Adaptive Coexistence of Synchronization and Anti-Synchronization for a Class of Switched Chaotic Systems
Abstract
1. Introduction
- Two necessary and sufficient conditions for the CSAS of the chaotic systems under a simple adaptive linear feedback controller are proposed.
- Based on the results above, two new algorithms are derived from searching the synchronization variables and anti-synchronization variables in chaotic systems.
- According to the results of the CSAS for chaotic systems, the problem of CSAS for the switched chaotic systems composed by the unified chaotic systems is investigated, and an adaptive global linear feedback controller with only one input channel is designed which can realize CSAS of the switched chaotic systems under the arbitrary switching law.
2. Preliminaries
3. Main Results
3.1. Coexistence of Synchronization and Anti-Synchronization for Chaotic Systems
| Algorithm 1: Distinguish the synchronous and anti-synchronous variables by analyzing the parity of the system expression. |
Step 1: Without loss of generality, we first select the variable . If is an odd function, or , we can set , where is a real number; Step 2: If , we should set , where is a real number. Else, if is an odd function, or , we can set , where is a real number. Then, we determine whether is suitable or not according to the condition that the origin is an equilibrium point of the anti-synchronization error system; Step 3: When , we can set or by the similar procedure in Step 2. |
| Algorithm 2: Distinguish the synchronous and anti-synchronous variables by decomposing the system. |
Step 1: Check all elements of are the solutions of or not, . If one is yes, such as is a solution of , i.e., , then set , , thus the master system (1) is divided into the following two subsystems
Step 2: Check all elements of are the solutions of or not, . If one is yes, such as is a solution of , i.e., , then set , , thus the master system (1) is divided into the following two subsystems
Step 3: This procedure goes on until . |
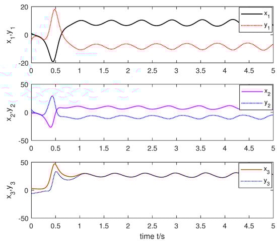
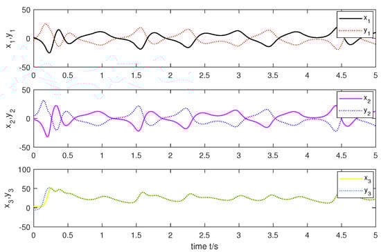
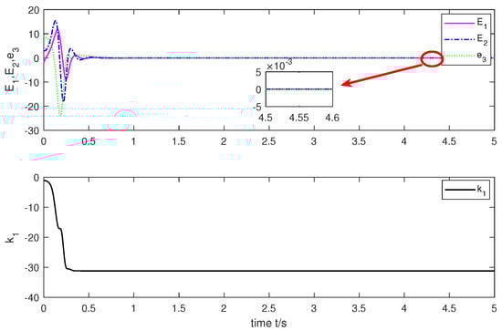
3.2. Coexistence of Synchronization and Anti-Synchronization for Switched Chaotic Systems
4. Conclusions and Future Works
Author Contributions
Funding
Data Availability Statement
Conflicts of Interest
References
- Fontana, G.; Luchetta, A.; Manetti, S.; Piccirilli, M.C. A Testability Measure for DC-Excited Periodically Switched Networks with Applications to DC-DC Converters. IEEE Trans. Instrum. Meas. 2016, 65, 2321–2341. [Google Scholar] [CrossRef]
- Zhang, Q.; Wang, Q.; Li, G. Switched System Identification Based on the Constrained Multi-objective Optimization Problem with Application to the Servo Turntable. Int. J. Control. Autom. Syst. 2016, 14, 1153–1159. [Google Scholar] [CrossRef]
- Zungeru, A.M.; Gaboitaolelwe, J.; Diarra, B.; Chuma, J.M.; Ang, L.M.; Kolobe, L.; David, M.; Zibani, I. A Secured Smart Home Switching System based on Wireless Communications and Self-Energy Harvesting. IEEE Access 2019, 7, 25063–25085. [Google Scholar] [CrossRef]
- Kruszewski, A.; Jiang, W.J.; Fridman, E.; Richard, J.P.; Toguyeni, A. A Switched System Approach to Exponential Stabilization Through Communication Network. IEEE Trans. Control Syst. Technol. 2012, 20, 887–900. [Google Scholar] [CrossRef]
- Zhang, J.; Zhang, W.A.; Yang, F. Switched system approach to distributed guaranteed cost control for interconnected systems with communication unreliability. IET Control. Theory Appl. 2019, 13, 1863–1871. [Google Scholar] [CrossRef]
- Wang, Q.; Wang, T.; Hou, Y.; Dong, C. Sign Stability for Switched Linear Systems and Its Application in Flight Control. J. Appl. Math. 2014, 2014, 391617. [Google Scholar] [CrossRef]
- Mathiyalagan, K.; Sakthivel, R.; Anthoni, S.M. Robust exponential stability and H-infinity control for switched neutral-type neural networks. Int. J. Adapt. Control. Signal Process. 2014, 28, 429–443. [Google Scholar] [CrossRef]
- Mathiyalagan, K.; Park, J.H.; Sakthivel, R. Observer-based dissipative control for networked control systems: A switched system approach. Complexity 2015, 21, 297–308. [Google Scholar] [CrossRef]
- Ali, M.S.; Saravanan, S. Robust finite-time H-infinity control for a class of uncertain switched neural networks of neutral-type with distributed time varying delays. Neurocomputing 2016, 177, 454–468. [Google Scholar] [CrossRef]
- Zhang, X.; Fan, X.; Xue, Y.; Wang, Y.; Cai, W. Robust Exponential Passive Filtering for Uncertain Neutral-type Neural Networks with Time-varying Mixed Delays via Wirtinger-based Integral Inequality. Int. J. Control. Autom. Syst. 2017, 15, 585–594. [Google Scholar] [CrossRef]
- Hajiahmadi, M.; De Schutter, B.; Hellendoorn, H. Robust H-infinity switching control techniques for switched nonlinear systems with application to urban traffic control. Int. J. Robust Nonlinear Control. 2016, 26, 1286–1306. [Google Scholar] [CrossRef]
- Boudagga, A.; Dimassi, H.; Said, S.H.; M’Sahli, F. Hybrid adaptive observer-based output feedback predictive control for the alternating activated sludge process. Trans. Inst. Meas. Control. 2021, 43, 2742–2756. [Google Scholar] [CrossRef]
- Zhou, Y.; Wang, R.; Ding, R. Energy optimization for intelligent hybrid electric vehicles based on hybrid system approach in a car-following process. Optim. Control. Appl. Methods 2022, 43, 1020–1046. [Google Scholar] [CrossRef]
- Pecora, L.; Carroll, T. Synchronization in Chaotic Systems. Phys. Rev. Lett. 1990, 64, 821–824. [Google Scholar] [CrossRef]
- Guo, R. A simple adaptive controller for chaos and hyperchaos synchronization. Phys. Lett. A 2008, 372, 5593–5597. [Google Scholar] [CrossRef]
- El-Dessoky, M.M.; Yassen, M.T. Adaptive Feedback Control for Chaos Control and Synchronization for New Chaotic Dynamical System. Math. Probl. Eng. 2012, 2012, 347210. [Google Scholar] [CrossRef]
- Bendoukha, S.; Abdelmalek, S. The Fractional Chua Chaotic System: Dynamics, Synchronization, and Application to Secure Communications. Int. J. Nonlinear Sci. Numer. Simul. 2019, 20, 77–88. [Google Scholar] [CrossRef]
- Alyami, M.A.; Mahmoud, E.E. Quaternion nonlinear Lu model and its novel quaternion complete synchronization. Alex. Eng. J. 2020, 59, 1391–1403. [Google Scholar] [CrossRef]
- Korneev, I.A.; Semenov, V.V.; Slepnev, V.A.; Vadivasova, T.E. Complete synchronization of chaos in systems with nonlinear inertial coupling. Chaos Solitons Fractals 2021, 142. [Google Scholar] [CrossRef]
- Hammami, S.; Benrejeb, M.; Feki, M.; Borne, P. Feedback control design for Rossler and Chen chaotic systems anti-synchronization. Phys. Lett. A 2010, 374, 2835–2840. [Google Scholar] [CrossRef]
- Mahmoud, E.E.; Al-Adwani, M.A. Complex anti-synchronization of two indistinguishable chaotic complex nonlinear models. Meas. Control 2019, 52, 922–928. [Google Scholar] [CrossRef]
- Sun, J.; Shen, Y. Adaptive anti-synchronization of chaotic complex systems and chaotic real systems with unknown parameters. J. Vib. Control 2016, 22, 2992–3003. [Google Scholar] [CrossRef]
- Chen, X.; Liu, B.; Liu, H. Exponential synchronization and anti-synchronization of nonautonomous chaotic systems with uncertain parameters via adaptive control. Int. J. Mod. Phys. C 2020, 31, 20501375. [Google Scholar] [CrossRef]
- Hung, Y.C.; Hsu, T.F. Measuring phase synchronization in periodically driven Lu oscillator with a phase-incoherent attractor. Nonlinear Dyn. 2016, 86, 227–234. [Google Scholar] [CrossRef]
- Cao, Y. Chaotic synchronization based on fractional order calculus financial system. Chaos Solitons Fractals 2020, 130, 109410. [Google Scholar] [CrossRef]
- Shammakh, W.; Mahmoud, E.E.; Kashkari, B.S. Complex modified projective phase synchronization of nonlinear chaotic frameworks with complex variables. Alex. Eng. J. 2020, 59, 1265–1273. [Google Scholar] [CrossRef]
- Feng, C.F.; Yang, H.J. Projective-lag synchronization scheme between two different discrete-time chaotic systems. Int. J.-Non-Linear Mech. 2020, 121, 103451. [Google Scholar] [CrossRef]
- Ibrahim, M.M.; Kamran, M.A.; Mannan, M.M.N.; Jung, I.H.; Kim, S. Lag synchronization of coupled time-delayed FitzHugh-Nagumo neural networks via feedback control. Sci. Rep. 2021, 11, 3884. [Google Scholar] [CrossRef]
- Stam, C.; van Dijk, B. Synchronization likelihood: An unbiased measure of generalized synchronization in multivariate data sets. Phys. D-Nonlinear Phenom. 2002, 163, 236–251. [Google Scholar] [CrossRef]
- Martinez-Fuentes, O.; Javier Montesinos-Garcia, J.; Francisco Gomez-Aguilar, J. Generalized synchronization of commensurate fractional-order chaotic systems: Applications in secure information transmission. Digit. Signal Process. 2022, 126, 103494. [Google Scholar] [CrossRef]
- Mainieri, R.; Rehacek, J. Projective synchronization in three-dimensional chaotic systems. Phys. Rev. Lett. 1999, 82, 3042–3045. [Google Scholar] [CrossRef]
- Wang, F.; Zheng, Z. Quasi-projective synchronization of fractional order chaotic systems under input saturation. Phys. A-Stat. Mech. Its Appl. 2019, 534, 122132. [Google Scholar] [CrossRef]
- Zhang, X.; Wu, R.c. Modified Projective Synchronization of Fractional-order Chaotic Systems with Different Dimensions. Acta Math. Appl.-Sin.-Engl. Ser. 2020, 36, 527–538. [Google Scholar] [CrossRef]
- Lahav, N.; Sendina-Nadal, I.; Hens, C.; Ksherim, B.; Barzel, B.; Cohen, R.; Boccaletti, S. Topological synchronization of chaotic systems. Sci. Rep. 2022, 12, 2508. [Google Scholar] [CrossRef]
- Yassen, M. Controlling chaos and synchronization for new chaotic system using linear feedback control. Chaos Solitons Fractals 2005, 26, 913–920. [Google Scholar] [CrossRef]
- Kumar, S.; Khan, A. Controlling and Synchronization of Chaotic Systems Via Takagi-Sugeno Fuzzy Adaptive Feedback Control Techniques. J. Control. Autom. Electr. Syst. 2021, 32, 842–852. [Google Scholar] [CrossRef]
- Chen, H. Global chaos synchronization of new chaotic systems via nonlinear control. Chaos Solitons Fractals 2005, 23, 1245–1251. [Google Scholar] [CrossRef]
- Zhang, Q.; Lu, J.a. Chaos synchronization of a new chaotic system via nonlinear control. Chaos Solitons Fractals 2008, 37, 175–179. [Google Scholar] [CrossRef]
- Kumar, A.; Singh, P.P. Synchronisation of Unified Chaotic Systems Using Modified Nonlinear Active Control: Circuit Design, Implementation, and Secure Communication. IETE J. Res. 2022, 2022, 1–7. [Google Scholar] [CrossRef]
- Yassen, M. Chaos synchronization between two different chaotic systems using active control. Chaos Solitons Fractals 2005, 23, 131–140. [Google Scholar] [CrossRef]
- Su, H.; Luo, R.; Fu, J.; Huang, M. Fixed time synchronization of delayed chaotic neural networks by using active adaptive control. Int. J. Adapt. Control. Signal Process. 2021, 35, 2040–2055. [Google Scholar] [CrossRef]
- Xu, G.; Zhao, S.; Cheng, Y. Chaotic synchronization based on improved global nonlinear integral sliding mode control**. Comput. Electr. Eng. 2021, 96, 107497. [Google Scholar] [CrossRef]
- Kuz’menko, A.A. Forced sliding mode control for chaotic systems synchronization. Nonlinear Dyn. 2022, 109, 1763–1775. [Google Scholar] [CrossRef]
- Ren, L.; Guo, R.; Vincent, U.E. Coexistence of synchronization and anti-synchronization in chaotic systems. Arch. Control. Sci. 2016, 26, 69–79. [Google Scholar] [CrossRef]
- Yu, W.; Cao, J.; Yuan, L. Synchronization of switched system and application in communication. Phys. Lett. A 2008, 372, 4438–4445. [Google Scholar] [CrossRef]
- Pan, I.; Das, S.; Routh, A. Towards a global controller design for guaranteed synchronization of switched chaotic systems. Appl. Math. Model. 2015, 39, 2311–2331. [Google Scholar] [CrossRef]
- Borah, M.; Roy, B.K. Switching synchronisation control between integer-order and fractional-order dynamics of a chaotic system. In Proceedings of the 2017 Indian Control Conference (ICC), Guwahati, India, 4–6 January 2017; pp. 456–461. [Google Scholar] [CrossRef]
- Borah, M.; Roy, B.K. Fractional-order systems with diverse dynamical behaviour and their switching-parameter hybrid-synchronisation. Eur. Phys.-J.-Spec. Top. 2017, 226, 3747–3773. [Google Scholar] [CrossRef]
- Ren, L.; Zhang, G. Adaptive projective synchronization for a class of switched chaotic systems. Math. Methods Appl. Sci. 2019, 42, 6192–6204. [Google Scholar] [CrossRef]
- Morrison, M.; Young, L.S. Chaotic heteroclinic networks as models of switching behavior in biological systems. Chaos 2022, 32, 123102. [Google Scholar] [CrossRef]
- Liberzon, D.; Morse, A. Basic problems in stability and design of switched systems. IEEE Control. Syst. Mag. 1999, 19, 59–70. [Google Scholar] [CrossRef]
- Das, S.; Acharya, A.; Pan, I. Simulation studies on the design of optimum PID controllers to suppress chaotic oscillations in a family of Lorenz-like multi-wing attractors. Math. Comput. Simul. 2014, 100, 72–87. [Google Scholar] [CrossRef]








Disclaimer/Publisher’s Note: The statements, opinions and data contained in all publications are solely those of the individual author(s) and contributor(s) and not of MDPI and/or the editor(s). MDPI and/or the editor(s) disclaim responsibility for any injury to people or property resulting from any ideas, methods, instructions or products referred to in the content. |
© 2023 by the authors. Licensee MDPI, Basel, Switzerland. This article is an open access article distributed under the terms and conditions of the Creative Commons Attribution (CC BY) license (https://creativecommons.org/licenses/by/4.0/).
Share and Cite
Ren, L.; Peng, C. Adaptive Coexistence of Synchronization and Anti-Synchronization for a Class of Switched Chaotic Systems. Processes 2023, 11, 530. https://doi.org/10.3390/pr11020530
Ren L, Peng C. Adaptive Coexistence of Synchronization and Anti-Synchronization for a Class of Switched Chaotic Systems. Processes. 2023; 11(2):530. https://doi.org/10.3390/pr11020530
Chicago/Turabian StyleRen, Ling, and Chenchen Peng. 2023. "Adaptive Coexistence of Synchronization and Anti-Synchronization for a Class of Switched Chaotic Systems" Processes 11, no. 2: 530. https://doi.org/10.3390/pr11020530
APA StyleRen, L., & Peng, C. (2023). Adaptive Coexistence of Synchronization and Anti-Synchronization for a Class of Switched Chaotic Systems. Processes, 11(2), 530. https://doi.org/10.3390/pr11020530

