Research on the Mechanism of Thermal Power Enhancement in an Interior Permanent Magnet Eddy Current Heater Driven by Wind
Abstract
1. Introduction
- An IPMECH model is established, a 2D finite element analysis of the electromagnetic field is carried out, and the MF distribution, stator eddy current distribution, and thermal power distribution characteristics are analyzed.
- The effects of different stator and permanent magnet materials on the heater air-gap magnetic flux density (MFD), stator MFD, thermal power, and torque characteristics are analyzed in detail.
- The influences of different air-gap lengths and stator wall thicknesses on the MFD and output characteristics of the heater are discussed, providing a theoretical basis for the design and optimization of the heater.
2. Methods and Verification
2.1. IPMECH Model
2.2. Mathematical Model of the IPMECH
- Ignore the end effect of the heater and convert the 3D model to a 2D model.
- Ignore the displacement current within the stator and air gap, i.e., the normal current density on the stator surface remains constant at 0.
- The electromagnetic field is regarded as a quasi-steady alternating current electric field, and all components of the electromagnetic field are continuously differentiable near the calculation point.
- The stator, rotor, and permanent magnet materials are isotropic, and the conductivity, permeability, and permittivity are constant.
- All currents flow perpendicular to the x-y plane, the MF associated with these currents lies in the x-y plane, and the magnetic vector potential has only a z-axis component.
- Faraday’s law
- Ampere’s law
- Gauss’s law for the MF
- Gauss’ law
2.3. Verification
3. Results and Discussion
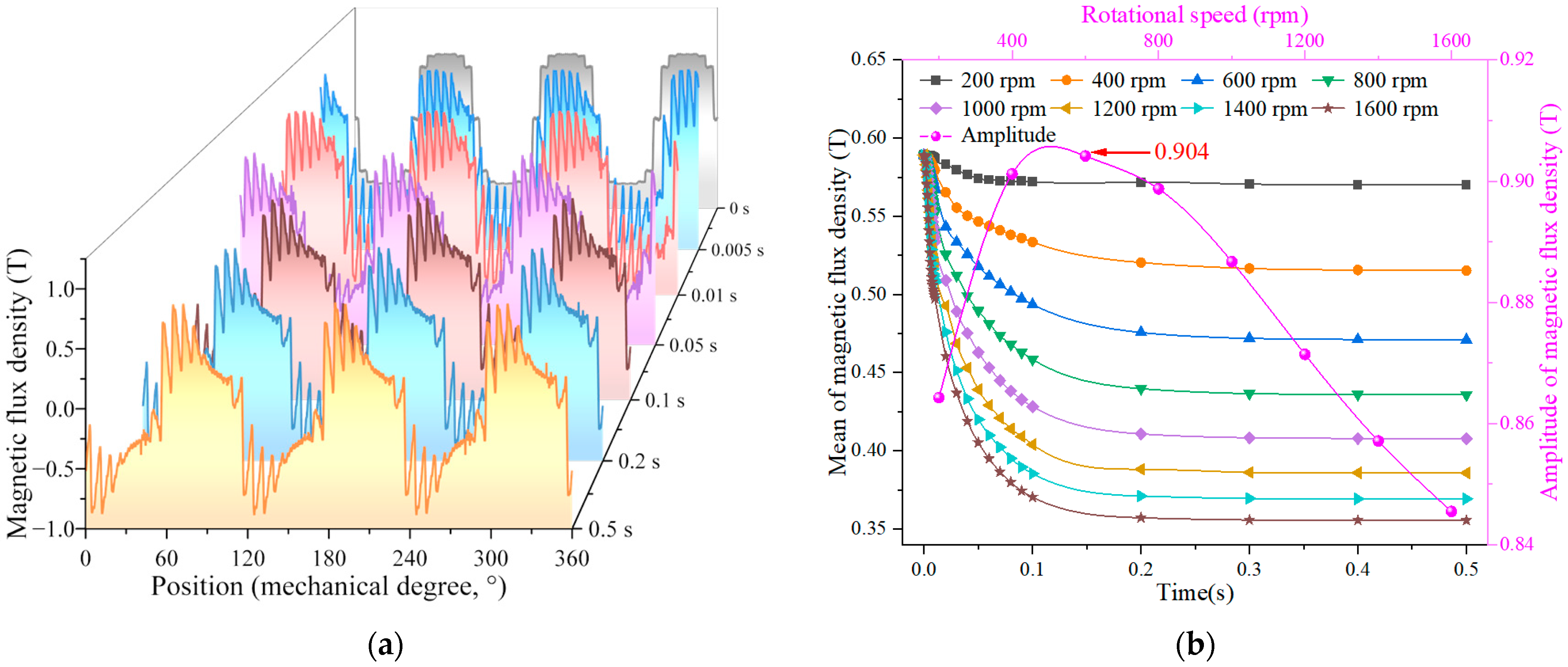
3.1. Electromagnetic and Thermal Power of the IPMECH Prototype
3.2. Performance of the IPMECH with Different Materials
3.2.1. Influence of the Stator Material
3.2.2. Influence of the Permanent Magnet Material
3.3. Performance of IPMECHs with Different Air-Gap Lengths
3.4. Performance of IPMECHs with Different Stator Wall Thicknesses
4. Conclusions
- The armature MF generated by the eddy current produces a magnetization effect on the side of its rotation direction, but the MF in the stator will be weakened in general, and this effect becomes more significant with the increase in the rotational speed. The eddy current region is mainly distributed on the inner side of the stator. The intensity of the eddy current increases with the increase in rotational speed, and the area of the eddy current region decreases with the increase in rotational speed.
- Compared to conductivity, permeability has a greater impact on the heater. Therefore, steel-1010 with higher permeability is selected as the stator material for the heater, which has higher thermal power and torque and a lower proportion of high-order harmonics, properties that are beneficial for reducing the radial vibration of the heater. Choosing NdFeB35 with high remanence of the permanent magnet can increase the thermal power and torque of the heater, which is beneficial for improving the thermal power density of the heater.
- The air-gap lengths are 0.1 mm and 2 mm, the fundamental wave amplitudes are 0.94 T and 0.64 T, the 3rd harmonic values are 0.24 and 0.18, and the thermal power is 1.12 kW and 0.35 kW, respectively, with a rotational speed of 200 rpm. Reducing the length of the air gap is beneficial for improving the thermal power of the heater, but it also increases the harmonic MFD.
- The thermal power increases rapidly with the increase in the stator wall thickness, reaching its maximum value, then slightly decreasing, and finally remaining stable. At a rotational speed of 1000 rpm, the thermal power of stator wall thicknesses of 1, 6, and 12 mm is 0.13, 4.2, and 8.4 kW, respectively. When designing a heater with the maximum thermal power and minimum material cost, the higher the rotational speed, the smaller the stator wall thickness should be.
- We will further optimize the structure and materials of the IPMECH in the future. Afterwards, experiments will be conducted to explore the operational characteristics of the IPMECH.
Author Contributions
Funding
Data Availability Statement
Conflicts of Interest
Nomenclature
| IPMECH | Interior permanent magnet eddy current heater |
| MFD | Magnetic flux density |
| MF | Magnetic field |
| FEM | Finite element method |
| PMECH | Permanent magnet eddy current heater |
| Symbols | |
| α | Maximum angle of the permanent magnet (°) |
| β | Minimum angle of the permanent magnet (°) |
| Adjacent magnetic pole angle (°) | |
| b/c | Thickness of the flux barrier (mm) |
| h | Thickness of the permanent magnet (mm) |
| w | Length of the permanent magnet (mm) |
| R1 | Radius of the shaft (mm) |
| R2 | Outer radius of the rotor (mm) |
| R3 | Inner radius of the stator (mm) |
| R4 | Outer radius of the stator (mm) |
| The electric field (V/m) | |
| The magnetic flux density (MFD) (T) | |
| The magnetic field (MF) intensity (A/m) | |
| The current density (A/m2) | |
| The electric displacement (C/m2) | |
| The charge density (C/m3) | |
| The permittivity | |
| The permeability (H/m) | |
| The conductivity (S/m) | |
| The vacuum permittivity | |
| The vacuum permeability (H/m) | |
| The relative permittivity | |
| The relative permeability | |
| The angular velocity of MF variation (rad/s) | |
| The phase angle of the solution point (°) | |
| The rotational speed | |
| The mean MFD (T) | |
| The air-gap length (mm) | |
| The distance to the inner edge of the stator (mm) | |
| The ratio of the amplitude of the i order harmonic to that of the fundamental harmonic | |
| The i order harmonic amplitude (T) | |
| The fundamental (first) harmonic amplitude (T) |
References
- Hadadi, S.; Kang, S.; Park, G.; Lee, J.H. Analysis of the Eddy Current of Water Heating Device to Convert Wind Energy Directly into Heat: Case Study Maldo Island, South Korea. Appl. Energy 2024, 376, 124192. [Google Scholar] [CrossRef]
- He, Y.; Zhu, C.; Cao, C. A Wind Power Ramp Prediction Method Based on Value-at-Risk. Energy Convers. Manag. 2024, 315, 118767. [Google Scholar] [CrossRef]
- IEA. Energy System Buildings Overview. World Energy Outlook 2024-Event-IEA. Available online: https://www.iea.org/energy-system/buildings/ (accessed on 23 August 2024).
- You, G.D.; Chang, Z.C.; Li, X.Y.; Liu, Z.F.; Xiao, Z.Y.; Lu, Y.R.; Zhao, S. Using Enhanced Variational Modal Decomposition and Dung Beetle Optimization Algorithm Optimization-Kernel Extreme Learning Machine Model to Forecast Short-Term Wind Power. Electr. Power Syst. Res. 2024, 236, 110904. [Google Scholar] [CrossRef]
- Li, J.; Meng, F.; Zhang, Z.; Zhang, Y. Prediction of Wind Power Ramp Events via a Self-Attention Based Deep Learning Approach. Energy Rep. 2024, 12, 1488–1502. [Google Scholar] [CrossRef]
- Miao, Q.; Wang, D.; Xia, Z.; Xu, C.; Zhan, J.; Wu, C. Exploring Spatio-Temporal Dynamics for Enhanced Wind Turbine Condition Monitoring. Mech. Syst. Signal Process. 2025, 223, 111841. [Google Scholar] [CrossRef]
- GWEC. Global Wind Report 2024. Global Wind Energy Council. 2024, p. 75. Available online: https://gwec.net/global-wind-report-2024/ (accessed on 23 August 2024).
- Sun, B.; Su, M.; He, J. Wind Power Prediction through Acoustic Data-Driven Online Modeling and Active Wake Control. Energy Convers. Manag. 2024, 319, 118920. [Google Scholar] [CrossRef]
- Hou, X.; Hu, W.; Luo, M. Short-Term Wind Farm Cluster Power Point-Interval Prediction Based on Graph Spatio-Temporal Features and S-Stacking Combined Reconstruction. Heliyon 2024, 10, e33945. [Google Scholar] [CrossRef]
- Sulaiman, M.H.; Mustaffa, Z. Enhancing Wind Power Forecasting Accuracy with Hybrid Deep Learning and Teaching-Learning-Based Optimization. Clean. Energy Syst. 2024, 9, 100139. [Google Scholar] [CrossRef]
- Liu, L.; Wang, X.; Dong, X.; Chen, K.; Chen, Q.; Li, B. Interpretable Feature-Temporal Transformer for Short-Term Wind Power Forecasting with Multivariate Time Series. Appl. Energy 2024, 374, 124035. [Google Scholar] [CrossRef]
- Liu, X.; Wu, Y.; Li, H.; Zhou, H. Design and Development of Pilot Plant Applied to Wind and Light Abandonment Power Conversion: Electromagnetic Heating of Solid Particles and Steam Generator. J. Clean. Prod. 2024, 470, 143313. [Google Scholar] [CrossRef]
- Cheng, R.; Yang, D.; Liu, D.; Zhang, G. A Reconstruction-Based Secondary Decomposition-Ensemble Framework for Wind Power Forecasting. Energy 2024, 308, 132895. [Google Scholar] [CrossRef]
- Rao, A.K.; Kundu, P. System Integrity Protection Scheme for Minimizing Wind Curtailment Considering Transmission Line Thermal Limits. Sustain. Energy Grids Netw. 2023, 33, 100970. [Google Scholar] [CrossRef]
- Mu, Y.; Li, H.; Yu, X.; Jia, H.; Wang, M.; Hou, K.; Wang, Z. A Scenario-Based Optimal Dispatch for Joint Operation of Wind Farms and Combined Heat and Power Plants Considering Energy Flexibilities in Heating Networks. Electr. Power Syst. Res. 2022, 204, 107683. [Google Scholar] [CrossRef]
- Lei, Z.; Wang, G.; Li, T.; Cheng, S.; Yang, J.; Cui, J. Strategy Analysis about the Active Curtailed Wind Accommodation of Heat Storage Electric Boiler Heating. Energy Rep. 2021, 7, 65–71. [Google Scholar] [CrossRef]
- Fang, Y.; Fan, R.; Shao, Z.; Yue, Y.; Liu, Z. Research on the Cost Allocation Mechanism of Wind Power Heating in China from a Cost-Benefit Perspective. Energy Rep. 2024, 11, 4622–4630. [Google Scholar] [CrossRef]
- Zheng, J.; Zhou, Z.; Zhao, J.; Hu, S.; Wang, J. Effects of Intermittent Heating on an Integrated Heat and Power Dispatch System for Wind Power Integration and Corresponding Operation Regulation. Appl. Energy 2021, 287, 116536. [Google Scholar] [CrossRef]
- Nourollahi, R.; Zare, K.; Mohammadi-Ivatloo, B.; Vahidinasab, V.; Moghadam, A.A. Continuous-Time Optimization of Integrated Networks of Electricity and District Heating under Wind Power Uncertainty. Appl. Therm. Eng. 2023, 225, 119926. [Google Scholar] [CrossRef]
- Wang, W.; Dong, Z. Economic Benefits Assessment of Urban Wind Power Central Heating Demonstration Project Considering the Quantification of Environmental Benefits: A Case from Northern China. Energy 2021, 225, 120246. [Google Scholar] [CrossRef]
- Neumeier, M.; Cöster, M.; Pais, R.A.M.; Levedag, S. State of the Art of Windthermal Turbines: A Systematic Scoping Review of Direct Wind-to-Heat Conversion Technologies. J. Energy Resour. Technol. Trans. ASME 2022, 144, 040802. [Google Scholar] [CrossRef]
- Liu, X.H.; Chen, C.C.; Yu, H.D.; Wei, G.D.; Tian, Z.D. The Study of the Heat Device in Wind-Magnetic Water Heater. Adv. Mater. Res. 2011, 201, 460–464. [Google Scholar] [CrossRef]
- Sobor, I.; Chicuic, A.; Ciuperca, R.; Rachier, V. Concerning the Conversion Efficiency Increase of the Available Wind Potential. Ann. Univ. Craiova Electr. Eng. Ser. 2011, 35, 122–127. [Google Scholar]
- Cao, K.K.; Nitto, A.N.; Sperber, E.; Thess, A. Expanding the Horizons of Power-to-Heat: Cost Assessment for New Space Heating Concepts with Wind Powered Thermal Energy Systems. Energy 2018, 164, 925–936. [Google Scholar] [CrossRef]
- Du, H.; Qu, Y.; Cheng, S. A Novel Dynamic Electromagnetic Heating-Magnetizing Device Used for Reverse Osmosis System. Proc. Adv. Mater. Res. 2012, 562, 913–916. [Google Scholar] [CrossRef]
- Shukang, C.; Lei, C.; Yunpeng, H.; Wei, Z.; Tao, L. Fundamental Research on Flameless Electromagnetic Heater Based on the Reverse Problem of Temperature Rise and Loss in Electrical Machines. In Proceedings of the 2008 IEEE Vehicle Power and Propulsion Conference, Harbin, China, 3–5 September 2008. [Google Scholar]
- Chu, J. Mathematic Model Based on Rotating Electromagnetic Theory Used in Building a Thermal Circuit Used in Food Heater. Carpathian J. Food Sci. Technol. 2016, 8, 106–113. [Google Scholar]
- Tudorache, T.; Popescu, M. FEM Optimal Design of Wind Energy-Based Heater. Acta Polytech. Hung. 2009, 6, 55–70. [Google Scholar]
- Fireeanu, V.; Nebi, O. Finite element electromagnetic 2d model of an eddy current heater with rotating permanent magnets. Ann. Univ. Craiova Electr. Eng. Ser. 2008, 32, 62–67. [Google Scholar]
- Dirba, I.; Kleperis, J. Practical Application of Eddy Currents Generated by Wind. In Proceedings of the IOP Conference Series: Materials Science and Engineering; IOP Publishing: Bristol, UK, 2011; Volume 23. [Google Scholar]
- Khanjari, A.; Kang, S.; Lee, D.; Jung, D.Y.; Lee, J.H. Studying Four Different Permanent Magnet Eddy Currents Heaters with Different Magnet Areas and Numbers to Produce Heat Directly from a Vertical Axis Wind Turbine. Energy 2022, 15, 275. [Google Scholar] [CrossRef]
- Khanjari, A.; Kang, S.; Lee, S.I.; Lee, J.H.; Kim, Y.S. Direct Heat Energy Harvesting from Wind by a Permanent Magnet Eddy Currents Heater with Different Magnet Arrangements. Energy Sci. Eng. 2023, 11, 929–951. [Google Scholar] [CrossRef]
- Chen, L.; Pei, Y.; Chai, F.; Cheng, S. Investigation of a Novel Mechanical to Thermal Energy Converter Based on the Inverse Problem of Electric Machines. Energy 2016, 9, 518. [Google Scholar] [CrossRef]
- Nebi, O.; Fireţeanu, V. Finite Element Analysis of an Eddy Current Heater for Wind or Water Kinetic Energy Conversion into Heat. Renew. Energy Power Qual. J. 2010, 1, 882–887. [Google Scholar] [CrossRef]
- Liu, X. The Study of Power Unit of a Wind-Magnetic Water Heater. Adv. Mater. Res. 2012, 418, 2290–2293. [Google Scholar] [CrossRef]
- Sobor, I.; Rachier, V.; Chicuic, A.; Ciuperca, R. Small Wind Energy System with Permanent Magnet Eddy Current Heater. Bull. Polytech. Inst. Jassy Elechtrotech. Energetics Electron. Sect. 2013, 13, 143–150. [Google Scholar]
- Tudorache, T.; Melcescu, L. Outer Rotor Eddy Current Heater for Wind Turbines. Renew. Energy Environ. Sustain. 2016, 1, 25. [Google Scholar] [CrossRef][Green Version]
- Du, H.; Li, J.; Qu, Y. Mathematical Modeling of Eddy-Current Loss for a New Induction Heating Device. Math. Probl. Eng. 2014, 2014, 923745. [Google Scholar] [CrossRef]
- Tudorache, T.; Trifu, I.; Melcescu, L.; Floricau, D. Numerical Analysis of an Electro-Thermal Wind Generator. In Proceedings of the 9th International Conference on Electronics, Computers and Artificial Intelligence (ECAI 2017), Targoviste, Romania, 29 June–1 July 2017; pp. 1–4. [Google Scholar] [CrossRef]
- Tudorache, T.; Melcescu, L.; Bostan, V.; Colț, G.; Popescu, M.; Predescu, M. Electromagnetic analysis of a hybrid permanent magnet generator. Rev. Roum. Sci. Tech. Ser. Electrotech. Energ. 2018, 63, 33–37. [Google Scholar]
- Grigorash, O.; Kirichenko, A.; Pigarev, K. Model of Induction Heater on Permanent Magnets Using Wind Energy. In Proceedings of the 2019 International Conference on Industrial Engineering, Applications and Manufacturing (ICIEAM), Sochi, Russia, 25–29 March 2019. [Google Scholar]
- Tudorache, T.; Melcescu, L.; Predescu, M. Analysis of a Permanent Magnet Eddy Current Heater Driven by a Wind Turbine. Adv. Electr. Comput. Eng. 2015, 15, 53–58. [Google Scholar] [CrossRef]
- Song, Z.; Yao, W.; Li, W. Modeling of Interior PMSM Based on Normal Canonical Form Under Low Carrier Ratio. Proc. CSEE 2023, 43, 4779–4788. [Google Scholar] [CrossRef]
- Liu, F.; Wang, X.; Xing, Z.; Yu, A.; Li, C. Reduction of Cogging Torque and Electromagnetic Vibration Based on Different Combination of Pole Arc Coefficient for Interior Permanent Magnet Synchronous Machine. CES Trans. Electr. Mach. Syst. 2021, 5, 291–300. [Google Scholar] [CrossRef]
- Lu, H.; Zhang, L.; Hong, W. Thermal Power Calculation of Interior Permanent Magnet Eddy Current Heater Using Analytical Method. Processes 2024, 12, 1457. [Google Scholar] [CrossRef]























| Parameters | Unit | Variable | Value |
|---|---|---|---|
| Maximum angle of the permanent magnet | ° | α | 56 |
| Minimum angle of the permanent magnet | ° | β | 48 |
| Adjacent magnetic pole angle | ° | 60 | |
| Thickness of the flux barrier | mm | b/c | 1.03/1.3 |
| Thickness of the permanent magnet | mm | h | 4 |
| Length of the permanent magnet | mm | w | 27.2 |
| Radius of the shaft | mm | R1 | 24 |
| Outer radius of the rotor | mm | R2 | 74 |
| Inner radius of the stator | mm | R3 | 74.5 |
| Outer radius of the stator | mm | R4 | 92.5 |
| Parameters | Unit | Steel-1010 | NdFeB35 | Aluminum | Copper |
|---|---|---|---|---|---|
| Density (kg/m3) | kg/m3 | 7872 | 7400 | 2689 | 8933 |
| Relative permeability | - | - | 1.0997785406 | 1.000021 | 0.999983 |
| Conductivity (S/m) | S/m | 2 × 106 | 6.25 × 105 | 3.33 × 107 | 5.55 × 107 |
| Coercivity | A/m | - | 890,000 | - | - |
| Remanence | T | - | 1.288495553 | - | - |
Disclaimer/Publisher’s Note: The statements, opinions and data contained in all publications are solely those of the individual author(s) and contributor(s) and not of MDPI and/or the editor(s). MDPI and/or the editor(s) disclaim responsibility for any injury to people or property resulting from any ideas, methods, instructions or products referred to in the content. |
© 2024 by the authors. Licensee MDPI, Basel, Switzerland. This article is an open access article distributed under the terms and conditions of the Creative Commons Attribution (CC BY) license (https://creativecommons.org/licenses/by/4.0/).
Share and Cite
Lu, H.; Zhou, C.; Hong, W.; Ding, H. Research on the Mechanism of Thermal Power Enhancement in an Interior Permanent Magnet Eddy Current Heater Driven by Wind. Processes 2024, 12, 2390. https://doi.org/10.3390/pr12112390
Lu H, Zhou C, Hong W, Ding H. Research on the Mechanism of Thermal Power Enhancement in an Interior Permanent Magnet Eddy Current Heater Driven by Wind. Processes. 2024; 12(11):2390. https://doi.org/10.3390/pr12112390
Chicago/Turabian StyleLu, Honglei, Ce Zhou, Wenpeng Hong, and Haoshu Ding. 2024. "Research on the Mechanism of Thermal Power Enhancement in an Interior Permanent Magnet Eddy Current Heater Driven by Wind" Processes 12, no. 11: 2390. https://doi.org/10.3390/pr12112390
APA StyleLu, H., Zhou, C., Hong, W., & Ding, H. (2024). Research on the Mechanism of Thermal Power Enhancement in an Interior Permanent Magnet Eddy Current Heater Driven by Wind. Processes, 12(11), 2390. https://doi.org/10.3390/pr12112390
