Diagenetic Evolution Control on Reservoir Quality of the Oligocene Weizhou Formation in Weixinan Sag of Beibuwan Basin, Northern South China Sea
Abstract
1. Introduction
2. Geological Setting
3. Petrographic and Micrological Analyses
3.1. Data Base
3.2. Petrographic Description
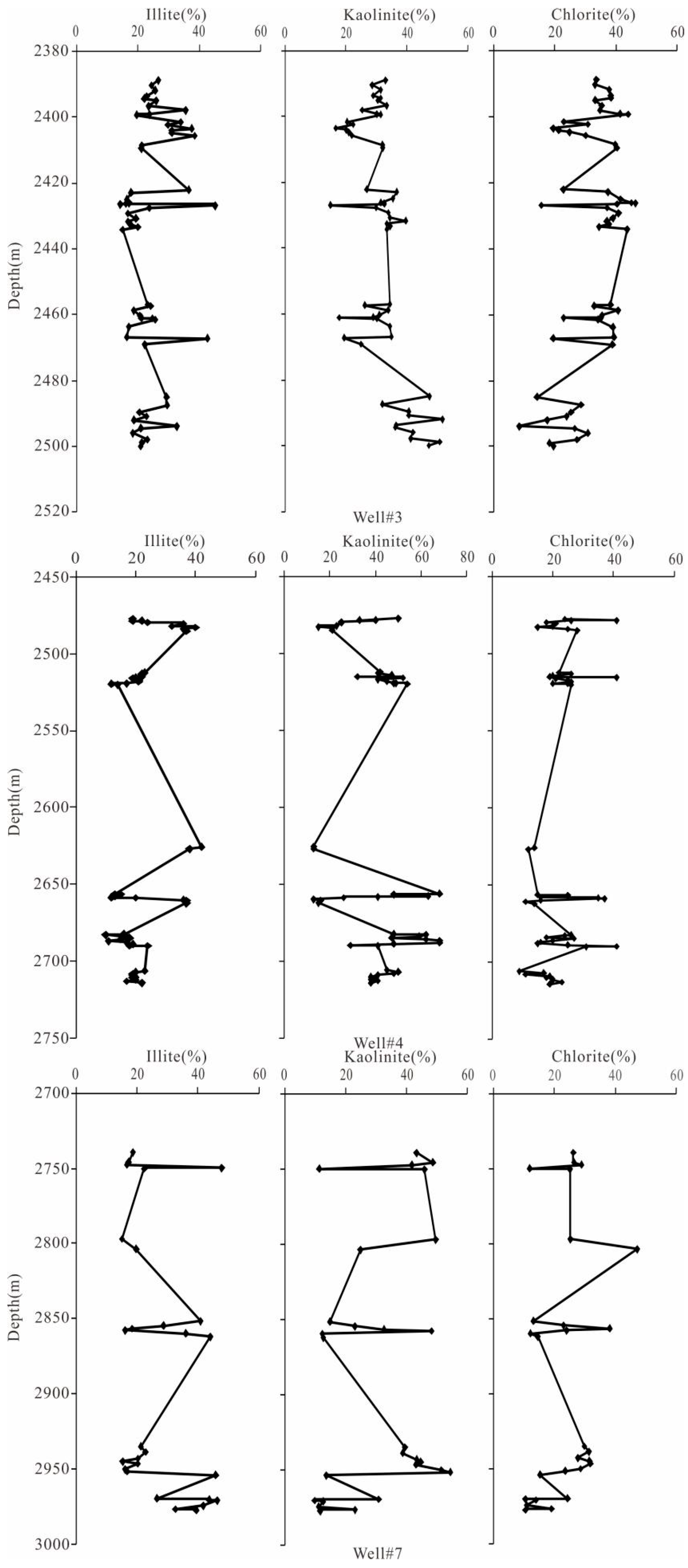
3.3. Clay Minerals
4. Diagenetic Environment and Evolutionary Sequence
5. Discussion
5.1. Occurrence and Existing State
5.2. Dissolution of Feldspar
5.3. Reservoir Quality
6. Conclusions
Author Contributions
Funding
Data Availability Statement
Acknowledgments
Conflicts of Interest
References
- Freiburg, J.T.; Ritzi, R.W.; Kehoe, K.S. Depositional and diagenetic controls on anomalously high porosity within a deeply buried CO2 storage reservoir—The Cambrian Mt.Simon Sandstone, Illinois Basin, USA. Int. J. Greenh. Gas Control 2016, 55, 42–45. [Google Scholar] [CrossRef]
- Hansen, H.N.; Løvstad, K.; Müller, R.; Jahren, J. Clay coats preserving high porosities in deeply buried intervals of the Stø Formation. Mar. Pet. Geol. 2017, 88, 648–658. [Google Scholar] [CrossRef]
- Ehrenberg, S.N. Kaolinized, potassium-leached zones at the contacts of the Garn Formation, Haltenbanken, mid-Norwegian continental shelf. Mar. Pet. Geol. 1991, 8, 250–269. [Google Scholar] [CrossRef]
- Ehrenberg, S.N.; Dalland, A.; Nadeau, P.H.; Mearns, E.W.; Amundsen, H.E.F. Origin of chlorite enrichment and neodymium isotopic anomalies in Haltenbanken sandstones. Mar. Pet. Geol. 1998, 15, 403–425. [Google Scholar] [CrossRef]
- Jahren, J.; Olsen, E.; Bjørlykke, K. Chlorite coatss in deeply buried sandstones—Examples from the Norwegian shelf. In Water–Rock Interaction; Arehart, G.B., Hulston, J.R., Eds.; Balkema: Rotterdam, The Netherlands, 1998; pp. 321–324. ISBN 905410942. [Google Scholar]
- Olsen, E. Et Diagenetisk Studie av Dypt Begravde Sandsteiner fra Haltenbanken, Med Spesiell Vekt på Klorittbelegg. Unpublished Cand. Scient. Ph.D. Thesis, University of Oslo, Oslo, Norway, 1996; p. 161. [Google Scholar]
- Dixon, S.A.; Summers, D.M.; Surdam, R.C. Diagenesis and preservation of porosity in Norphlet Formation (Upper Jurassic), Southern Alabama. Am. Assoc. Pet. Geol. Bull. 1989, 73, 707–728. [Google Scholar]
- Heald, M.T.; Larese, R.E. Influence of coatss on quartz cementation. J. Sediment. Petrol. 1974, 44, 1269–1274. [Google Scholar]
- Pittman, E.D.; Larese, R.E.; Heald, M.T. Clay Coats: Occurrence and Relevance to Preservation of Porosity in Sandstones; Houseknecht, D.W., Pittman, E.D., Eds.; Society of Economic Paleontologists and Mineralogists (Special Publication): Tulsa, OK, USA, 1992; Volume 47, pp. 241–255. [Google Scholar]
- Ryan, P.C.; Reynolds, R.C., Jr. The origin and diagenesis of grain coats serpentine-chlorites in Tuscaloosa Formation Sandstone, U.S. Gulf Coast. Am. Mineral. 1996, 81, 213–225. [Google Scholar] [CrossRef]
- Storvoll, V.; Bjørlykke, K.; Karlsen, D.; Saigal, G. Porosity preservation in reservoir sandstones due to grain-coats illite: A study of the Jurassic Garn Formation from the Kristin and Lavrans fields, offshore Mid-Norway. Mar. Petrol. Geol. 2002, 19, 767–781. [Google Scholar] [CrossRef]
- Ramm, M.; Forsberg, A.W.; Jahren, J.S. Porosity–depth trends in deeply buried Upper Jurassic reservoirs in the Norwegian Central Graben: An example of porosity preservation beneath the normal economic basement by grain-coats microquartz. In Reservoir Quality Prediction in Sandstones and Carbonates; Kupecz, J.A., Gluyas, J., Bloch, S., Eds.; American Association of Petroleum Geologists Memoir: Tulsa, OK, USA, 1997; Volume 69, pp. 61–77. [Google Scholar]
- Spark, I.S.C.; Trewin, N.H. Facies-related diagenesis in the main claymore oilfield sandstones. Clay Miner. 1985, 21, 479–496. [Google Scholar] [CrossRef]
- Walderhaug, O.; Bjørkum, P.A.; Aase, A.E. Kaolin-coats of stylolites, effect on quartz cementation and general implications for dissolution at mineral interfaces. J. Sediment. Res. 2006, 76, 234–243. [Google Scholar] [CrossRef]
- Lanson, B.; Beaufort, D.; Berger, G. Authigenic kaolin and illitic minerals during burial diagenesis of sandstones: A review. Clay Miner. 2002, 37, 1–22. [Google Scholar] [CrossRef]
- Gaupp, R.; Matter, A.; Platt, J.; Ramseyer, K.; Walzebuck, J. Diagenesis and fluid evolution of deeply buried Permian (Rotliegende) gas reservoir, Northwest Germany. Am. Assoc. Pet. Geol. Bull. 1993, 77, 1111–1128. [Google Scholar]
- Platt, J.D. Controls on clay mineral distribution and chemistry in the early Permian Rotliegend of Germany. Clay Miner. 1993, 28, 393–416. [Google Scholar] [CrossRef]
- Berger, G.; Lacharpagne, J.-C.; Velde, B.; Beaufort, D.; Lanson, B. Kinetic constraints for mineral reactions in sandstone/shales sequences and modelling of the effect of the organic diagenesis. Appl. Geochem. 1997, 12, 23–35. [Google Scholar] [CrossRef]
- Mcbride, E.F. Quartz cement in sandstones: A review. Earth-Sci. Rev. 1989, 26, 69–112. [Google Scholar] [CrossRef]
- Bjørlykke, K.; Egeberg, P.K. Quartz cementation in sedimentary basins. AAPG Bull. 1993, 77, 1538–1548. [Google Scholar]
- Chen, G.S.; Meng, Y.L.; Huan, J.L.; Wang, Y.C.; Zhang, L.; Xiao, L.H. Distribution and origin of anomalously high permeability zones in Weizhou Formation, Weizhou 12-X oilfield, Weixinan Sag, China. Earth Sci. Inform. 2021, 1, 1–13. [Google Scholar] [CrossRef]
- Chen, G.S.; Meng, Y.L.; Huan, J.L.; Dai, T.J.; Xiao, L.H.; Zhou, W. Quantitative evaluation of impact of authigenic chlorite on reservoir quality: A case study of the Member 3 of Weizhou Formation in Weixinan sag, Beibu Gulf Basin. J. Palaeogeogr. 2021, 23, 640–650. (In Chinese) [Google Scholar]
- Zheng, Z.Y.; Zuo, Y.H.; Wen, H.G.; Zhang, J.Z.; Zhou, G.; Xu, L.; Sun, H.F.; Yang, M.H.; Yang, K.N.; Zeng, J.C. Natural gas characteristics and gas-source comparisons of the Lower Triassic Jialingjiang Formation, Eastern Sichuan Basin. J. Pet. Sci. Eng. 2022, 221, 111–165. [Google Scholar] [CrossRef]
- Tian, J.F.; Yu, J.; Zhang, Q.Z. Formation of chlorite in pore lining and its effect on reservoir quality. J. Jilin Univ. 2014, 44, 742–748. (In Chinese) [Google Scholar]
- Xu, Y.M.; Yuan, B.L.; Zhang, H.; Ye, Q.; Huan, J.L. Reservoir physical characteristics and influencing factors of the third member of Weizhou Formation in Weizhou 12-X oilfield, Beibu Gulf Basin. J. Northeast. Pet. Univ. 2020, 44, 46–56. (In Chinese) [Google Scholar]
- Zhang, S.W.; Yuan, J.; Sui, F.G.; Chen, X. Multiple diagenetic environments and evolution model in deep formation of the 4th Member, Shahejie Formation in the northern Dongying sag. Chin. J. Geol. 2008, 43, 576–587. (In Chinese) [Google Scholar]
- Cao, Y.C.; Chen, L.; Wang, Y.Z. Diagenetic evolution of Es3 reservoir and its influence on property in the northern Minfeng sub-sag of Dongying sag. J. China Univ. Pet. Ed. Nat. Sci. 2011, 35, 6–13. (In Chinese) [Google Scholar]
- Chen, H.H.; Li, C.Q.; Ping, H.W. Reservoir Diagenesis and Quality Predication; University of Geosciences of Press Co., Ltd.: Wuhan, China, 2012. [Google Scholar]
- Beaufort, D.; Rigault, C.; Billon, S.; Billault, V.; Inoue, A. Chlorite and chloritization processes through mixed-layer mineral series in lowtemperature geological systems—A review. Clay Miner. 2015, 50, 497–523. [Google Scholar] [CrossRef]
- Billault, V.; Beaufort, D.; Baronnet, A. A nanopetrographic and textural study of grain coats chlotites in sandstone reservoirs. Clay Miner. 2003, 38, 315–328. [Google Scholar] [CrossRef]
- Huang, S.J.; Xie, W.; Zhang, M.; Wu, W.H.; Shen, L.C. Formation mechanism of authigenic chlorite and relation to preservation of porosity in nonmarine Triassic reservoir sandstones. J. Chengdu Univ. Technol. Sci. Technol. Ed. 2004, 31, 273–281. (In Chinese) [Google Scholar]
- Tian, J.F.; Chen, Z.L.; Fan, Y.F.; Li, P.P.; Song, L.J. Occurrence mechanism and distribution of authigenic chlorite in sandstone. Bull. Mineral. Petrol. Geochem. 2008, 27, 200–207. (In Chinese) [Google Scholar]
- Tian, J.F.; Chen, Z.L.; Yang, Y.Y. The protection mechanism of authigenic chlorite to sandstone reservoir pores. Geol. Sci. Technol. Inf. 2008, 27, 49–54. (In Chinese) [Google Scholar]
- Chen, B.Z.; Li, R.X.; Liang, J.W. Study on the effect of authigenic chlorite on reservoir physical properties—The yanchang formation in the southwest margin of ordos basin is taken as an example. Bull. Mineral. Petrol. Geochem. 2014, 33, 390–394. (In Chinese) [Google Scholar]
- Zhou, X.F.; Jiao, S.J.; Yu, J.M. Occurrences and origin of chlorite films in the Yanchang Formation sandstones, Ordos Basin. Bull. Mineral. Petrol. Geochem. 2017, 36, 834–842. (In Chinese) [Google Scholar]
- Yan, Q.; Lei, H.Y.; Xian, B.Z. Influence of source rock properties on the development of authigenic chlorite in conglomerate reservoirs and its significance for oil and gas reservoirs: A case study from the Lower Urhe Formation in the Mahu Depression, Junggar Basin. Acta Sedimentol. Sin. 2020, 38, 367–378. (In Chinese) [Google Scholar]
- Wu, J.Y.; Lv, Z.X.; Qing, Y.H.; Yang, J.J.; Jin, T. Genesis of Authigenic Chlorite in Tight Oil Reservoir and Its Effect on Physical Properties—A Case Study of Shaximiao Formation in Northeast Sichuan. Lithol. Reserv. 2020, 32, 76–85. (In Chinese) [Google Scholar]
- Zheng, Z.Y.; Zuo, Y.H.; Wen, H.G.; Li, D.M.; Luo, Y.; Zhang, J.Z.; Yang, M.Y.; Zeng, J.C. Natural gas characteristics and gas-source comparisons of the lower Triassic Feixianguan formation, Eastern Sichuan basin. Pet. Sci. 2023, 20, 1458–1470. [Google Scholar] [CrossRef]
- Jeffry, D.G. Origin and growth mechanism of authigenic chlorite in sandstones of the lower Vicksburg formation. South Texas. J. Sediment. Res. 2001, 71, 27–36. [Google Scholar]
- Chen, G.S.; Meng, Y.L.; Huan, J.L.; Xiao, L.H.; Feng, D. Research progress on the origin of anomalously high porosity and permeability zone in clastics reservoirs in petroliferous basin. Adv. Earth Sci. 2021, 36, 922–936. (In Chinese) [Google Scholar]
- Wu, Q.; Liu, Q.; Liu, S.; Wang, S.; Yu, J.; Ayers, W.B.; Zhu, Q. Estimating Reservoir Properties from 3D Seismic Attributes Using Simultaneous Prestack Inversion: A Case Study of Lufeng Oil Field, South China Sea. SPE J. 2022, 27, 292–306. [Google Scholar] [CrossRef]
- Cao, Z.; Liu, G.D.; Meng, W.; Peng, W.; Cheng, Y.Y. Origin of different chlorite occurrences and their effects on tight clastic reservoir porosity. J. Pet. Sci. Eng. 2018, 160, 384–392. [Google Scholar] [CrossRef]
- Worden, R.H.; Bukar, M.; Shell, P. The effect of oil emplacement on quartz cementation in a deeply buried sandstone reservoir. AAPG 2018, 102, 49–75. [Google Scholar] [CrossRef]
- Guo, F.F.; Guo, X.W.; Sun, J.F. Source rock thermal and maturity history modeling in C sag of the weixinan depression, Bibuwan, Basin. Mar. Geol. Quat. Geol. 2010, 30, 87–93. (In Chinese) [Google Scholar]
- Ying, F.X.; Luo, P.; He, D.B. Diagenesis and Numerical Simulation of Clastic Reservoirs in Petroliferous Basins of China; Petroleum Industry Press: Beijing, China, 2004; pp. 61–76. [Google Scholar]
- Moard, S.; Aldahan, S.S. Diagenetic chloritization of feldspars in sandstones. Sediment. Geol. 1987, 51, 155–164. [Google Scholar] [CrossRef]
- Ruiz Cruz, M.D.; Reyes, E. Kaolinite and dickite formation during shale diagenesis: Isotopic data. Appl. Geochem. 1998, 13, 95104. [Google Scholar] [CrossRef]
- Hancock, N.J.; Taylor, A.M. Clay mineral diagenesis and oil migration in the Middle Jurassic Brent sand formation. J. Geol. Soc. Lond. 1978, 135, 69–72. [Google Scholar] [CrossRef]
- Sommer, F. Diagenesis of Jurassic sandstones in the Viking Graben. J. Geol. Soc. Lond. 1978, 135, 63–67. [Google Scholar] [CrossRef]
- Kantorowicz, J.D. The nature, origin and distribution of authigenic clay minerals from middle Jurassic Ravenscar and Brent group sandstones. Clay Miner. 1984, 19, 359375. [Google Scholar] [CrossRef]
- Bath, A.H.; Milodowski, A.E.; Spiro, A.E. Diagenesis of carbonate cements in Permo-Triassis sandstones in the Wessex and East YorkshireLincolnshire basins, UK: A stable isotope study. In Diagenesis of Sedimentary Sequences; Marshall, J.D., Ed.; Special Publication 36; Geological Society: London, UK, 1987; p. 173190. [Google Scholar]
- Lee, M.; Aronson, J.L.; Savin, S.M. Timing and conditions of Permian Rotliegende sandstone diagenesis, southern North Sea: K/Ar and oxygen isotopic data. Am. Assoc. Pet. Geol. Bull. 1989, 73, 195215. [Google Scholar]
- Bjørlykke, K.; Aagaard, P. Clay minerals in North Sea sandstones. In Origin, Diagenesis, and Petrophysics of Clay Minerals in Sandstones; Houseknecht, D.W., Pittman, E.D., Eds.; SEPM Spec. Publ. 47; SEPM: Tulsa, OK, USA, 1992; p. 6580. [Google Scholar]
- Haszeldine, S.; Brint, J.F.; Fallick, A.E.; Hamilton, P.J.; Brown, S. K-Ar dating of illites in Brent Group reservoirs. In Geology of the Brent Group; Morton, A.C., Haszeldine, R.S., Giles, M.R., Brown, S., Eds.; Special Publication 61; Geological Society: London, UK, 1992; p. 377400. [Google Scholar]
- McAulay, G.E.; Burley, S.D.; Fallick, A.E.; Kuznir, N.J. Palaeohydrodynamic fluid flow regimes during diagenesis of the Brent group in the HuttonNW Hutton reservoirs: Constraints from oxygen isotope studies of authigenic kaolin and reverse flexural modelling. Clay Miner. 1994, 29, 609626. [Google Scholar] [CrossRef]
- Purvis, K. Diagenesis of Lower Jurassic sandstones, Block 211/13 (Penguin area), UK northern North Sea. Mar. Pet. Geol. 1995, 12, 219228. [Google Scholar] [CrossRef]
- Hancock, N.J. Possible causes of Rotliegend sandstone diagenesis in northern West Germany. J. Geol. Soc. 1978, 135, 35–40. [Google Scholar] [CrossRef]
- Xu, T.T.; Wang, X.X.; Zhang, Y.Y. Clay Minerals in Petroliferous Basin, China; Petroleum Industry Press: Beijing, China, 2003; pp. 37–69. [Google Scholar]
- Meng, F.J.; Xiao, L.H.; Xie, Y.H. Abnormal Transformation of the clay minerals in Yinggehai Basin and Its Significances. Acta Sedimentol. Sin. 2012, 30, 469–476. (In Chinese) [Google Scholar]
- Stoessell, R.K. Kaolinite formation in clastic reservoirs: Carbon dixoid factor. AAPG 1981, 65, 998–999. [Google Scholar]
- Dowey, P.J.; Hodgson, D.M.; Worden, R.H. Pre-requisites, processes, and prediction of chlorite grain coatss in petroleum reservoirs: A review of subsurface examples. Mar. Pet. Geol. 2012, 32, 63–75. [Google Scholar] [CrossRef]
- Wu, S.J.; You, L.; Zhao, Z.J. Reservoir characteristics and favorable reservoir distribution of member three of Liushagang Formation of Xieyang Slope in Weixinan Sag. J. Northeast Pet. Univ. 2017, 41, 24–31. (In Chinese) [Google Scholar]
- Sun, Z.L.; Huang, S.J.; Zhang, Y.X.; Wang, Q.D.; Bao, S.X.; Sun, Z.X. Origin and diagenesis of authigenic chlorite within the sandstone reservoirs of Xujiahe Formation, Sichuan Basin, China. Acta Sedimentol. Sin. 2008, 26, 459–468. (In Chinese) [Google Scholar]
- Bjørkum, P.A.; Gjelsvik, N. An isochemical model for formation of authigenic kaolinite, K-feldspar, and illite in sediments. J. Sediment. Petrol. 1988, 58, 506–511. [Google Scholar]
- Hower, J. Shale diagenesis. In Short Course in Clays and Resource Geologist; Mineralogical Association of Canada: Quebec, QC, Canada, 1981; pp. 60–77. [Google Scholar]
- Xiao, Y.; Wang, R.C.; Lu, X.C.; Gao, J.F.; Xu, S.J. Experimental study on the low-temperature dissolution of microperthite in alkaline solution. Acta Miner. Sin. 2003, 23, 333–340. (In Chinese) [Google Scholar]
- Hellmann, R. The albite-water system: Part I. The kinetics of dissolution as a function of pH at 100, 200, and 300 °C. Geochim. Cosmochim Acta. 1994, 58, 595–611. [Google Scholar] [CrossRef]
- McKinley, J.M.; Worden, R.H.; Ruffell, A.H. Smectite in sandstones: A review of the controls on occurrence and behaviour during diagenesis. In Clay Mineral Cements in Sandstones; Worden, R.H., Morad, S., Eds.; Special Publications; International Association of Sedimentologists: Ghent, Belgium, 2003; Volume 34, pp. 109–128. [Google Scholar]
- Gier, S.; Worden, R.H.; Krois, P. Comparing clay mineral diagenesis in interbedded sandstones and mudstones, Vienna Basin, Austria. Geol. Soc. Spec. Publ. 2015, 435, 389–403. [Google Scholar] [CrossRef]













Disclaimer/Publisher’s Note: The statements, opinions and data contained in all publications are solely those of the individual author(s) and contributor(s) and not of MDPI and/or the editor(s). MDPI and/or the editor(s) disclaim responsibility for any injury to people or property resulting from any ideas, methods, instructions or products referred to in the content. |
© 2023 by the authors. Licensee MDPI, Basel, Switzerland. This article is an open access article distributed under the terms and conditions of the Creative Commons Attribution (CC BY) license (https://creativecommons.org/licenses/by/4.0/).
Share and Cite
Huan, J.; Meng, Y.; Wu, Q.; Xiao, L.; Wang, Z. Diagenetic Evolution Control on Reservoir Quality of the Oligocene Weizhou Formation in Weixinan Sag of Beibuwan Basin, Northern South China Sea. Processes 2023, 11, 2171. https://doi.org/10.3390/pr11072171
Huan J, Meng Y, Wu Q, Xiao L, Wang Z. Diagenetic Evolution Control on Reservoir Quality of the Oligocene Weizhou Formation in Weixinan Sag of Beibuwan Basin, Northern South China Sea. Processes. 2023; 11(7):2171. https://doi.org/10.3390/pr11072171
Chicago/Turabian StyleHuan, Jinlai, Yuanlin Meng, Qilin Wu, Lihua Xiao, and Zixuan Wang. 2023. "Diagenetic Evolution Control on Reservoir Quality of the Oligocene Weizhou Formation in Weixinan Sag of Beibuwan Basin, Northern South China Sea" Processes 11, no. 7: 2171. https://doi.org/10.3390/pr11072171
APA StyleHuan, J., Meng, Y., Wu, Q., Xiao, L., & Wang, Z. (2023). Diagenetic Evolution Control on Reservoir Quality of the Oligocene Weizhou Formation in Weixinan Sag of Beibuwan Basin, Northern South China Sea. Processes, 11(7), 2171. https://doi.org/10.3390/pr11072171
