± 6.82j (0.62)−1.76 ± 1.4j (0.784)
CS-PIDA [30]−588 (1)−101 (1)−0.926 (1)−4.92 ± 4.6j (0.73)−1.91 ± 0.55j (0.96)
BAT-PIDA [31]−548 (1)−101 (1)−0.936 (1)−5.51 ± 7.37j (0.6)−1.23 ± 0.7j (0.87)
GA-PIDA [30]−591 (1)−101 (1)−5.44 (1)−3.71 ± 4.57j (0.631)−0.82 ± 0.3j (0.938)
Table 9. Dynamic response performance of AVR system using NO-PIDA.
Table 9. Dynamic response performance of AVR system using NO-PIDA.
Time ConstantChange % M p T r T s
T a 50%1.0660.3550.713
−50%10.4120.526
T e 50%1.0760.4321.235
−50%10.2560.748
T g 50%1.0540.4931.474
−50%1.0290.1990.892
T s 50%1.0140.3430.413
−50%1.0040.3620.497
Table 10. Maximum deviations of AVR system using NO-PIDA.
Table 10. Maximum deviations of AVR system using NO-PIDA.
Time ConstantDeviation M p T r T s
T a Max0.0660.0590.225
Percentage (%)6.616.746.1
T e Max0.0760.0970.747
Percentage (%)7.627.47153
T g Max0.0540.1540.986
Percentage (%)5.443.62202
T s Max0.0140.0090.075
Percentage (%)1.42.515.36
Disclaimer/Publisher’s Note: The statements, opinions and data contained in all publications are solely those of the individual author(s) and contributor(s) and not of MDPI and/or the editor(s). MDPI and/or the editor(s) disclaim responsibility for any injury to people or property resulting from any ideas, methods, instructions or products referred to in the content.

Share and Cite

MDPI and ACS Style

Mosaad, A.M.; Attia, M.A.; Elbehairy, N.M.; Alruwaili, M.; Yousef, A.; Hamed, N.M. Enhancing AVR System Stability Using Non-Monopolize Optimization for PID and PIDA Controllers. Processes 2025, 13, 3072. https://doi.org/10.3390/pr13103072

AMA Style

Mosaad AM, Attia MA, Elbehairy NM, Alruwaili M, Yousef A, Hamed NM. Enhancing AVR System Stability Using Non-Monopolize Optimization for PID and PIDA Controllers. Processes. 2025; 13(10):3072. https://doi.org/10.3390/pr13103072

Chicago/Turabian Style

Mosaad, Ahmed M., Mahmoud A. Attia, Nourhan M. Elbehairy, Mohammed Alruwaili, Amr Yousef, and Nabil M. Hamed. 2025. "Enhancing AVR System Stability Using Non-Monopolize Optimization for PID and PIDA Controllers" Processes 13, no. 10: 3072. https://doi.org/10.3390/pr13103072

APA Style

Mosaad, A. M., Attia, M. A., Elbehairy, N. M., Alruwaili, M., Yousef, A., & Hamed, N. M. (2025). Enhancing AVR System Stability Using Non-Monopolize Optimization for PID and PIDA Controllers. Processes, 13(10), 3072. https://doi.org/10.3390/pr13103072

Note that from the first issue of 2016, this journal uses article numbers instead of page numbers. See further details here.

Article Metrics

Back to TopTop