Partial Discharge Method for State-of-Health Estimation Validated by Real-Time Simulation
Abstract
1. Introduction
- The CCM estimates the SOH and state of charge (SOC) of batteries by integrating current during charge and discharge cycles, using a constant capacity value for simplicity. It offers an easy solution for assessing battery performance within a specific range of SOH conditions. However, this method can introduce significant errors from inaccuracies in current sensors and fluctuations in charge and discharge efficiencies; to enhance reliability as batteries age, it is vital to implement periodic recalibration. Innovative methods use aging indicators to link key battery variables, offering a pathway to more accurate SOH and SOC estimations in real-world applications [13]. However, it is essential to recognize that, even with these advances, the combined method does not achieve all the desired attributes.
- The OM is a powerful tool for accurately estimating the internal state of dynamic systems by analyzing inputs and outputs, especially when direct measurements are impractical. By utilizing a mathematical model, it estimates unmeasured variables and refines predictions based on discrepancies between actual and estimated outputs. In battery applications, observers are crucial for determining the SOC by integrating current and voltage data and evaluating the SOH using aging indicators [18,19]. This method enhances the accuracy of battery assessments and improves energy system management, ensuring reliable and efficient operation. The attributes presented by this method are close to the desired attributes.
- In contrast to traditional SOH prediction methods, innovative methods have been developed to address their inherent issues, such as the challenges in extracting internal resistance and the low accuracy of SOH predictions, which are often impractical for real-world vehicle applications; these new methods leverage data-driven techniques, including neural networks, which introduce attributes that deviate from the desired characteristics [20,21].
- Easy integration into real-time applications by reducing the computational resources, computational burden, and complexity of its start-up.
- Adaptability of the SOH estimator to changes in battery behavior according to different applications.
- Utilization of generally available battery datasheet parameters and low-cost instrumentation for parametric estimation and validation of online SOH estimation (as well as state-of-charge (SOC) estimation).
- Versatility in modeling different battery technologies, considering the implementation cost and applicability to battery management and optimization systems in engineering and research.
- Partial discharge method permits estimating SOH with interval data of battery voltage, as well as current when a current demand starts.
2. Proposed Real-Time SOH Estimator Based on a Partial Discharge Method
2.1. SOH Energy
2.2. Partial Discharge Method
2.3. SOH Model Deduction
- A battery voltage level that indicates when the battery is fully charged and is also used to indicate the battery voltage at the beginning of the discharge ; this value is defined as the float voltage and is used as a constant, because it is obtained from the battery datasheet;
- A battery voltage level that indicates when the battery is fully discharged (the battery voltage value at the end of the backup period ), which is known as the final voltage , where this voltage level changes for every constant current profile.
2.4. Algorithm for Real-Time SOH Estimation
- Stage 1:
- The process begins by checking if a discharge has been initiated. When a discharge is started, it records the initial value of by taking its value from the current output of the SOC observer .
- Stage 2:
- Stage 3:
- If not, the algorithm checks whether the discharge continues; if yes, it continues integrating, and if not, the discharge stops, and it returns to the condition where the algorithm checks if a discharge has started.
- Stage 4:
- If yes, the algorithm calculates the n-th sample of the SOH voltage, and completes the process to wait for another discharge to start.
3. Test Results of the Proposed Method for Estimating SOH and SOC in Real Time
- 1.
- An offline Simulink–MATLAB simulation was conducted to validate the SOH estimator, using the models of the three different battery technologies.
- 2.
- A real-time simulation of an EV-BMS in the real-time simulation environment on OPAL-RT was performed to validate the SOH estimation proposal using the lithium-ion battery model.
3.1. Simulation 1
3.2. Simulation 2
4. Conclusions
Author Contributions
Funding
Data Availability Statement
Conflicts of Interest
Abbreviations
| ANN | Artificial Neural Networks |
| BMS | Battery Management Systems |
| CCM | Coulomb Counting Method |
| Com | Complex |
| DDM | Data-Driven Methods |
| DVA | Differential Voltage Analysis |
| EIS | Electrochemical Impedance Spectroscopy |
| ECM | Electrical circuit model |
| EVs | Electric Vehicles |
| EV-BMS | Electric Vehicles-Battery Management Systems |
| FL | Fuzzy Logic |
| GA | Genetic Algorithms |
| ICA | Incremental Capacity Analysis |
| IRM | Internal Resistance Measurement |
| KF | Kalman Filter |
| Lim | Limited |
| Li-ion | Lithium-ion |
| Med | Medium |
| Mod | Moderately |
| NiMH | Nickel-metal hydride |
| OCV | Open-Circuit Voltage |
| Off | Offline |
| OM | Observer Methods |
| On | Online |
| Pb-acid | Lead-acid |
| PDM | Partial Discharge Method |
| PE | Peukert Equation |
| RMSE | Root Mean Square Error (in Volts) |
| SM | Shepherd’s Model |
| SOC | State of Charge (in %) |
| SOH | State of Health (in %) |
| UM | Ultrasonic Method |
Nomenclature
| SOH energy | Units | Description |
| Joule | Available energy obtained during a full-discharge test | |
| Joule | Maximum energy that a battery can store according to the manufacturer design | |
| Ampere | Battery current as a function of time | |
| Ampere-hour | Nominal capacity of the battery (in datasheet) | |
| Volts | Battery voltage as a function of time | |
| Volts | Average of OCV in a full-discharge test | |
| Volts | SOH voltage, representing the SOH of the battery | |
| Seconds | Backup period | |
| PDM variables | Units | Description |
| Volts | SOC voltage, representing the SOC of the battery | |
| Volts | SOC voltage at the beginning of discharge | |
| , | Seconds | Time periods for measuring SOC discharge differences |
| Volts | Discharge difference in SOC between two time periods | |
| Dimensionless | Faradic efficiency (ratio of energy delivered to absorbed) | |
| SOC observer | Units | Description |
| a, c | Volts | Coefficient of the function used to obtain ECM parameters |
| b, d | Seconds−1 | Coefficient of the function used to obtain ECM parameters |
| Seconds−1 | Observer coefficient matrix | |
| (Farads·Seconds)−1 | Observer coefficient vector | |
| Dimensionless | Observer coefficient vector | |
| Farads | Equivalent available capacitance | |
| Constant equal to 3600 | ||
| , | Farads | Transient capacitances in the ECM |
| Voltage | Error between estimated variables and output vector | |
| , | Dimensionless | Cycle number and temperature-dependent factors |
| Dimensionless | Observer vector for SOC estimation | |
| , , , | Dimensionless | Coefficients of the observer vector for SOC estimation |
| K | Volts | Constant of the linear OCV function |
| M | Dimensionless | Slope of the linear OCV function |
| Ampere-hour | Available capacity | |
| Ohms | Internal resistance of the ECM | |
| , | Ohms | Transient resistances in the ECM |
| Volts/Seconds | Observer coefficient vector |
| Volts | Observer state variable as a function of time | |
| Volts | Nominal voltage of the battery | |
| Volts | OCV as a function of SOC voltage | |
| Volts | Estimated SOC voltage as a function of time | |
| Volts | Voltage across the internal resistance as a function of time | |
| Volts | Voltage across the circuit as a function of time | |
| Volts | Voltage across the circuit as a function of time | |
| Volts | Output vector as a function of time | |
| Volts | Difference state vector representing system dynamics | |
| Volts | State vector as a function of time | |
| , , , | Volts | ECM state variables |
| , , , | Volts | Observed state variables |
| Ampere | Difference in battery current | |
| Volts | Difference in battery voltage | |
| Seconds | Resting period | |
| SOH model | Units | Description |
| Ampere | p-th constant current profile | |
| Ampere | Reference current profile | |
| T | Celsius | Room temperature |
| Volts | Battery voltage at the end of the backup period | |
| Volts | Battery voltage at the beginning of discharge | |
| Volts | Final voltage at the end of discharge | |
| Volts | Final voltage of the p-th constant current profile | |
| Volts | Average final voltage during a partial discharge | |
| Volts | Instantaneous value of final voltage as a function of time | |
| Volts | Float voltage of the battery | |
| Volts | n-th estimated SOH voltage sample | |
| Volts | SOH estimator output voltage | |
| Dimensionless | p-th correlation sample of battery current | |
| Dimensionless | Correlation function of battery current | |
| , , | Dimensionless | Coefficients of the correlation function |
| , | Ampere−1 | Coefficients of the correlation function |
| Seconds | Backup period of the p-th constant current profile | |
| Seconds | Reference backup period of the reference current profile | |
| , , , | Volts | Coefficients for the function used to estimate |
| , | Seconds−1 | Coefficients for the function used to estimate |
| Others | Units | Description |
| j | Dimensionless | Index to indicate the number of resting periods |
| J | Dimensionless | Total number of resting periods |
| n | Dimensionless | Index to indicate the number of SOH voltage samples |
| N | Dimensionless | Total number of samples to calculate a moving average |
| p | Dimensionless | Index to indicate the number of constant current profiles |
| t | Seconds | Time variable |
| , , | Seconds | Time instants |
| Volts | Expected SOH voltage |
References
- Hasan, M.K.; Mahmud, M.; Ahasan Habib, A.; Motakabber, S.; Islam, S. Review of electric vehicle energy storage and management system: Standards, issues, and challenges. J. Energy Storage 2021, 41, 102940. [Google Scholar] [CrossRef]
- Liu, K.; Peng, Q.; Che, Y.; Zheng, Y.; Li, K.; Teodorescu, R.; Widanage, D.; Barai, A. Transfer learning for battery smarter state estimation and ageing prognostics: Recent progress, challenges, and prospects. Adv. Appl. Energy 2023, 9, 100117. [Google Scholar] [CrossRef]
- Schmitt, J.; Rehm, M.; Karger, A.; Jossen, A. Capacity and degradation mode estimation for lithium-ion batteries based on partial charging curves at different current rates. J. Energy Storage 2023, 59, 106517. [Google Scholar] [CrossRef]
- Swarnkar, R.; Ramachandran, H.; Ali, S.H.M.; Jabbar, R. A Systematic Literature Review of State of Health and State of Charge Estimation Methods for Batteries Used in Electric Vehicle Applications. World Electr. Veh. J. 2023, 14, 247. [Google Scholar] [CrossRef]
- Li, X.; Yuan, C.; Wang, Z.; He, J.; Yu, S. Lithium battery state-of-health estimation and remaining useful lifetime prediction based on non-parametric aging model and particle filter algorithm. eTransportation 2022, 11, 100156. [Google Scholar] [CrossRef]
- Wang, Z.; Feng, G.; Zhen, D.; Gu, F.; Ball, A. A review on online state of charge and state of health estimation for lithium-ion batteries in electric vehicles. Energy Rep. 2021, 7, 5141–5161. [Google Scholar] [CrossRef]
- Cong, L.; Wang, W.; Wang, Y. A review on health estimation techniques of end-of-first-use lithium-ion batteries for supporting circular battery production. J. Energy Storage 2024, 94, 112406. [Google Scholar] [CrossRef]
- Wang, Z.; Shi, D.; Zhao, J.; Chu, Z.; Guo, D.; Eze, C.; Qu, X.; Lian, Y.; Burke, A.F. Battery health diagnostics: Bridging the gap between academia and industry. eTransportation 2024, 19, 100309. [Google Scholar] [CrossRef]
- Jamila, E.H.; Taoufik, N. A Review of the Estimation of State of Charge (SOC) and State of Health (SOH) of Li-Ion Batteries in Electric Vehicles. In Technical and Technological Solutions Towards a Sustainable Society and Circular Economy; Springer Nature: Cham, Switzerland, 2024; Chapter 1; pp. 519–541. [Google Scholar] [CrossRef]
- Jiang, M.; Li, D.; Li, Z.; Chen, Z.; Yan, Q.; Lin, F.; Yu, C.; Jiang, B.; Wei, X.; Yan, W.; et al. Advances in battery state estimation of battery management system in electric vehicles. J. Power Sources 2024, 612, 234781. [Google Scholar] [CrossRef]
- S, V.; Che, H.S.; Selvaraj, J.; Tey, K.S.; Lee, J.W.; Shareef, H.; Errouissi, R. State of Health (SoH) estimation methods for second life lithium-ion battery—Review and challenges. Appl. Energy 2024, 369, 123542. [Google Scholar] [CrossRef]
- Demirci, O.; Taskin, S.; Schaltz, E.; Acar Demirci, B. Review of battery state estimation methods for electric vehicles-Part II: SOH estimation. J. Energy Storage 2024, 96, 112703. [Google Scholar] [CrossRef]
- Vignesh, S.; Che, H.S.; Selvaraj, J.; Tey, K.S. State of health indicators for second life battery through non-destructive test approaches from repurposer perspective. J. Energy Storage 2024, 89, 111656. [Google Scholar] [CrossRef]
- Gismero, A.; Nørregaard, K.; Johnsen, B.; Stenhøj, L.; Stroe, D.I.; Schaltz, E. Electric vehicle battery state of health estimation using Incremental Capacity Analysis. J. Energy Storage 2023, 64, 107110. [Google Scholar] [CrossRef]
- Ko, C.J.; Chen, K.C.; Su, T.W. Differential current in constant-voltage charging mode: A novel tool for state-of-health and state-of-charge estimation of lithium-ion batteries. Energy 2024, 288, 129826. [Google Scholar] [CrossRef]
- Theodore, A.M.; Şahin, M.E. Modeling and simulation of a series and parallel battery pack model in MATLAB/Simulink. Turk. J. Electr. Power Energy Syst. 2024, 4, 2–12. [Google Scholar] [CrossRef]
- Fahmy, H.; Hasanien, H.; Alsaleh, I.; Ji, H.; Alassaf, A. State of health estimation of lithium-ion battery using dual adaptive unscented Kalman filter and Coulomb counting approach. J. Energy Storage 2024, 88, 111557. [Google Scholar] [CrossRef]
- Du, J.; Liu, Z.; Wang, Y.; Wen, C. An adaptive sliding mode observer for lithium-ion battery state of charge and state of health estimation in electric vehicles. Control Eng. Pract. 2016, 54, 81–90. [Google Scholar] [CrossRef]
- Feng, Y.; Xue, C.; Han, Q.; Han, F.; Du, J. Robust Estimation for State-of-Charge and State-of-Health of Lithium-Ion Batteries Using Integral-Type Terminal Sliding-Mode Observers. IEEE Trans. Ind. Electron. 2020, 67, 4013–4023. [Google Scholar] [CrossRef]
- Fan, Y.; Lin, Q.; Huang, R. Non-Invasive Method-Based Estimation of Battery State-of-Health with Dynamical Response Characteristics of Load Surges. Energies 2024, 17, 583. [Google Scholar] [CrossRef]
- Hong, J.; Li, K.; Liang, F.; Yang, H.; Zhang, C.; Yang, Q.; Wang, J. A novel state of health prediction method for battery system in real-world vehicles based on gated recurrent unit neural networks. Energy 2024, 289, 129918. [Google Scholar] [CrossRef]
- Wang, Y.; Lai, X.; Chen, Q.; Han, X.; Lu, L.; Ouyang, M.; Zheng, Y. Progress and challenges in ultrasonic technology for state estimation and defect detection of lithium-ion batteries. Energy Storage Mater. 2024, 69, 103430. [Google Scholar] [CrossRef]
- Camboim, M.; Moreira, A.; Rosolem, F.; Beck, R.; Arioli, V.; Omae, C.; Ding, H. State of health estimation of second-life batteries through electrochemical impedance spectroscopy and dimensionality reduction. J. Energy Storage 2024, 78, 110063. [Google Scholar] [CrossRef]
- Ko, C.J.; Chen, K.C. Using tens of seconds of relaxation voltage to estimate open circuit voltage and state of health of lithium ion batteries. Appl. Energy 2024, 357, 122488. [Google Scholar] [CrossRef]
- Singh, K.; Tjahjowidodo, T.; Boulon, L.; Feroskhan, M. Framework for measurement of battery state-of-health (resistance) integrating overpotential effects and entropy changes using energy equilibrium. Energy 2022, 239, 121942. [Google Scholar] [CrossRef]
- Diao, W.; Jiang, J.; Zhang, C.; Liang, H.; Pecht, M. Energy state of health estimation for battery packs based on the degradation and inconsistency. Energy Procedia 2017, 142, 3578–3583. [Google Scholar] [CrossRef]
- IEEE Std 450-2002; IEEE Recommended Practice for Maintenance, Testing, and Replacement of Vented Lead-Acid Batteries for Stationary Applications. IEEE: Piscataway, NJ, USA, 2003; pp. 1–56. [CrossRef]
- Nejad, S.; Gladwin, D.; Stone, D. A systematic review of lumped-parameter equivalent circuit models for real-time estimation of lithium-ion battery states. J. Power Sources 2016, 316, 183–196. [Google Scholar] [CrossRef]
- Singh, A.; Izadian, A.; Anwar, S. Nonlinear Model Based Fault Detection of Lithium Ion Battery Using Multiple Model Adaptive Estimation. IFAC Proc. Vol. 2014, 47, 8546–8551. [Google Scholar] [CrossRef]
- Plett, G.L. Battery Management Systems, Volume I: Battery Modeling; Artech House: Norwood, Australia, 2015. [Google Scholar]
- Energizer. Energizer NH15-2300 (HR6). 2024. Available online: https://data.energizer.com (accessed on 1 May 2024).
- Mouser. PS-260 Rechargeable Sealed Lead Acid Battery. 2024. Available online: https://www.mouser.com (accessed on 1 May 2024).
- GmbH, S.P. Li-ion NCR18650P-H93VA. 2024. Available online: https://www.liontecshop.com (accessed on 1 May 2024).









| Attributes/Methods | Desired | CCM | ICA, DVA | PE, SM | KF | OM | DDM | UM | EIS | OCV | IRM | Proposal |
|---|---|---|---|---|---|---|---|---|---|---|---|---|
| Online/off-line | On | On | On | On | On | On | On | On | On | Off | Off | On |
| For embedded systems | Easy | Easy | Mod | Lim | Mod | Mod | Com | Com | Com | Easy | Easy | Easy |
| Computational resources/burden | Low | Low | Med | Low | High | Med | High | High | High | Low | Low | Low |
| Calibration for start-up | Easy | Easy | Easy | Easy | Mod | Mod | Com | Com | Com | Easy | Mod | Easy |
| Charge/discharge description | ✓ | ✓ | ✓ | ✓ | ✓ | ✓ | ✓ | ✓ | ✓ | |||
| For fault detection/diagnosis | ✓ | ✓ | ✓ | ✓ | ✓ | ✓ | ✓ | ✓ | ||||
| Design and implementation cost | Low | Low | Med | Low | Med | Low | High | High | High | Low | Low | Low |
| Used in reliable engineering | ✓ | ✓ | ✓ | ✓ | ✓ | ✓ | ✓ | ✓ | ✓ | ✓ | ||
| Used in research and development | ✓ | ✓ | ✓ | ✓ | ✓ | ✓ | ✓ | ✓ | ✓ | |||
| For management and optimization | ✓ | ✓ | ✓ | ✓ | ✓ | ✓ | ✓ | |||||
| Estimation with interval data | ✓ | ✓ | ✓ |
| Parameters and Equations | Method and Description |
|---|---|
| Available capacitance: . | Integral of the battery current method (in a full-discharge test): is in Farads [30], and are cycle number and temperature-dependent correction factors (dimensionless), respectively (they are ideally “1” because and temperature are considered constants each cycle), and is a constant equal to 3600 s per volt-hours. |
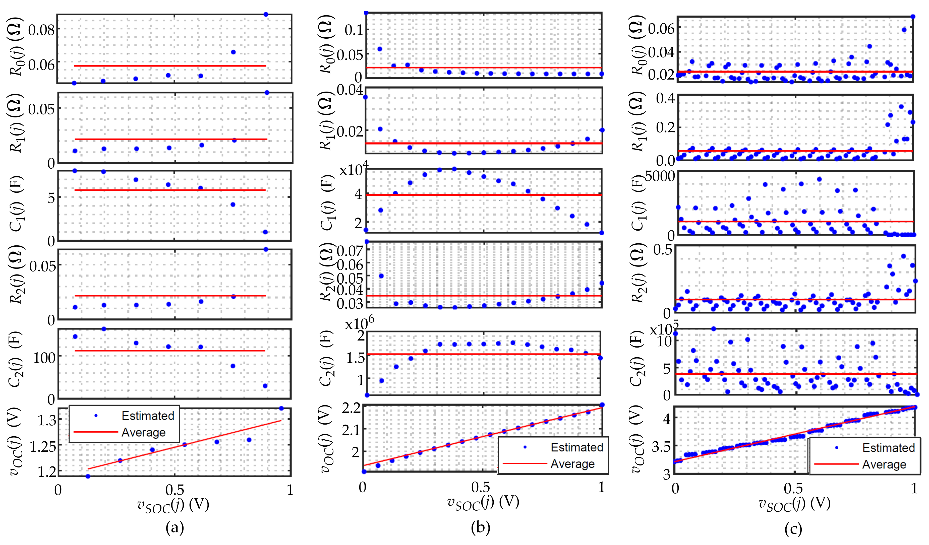
| Internal resistance: . | Current and voltage step (at in Figure 2): is in Ohms [18]. j represents the rest period number. is estimated by averaging the J resistance values obtained by the ratio between and (at the transition of to 0 A), at the start of each j-th . |
| Open-circuit voltage: . | Linear function of the open-circuit voltage versus SOC voltage: (in Volts) is estimated using linear regression of J values of OCV obtained at the end of each j-th (at ). M and K are constants. |
| RC parameters: . | Linearized exponential regression (every and after a pulse): and are in Ohms, and are in Farads [18]. The measured voltage data of each (between and ) are conditioned as a two-term exponential function. is the voltage value at the end of every (at ). The value of is obtained by the integral of the current at the j-th discharge segment. Coefficients a, b, c, and d are calculated using the Curve Fitting Toolbox in MATLAB [18]. RC parameters are estimated using the average of the J values of the j-th coefficients a, b, c, and d obtained at every j-th . |
| Battery Data (Math. Symbol, and Unit) | NiMH | Pb-Acid | Li-Ion |
|---|---|---|---|
| Nominal voltage (, V) | 1.2 a | 2.0 b | 3.6 c |
| Float voltage (, V) | 1.4 a | 2.35 b | 4.2 c |
| Nominal capacity (, Ah) | 2.3 a | 6.0 b | 2.7 c |
| Available capacity (, Ah) | 1.448 | 6.592 | 1.339 |
| Equivalent available capacitance (, F) | 5212.8 | 23731.2 | 4820.4 |
| Internal resistance (, ) | 0.05744 | 0.02165 | 0.02430 |
| Transient resistance one (, ) | 0.02173 | 0.01380 | 0.05577 |
| Transient resistance two (, ) | 0.02175 | 0.03470 | 0.09786 |
| Transient capacitance one (, F) | 5.7635 | 38,734.5258 | 1045.6885 |
| Transient capacitance two (, F) | 112.2328 | 1,519,282.831 | 379,918.1737 |
| Slope of the linear OCV function (M, dimensionless) | 0.1133 | 0.2555 | 0.9755 |
| Constant of the linear OCV function (K, V) | 1.1886 | 1.9372 | 3.215 |
| Coefficient | NiMH | Pb-Acid | Li-Ion |
|---|---|---|---|
| 41.9330 | 1.8965 | 2.6896 | |
| −39.5367 | 3.5968 × 10−5 | 7.2341 × 10−5 | |
| −93.7191 | 1.8965 | 2.6896 | |
| −3.0812 | 1.1941 × 10−5 | 1.0664 × 10−5 |
| Coefficients | NiMH | Pb-Acid | Li-Ion |
|---|---|---|---|
| (V) | 1.14 | 1.83 | 3.27 |
| (V) | −0.142 | −0.161 | −1.79 × 10−13 |
| (1/s) | −0.183 | −0.0914 | 5.25 |
| (V) | −0.102 | −0.384 | −0.630 |
| (1/s) | −2.07 | −1.31 | −0.500 |
| Coefficients | NiMH | Pb-Acid | Li-Ion |
|---|---|---|---|
| (·) | 1.04 | 1.14 | 1.16 |
| (·) | −0.00471 | −0.142 | 0.0148 |
| (1/A) | 0.748 | −0.183 | −0.345 |
| (·) | −0.0440 | −0.102 | 0.0418 |
| (1/A) | −0.376 | −2.07 | −2.30 |
| (A) | 2.30 | 3.60 | 2.7 |
| (h) | 1 | 1 | 1 |
| Data Description | NiMH | Pb-Acid | Li-Ion |
|---|---|---|---|
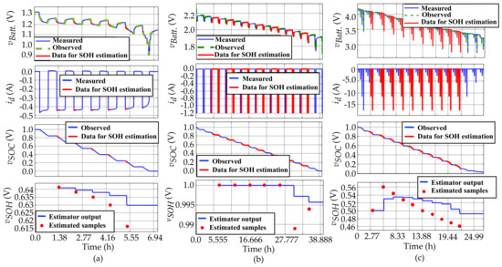
| SOC observed battery voltage RMSE | 0.037747 V | 0.01621 V | 0.007452 V |
| Expected SOH voltage (given by ) | 0.629 V (∼62.9%) | 1.000 V (∼100%) | 0.495 V (∼49.5%) |
| Number of samples used in the moving average (N) | 4 | 4 | 7 |
| Standard deviation of SOH voltage output | 0.00385 V | 0.00165 V | 0.01431 V |
| Mean of SOH voltage outputs | 0.636 V (∼63.6%) | 0.998 V (∼99.8%) | 0.518 V (∼51.8%) |
| Percentage of standard deviation to mean | 0.605% | 0.165% | 2.760% |
| used to estimate | 0.02 V (∼2%) | 0.07 V (∼7%) | 0.05 V (∼5%) |
| Data Description | Li-Ion |
|---|---|
| Observed battery voltage RMSE | 0.001671 V |
| Expected SOH voltage (by: ) | 0.495 (∼49.5%) |
| Number of samples used in the moving average (N) | 10 |
| Standard deviation of SOH voltage output | 0.03497 V |
| Mean of SOH voltage outputs | 0.490 V (∼49.0%) |
| Percentage of standard deviation to mean | 7.124% |
| used to estimate | 0.01 (∼1%) |
Disclaimer/Publisher’s Note: The statements, opinions and data contained in all publications are solely those of the individual author(s) and contributor(s) and not of MDPI and/or the editor(s). MDPI and/or the editor(s) disclaim responsibility for any injury to people or property resulting from any ideas, methods, instructions or products referred to in the content. |
© 2024 by the authors. Licensee MDPI, Basel, Switzerland. This article is an open access article distributed under the terms and conditions of the Creative Commons Attribution (CC BY) license (https://creativecommons.org/licenses/by/4.0/).
Share and Cite
Camargo-Trigueros, E.; Visairo-Cruz, N.; Núñez-Gutiérrez, C.-A.; Segundo-Ramírez, J. Partial Discharge Method for State-of-Health Estimation Validated by Real-Time Simulation. Processes 2024, 12, 2389. https://doi.org/10.3390/pr12112389
Camargo-Trigueros E, Visairo-Cruz N, Núñez-Gutiérrez C-A, Segundo-Ramírez J. Partial Discharge Method for State-of-Health Estimation Validated by Real-Time Simulation. Processes. 2024; 12(11):2389. https://doi.org/10.3390/pr12112389
Chicago/Turabian StyleCamargo-Trigueros, Eugenio, Nancy Visairo-Cruz, Ciro-Alberto Núñez-Gutiérrez, and Juan Segundo-Ramírez. 2024. "Partial Discharge Method for State-of-Health Estimation Validated by Real-Time Simulation" Processes 12, no. 11: 2389. https://doi.org/10.3390/pr12112389
APA StyleCamargo-Trigueros, E., Visairo-Cruz, N., Núñez-Gutiérrez, C.-A., & Segundo-Ramírez, J. (2024). Partial Discharge Method for State-of-Health Estimation Validated by Real-Time Simulation. Processes, 12(11), 2389. https://doi.org/10.3390/pr12112389

