Study on Mechanical Properties of Composite Foundation with Rigid Pile Based on the Cushion and Strength Adjustor Control
Abstract
:1. Introduction
2. Composite Foundation Tests
2.1. Test Materials
2.1.1. XPS Slab
2.1.2. Foam Concrete Slab Restrained by Steel Hoops
- (a)
- The physical foaming method is adopted in this test, and the highly concentrated plant foaming agent is adopted. The plant foaming agent and water are mixed evenly according to the volume ratio of 1:40 and are then injected into the foaming machine for pressurized foaming to generate fine, uniform, good-viscosity and stable foam. The pressure of air is controlled to about 0.5 MPa.
- (b)
- The cement is Grade 42.5 Portland cement, and the water-cement ratio is 0.6. The mix proportion of foam concrete is shown in Table 1.
- (c)
- Portland cement and water are added to the mixing pot and stirred slowly for about 60 s; the prepared foam is poured slowly into the slurry that has been stirred evenly, and then stirred at 285 revolutions per minute for about 60 s by the mortar mixer to make the uniform fluid foam concrete slurry.
- (d)
- The fluid foam concrete slurry is poured into the steel hoops. After the steel hoops are filled with slurry, the overflow parts at the top and edge are smoothed with a steel ruler, and then the foam slabs are placed in the standard curing room for 28 days.
2.1.3. Compression Performance Test of XPS Slab and Foam Concrete Slab Restrained by Steel Hoops
2.2. Test Setup
- (a)
- Electro-hydraulic servo loading system and universal testing machine.
- (b)
- Test chamber: Square steel tubes are welded into a box shape; the size of the test box is 1.10 m × 0.83 m × 1.05 m (length × width × height), the inner size is 0.90 m × 0.63 m × 1.05 m, and a 15 mm tempered glass retaining wall is embedded.
- (c)
- Model pile: circular steel pipe is filled with concrete, with a diameter of 300 mm and height of 770 mm.
- (d)
- Load plate: the plane size is 0.80 m × 0.57 m, and the stiffening plate is set on it to improve the overall stiffness of the load plate.
- (e)
- Cushion: gravel and coarse sand are selected; the maximum particle size of gravel is not more than 20 mm, and the ratio of gravel to coarse sand is 7:3.
- (f)
- Foam slab: XPS slabs and foam concrete slabs restrained by steel hoops are adopted. During the test, a 2 mm steel plate is placed on the foam slab to prevent it from being locally crushed by the upper cushion.
- (g)
- Sandy soil: medium sand with a particle size of 0.2~2 mm.
- (h)
- Earth pressure box: the range of 2 MPa and 4 MPa is used to measure the stress of the pile, and the range of the earth pressure box is 800 kPa.
- (i)
- A static data acquisition instrument is used for data acquisition.
2.3. Test Cases
2.4. Load and Test
- (a)
- The rigid pile is placed in the middle of the test chamber, and the soil is filled 20 cm~30 cm each time, using a 5-kg iron block to fall freely from a height of 30 cm and tamp the sand twice.
- (b)
- A pressure box is placed on the top of the pile to measure the stress of the pile, and four earth pressure boxes are placed on the top of the sandy soil to measure the soil pressure. The average value of four soil pressure boxes is taken as the measurement result.
- (c)
- The 14 levels of loading are carried out, with loading pressures of 33 kPa, 66 kPa, 100 kPa, 200 kPa, 250 kPa, 300 kPa, 350 kPa, 400 kPa, 450 kPa, 500 kPa, 550 kPa, 600 kPa, 700 kPa and 800 kPa, respectively. The loading rate is 0.5 kN/s. The loading pressure shall be maintained for 20 min after each level of loading is completed. The loading termination is controlled by settlement without convergence, or the output of the jack meets the design requirements.
3. Test Results
3.1. Relationship between Load and Pile Top Stress
3.2. Relationship between Load and Soil Pressure
3.3. Relationship between Pile Top Stress and Soil Pressure
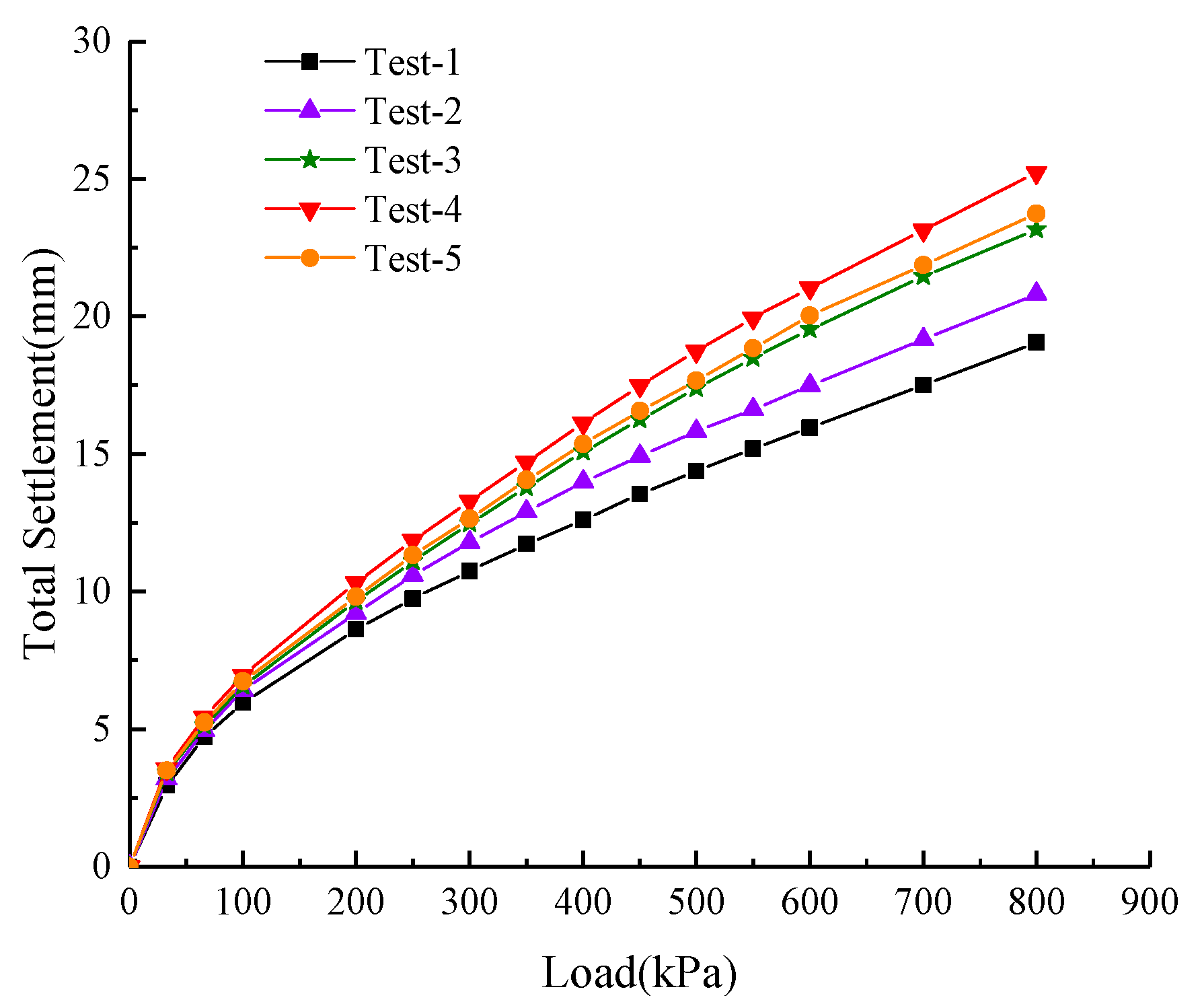
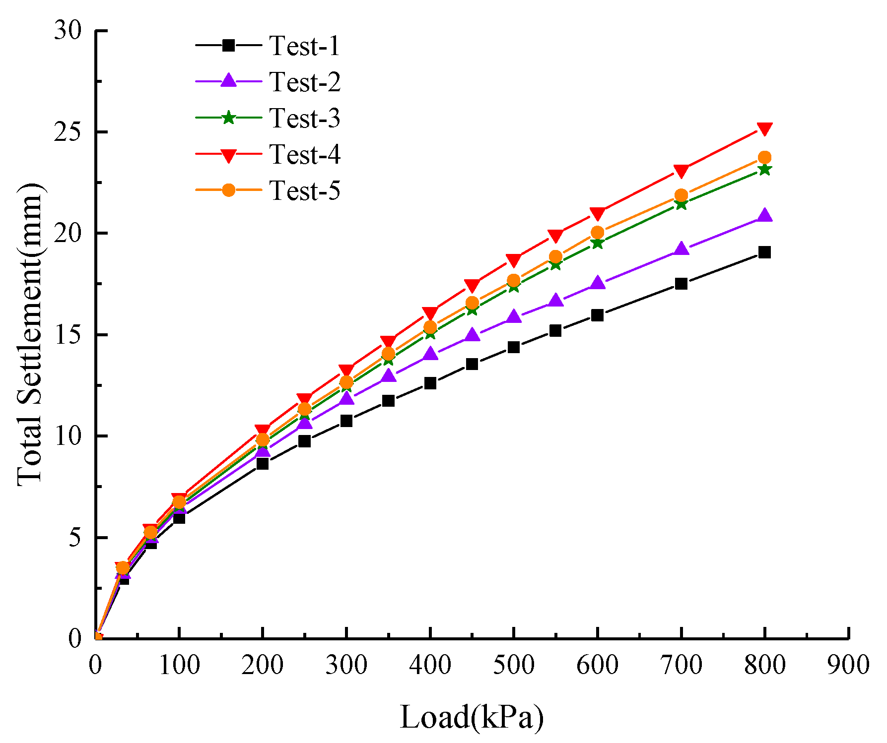
3.4. Relationship between Load and Settlement
3.5. Relationship between Stress and Strain of the Soil between Piles
4. Numerical Results
4.1. Numerical Model
4.1.1. Finite Element Model and Boundary Conditions
4.1.2. Crushable Foam Plastic Model
4.1.3. Determination of Parameters of Cushion and Soil
4.2. Comparison of the Test and Numerical Results
4.3. Case
4.3.1. Establishment of Model
4.3.2. Analysis of Simulation Results
5. Conclusions
- In the south of China, there is a large market demand for composite foundations with end-bearing rigid piles. The end-bearing rigid pile cannot penetrate downward to coordinate the pile–soil deformation as the friction pile. When the soil settlement is large, the coordination capacity of the cushion is insufficient.
- The existing pile–soil deformation adjustment device can solve the problem of pile–soil deformation coordination of a composite foundation with an end-bearing rigid pile to a certain extent, but the stiffness of the current deformation adjustment device cannot be changed after installation, and the adjustment effect depends on the accurate calculation of soil deformation.
- As the current settlement calculation theory is still immature, the pile–soil stress ratio of a composite foundation can be well controlled by the comprehensive control with cushion stiffness and foam concrete slab strength, and the adaptability of the end-bearing rigid pile composite foundation to settlement changes has been improved.
Author Contributions
Funding
Institutional Review Board Statement
Informed Consent Statement
Data Availability Statement
Conflicts of Interest
References
- Fioravante, V. Load transfer from a raft to a pile with an interposed layer. Géotechnique 2011, 61, 121–132. [Google Scholar] [CrossRef]
- Halder, P.; Manna, B. Large scale model testing to investigate the influence of granular cushion layer on the performance of disconnected piled raft system. Acta Geotech. 2021, 16, 1597–1614. [Google Scholar] [CrossRef]
- Zheng, G.; Liu, S.G.; Wu, Z.C. Study on behavior of rigid pile composite ground with different cushion thicknesses. Rock Soil Mech. 2006, 27, 1357–1360. (In Chinese) [Google Scholar]
- Han, X.; Li, Y.; Ji, J.; Ying, J.; Li, W.; Dai, B. Numerical simulation on the seismic absorption effect of the cushion in rigid-pile composite foundation. Earthq. Eng. Eng. Vib. 2016, 15, 369–378. [Google Scholar] [CrossRef]
- Miao, L.; Wang, F.; Lv, W. A Simplified Calculation Method for Stress Concentration Ratio of Composite Foundation with Rigid Piles. KSCE J. Civ. Eng. 2018, 22, 3263–3270. [Google Scholar] [CrossRef]
- Hakro, M.R.; Kumar, A.; Almani, Z.; Ali, M.; Aslam, F.; Fediuk, R.; Klyuev, S.; Klyuev, A.; Sabitov, L. Numerical Analysis of Piled-Raft Foundations on Multi-Layer Soil Considering Settlement and Swelling. Buildings 2022, 12, 356. [Google Scholar] [CrossRef]
- Jiménez, G.A.L.; Dias, D. Dynamic Soil–Structure Interaction Effects in Buildings Founded on Vertical Reinforcement Elements. CivilEng 2022, 3, 573–593. [Google Scholar] [CrossRef]
- Van Pham, H.; Dias, D. 3D Numerical Modeling of Rigid Inclusion-Improved Soft Soils Under Monotonic and Cyclic Loading—Case of a Small-Scale Laboratory Experiment. Appl. Sci. 2021, 11, 1426. [Google Scholar] [CrossRef]
- Jiang, C.; Liu, L.; Wu, J.P. A new method determining safe thickness of karst cave roof under pile tip. J. Cent. South Univ. 2014, 21, 1190–1196. [Google Scholar] [CrossRef]
- El-Garhy, B.M. A Simplified Method for the Nonlinear Analysis of Composite Piled Raft Foundation. Geotech. Geol. Eng. 2022, 40, 4357–4375. [Google Scholar] [CrossRef]
- Wang, X.Z.; Zheng, J.J.; Yin, J.H. On composite foundation with different vertical reinforcing elements under vertical loading: A physical model testing study. J. Zhejiang Univ. Sci. A 2010, 11, 80–87. [Google Scholar] [CrossRef]
- Yang, M.; Liu, S. Field tests and finite element modeling of a Prestressed Concrete Pipe pile-composite foundation. KSCE J. Civ. Eng. 2015, 19, 2067–2074. [Google Scholar] [CrossRef]
- Li, D.; Ma, D.; Su, D.; Rao, S.; Wang, W.; Hong, C. Monitoring Axial Force Development in a Super-Long Pile during Construction Using BOFDA and Data Interpretation Approaches: A Case Study. Buildings 2022, 12, 1462. [Google Scholar] [CrossRef]
- Oh, D.-W.; Kong, S.-M.; Lee, Y.-J.; Park, H.-J. Prediction of Change Rate of Settlement for Piled Raft Due to Adjacent Tunneling Using Machine Learning. Appl. Sci. 2021, 11, 6009. [Google Scholar] [CrossRef]
- Cai, J.; Du, G.; Xia, H.; Sun, C. Model Test and Numerical Simulation Study on Bearing Characteristics of Pervious Concrete Pile Composite Foundation. KSCE J. Civ. Eng. 2021, 25, 3679–3690. [Google Scholar] [CrossRef]
- Le, Q.; Jian-yong, S.; Qian, H. Research on pile penetration into cushion of composite ground. Rock Soil Mech. 2011, 32, 815–819. (In Chinese) [Google Scholar]
- Zhou, F. Engineering practice of composite end-bearing pile foundation based on settlement control. Chin. J. Rock Mech. Eng. 2015, 34, 1071–1079. [Google Scholar]
- Zhou, F.; Lin, C.; Zhang, F.; Lin, S.Z.; Wang, X.D. Design and Field Monitoring of Piled Raft Foundations with Deformation Adjustors. J. Perform. Constr. Facil. 2016, 30, 04016057. [Google Scholar] [CrossRef]
- Zhu, R.; Zhou, F.; Wan, Z.; Deng, S.; Dong, X.; Zhou, Z.; Xing, W. Improving the Performance of Piled Raft Foundations Using Deformation Adjustors: A Case Study. Buildings 2022, 12, 1903. [Google Scholar] [CrossRef]
- Zhou, F.; Lin, C.; Wang, X.D.; Chen, J. Application of deformation adjustors in piled raft foundations. Proc. Inst. Civ. Eng.-Geotech. Eng. 2016, 169, 527–540. [Google Scholar] [CrossRef]
- Wang, Y.; Wang, X.D.; Li, Y. Research on Properties and Applications of XPS Boards. China Plast. 2011, 25, 75–80. (In Chinese) [Google Scholar]
- Luo, X.; XU, J.; Zhang, H. Comparative study on the mechanical properties of low strength and high porosity porous materials. Prot. Eng. 2017, 39, 14–19. (In Chinese) [Google Scholar]




















| Trial Strength | Cement/kg | Water/kg | Foam Agent/kg | Bubble Rate |
|---|---|---|---|---|
| 1.0 MPa | 375 | 225 | 1.12 | 66% |
| 1.5 MPa | 418 | 250 | 1.25 | 61% |
| Test | Diameter of Rigid Pile/mm | Thickness of Cushion/mm | Type of Foam Slab | Strength of Slab |
|---|---|---|---|---|
| Test-1 | 300 | 120 | — | — |
| Test-2 | 300 | 170 | — | — |
| Test-3 | 300 | 120 | 20 mm XPS slab | 0.7 MPa |
| Test-4 | 300 | 170 | 20 mm XPS slab | 0.7 MPa |
| Test-5 | 300 | 120 | 30 mm foam concrete slab | 1.0 MPa |
| Loading Condition | The Soil between Piles E/MPa | Cushion on the Top of Pile E/MPa |
|---|---|---|
| 100 kPa | 20.20 | 20.26 |
| 200 kPa | 21.24 | 21.31 |
| 300 kPa | 21.64 | 21.82 |
| 400 kPa | 22.15 | 22.99 |
| 500 kPa | 22.78 | 23.19 |
| 600 kPa | 23.37 | 23.73 |
| 700 kPa | 23.89 | 24.53 |
| 800 kPa | 24.39 | 25.13 |
| Soil Layer | Thickness/m | Modulus of Elasticity/MPa | Poisson’s Ratio | Cohesion/kPa | Angle of Internal Friction |
|---|---|---|---|---|---|
| cushion | 0.25 | 40 | 0.3 | 2 | 35° |
| soil1 | 7 | 20 (14) | 0.3 | 10 | 32° |
| soil2 | 8 | 300 | 0.3 | 50 | 32° |
| Case | Description |
|---|---|
| Case 1 | 25 cm cushion, elastic modulus of soil layer 1 is 20 MPa |
| Case 2 | On the basis of Case 1, three foam concrete slabs are placed on the top of pile |
| Case 3 | 25 cm cushion, elastic modulus of soil layer 1 is 14 MPa |
| Case 4 | On the basis of Case 3, three foam concrete slabs are placed on the top of pile |
Disclaimer/Publisher’s Note: The statements, opinions and data contained in all publications are solely those of the individual author(s) and contributor(s) and not of MDPI and/or the editor(s). MDPI and/or the editor(s) disclaim responsibility for any injury to people or property resulting from any ideas, methods, instructions or products referred to in the content. |
© 2023 by the authors. Licensee MDPI, Basel, Switzerland. This article is an open access article distributed under the terms and conditions of the Creative Commons Attribution (CC BY) license (https://creativecommons.org/licenses/by/4.0/).
Share and Cite
Li, Y.; Yu, C.; Yao, L.; Wu, J.; Liu, X. Study on Mechanical Properties of Composite Foundation with Rigid Pile Based on the Cushion and Strength Adjustor Control. Processes 2023, 11, 539. https://doi.org/10.3390/pr11020539
Li Y, Yu C, Yao L, Wu J, Liu X. Study on Mechanical Properties of Composite Foundation with Rigid Pile Based on the Cushion and Strength Adjustor Control. Processes. 2023; 11(2):539. https://doi.org/10.3390/pr11020539
Chicago/Turabian StyleLi, Yonghua, Congying Yu, Lei Yao, Jiawei Wu, and Xiangang Liu. 2023. "Study on Mechanical Properties of Composite Foundation with Rigid Pile Based on the Cushion and Strength Adjustor Control" Processes 11, no. 2: 539. https://doi.org/10.3390/pr11020539
APA StyleLi, Y., Yu, C., Yao, L., Wu, J., & Liu, X. (2023). Study on Mechanical Properties of Composite Foundation with Rigid Pile Based on the Cushion and Strength Adjustor Control. Processes, 11(2), 539. https://doi.org/10.3390/pr11020539

