Enzymatic Synthesis Process of EPA- and DHA-Enriched Structured Acylglycerols at the sn-2 Position Starting from Commercial Salmon Oil and Concentrated by Response Surface Methodology under Supercritical Conditions
Abstract
:1. Introduction
2. Materials and Methods
2.1. Enzymatic Acidolysis Process under Supercritical CO2 Conditions for the sAcyl Synthesis
2.2. Analysis of Fatty Acid by Gas Liquid Chromatography (GLC)
2.3. Purification of sPAG by Neutralization with NaOH
2.4. Identification of CRSO, n-3 LCPUFA and sAcyl by Thin Layer Chromatography (TLC)
2.5. Analysis of EPA/DHA Location by Mass Spectrometry (MALDI-TOF)
2.6. Optimization of sAcyl Enzimatic Synthesis by Response Surface Methodology (RSM)
3. Results
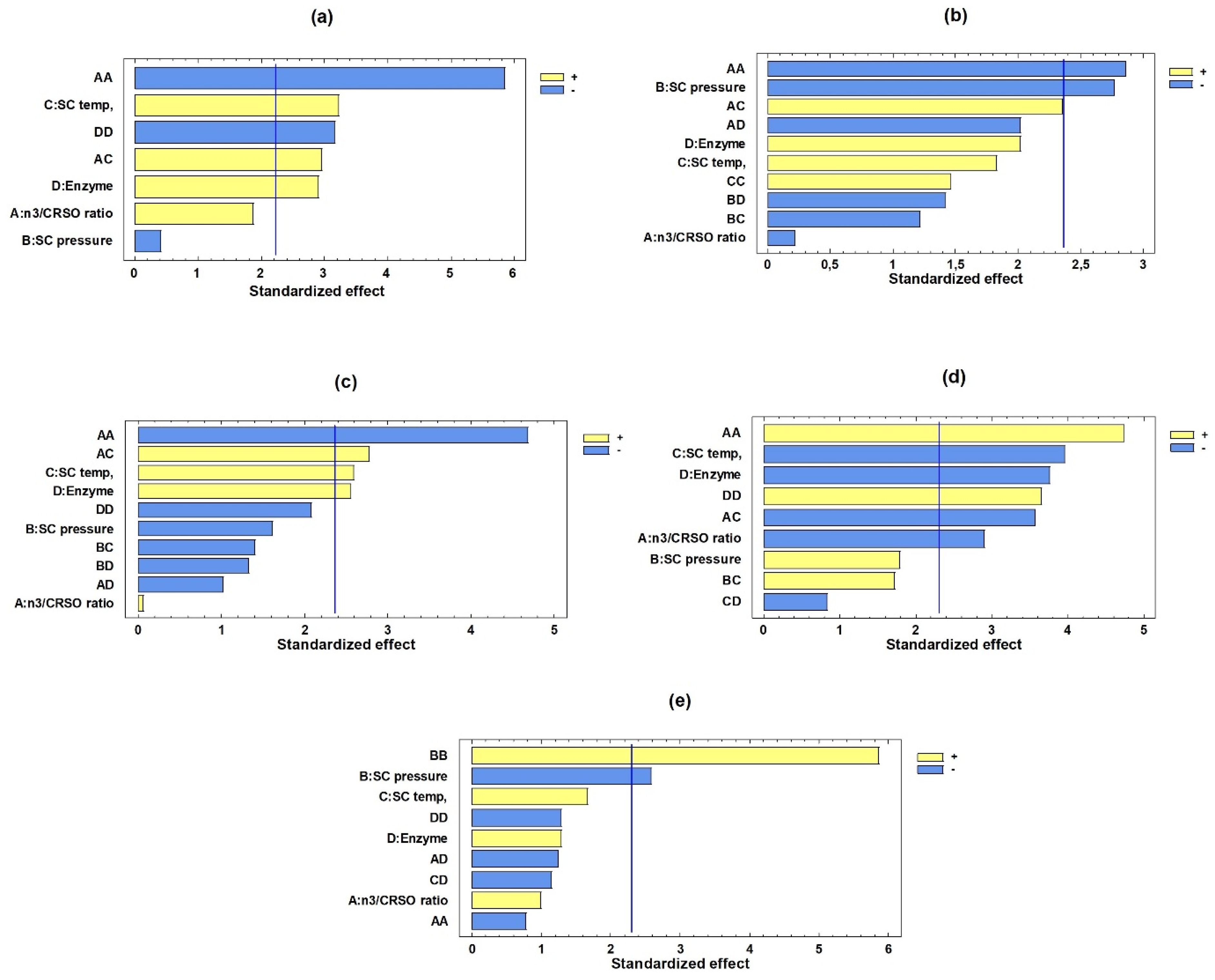
3.1. Enzimatic Acidolysis Process to Synthesize sAcyl by Draper-Lin Composite Design
3.2. RSM Optimization of the Acidolysis Process to Synthesize sAcyl
3.3. Validation of the Acidolysis Process for Obtaining sAcyl
3.3.1. Analysis of Fatty Acid by GLC of Optimized sAcyl
3.3.2. Positional Analysis of EPA/DHA in the Optimized SAcyl, Using Mass Spectrometry (MALDI-TOF)
3.3.3. Identification by TLC of CRSO, n-3 LCPUFA, and SAcyl Optimized
4. Discussion
5. Conclusions
Author Contributions
Funding
Institutional Review Board Statement
Informed Consent Statement
Data Availability Statement
Conflicts of Interest
References
- Minihane, A.M.; Armah, C.K.; Miles, E.A.; Madden, J.M.; Clark, A.B.; Caslake, M.J.; Packard, C.J.; Kofler, B.M.; Lietz, G.; Curtis, P.J.; et al. Consumption of Fish Oil Providing Amounts of Eicosapentaenoic Acid and Docosahexaenoic Acid That Can Be Obtained from the Diet Reduces Blood Pressure in Adults with Systolic Hypertension: A Retrospective Analysis. J. Nutr. 2016, 146, 516–523. [Google Scholar] [CrossRef]
- Ofosu, F.K. Current Trends and Future Perspectives on Omega-3 Fatty Acids. Res. Rev. J. Biol. 2017, 5, 11. [Google Scholar]
- Takahashi, M.; Tsuboyama-Kasaoka, N.; Nakatani, T.; Ishii, M.; Tsutsumi, S.; Aburatani, H.; Ezaki, O. Fish Oil Feeding Alters Liver Gene Expressions to Defend against PPARα Activation and ROS Production. Am. J. Physiol.-Gastrointest. Liver Physiol. 2002, 282, G338–G348. [Google Scholar] [CrossRef]
- FAO FINUT. Grasas y Ácidos Grasos en Nutrición Humana: Consulta de Expertos: 10–14 de Noviembre de 2008 Ginebra; FAO FINUT: Granada, Spain, 2012; ISBN 978-92-5-306733-6. [Google Scholar]
- Mozaffarian, D.; Rimm, E.B. Fish Intake, Contaminants, and Human Health: Evaluating the Risks and the Benefits. JAMA 2006, 296, 1885. [Google Scholar] [CrossRef] [PubMed]
- Yokoyama, M.; Origasa, H.; Matsuzaki, M.; Matsuzawa, Y.; Saito, Y.; Ishikawa, Y.; Oikawa, S.; Sasaki, J.; Hishida, H.; Itakura, H.; et al. Effects of Eicosapentaenoic Acid on Major Coronary Events in Hypercholesterolaemic Patients (JELIS): A Randomised Open-Label, Blinded Endpoint Analysis. Lancet 2007, 369, 1090–1098. [Google Scholar] [CrossRef] [PubMed]
- GISSI-HF Investigators. Effect of N-3 Polyunsaturated Fatty Acids in Patients with Chronic Heart Failure (the GISSI-HF Trial): A Randomised, Double-Blind, Placebo-Controlled Trial. Lancet 2008, 372, 1223–1230. [Google Scholar] [CrossRef]
- Rubio-Rodríguez, N.; Beltrán, S.; Jaime, I.; de Diego, S.M.; Sanz, M.T.; Carballido, J.R. Production of Omega-3 Polyunsaturated Fatty Acid Concentrates: A Review. Innov. Food Sci. Emerg. Technol. 2010, 11, 1–12. [Google Scholar] [CrossRef]
- Waldron, K.W. Handbook of Waste Management and Co-Product Recovery in Food Processing; Woodhead Publishing in Food Science, Technology and Nutrition; CRC Press: Boca Raton, FL, USA; Woodhead Publishing: Cambridge, UK, 2007; ISBN 978-0-8493-9132-3. [Google Scholar]
- Folador, J.F.; Karr-Lilienthal, L.K.; Parsons, C.M.; Bauer, L.L.; Utterback, P.L.; Schasteen, C.S.; Bechtel, P.J.; Fahey, G.C. Fish Meals, Fish Components, and Fish Protein Hydrolysates as Potential Ingredients in Pet Foods. J. Anim. Sci. 2006, 84, 2752–2765. [Google Scholar] [CrossRef]
- Granata, L.A.; Flick, G.J.; Martin, R.E. (Eds.) The Seafood Industry: Species, Products, Processing and Safety, 2nd ed.; Wiley-Blackwell: Chichester, UK, 2012; ISBN 978-0-8138-0258-9. [Google Scholar]
- Furche Guajardo, C.; Martínez Torres, C. Identificación y Análisis de las Fortalezas y Restricciones del Crecimiento Agroalimentario Chileno. Estudio Contratado por la Oficina de Estadística y Política Agraria, ODEPA. Licitación Pública Nº 688-29-LE11; Qualitas Agroconsultores: Santiago, Chile, 2011; p. 117. [Google Scholar]
- Dovale-Rosabal, G.; Rodríguez, A.; Contreras, E.; Ortiz-Viedma, J.; Muñoz, M.; Trigo, M.; Aubourg, S.P.; Espinosa, A. Concentration of EPA and DHA from Refined Salmon Oil by Optimizing the Urea–Fatty Acid Adduction Reaction Conditions Using Response Surface Methodology. Molecules 2019, 24, 1642. [Google Scholar] [CrossRef]
- Pando, M.E.; Rodríguez, A.; Galdames, A.; Berríos, M.M.; Rivera, M.; Romero, N.; Valenzuela, M.A.; Ortiz, J.; Aubourg, S.P. Maximization of the Docosahexaenoic and Eicosapentaenoic Acids Content in Concentrates Obtained from a By-Product of Rainbow Trout (Oncorhynchus Mykiss) Processing. Eur. Food Res. Technol. 2018, 244, 937–948. [Google Scholar] [CrossRef]
- Berríos, M.M.; Rodriguez, A.; Rivera, M.; Pando, M.E.; Valenzuela, M.A.; Aubourg, S.P. Optimisation of Rancidity Stability in Long-Chain PUFA Concentrates Obtained from a Rainbow Trout (Oncorhynchus Mykiss) by-Product. Int. J. Food Sci. Technol. 2017, 52, 1463–1472. [Google Scholar] [CrossRef]
- Pando Ma, E.; Bravo, B.; Berrios, M.; Galdames, A.; Rojas, C.; Romero, N.; Camilo, C.; Encina, C.; Rivera, M.; Rodríguez, A.; et al. Concentrating N-3 Fatty Acids from Crude and Refined Commercial Salmon Oil. Czech J. Food Sci. 2014, 32, 169–176. [Google Scholar] [CrossRef]
- Wanasundara, U.N.; Shahidi, F. Positional Distribution of Fatty Acids in Triacylglycerols of Seal Blubber Oil. J. Food Lipids 1997, 4, 51–64. [Google Scholar] [CrossRef]
- Nunes, P.A.; Pires-Cabral, P.; Guillén, M.; Valero, F.; Luna, D.; Ferreira-Dias, S. Production of MLM-Type Structured Lipids Catalyzed by Immobilized Heterologous Rhizopus Oryzae Lipase. J. Am. Oil Chem. Soc. 2011, 88, 473–480. [Google Scholar] [CrossRef]
- Safra, N.M. Producción de lípidos estructurados por transesterificación enzimática del aceite de soja y aceite de palmiste en reactor de lecho empacado. Grasas Aceites 2008, 9, 337–345. [Google Scholar]
- Dyerberg, J.; Madsen, P.; Møller, J.M.; Aardestrup, I.; Schmidt, E.B. Bioavailability of Marine N-3 Fatty Acid Formulations. Prostaglandins Leukot. Essent. Fat. Acids 2010, 83, 137–141. [Google Scholar] [CrossRef] [PubMed]
- Valenzuela, R.; Valenzuela, A. Overview About Lipid Structure. In Lipid Metabolism; Valenzuela Baez, R., Ed.; InTech: London, UK, 2013; ISBN 978-953-51-0944-0. [Google Scholar]
- Hita, E.; Robles, A.; Camacho, B.; Ramírez, A.; Esteban, L.; Jiménez, M.J.; Muñío, M.M.; González, P.A.; Molina, E. Production of Structured Triacylglycerols (STAG) Rich in Docosahexaenoic Acid (DHA) in Position 2 by Acidolysis of Tuna Oil Catalyzed by Lipases. Process Biochem. 2007, 42, 415–422. [Google Scholar] [CrossRef]
- Akoh, C.C. (Ed.) Handbook of Functional Lipids; CRC Press: Boca Raton, FL, USA, 2005; ISBN 978-0-429-12556-0. [Google Scholar]
- King, J.W. Critical Fluid Technology for the Processing of Lipid-Related Natural Products. Comptes Rendus Chim. 2004, 7, 647–659. [Google Scholar] [CrossRef]
- Budisa, N.; Schulze-Makuch, D. Supercritical Carbon Dioxide and Its Potential as a Life-Sustaining Solvent in a Planetary Environment. Life 2014, 4, 331–340. [Google Scholar] [CrossRef]
- Shekarchizadeh, H.; Kadivar, M.; Ghaziaskar, H.S.; Rezayat, M. Optimization of Enzymatic Synthesis of Cocoa Butter Analog from Camel Hump Fat in Supercritical Carbon Dioxide by Response Surface Method (RSM). J. Supercrit. Fluids 2009, 49, 209–215. [Google Scholar] [CrossRef]
- Espinosa, A.; Ross, A.; Dovale-Rosabal, G.; Pino-de la Fuente, F.; Uribe-Oporto, E.; Sacristán, C.; Ruiz, P.; Valenzuela, R.; Romero, N.; Aubourg, S.P.; et al. EPA/DHA Concentrate by Urea Complexation Decreases Hyperinsulinemia and Increases Plin5 in the Liver of Mice Fed a High-Fat Diet. Molecules 2020, 25, E3289. [Google Scholar] [CrossRef]
- Dovale-Rosabal, G.; Rodríguez, A.; Espinosa, A.; Barriga, A.; Aubourg, S.P. Synthesis of EPA- and DHA-Enriched Structured Acylglycerols at the Sn-2 Position Starting from Commercial Salmon Oil by Enzymatic Lipase Catalysis under Supercritical Conditions. Molecules 2021, 26, 3094. [Google Scholar] [CrossRef]
- Council of Europe. Composition of Fatty Acids in Oils Rich in Omega-3-Acid. In European Pharmacopoeia; 07/2010:20429; Council of Europe, European Directorate for the Quality of Medicines and Healthcare: Strasbourg, France, 2013; Volume 1, ISBN 978-92-871-7525-0. [Google Scholar]
- AOCS. Determination of Cis-, Trans-, Saturated, Monounsaturated, and Polyunsaturated Fatty Acids by Capillary Gas Liquid Chromatography (GLC). Sampling and Analysis of Commercial Fats and Oils. In Official Method Ce 1j-7. Official Methods and Recommended Practices of the American Oil Chemists Society; AOCS: Champaign, IL, USA, 2017. [Google Scholar]
- Jiménez, M.J.; Esteban, L.; Robles, A.; Hita, E.; González, P.A.; Muñío, M.M.; Molina, E. Production of Triacylglycerols Rich in Palmitic Acid at Position 2 as Intermediates for the Synthesis of Human Milk Fat Substitutes by Enzymatic Acidolysis. Process Biochem. 2010, 45, 407–414. [Google Scholar] [CrossRef]
- Sabally, K.; Karboune, S.; St-Louis, R.; Kermasha, S. Lipase-Catalyzed Transesterification of Dihydrocaffeic Acid with Flaxseed Oil for the Synthesis of Phenolic Lipids. J. Biotechnol. 2006, 127, 167–176. [Google Scholar] [CrossRef] [PubMed]
- Strohalm, M.; Hassman, M.; Košata, B.; Kodíček, M. MMass Data Miner: An Open Source Alternative for Mass Spectrometric Data Analysis: Letter to the Editor. Rapid Commun. Mass Spectrom. 2008, 22, 905–908. [Google Scholar] [CrossRef]
- Strohalm, M.; Kavan, D.; Novák, P.; Volný, M.; Havlíček, V. MMass 3: A Cross-Platform Software Environment for Precise Analysis of Mass Spectrometric Data. Anal. Chem. 2010, 82, 4648–4651. [Google Scholar] [CrossRef]
- Niedermeyer, T.H.J.; Strohalm, M. MMass as a Software Tool for the Annotation of Cyclic Peptide Tandem Mass Spectra. PLoS ONE 2012, 7, e44913. [Google Scholar] [CrossRef]
- Myers, R.H.; Montgomery, D.C.; Anderson-Cook, C.M. Response Surface Methodology: Process and Product Optimization Using Designed Experiments, 4th ed.; Wiley Series in Probability and Statistics; Wiley: Hoboken, NJ, USA, 2016; ISBN 978-1-118-91601-8. [Google Scholar]
- Haq, M.; Park, S.-K.; Kim, M.-J.; Cho, Y.-J.; Chun, B.-S. Modifications of Atlantic Salmon By-Product Oil for Obtaining Different ω-3 Polyunsaturated Fatty Acids Concentrates: An Approach to Comparative Analysis. J. Food Drug Anal. 2018, 26, 545–556. [Google Scholar] [CrossRef] [PubMed]
- Pando, M.E.; Rodríguez, A.; Valenzuela, M.A.; Berríos, M.M.; Rivera, M.; Romero, N.; Barriga, A.; Aubourg, S.P. Acylglycerol Synthesis Including EPA and DHA from Rainbow Trout (Oncorhynchus Mykiss) Belly Flap Oil and Caprylic Acid Catalyzed by Thermomyces Lanuginosus Lipase under Supercritical Carbon Dioxide. Eur. Food Res. Technol. 2021, 247, 499–511. [Google Scholar] [CrossRef]
- Nagachinta, S.; Akoh, C.C. Enrichment of Palm Olein with Long Chain Polyunsaturated Fatty Acids by Enzymatic Acidolysis. LWT—Food Sci. Technol. 2012, 46, 29–35. [Google Scholar] [CrossRef]
- Hamam, F.; Shahidi, F. Structured Lipids from High-Laurate Canola Oil and Long-Chain Omega-3 Fatty Acids. J. Am. Oil Chem. Soc. 2005, 82, 731–736. [Google Scholar] [CrossRef]
- Carrín, M.E.; Crapiste, G.H. Enzymatic Acidolysis of Sunflower Oil with a Palmitic–Stearic Acid Mixture. J. Food Eng. 2008, 84, 243–249. [Google Scholar] [CrossRef]
- Wang, Y.; Xia, L.; Xu, X.; Xie, L.; Duan, Z. Lipase-Catalyzed Acidolysis of Canola Oil with Caprylic Acid to Produce Medium-, Long- and Medium-Chain-Type Structured Lipids. Food Bioprod. Process. 2012, 90, 707–712. [Google Scholar] [CrossRef]
- Ahmadkeyayeh, S.; Hawboldt, K. Extraction of lipids and astaxanthin from crustacean by-products: A review on supercritical CO2 extraction. Trends Food Sci. Technol. 2020, 103, 94–108. [Google Scholar] [CrossRef]
- Singh, S.; Kumar Verma, D.; Thakur, M.; Tripathy, S.; Patel, A.R.; Shah, N.; Utama, G.L.; Srivastav, P.P.; Benavente-Valdés, J.R.; Chávez-González, M.L.; et al. Supercritical fluid extraction (SCFE) as green extraction technology for high-value metabolites of algae, its potential trends in food and human helath. Food Res. Int. 2020, 150, 110746. [Google Scholar] [CrossRef]
- Tyskiewicz, K.; Gieysztor, R.; Maziarczyk, I.; Hodurek, P.; Rój, E.; Skalicka-Wozniak, K. Supercritical fluid chromatography with photodiode array detection in the determination of fat-soluble vitamins in hemp seed oil and waste fish oil. Molecules 2018, 23, 1131. [Google Scholar] [CrossRef] [PubMed]
- Song, L.; Huang, Y.; Gou, M.J.; Crommen, J.; Jiang, Z.; Feng, Y. Method development and validation for the determination of biogenic amines in soy sauce using supercritical fluid chromatography coupled with single quadrupole mass spectrometry. J. Sep. Sci. 2020, 43, 2728–2736. [Google Scholar] [CrossRef]
- Castejón, N.; Señoráns, F.J. Enzymatic modification to produce health-promoting lipids from fish oil, algae and other new omega-3 sources: A review. New Biotechnol. 2020, 57, 45–54. [Google Scholar] [CrossRef]
- Castejón, N.; Señoráns, F.J. Integrated green and enzymatic process to produce omega-3 acylglycerols from Echium plantagineum using immobilized lipases. J. Am. Oil Chem. Soc. 2021, 98, 341–352. [Google Scholar] [CrossRef]






| Run | Independent Variables | Response Variables | |||||||
|---|---|---|---|---|---|---|---|---|---|
| n-3/CRSO Ratio (g/g) A | SC Press. (bar) B | SC Temp. (°C) C | B Lipase (%) D | EPA | DHA | EPA + DHA | PA | EPA/ DHA in sn-2 | |
| (g/100 g TFA) | |||||||||
| 1 | 7.2 | 255 | 56 | 2 | 4.44 | 4.48 | 8.93 | 11.37 | 17 |
| 2 | 7.2 | 255 | 44 | 2 | 4.11 | 4.09 | 8.19 | 12.08 | 16 |
| 3 | 7.2 | 123 | 56 | 8 | 4.98 | 4.79 | 9.77 | 10.29 | 20 |
| 4 | 1.8 | 255 | 44 | 8 | 4.30 | 4.27 | 8.57 | 11.61 | 19 |
| 5 | 7.2 | 123 | 44 | 8 | 4.11 | 4.08 | 8.19 | 11.89 | 22 |
| 6 | 1.8 | 123 | 56 | 2 | 4.11 | 4.10 | 8.21 | 11.99 | 19 |
| 7 | 1.8 | 255 | 56 | 8 | 4.22 | 4.04 | 8.26 | 11.87 | 17 |
| 8 | 1.8 | 123 | 44 | 2 | 4.09 | 4.00 | 8.09 | 12.05 | 16 |
| 9 | 0 | 189 | 50 | 5 | 3.75 | 3.76 | 7.50 | 12.58 | 15 |
| 10 | 9 | 189 | 50 | 5 | 3.83 | 3.70 | 7.53 | 12.11 | 18 |
| 11 | 4.5 | 78 | 50 | 5 | 4.61 | 4.55 | 9.16 | 11.06 | 34 |
| 12 | 4.5 | 300 | 50 | 5 | 4.61 | 3.82 | 8.43 | 11.63 | 25 |
| 13 | 4.5 | 189 | 40 | 5 | 4.29 | 4.27 | 8.56 | 11.79 | 12 |
| 14 | 4.5 | 189 | 60 | 5 | 4.69 | 4.43 | 9.12 | 10.88 | 21 |
| 15 | 4.5 | 189 | 50 | 0 | 3.88 | 3.79 | 7.68 | 12.63 | 15 |
| 16 | 4.5 | 189 | 50 | 10 | 4.34 | 4.32 | 8.65 | 11.65 | 16 |
| 17 | 4.5 | 189 | 50 | 5 | 4.65 | 4.45 | 9.09 | 11.10 | 17 |
| 18 | 4.5 | 189 | 50 | 5 | 4.54 | 4.32 | 8.87 | 11.19 | 16 |
| Optimization | n-3/CRSO (g/g) | SC Pressure (bar) | SC Temp (°C) | Lip, B (%) | Stat, Point | Optimal Predicted Value |
|---|---|---|---|---|---|---|
| EPA | 6.41 | 78.00 | 60.09 | 5.69 | Max | 4.99 |
| DHA | 4.33 | 78.00 | 60.09 | 10.03 | 5.77 | |
| EPA + DHA | 6.14 | 78.00 | 60.09 | 8.72 | 10.65 | |
| EPA/DHA in sn-2 | 9.01 | 79.01 | 60.09 | 0 | 37.33 | |
| PA | 9.04 | 300 | 60.09 | 10.04 | Min | 9.59 |
| Multi-response optimization | 7.24 | 82.03 | 60.09 | 5.16 | Max | EPA: 4.95 |
| DHA: 5.27 | ||||||
| EPA + DHA: 10.25 | ||||||
| EPA/DHA in sn-2: 33.45 | ||||||
| Min | PA: 9.74 |
| Systematic Name | CRSO (a) | n-3 LCPUFA (b) | SAcyl (c) |
|---|---|---|---|
| Lauric acid | 0.06 ± 0.00 | N/I | N/I |
| Myristic acid | 2.90 ± 0.01 | 0.18 ± 0.00 | 2.15 ± 0.00 |
| Palmitic acid | 12.76 ± 0.03 | 0.25 ± 0.00 | 10.60 ± 0.00 |
| Palmitoelaidic acid | 0.07 ± 0.00 | 0.25 ± 0.00 | 0.21 ± 0.00 |
| Palmitoleic acid | 3.74 ± 0.01 | 1.90 ± 0.00 | 3.39 ± 0.00 |
| Heptadecanoic acid | 0.22 ± 0.00 | 0.28 ± 0.00 | N/I |
| Heptadecenoic acid | 0.13 ± 0.00 | 1.30 ± 0.00 | 0.44 ± 0.00 |
| Stearic acid | 3.64 ± 0.01 | 1.56 ± 0.00 | 3.17 ± 0.00 |
| Trans-vaccenic acid | N/I | N/I | 0.47 ± 0.01 |
| Oleic acid | 36.95 ± 0.08 | 3.15 ± 0.00 | 34.66 ± 0.03 |
| Cis-Vaccenic acid | 3.32 ± 0.00 | 0.33 ± 0.00 | 2.74 ± 0.00 |
| Linoleaidic acid | 0.06 ± 0.00 | 2.14 ± 0.00 | 0.75 ± 0.01 |
| Linoleic acid | 15.77 ± 0.07 | 22.36 ± 0.03 | 15.48 ± 0.00 |
| Gamma linolenic acid | 0.32 ± 0.00 | 1.10 ± 0.00 | 0.37 ± 0.00 |
| 5-Eicosanoic acid | 0.22 ± 0.00 | 1.18 ± 0.02 | N/I |
| 8-Eicosanoic acid | 0.44 ± 0.01 | N/I | N/I |
| 11-Eicosanoic acid | 1.84 ± 0.04 | N/I | 1.94 ± 0.00 |
| α-Linolenic acid | 4.91 ± 0.00 | 9.32 ± 0.01 | 4.78 ± 0.00 |
| Eicosadienoic acid | 1.34 ± 0.01 | 0.32 ± 0.00 | 0.90 ± 0.00 |
| Behenoic acid | 0.36 ± 0.00 | N/I | N/I |
| Eicosatrienoic acid | 0.33 ± 0.00 | 1.78 ± 0.00 | 1.29 ± 0.00 |
| Erucic acid | 0.29 ± 0.01 | 1.53 ± 0.00 | N/I |
| Arachidonic acid | 0.35 ± 0.04 | N/I | N/I |
| Docosadienoic acid | 0.12 ± 0.01 | 3.03 ± 0.14 | 1.07 ± 0.00 |
| Eicosapentaenoic acid | 3.92 ± 0.04 | 18.45 ± 0.04 | 5.92 ± 0.01 |
| Nervonic acid | 0.27 ± 0.03 | 1.52 ± 0.00 | N/I |
| Docosatetraenoic acid | 0.15 ± 0.03 | 0.64 ± 0.01 | 0.49 ± 0.00 |
| Docosapentaenoic acid | 1.69 ± 0.05 | 4.55 ± 0.01 | 2.00 ± 0.00 |
| Docosahexaenoic acid | 3.83 ± 0.04 | 22.88 ± 0.04 | 7.18 ± 0.02 |
| Total saturated fatty acids | 19.94 | 2.27 | 15.92 |
| Total monounsaturated fatty acids | 47.27 | 11.16 | 43.85 |
| Total polyunsaturated fatty acids | 32.79 | 86.57 | 40.23 |
| Total n-3 long-chain PUFA | 9.44 | 45.88 | 16.39 |
| Total n-3 fatty acids | 14.35 | 55.2 | 21.17 |
| EPA + DHA | 7.75 | 41.33 | 13.1 |
| m/z | (a) EPA and/or DHA Identified in sn-2 Position in CRSO |
| 377.2686 | MG (0:0/20:5/0:0) |
| 877.7280 | TG (12:0/20:5/22:2); TG (15:1/17:0/22:6) |
| 879.7436 | TG (12:0/20:5/22:1); TG (14:0/18:0/22:6); |
| 881.7593 | TG (12:0/20:5/22:0); TG (13:0/20:5/21:0) |
| 901.7256 | TG (12:0/20:5/22:1); TG (14:0/18:0/22:6) |
| 901.7280 | TG (14:0/20:5/22:4); TG (12:0/22:3/22:6); TG (14:1/20:5/22:3); |
| 903.7436 | TG (14:0/20:5/22:3); TG (12:0/22:2/22:6); TG (14:1/20:5/22:2) |
| 903.7412 | TG (12:0/20:5/22:0); TG (13:0/20:5/21:0) |
| 905.7593 | TG (14:0/20:5/22:2); TG (15:1/19:0/22:6); TG (14:1/20:5/22:1) |
| 907.7749 | TG (15:1/20:5/21:0); TG (14:0/20:0/22:6); TG (14:0/20:5/22:1); TG (14:1/20:5/22:0) |
| 909.7906 | TG (15:0/20:5/21:0); TG (14:0/20:5/22:0) |
| 929.7569 | TG (15:1/20:5/21:0); TG (14:0/20:0/22:6); TG (14:0/20:5/22:1); TG (14:1/20:5/22:0) |
| 929.7593 | TG (17:2/19:1/22:6); TG (16:1/20:5/22:3); TG (18:0/18:3/22:6); TG (16:0/20:5/22:4) |
| m/z | (b) EPA and/or DHA Identified in sn-2 Position in Optimized SAcyl |
| 441.2402 | MG (-/22:6/-) |
| 881.7593 | TG (12:0/20:5/22:0); TG (13:0/20:5/20:0) |
| 901.7280 | TG (14:0/20:5/22:4); TG (14:1/20:5/22:3) |
| 901.7256 | TG (12:0/20:5/22:1) |
| 903.7436 | TG (14:0/20:5/22:3); TG (14:1/20:5/22:2) |
| 903.7412 | TG (12:0/20:5/22:0); TG (13:0/20:5/21:0) |
| 905.7593 | TG (14:0/20:5/22:2); TG (14:1/20:5/22:1) |
| 905.6630 | TG (13:0/20:5/22:6); TG (15:1/20:5/20:5) |
| 905.6995 | TG (12:0/20:5/21:0) |
| 907.6786 | TG (15:0/20:5/20:5); TG (13:0/20:5/22:5) |
| 907.7749 | TG (15:1/20:5/21:0); TG (14:0/20:5/22:1); TG (14:1/20:5/22:0) |
| 923.6525 | TG (15:0/20:5/20:5); TG (13:0/20:5/22:5) |
| 923.7123 | TG (16:1/20:5/22:6); TG (18:2/20:5/20:5); TG (14:0/22:6/22:6) |
| 923.8062 | TG (15:0/20:5/22:0); TG (16:0/20:5/21:0) |
| 923.6371 | TG (14:0/20:5/22:4); TG (14:1/20:5/22:3) |
| 927.7777 | TG (18:0/20:5/20:5); TG (16:0/20:5/22:5); TG (16:1/20:5/22:4) |
| 927.7436 | TG (14:0/20:5/22:2); TG (14:1/20:5/22:1) |
| 927.8375 | TG (13:0/20:5/22:3) |
| Samples | EPA/sn-2 Position | EPA/sn-3 Position | DHA/sn-2 Position | DHA/sn-3 Position | AP/sn-1 Position | AP/sn-2 Position |
|---|---|---|---|---|---|---|
| CRSO | 24 | 66 | - | 60 | 167 | 24 |
| SAcyl | 33 | 101 | 2 | 93 | 135 | 23 |
Disclaimer/Publisher’s Note: The statements, opinions and data contained in all publications are solely those of the individual author(s) and contributor(s) and not of MDPI and/or the editor(s). MDPI and/or the editor(s) disclaim responsibility for any injury to people or property resulting from any ideas, methods, instructions or products referred to in the content. |
© 2023 by the authors. Licensee MDPI, Basel, Switzerland. This article is an open access article distributed under the terms and conditions of the Creative Commons Attribution (CC BY) license (https://creativecommons.org/licenses/by/4.0/).
Share and Cite
Dovale-Rosabal, G.; Espinosa, A.; Rodríguez, A.; Barriga, A.; Palomino-Calderón, A.; Aubourg, S.P. Enzymatic Synthesis Process of EPA- and DHA-Enriched Structured Acylglycerols at the sn-2 Position Starting from Commercial Salmon Oil and Concentrated by Response Surface Methodology under Supercritical Conditions. Processes 2023, 11, 537. https://doi.org/10.3390/pr11020537
Dovale-Rosabal G, Espinosa A, Rodríguez A, Barriga A, Palomino-Calderón A, Aubourg SP. Enzymatic Synthesis Process of EPA- and DHA-Enriched Structured Acylglycerols at the sn-2 Position Starting from Commercial Salmon Oil and Concentrated by Response Surface Methodology under Supercritical Conditions. Processes. 2023; 11(2):537. https://doi.org/10.3390/pr11020537
Chicago/Turabian StyleDovale-Rosabal, Gretel, Alejandra Espinosa, Alicia Rodríguez, Andrés Barriga, Alan Palomino-Calderón, and Santiago P. Aubourg. 2023. "Enzymatic Synthesis Process of EPA- and DHA-Enriched Structured Acylglycerols at the sn-2 Position Starting from Commercial Salmon Oil and Concentrated by Response Surface Methodology under Supercritical Conditions" Processes 11, no. 2: 537. https://doi.org/10.3390/pr11020537
APA StyleDovale-Rosabal, G., Espinosa, A., Rodríguez, A., Barriga, A., Palomino-Calderón, A., & Aubourg, S. P. (2023). Enzymatic Synthesis Process of EPA- and DHA-Enriched Structured Acylglycerols at the sn-2 Position Starting from Commercial Salmon Oil and Concentrated by Response Surface Methodology under Supercritical Conditions. Processes, 11(2), 537. https://doi.org/10.3390/pr11020537

