The Effect of Urea Pretreatment Combined with Ultrasonic Vibration-Assisted Pelleting on Pellet Solid Density and Durability
Abstract
1. Introduction
2. Materials and Methods
2.1. Materials and Experimental Setup
2.2. Experimental Design
2.3. Test Methods
3. Results and Discussion
3.1. Pellet Solid Density and Durability of Comparative Experiments
3.2. Response Surface Model of Density and Durability
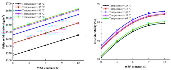
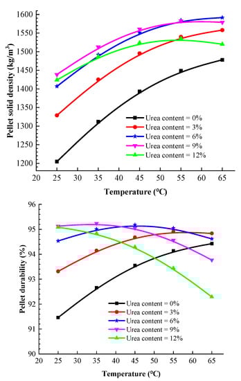
3.3. Predicted Effects of Variables on Pellet Solid Density and Durability
3.4. Interaction Effects on Pellet Solid Density
3.5. Optimization and Model Verification
4. Conclusions
Author Contributions
Funding
Data Availability Statement
Conflicts of Interest
References
- Li, W.; Wang, M.; Meng, F.; Zhang, Y.; Zhang, B. A Review on the Effects of Pretreatment and Process Parameters on Properties of Pellets. Energies 2022, 15, 7303. [Google Scholar] [CrossRef]
- Huo, L.; Yao, Z.; Zhao, L.; Luo, J.; Zhang, P. Contribution and Potential of Comprehensive Utilization of Straw in GHG Emission and Carbon Sequestration. Trans. Chin. Soc. Agric. Mach. 2022, 53, 349–359. [Google Scholar] [CrossRef]
- Yao, Y.; Bergeron, A.D.; Davaritouchaee, M. Methane recovery from anaerobic digestion of urea pretreated wheat straw. Renew. Energy 2017, 8, 139–148. [Google Scholar] [CrossRef]
- Wang, L.; Cao, Z.; Zou, J.; Liu, Z.; Li, Y.; Wang, Z. Urea-pretreated corn stover: Physicochemical characteristics, delignification kinetics, and methane production. Bioresour. Technol. 2020, 306, 123097. [Google Scholar] [CrossRef]
- Zhang, Q.; Zhang, P.; Pei, Z.; Rys, M.; Wang, D.; Zhou, J. Ultrasonic vibration-assisted pelleting of cellulosic biomass for ethanol manufacturing: An investigation on pelleting temperature. Renew. Energy 2016, 86, 895–908. [Google Scholar] [CrossRef]
- Zhang, Q.; Zhang, P.; Pei, Z.; Wang, D. Investigation on characteristics of corn stover and sorghum stalk processed by ultrasonic vibration-assisted pelleting. Renew. Energy 2017, 101, 1075–1086. [Google Scholar] [CrossRef]
- Kaliyan, N.; Vance Morey, R. Factors affecting strength and durability of densified biomass products. Biomass Bioenergy 2009, 33, 337–359. [Google Scholar] [CrossRef]
- Zhang, Q.; Shi, Z.; Zhang, P.; Zhang, M.; Li, Z.; Chen, X.; Zhou, J. Ultrasonic-Assisted Pelleting of Sorghum Stalk: Predictive Models for Pellet Density and Durability Using Multiple Response Surface Methodology. Energies 2018, 11, 1214. [Google Scholar] [CrossRef]
- Zhang, Q.; Heng, L.; Zhang, P.; Pei, Z.J.; Wang, D.; Wilson, J.; Zhou, J. Comparison of two pelleting methods for cellulosic ethanol manufacturing: Ultrasonic vibration-assisted pelleting vs. ring-die pelleting. Biomass Convers. Biorefinery 2015, 6, 13–23. [Google Scholar] [CrossRef]
- Yao, Z.; Zhang, Y.; Zhao, L.; Guo, Z.; Meng, H.; Cong, H.; Cong, H. Design and experiment of biomass briquetting machine with vertical double circular mould. Trans. Chin. Soc. Agric. Eng. 2016, 32, 8–12. [Google Scholar] [CrossRef]
- Nasrin, A.B.; Ma, A.N.; Choo, Y.M.; Mohamad, S.; Rohaya, M.H.; Azali, A.; Zainal, Z. Oil Palm Biomass As Potential Substitution Raw Materials For Commercial Biomass Briquettes Production. Am. J. Appl. Sci. 2008, 5, 179–183. [Google Scholar] [CrossRef]
- Granada, E.; González, L.L.; Míguez, J.L.; Moran, J. Fuel lignocellulosic briquettes, die design and products study. Renew. Energy 2002, 27, 561–573. [Google Scholar] [CrossRef]
- Zvicevicius, E.; Raila, A.; Cipliene, A.; Cerniauskiene, Z.; Kadziuliene, Z.; Tilvikiene, V. Effects of moisture and pressure on densification process of raw material from Artemisia dubia Wall. Renew. Energy 2018, 119, 185–192. [Google Scholar] [CrossRef]
- Rhén, C.; Gref, R.; Sjöström, M.; Wästerlund, I. Effects of raw material moisture content, densification pressure and temperature on some properties of Norway spruce pellets. Fuel Process. Technol. 2005, 87, 11–16. [Google Scholar] [CrossRef]
- Mani, S.; Tabil, L.G.; Sokhansanj, S. Effects of compressive force, particle size and moisture content on mechanical properties of biomass pellets from grasses. Biomass Bioenergy 2006, 30, 648–654. [Google Scholar] [CrossRef]
- Tumuluru, J.; Heikkila, D. Biomass Grinding Process Optimization Using Response Surface Methodology and a Hybrid Genetic Algorithm. Bioengineering 2019, 6, 12. [Google Scholar] [CrossRef]
- Karinkanta, P.; Ämmälä, A.; Illikainen, M.; Niinimäki, J. Fine grinding of wood—Overview from wood breakage to applications. Biomass Bioenergy 2018, 113, 31–44. [Google Scholar] [CrossRef]
- Kaliyan, N.; Morey, R.V. Natural binders and solid bridge type binding mechanisms in briquettes and pellets made from corn stover and switchgrass. Bioresour. Technol. 2010, 101, 1082–1090. [Google Scholar] [CrossRef]
- Asghar, U.; Irfan, M.; Iram, M.; Huma, Z.; Nelofer, R.; Nadeem, M.; Syed, Q. Effect of alkaline pretreatment on delignification of wheat straw. Nat. Prod. Res. 2015, 29, 125–131. [Google Scholar] [CrossRef]
- Gu, Y.; Zhang, Y.; Zhou, X. Effect of Ca(OH)2 pretreatment on extruded rice straw anaerobic digestion. Bioresour. Technol. 2015, 196, 116–122. [Google Scholar] [CrossRef]
- Yuan, Z.; Wen, Y.; Li, G. Production of bioethanol and value added compounds from wheat straw through combined alkaline/alkaline-peroxide pretreatment. Bioresour. Technol. 2018, 259, 228–236. [Google Scholar] [CrossRef] [PubMed]
- Yang, M.Y.; Rehman, M.S.U.; Yan, T.X.; Khan, A.U.; Oleskowicz-Popiel, P.; Xu, X.; Cui, P.; Xu, J. Treatment of different parts of corn stover for high yield and lower polydispersity lignin extraction with high-boiling alkaline solvent. Bioresour. Technol. 2018, 249, 737–743. [Google Scholar] [CrossRef]
- Teramura, H.; Sasaki, K.; Oshima, T.; Aikawa, S.; Matsuda, F.; Okamoto, M.; Shirai, T.; Kawaguchi, H.; Ogino, C.; Yamasaki, M.; et al. Changes in Lignin and Polysaccharide Components in 13 Cultivars of Rice Straw following Dilute Acid Pretreatment as Studied by Solution-State 2D 1H-13C NMR. PLoS ONE 2015, 10, e0128417. [Google Scholar] [CrossRef] [PubMed]
- Zhang, R.; Liu, F.G.; Liu, H.Q.; Zhang, D.X. Pretreatment of Corn Stover with Diluted Nitric Acid for the Enhancement of Acidogenic Fermentation. Energy Fuels 2018, 32, 425–430. [Google Scholar] [CrossRef]
- Zhang, K.; Pei, Z.; Wang, D. Organic solvent pretreatment of lignocellulosic biomass for biofuels and biochemicals: A review. Bioresour. Technol. 2016, 199, 21–33. [Google Scholar] [CrossRef]
- Syaftika, N.; Matsumura, Y. Comparative study of hydrothermal pretreatment for rice straw and its corresponding mixture of cellulose, xylan, and lignin. Bioresour. Technol. 2018, 255, 1–6. [Google Scholar] [CrossRef]
- Zhao, S.; Li, G.; Zheng, N.; Wang, J.; Yu, Z. Steam explosion enhances digestibility and fermentation of corn stover by facilitating ruminal microbial colonization. Bioresour. Technol. 2018, 253, 244–251. [Google Scholar] [CrossRef]
- Fan, K.Q.; Tang, Y.J.; Fang, Y. Ultrasonic Vibration-Assisted Pelleting of Cellulosic Biomass: A Review. Adv. Mater. Res. 2013, 805–806, 151–155. [Google Scholar] [CrossRef]
- Zhang, Q.; Zhang, P.; Pei, Z.; Wang, D. Ultrasonic vibration-assisted pelleting for cellulosic biofuel manufacturing: Investigation on power consumption. Renew. Energy 2013, 55, 175–181. [Google Scholar] [CrossRef]
- Li, Y.; Ning, F.; Cong, W.; Zhang, M.; Tang, Y. Investigating pellet charring and temperature in ultrasonic vibration-assisted pelleting of wheat straw for cellulosic biofuel manufacturing. Renew. Energy 2016, 92, 312–320. [Google Scholar] [CrossRef]
- Wang, L.; Zhang, K.; Xu, Y.; Zhang, M.; Wang, D. High-solid pretreatment of corn stover using urea for enzymatic saccharification. Bioresour. Technol. 2018, 259, 83–90. [Google Scholar] [CrossRef] [PubMed]
- Saratale, G.D.; Oh, M.-K. Improving alkaline pretreatment method for preparation of whole rice waste biomass feedstock and bioethanol production. RSC Adv. 2015, 5, 97171–97179. [Google Scholar] [CrossRef]
- Yoo, C.G.; Kim, H.; Lu, F.; Azarpira, A.; Pan, X.; Oh, K.K.; Kim, J.S.; Ralph, J.; Kim, T.H. Understanding the Physicochemical Characteristics and the Improved Enzymatic Saccharification of Corn Stover Pretreated with Aqueous and Gaseous Ammonia. BioEnergy Res. 2015, 9, 67–76. [Google Scholar] [CrossRef]
- Song, X.; Yang, Y.; Zhang, M.; Zhang, K.; Wang, D. Ultrasonic pelleting of torrefied lignocellulosic biomass for bioenergy production. Renew. Energy 2018, 129, 56–62. [Google Scholar] [CrossRef]
- Arous, S.; Koubaa, A.; Bouafif, H.; Bouslimi, B.; Braghiroli, F.L.; Bradai, C. Effect of Pyrolysis Temperature and Wood Species on the Properties of Biochar Pellets. Energies 2021, 14, 6529. [Google Scholar] [CrossRef]
- Cui, X.; Yang, J.; Shi, X.; Lei, W.; Huang, T.; Bai, C. Pelletization of Sunflower Seed Husks: Evaluating and Optimizing Energy Consumption and Physical Properties by Response Surface Methodology (RSM). Processes 2019, 7, 591. [Google Scholar] [CrossRef]
- Le, X.; Nguyen, M.; Vu, D.; Pham, M.; Pham, Q.; Nguyen, Q.; Nguyen, T.; Pham, V.; Bach, L.; Nguyen, T.; et al. Optimization of Microwave-Assisted Extraction of Total Phenolic and Total Flavonoid Contents from Fruits of Docynia indica (Wall.) Decne. Using Response Surface Methodology. Processes 2019, 7, 485. [Google Scholar] [CrossRef]
- Tang, Y.; Cong, W.; Xu, J.; Zhang, P.; Liu, D. Ultrasonic vibration-assisted pelleting for cellulosic biofuels manufacturing: A study on in-pellet temperatures. Renew. Energy 2015, 76, 296–302. [Google Scholar] [CrossRef]
- Ding, S.; Zhang, M.; Huang, Z.; Yu, A.; Zhang, M.; Gong, G. Effect of Urea Ammoniation Pretreatment on Anaerobic Fermentation Characteristics of Rice Straw. Ecol. Environ. Sci. 2018, 27, 18–23. [Google Scholar] [CrossRef]
- Lina, L.; Qinghua, D.; Weijia, g.; Zhongjiang, W.; Wenzhe, L.; Liyuan, Q. Urea ammoniated pretreatment improving dry anaerobic fermentation characteristics of rice straw. Trans. Chin. Soc. Agric. Eng. 2015, 31, 234–239. [Google Scholar] [CrossRef]
- Wiebke-Strohm, B.; Ligabue-Braun, R.; Rechenmacher, C.; De Oliveira-Busatto, L.A.; Carlini, C.R.; Bodanese-Zanettini, M.H. Structural and transcriptional characterization of a novel member of the soybean urease gene family. Plant Physiol. Biochem. 2016, 101, 96–104. [Google Scholar] [CrossRef] [PubMed]
- Anukam, A.; Berghel, J.; Henrikson, G.; Frodeson, S.; Ståhl, M. A review of the mechanism of bonding in densified biomass pellets. Renew. Sustain. Energy Rev. 2021, 148, 111249. [Google Scholar] [CrossRef]










| Level | Variables | |||
|---|---|---|---|---|
| Distilled Water (x1) /% | Temperature (x2) /°C | Urea Content (x3) /% | WSF Content (x4) /% | |
| +2 | 60 | 65 | 12 | 12 |
| +1 | 50 | 55 | 9 | 9 |
| 0 | 40 | 45 | 6 | 6 |
| −1 | 30 | 35 | 3 | 3 |
| −2 | 20 | 25 | 0 | 0 |
| Run | Distilled Water (x1)/% | Temperature (x2)/°C | Urea Content (x3)/% | WSF Content (x4)/% | Pellet solid Density y1/(kg/m3) | Pellet Durability y2/% |
|---|---|---|---|---|---|---|
| 1 | 50 | 55 | 3 | 9 | 1334.28 | 97.88 |
| 2 | 40 | 25 | 6 | 6 | 1320.44 | 96.38 |
| 3 | 30 | 35 | 3 | 9 | 1296.11 | 96.44 |
| 4 | 30 | 55 | 9 | 3 | 1393.78 | 96.04 |
| 5 | 50 | 55 | 9 | 3 | 1359.49 | 96.21 |
| 6 | 50 | 55 | 9 | 9 | 1389.60 | 97.95 |
| 7 | 30 | 35 | 9 | 3 | 1369.76 | 96.33 |
| 8 | 50 | 35 | 9 | 9 | 1413.62 | 97.90 |
| 9 | 30 | 35 | 9 | 9 | 1410.47 | 98.27 |
| 10 | 40 | 45 | 6 | 6 | 1398.90 | 97.21 |
| 11 | 30 | 55 | 3 | 3 | 1379.30 | 96.84 |
| 12 | 20 | 45 | 6 | 6 | 1364.18 | 96.94 |
| 13 | 30 | 55 | 9 | 9 | 1414.62 | 97.96 |
| 14 | 60 | 45 | 6 | 6 | 1352.23 | 97.68 |
| 15 | 40 | 45 | 6 | 0 | 1356.10 | 95.71 |
| 16 | 50 | 35 | 9 | 3 | 1349.32 | 96.49 |
| 17 | 30 | 35 | 3 | 3 | 1330.47 | 95.95 |
| 18 | 40 | 65 | 6 | 6 | 1395.15 | 97.88 |
| 19 | 40 | 45 | 12 | 6 | 1366.59 | 97.35 |
| 20 | 40 | 45 | 6 | 6 | 1425.19 | 97.75 |
| 21 | 40 | 45 | 6 | 6 | 1420.83 | 97.74 |
| 22 | 40 | 45 | 6 | 6 | 1402.25 | 97.59 |
| 23 | 40 | 45 | 6 | 6 | 1407.16 | 97.88 |
| 24 | 50 | 55 | 3 | 3 | 1365.15 | 96.73 |
| 25 | 50 | 35 | 3 | 9 | 1323.57 | 96.58 |
| 26 | 30 | 55 | 3 | 9 | 1362.23 | 97.99 |
| 27 | 40 | 45 | 6 | 12 | 1424.30 | 98.74 |
| 28 | 40 | 45 | 6 | 6 | 1428.60 | 97.85 |
| 29 | 50 | 35 | 3 | 3 | 1300.67 | 95.47 |
| 30 | 40 | 45 | 0 | 6 | 1268.19 | 95.58 |
| Source | Sum of Squares | df | Mean Square | F Value | p-Value |
|---|---|---|---|---|---|
| Model | 49,079.22 | 14 | 3505.66 | 19.99 | <0.0001 ** |
| x1—Distilled water | 875.32 | 1 | 875.32 | 4.99 | 0.0411 * |
| x2—Temperature | 5217.96 | 1 | 5217.96 | 29.75 | <0.0001 ** |
| x3—Urea content | 15,285.34 | 1 | 15,285.34 | 87.15 | <0.0001 ** |
| x4—WSF content | 2261.27 | 1 | 2261.27 | 12.89 | 0.0027 * |
| x1x2 | 418.00 | 1 | 418.00 | 2.38 | 0.1435 |
| x1x3 | 64.64 | 1 | 64.64 | 0.37 | 0.5529 |
| x1x4 | 364.05 | 1 | 364.05 | 2.08 | 0.1702 |
| x2x3 | 1932.04 | 1 | 1932.04 | 11.02 | 0.0047 ** |
| x2x4 | 512.34 | 1 | 512.34 | 2.92 | 0.1080 |
| x3x4 | 2898.75 | 1 | 2898.75 | 16.53 | 0.0010 ** |
| 4552.01 | 1 | 4552.01 | 25.95 | 0.0001 ** | |
| 4624.74 | 1 | 4624.74 | 26.37 | 0.0001 ** | |
| 14,618.74 | 1 | 14,618.74 | 83.35 | <0.0001 ** | |
| 654.20 | 1 | 654.20 | 3.73 | 0.0726 | |
| Residual | 2630.87 | 15 | 175.39 | -- | -- |
| Lack of Fit | 1833.18 | 10 | 183.32 | 1.15 | 0.4664 |
| Pure Error | 797.69 | 5 | 159.54 | -- | -- |
| Cor Total | 51,710.09 | 29 | -- | -- | -- |
| Source | Sum of Squares | df | Mean Square | F Value | p-Value |
|---|---|---|---|---|---|
| Model | 22.17 | 14 | 1.58 | 19.67 | <0.0001 ** |
| x1—Distilled water | 0.032 | 1 | 0.032 | 0.39 | 0.5408 |
| x2—Temperature | 2.14 | 1 | 2.14 | 26.61 | 0.0001 ** |
| x3—Urea content | 1.93 | 1 | 1.93 | 24.00 | 0.0002 ** |
| x4—WSF content | 12.00 | 1 | 12.00 | 149.05 | <0.0001 ** |
| x1x2 | 0.015 | 1 | 0.015 | 0.19 | 0.6721 |
| x1x3 | 0.016 | 1 | 0.016 | 0.20 | 0.6596 |
| x1x4 | 5.063 × 10−4 | 1 | 5.063 × 10−4 | 6.288 × 10−3 | 0.9378 |
| x2x3 | 2.12 | 1 | 2.12 | 26.39 | 0.0001 ** |
| x2x4 | 0.064 | 1 | 0.064 | 0.79 | 0.3876 |
| x3x4 | 0.60 | 1 | 0.60 | 7.51 | 0.0152 * |
| 0.31 | 1 | 0.31 | 3.79 | <0.0704 | |
| 0.62 | 1 | 0.62 | 7.72 | 0.0141 * | |
| 2.75 | 1 | 2.75 | 34.19 | <0.0001 * | |
| 0.44 | 1 | 0.44 | 5.48 | 0.0335 * | |
| Residual | 1.21 | 15 | 0.081 | -- | -- |
| Lack of Fit | 0.90 | 10 | 0.090 | 1.47 | 0.3500 |
| Pure Error | 0.31 | 5 | 0.061 | -- | -- |
| Cor Total | 23.38 | 29 | -- | -- | -- |
| Comparison | Process Variables | Pellet Solid Density (kg m−3) | Pellet Durability (%) | |||
|---|---|---|---|---|---|---|
| Distilled Water /% | Temperature /°C | Urea Content /% | WSF Content /% | |||
| Predicted value | 42.06 | 44.69 | 10.18 | 11.96 | 1441.41 | 98.91 |
| Experimental value | 42 | 45 | 10 | 12 | 1438.28 | 98.67 |
| Error (%) | 1.43 | 0.42 | 1.8 | 0.33 | 0.22 | 0.24 |
Disclaimer/Publisher’s Note: The statements, opinions and data contained in all publications are solely those of the individual author(s) and contributor(s) and not of MDPI and/or the editor(s). MDPI and/or the editor(s) disclaim responsibility for any injury to people or property resulting from any ideas, methods, instructions or products referred to in the content. |
© 2023 by the authors. Licensee MDPI, Basel, Switzerland. This article is an open access article distributed under the terms and conditions of the Creative Commons Attribution (CC BY) license (https://creativecommons.org/licenses/by/4.0/).
Share and Cite
Li, W.; Sui, J.; Wang, L.; Song, J. The Effect of Urea Pretreatment Combined with Ultrasonic Vibration-Assisted Pelleting on Pellet Solid Density and Durability. Processes 2023, 11, 2170. https://doi.org/10.3390/pr11072170
Li W, Sui J, Wang L, Song J. The Effect of Urea Pretreatment Combined with Ultrasonic Vibration-Assisted Pelleting on Pellet Solid Density and Durability. Processes. 2023; 11(7):2170. https://doi.org/10.3390/pr11072170
Chicago/Turabian StyleLi, Wentao, Jianning Sui, Liming Wang, and Jindong Song. 2023. "The Effect of Urea Pretreatment Combined with Ultrasonic Vibration-Assisted Pelleting on Pellet Solid Density and Durability" Processes 11, no. 7: 2170. https://doi.org/10.3390/pr11072170
APA StyleLi, W., Sui, J., Wang, L., & Song, J. (2023). The Effect of Urea Pretreatment Combined with Ultrasonic Vibration-Assisted Pelleting on Pellet Solid Density and Durability. Processes, 11(7), 2170. https://doi.org/10.3390/pr11072170

