Optimum Volume Fraction and Inlet Temperature of an Ideal Nanoparticle for Enhanced Oil Recovery by Nanofluid Flooding in a Porous Medium
Abstract
1. Introduction
2. Numerical Implementation
2.1. The Input Parameters and Mathematical Model Flow Chart
2.2. Geometry
2.3. Governing Equations
2.3.1. Nanofluid-Oil Flow in the Porous Medium
2.3.2. Nanofluid and Oil Relative Permeabilities
2.3.3. Capillary Pressure
2.3.4. Nanoparticle Transport
- The amount of surface is connected to the aqueous phase of all NPs.
- The NPs are stuck in the pore media route, which blocks the flow path.where is the volume of trapped NPs in pore throats per unit bulk volume, and is the volume of NPs deposed on pore surfaces per unit bulk volume.where the initial conditionswhere and are constant coefficients for interface deposit and NP entrainment, respectively, and u is the essential NP phase velocity of 0.00025 m/s.
2.3.5. Nanofluid Inlet Temperature
2.3.6. Assumptions
- The NF consists of NPs and water, considered homogeneous, meaning the NP and water are considered one phase.
- The PM is homogeneous.
- The NF and PM are an incompressible flow as it is always in the reality PM.
- Two-phase Darcy’s law was used for modeling NFs and oil flows in the PM.
- The PM is assumed to be isothermal.
2.4. Grid Independency
2.5. Verification
3. Results and Discussion
3.1. The Nanofluid’s Effect on EOR
3.1.1. The Impact of the Nanofluid’s Density and Viscosity on EOR
3.1.2. The Impact of the NPs’ Mass Transfer on EOR
3.2. The Effects of Nanofluid Thermophysical Properties on EOR
3.3. The Effects of Adding Nanoparticles to Water on EOR
3.4. The Effects of Nanoparticle Types on EOR
3.5. The Effects of Nanofluid Inlet Temperature on EOR
3.6. The Pressure and Velocity Distribution Inside the Oil Reservoir PM Changed during the Nanofluid Flooding
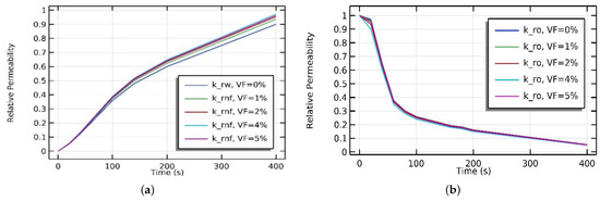
3.7. Volume Fraction Effects on NF and Oil Relative Permeabilities
3.8. Nanoparticle Types and Pore Throat Effects on the Oil Recovery Factor
3.9. The Effect of Nanoparticle Volume Fractions on the Porosity, Absolute Permeability, and ORF
3.10. The Effect of Ideal NP SiO on ORF at Different Inlet Fluid Temperatures and Volume Fractions
4. Conclusions
- The NP SiO with TPs, lowest density, and highest thermal capacity is better than the other NPs and causes more oil production.
- After simulation and comparing the three different NPs, the results showed that SiO is better than AlO and CuO for EOR, in good agreement with the results from the present study and the findings from the literature, and 18% more oil production than the water flooding.
- The optimum NP (silicon oxide) and the temperature of 353.15 K increased the oil production by 25% more than water flooding.
- The best inlet temperature of injected NF, which fits the ideal NP and optimum VF, is 353 K, where the oil production increased to 37% more than water flooding.
Author Contributions
Funding
Institutional Review Board Statement
Informed Consent Statement
Data Availability Statement
Conflicts of Interest
Nomenclature
| Porosity | |
| Diffusion coefficient | |
| Nanofluid density | |
| C | Nanoparticle concentration |
| Nanofluid viscosity | |
| The loss rate of the nanoparticles | |
| Flow velocity | |
| k | Thermal conductivity coefficient |
| K | Absolute permeability |
| The temperature of inlet nanofluid | |
| Pressure of the nanofluid | |
| Pore size distribution index | |
| nanofluid saturation | |
| The square root of permeability | |
| Oil saturation | |
| Specific heat capacity | |
| Input velocity of the inlet fluid | |
| VF | Volume fraction |
| Capillary pressure | |
| Effective saturation | |
| Residual saturation of nanofluid | |
| Oil residual saturation |
References
- Bila, A.; Stensen, J.Å.; Torsæter, O. Experimental investigation of polymer-coated silica nanoparticles for enhanced oil recovery. Nanomaterials 2019, 9, 822. [Google Scholar] [CrossRef] [PubMed]
- Zhou, Y.; Wu, X.; Zhong, X.; Reagen, S.; Zhang, S.; Sun, W.; Pu, H.; Zhao, J.X. Polymer nanoparticles based nano-fluid for enhanced oil recovery at harsh formation conditions. Fuel 2020, 267, 117251. [Google Scholar] [CrossRef]
- Céspedes, S.; Molina, A.; Lerner, B.; Pérez, M.S.; Franco, C.A.; Cortés, F.B. A Selection Flowchart for Micromodel Experiments Based on Computational Fluid Dynamic Simulations of Surfactant Flooding in Enhanced Oil Recovery. Processes 2021, 9, 1887. [Google Scholar] [CrossRef]
- Al-Yaari, A.; Sakidin, H.; Zainuddin, N.; Hashim, I. Unsteady Nanofluid Flow Over Exponentially Stretching Sheet with Vertical Throughflow. In Proceedings of the 6th International Conference on Fundamental and Applied Sciences, Prishtina, Kosovo, 6–8 October 2020; Springer: Singapore; pp. 595–609. [Google Scholar]
- Zafar, M.; Sakidin, H.; Dzulkarnain, I.; Afzal, F. Numerical Investigations of Nano-fluid Flow in Square Porous Cavity: Buongiorno’s Mathematical Model. In Proceedings of the 6th International Conference on Fundamental and Applied Sciences, Prishtina, Kosovo, 6–8 October 2020; Springer: Singapore; pp. 739–748. [Google Scholar]
- Cheraghian, G.; Hendraningrat, L. A review on applications of nanotechnology in the enhanced oil recovery part B: Effects of nanoparticles on flooding. Int. Nano Lett. 2016, 6, 1–10. [Google Scholar] [CrossRef]
- Gbadamosi, A.O.; Junin, R.; Manan, M.A.; Agi, A.; Yusuff, A.S. An overview of chemical enhanced oil recovery: Recent advances and prospects. Int. Nano Lett. 2019, 9, 171–202. [Google Scholar] [CrossRef]
- Cheraghian, G.; Rostami, S.; Afrand, M. Nanotechnology in enhanced oil recovery. Processes 2020, 8, 1073. [Google Scholar] [CrossRef]
- Rock, A.; Hincapie, R.E.; Tahir, M.; Langanke, N.; Ganzer, L. On the role of polymer viscoelasticity in enhanced oil recovery: Extensive laboratory data and review. Polymers 2020, 12, 2276. [Google Scholar] [CrossRef]
- Srivastava, M.; Zhang, J.; Nguyen, Q.P.; Pope, G.A. A systematic study of alkali surfactant gas injection as an enhanced oil recovery technique. In Proceedings of the SPE Annual Technical Conference and Exhibition, New Orleans, LA, USA, 4–7 October 2009; OnePetro: Richardson, TX, USA, 2009. [Google Scholar]
- Pryazhnikov, M.I.; Minakov, A.V.; Pryazhnikov, A.I.; Denisov, I.A.; Yakimov, A.S. Microfluidic Study of the Effect of Nanosuspensions on Enhanced Oil Recovery. Nanomaterials 2022, 12, 520. [Google Scholar] [CrossRef]
- Omran, M.; Akarri, S.; Torsaeter, O. The effect of wettability and flow rate on oil displacement using polymer-coated silica nanoparticles: A microfluidic study. Processes 2020, 8, 991. [Google Scholar] [CrossRef]
- Clark, A.J. Determination of recovery factor in the Bakken formation, Mountrail County, ND. In Proceedings of the SPE Annual Technical Conference and Exhibition, New Orleans, LA, USA, 4–7 October 2009; OnePetro: Richardson, TX, USA, 2009. [Google Scholar]
- Panchal, H.; Patel, H.; Patel, J.; Shah, M. A systematic review on nanotechnology in enhanced oil recovery. Pet. Res. 2021, 6, 204–212. [Google Scholar] [CrossRef]
- AlamiNia, H.; Khalilinezhad, S.S. Application of hydrophilic silica nanoparticles in chemical enhanced heavy oil recovery processes. Energy Sources Part A Recover. Util. Environ. Eff. 2017, 1–10. [Google Scholar] [CrossRef]
- El-Diasty, A.I.; Aly, A.M. Understanding the mechanism of nanoparticles applications in enhanced oil recovery. In Proceedings of the SPE North Africa Technical Conference and Exhibition, Cairo, Egypt, 14–16 September 2015; OnePetro: Richardson, TX, USA, 2015. [Google Scholar]
- Olayiwola, S.O.; Dejam, M. A comprehensive review on interaction of nanoparticles with low salinity water and surfactant for enhanced oil recovery in sandstone and carbonate reservoirs. Fuel 2019, 241, 1045–1057. [Google Scholar] [CrossRef]
- Davoodi, S.; Al-Shargabi, M.; Wood, D.A.; Rukavishnikov, V.S.; Minaev, K.M. Experimental and field applications of nanotechnology for enhanced oil recovery purposes: A review. Fuel 2022, 324, 124669. [Google Scholar] [CrossRef]
- Minakov, A.V.; Guzei, D.V.; Pryazhnikov, M.I.; Filimonov, S.A.; Voronenkova, Y.O. 3D pore-scale modeling of nanofluids-enhanced oil recovery. Pet. Explor. Dev. 2021, 48, 956–967. [Google Scholar] [CrossRef]
- Brinkman, H.C. On the permeability of media consisting of closely packed porous particles. Flow Turbul. Combust. 1949, 1, 81–86. [Google Scholar] [CrossRef]
- Auriault, J.L. On the domain of validity of Brinkman’s equation. Transp. Porous Media 2009, 79, 215–223. [Google Scholar] [CrossRef]
- Nichele, J.; Teixeira, D.A. Evaluation of Darcy–Brinkman equation for simulations of oil flows in rocks. J. Pet. Sci. Eng. 2015, 134, 76–78. [Google Scholar] [CrossRef]
- Rajagopal, K.R. On a hierarchy of approximate models for flows of incompressible fluids through porous solids. Math. Model. Methods Appl. Sci. 2007, 17, 215–252. [Google Scholar] [CrossRef]
- Ju, B.; Fan, T. Experimental study and mathematical model of nanoparticle transport in porous media. Powder Technol. 2009, 192, 195–202. [Google Scholar] [CrossRef]
- Liu, X.; Civan, F. Characterization and prediction of formation damage in two-phase flow systems. In Proceedings of the SPE Production Operations Symposium, Oklahoma City, OK, USA, 21–23 March 1993; OnePetro: Richardson, TX, USA, 1993. [Google Scholar]
- El-Amin, M.; Sun, S.; El-Ameen, M.; Jaha, Y.; Gorla, R.S.R. Non-Darcy free convection of power-law fluids over a two-dimensional body embedded in a porous medium. Transp. Porous Media 2011, 86, 965–972. [Google Scholar] [CrossRef]
- Feng, Q.; Chen, X.; Zhang, G. Experimental and numerical study of gel particles movement and deposition in porous media after polymer flooding. Transp. Porous Media 2013, 97, 67–85. [Google Scholar] [CrossRef]
- Sepehri, M.; Moradi, B.; Emamzadeh, A.; Mohammadi, A.H. Experimental study and numerical modeling for enhancing oil recovery from carbonate reservoirs by nanoparticle flooding. Oil Gas Sci. Technol.–Rev. d’IFP Energies Nouv. 2019, 74, 5. [Google Scholar] [CrossRef]
- Yu, B. Analysis of flow in fractal porous media. Appl. Mech. Rev. 2008, 1–61, 1–61. [Google Scholar] [CrossRef]
- Gharibshahi, R.; Jafari, A.; Haghtalab, A.; Karambeigi, M.S. Application of CFD to evaluate the pore morphology effect on nanofluid flooding for enhanced oil recovery. RSC Adv. 2015, 5, 28938–28949. [Google Scholar] [CrossRef]
- Sajjadi, H.; Delouei, A.A.; Mohebbi, R.; Izadi, M.; Succi, S. Natural convection heat transfer in a porous cavity with sinusoidal temperature distribution using Cu/water nanofluid: Double MRT lattice Boltzmann method. Commun. Comput. Phys. 2021, 29, 292–318. [Google Scholar] [CrossRef]
- Sajjadi, H.; Delouei, A.A.; Izadi, M.; Mohebbi, R. Investigation of MHD natural convection in a porous media by double MRT lattice Boltzmann method utilizing MWCNT–Fe3O4/water hybrid nanofluid. Int. J. Heat Mass Transf. 2019, 132, 1087–1104. [Google Scholar] [CrossRef]
- Alnarabiji, M.S.; Husein, M.M. Application of bare nanoparticle-based nanofluids in enhanced oil recovery. Fuel 2020, 267, 117262. [Google Scholar] [CrossRef]
- Suleimanov, B.A.; Ismailov, F.; Veliyev, E. Nanofluid for enhanced oil recovery. J. Pet. Sci. Eng. 2011, 78, 431–437. [Google Scholar] [CrossRef]
- Ahmadi, M.; Habibi, A.; Pourafshary, P.; Ayatollahi, S. Zeta-potential investigation and experimental study of nanoparticles deposited on rock surface to reduce fines migration. SPE J. 2013, 18, 534–544. [Google Scholar] [CrossRef]
- Ogolo, N.; Olafuyi, O.; Onyekonwu, M. Enhanced oil recovery using nanoparticles. In Proceedings of the SPE Saudi Arabia Section Technical Symposium and Exhibition, Al-Khobar, Saudi Arabia, 8–11 April 2012; OnePetro: Richardson, TX, USA, 2012. [Google Scholar]
- Dezfuli, M.G.; Jafari, A.; Gharibshahi, R. Optimum volume fraction of nanoparticles for enhancing oil recovery by nanosilica/supercritical CO2 flooding in porous medium. J. Pet. Sci. Eng. 2020, 185, 106599. [Google Scholar] [CrossRef]
- Al-Yaari, A.; Ching, D.L.C.; Sakidin, H.; Muthuvalu, M.S.; Zafar, M.; Alyousifi, Y.; Saeed, A.A.H.; Bilad, M.R. Thermophysical Properties of Nanofluid in Two-Phase Fluid Flow through a Porous Rectangular Medium for Enhanced Oil Recovery. Nanomaterials 2022, 12, 1011. [Google Scholar] [CrossRef] [PubMed]
- Alomair, O.A.; Matar, K.M.; Alsaeed, Y.H. Nanofluids application for heavy oil recovery. In Proceedings of the SPE Asia Pacific Oil & Gas Conference and Exhibition, Adelaide, Australia, 14–16 October 2014; OnePetro: Richardson, TX, USA, 2014. [Google Scholar]
- Salem Ragab, A.M.; Hannora, A.E. A Comparative investigation of nano particle effects for improved oil recovery—Experimental work. In Proceedings of the SPE Kuwait Oil and Gas Show and Conference, Mishref, Kuwait, 11–14 October 2015; OnePetro: Richardson, TX, USA, 2015. [Google Scholar]
- Hendraningrat, L.; Li, S.; Torsæter, O. A coreflood investigation of nanofluid enhanced oil recovery. J. Pet. Sci. Eng. 2013, 111, 128–138. [Google Scholar] [CrossRef]
- Li, S.; Genys, M.; Wang, K.; Torsæter, O. Experimental study of wettability alteration during nanofluid enhanced oil recovery process and its effect on oil recovery. In Proceedings of the SPE Reservoir Characterisation and Simulation Conference and Exhibition, Abu Dhabi, UAE, 14–16 September 2015; OnePetro: Richardson, TX, USA, 2015. [Google Scholar]
- Maghzi, A.; Mohammadi, S.; Ghazanfari, M.H.; Kharrat, R.; Masihi, M. Monitoring wettability alteration by silica nanoparticles during water flooding to heavy oils in five-spot systems: A pore-level investigation. Exp. Therm. Fluid Sci. 2012, 40, 168–176. [Google Scholar] [CrossRef]
- Hendraningrat, L.; Torsaeter, O. Unlocking the potential of metal oxides nanoparticles to enhance the oil recovery. In Proceedings of the Offshore Technology Conference-Asia, Kuala Lumpur, Malaysia, 25–28 March 2014; OnePetro: Richardson, TX, USA, 2014. [Google Scholar]
- Hendraningrat, L.; Li, S.; Torsæter, O. Effect of some parameters influencing enhanced oil recovery process using silica nanoparticles: An experimental investigation. In Proceedings of the SPE Reservoir Characterization and Simulation Conference and Exhibition, Abu Dhabi, UAE, 16–18 September 2013; OnePetro: Richardson, TX, USA, 2013. [Google Scholar]
- Kazemzadeh, Y.; Eshraghi, S.E.; Kazemi, K.; Sourani, S.; Mehrabi, M.; Ahmadi, Y. Behavior of asphaltene adsorption onto the metal oxide nanoparticle surface and its effect on heavy oil recovery. Ind. Eng. Chem. Res. 2015, 54, 233–239. [Google Scholar] [CrossRef]
- Ragab, A.M.S.; El-Mahdy, M. Unlocking Reservoir Potential using Robust Hybrid Nanoparticles Designed for Future Enhanced Oil Recovery. In Proceedings of the Mediterranean Offshore Conference & Exhibition (MOC 2016), Alexandria, Egypt, 19–21 April 2016. [Google Scholar]
- El-Diasty, A.I. The potential of nanoparticles to improve oil recovery in bahariya formation, Egypt: An experimental study. In Proceedings of the SPE Asia Pacific Enhanced Oil Recovery Conference, Kuala Lumpur, Malaysia, 11–13 August 2015; OnePetro: Richardson, TX, USA, 2015. [Google Scholar]
- Ehtesabi, H.; Ahadian, M.M.; Taghikhani, V. Enhanced heavy oil recovery using TiO2 nanoparticles: Investigation of deposition during transport in core plug. Energy Fuels 2015, 29, 1–8. [Google Scholar] [CrossRef]
- Haroun, M.; Al Hassan, S.; Ansari, A.; Al Kindy, N.; Abou Sayed, N.; Ali, B.; Sarma, H. Smart nano-EOR process for Abu Dhabi carbonate reservoirs. In Proceedings of the Abu Dhabi International Petroleum Conference and Exhibition, Abu Dhabi, UAE, 11–14 November 2012; OnePetro: Richardson, TX, USA, 2012. [Google Scholar]
- Esfe, M.H.; Esfandeh, S. 3D numerical simulation of the enhanced oil recovery process using nanoscale colloidal solution flooding. J. Mol. Liq. 2020, 301, 112094. [Google Scholar] [CrossRef]
- Afsharpoor, A.; Ma, K.; Mateen, K.; Duboin, A.; Jouenne, S.; Cordelier, P. Micro-scale experiment and cfd modeling of viscoelastic polymer; trapped oil displacement and deformation at the dead-end. In Proceedings of the SPE Improved Oil Recovery Symposium, Tulsa, OK, USA, 12–16 April 2014; OnePetro: Richardson, TX, USA, 2014. [Google Scholar]
- Das, L.; Habib, K.; Saidur, R.; Aslfattahi, N.; Yahya, S.M.; Rubbi, F. Improved thermophysical properties and energy efficiency of aqueous ionic liquid/mxene nanofluid in a hybrid pv/t solar system. Nanomaterials 2020, 10, 1372. [Google Scholar] [CrossRef] [PubMed]
- Ewing, R.E. The Mathematics of Reservoir Simulation; SIAM: New Delhi, India, 1983. [Google Scholar]
- Buckles, R. Correlating and averaging connate water saturation data. J. Can. Pet. Technol. 1965, 4, 42–52. [Google Scholar] [CrossRef]
- Mirsaeidi, A.; Yousefi, F. Viscosity, thermal conductivity and density of carbon quantum dots nanofluids: An experimental investigation and development of new correlation function and ANN modeling. J. Therm. Anal. Calorim. 2021, 143, 351–361. [Google Scholar] [CrossRef]
- Zuo, L.; Krevor, S.; Falta, R.W.; Benson, S.M. An experimental study of CO2 exsolution and relative permeability measurements during CO2 saturated water depressurization. Transp. Porous Media 2012, 91, 459–478. [Google Scholar] [CrossRef]
- Parker, J.C.; Van Genuchten, M.T. Determining Transport Parameters from Laboratory and Field Tracer Experiments; Virginia Agricultural Experiment Station, U.S. Salinity Laboratory: Blacksburg, VA, USA, 1984. [Google Scholar]
- El-Amin, M.; Kou, J.; Sun, S.; Salama, A. Numerical modeling of nanoparticles transport with two-phase flow in porous media using iterative implicit method. arXiv 2013, arXiv:1310.4769. [Google Scholar]
- Ju, B.; Dai, S.; Luan, Z.; Zhu, T.; Su, X.; Qiu, X. A study of wettability and permeability change caused by adsorption of nanometer structured polysilicon on the surface of porous media. In Proceedings of the SPE Asia Pacific Oil and Gas Conference and Exhibition, Melbourne, Australia, 8–10 October 2002; OnePetro: Richardson, TX, USA, 2002. [Google Scholar]
- Kuwahara, F.; Nakayama, A.; Koyama, H. A numerical study of thermal dispersion in porous media. ASME J. Heat Transf. 1996, 118, 756–761. [Google Scholar] [CrossRef]
- Khanafer, K.; Vafai, K. A critical synthesis of thermophysical characteristics of nanofluids. Int. J. Heat Mass Transf. 2011, 54, 4410–4428. [Google Scholar] [CrossRef]
- Barbés, B.; Páramo, R.; Blanco, E.; Casanova, C. Thermal conductivity and specific heat capacity measurements of CuO nanofluids. J. Therm. Anal. Calorim. 2014, 115, 1883–1891. [Google Scholar] [CrossRef]
- Aziz, A. A similarity solution for laminar thermal boundary layer over a flat plate with a convective surface boundary condition. Commun. Nonlinear Sci. Numer. Simul. 2009, 14, 1064–1068. [Google Scholar] [CrossRef]
- Kakaç, S.; Pramuanjaroenkij, A. Review of convective heat transfer enhancement with nanofluids. Int. J. Heat Mass Transf. 2009, 52, 3187–3196. [Google Scholar] [CrossRef]
- Ranjbar, S.; Sarlak, N.; Rashidi, A. Development of a Green and Sustainable Nanofluid Based on Carbon Dots with Sensing Capability for Enhanced Oil Recovery. Energy Fuels 2022, 36, 12126–12134. [Google Scholar] [CrossRef]
- Weidenfeller, B.; Höfer, M.; Schilling, F.R. Thermal conductivity, thermal diffusivity, and specific heat capacity of particle filled polypropylene. Compos. Part A Appl. Sci. Manuf. 2004, 35, 423–429. [Google Scholar] [CrossRef]
- Abu-Nada, E. Application of nanofluids for heat transfer enhancement of separated flows encountered in a backward facing step. Int. J. Heat Fluid Flow 2008, 29, 242–249. [Google Scholar] [CrossRef]
- Mahbubul, I.M.; Saidur, R.; Amalina, M.A. Latest developments on the viscosity of nanofluids. Int. J. Heat Mass Transf. 2012, 55, 874–885. [Google Scholar] [CrossRef]
- Esfe, M.H.; Hosseinizadeh, E.; Esfandeh, S. Flooding numerical simulation of heterogeneous oil reservoir using different nanoscale colloidal solutions. J. Mol. Liq. 2020, 302, 111972. [Google Scholar] [CrossRef]
- Nazari Moghaddam, R.; Bahramian, A.; Fakhroueian, Z.; Karimi, A.; Arya, S. Comparative study of using nanoparticles for enhanced oil recovery: Wettability alteration of carbonate rocks. Energy Fuels 2015, 29, 2111–2119. [Google Scholar] [CrossRef]
- Jafarbeigi, E.; Kamari, E.; Salimi, F.; Mohammadidoust, A. Experimental study of the effects of a novel nanoparticle on enhanced oil recovery in carbonate porous media. J. Pet. Sci. Eng. 2020, 195, 107602. [Google Scholar] [CrossRef]
- Natalya, S.A.; Kadja, G.T.; Azhari, N.J.; Khalil, M.; Fajar, A.T. Two-dimensional (2D) Nanomaterials for Enhanced Oil Recovery (EOR): A Review. FlatChem 2022, 34, 100383. [Google Scholar] [CrossRef]
- Ramezanpour, M.; Siavashi, M. Application of SiO2–water nanofluid to enhance oil recovery. J. Therm. Anal. Calorim. 2019, 135, 565–580. [Google Scholar] [CrossRef]
- Kazemzadeh, Y.; Dehdari, B.; Etemadan, Z.; Riazi, M.; Sharifi, M. Experimental investigation into Fe3O4/SiO2 nanoparticle performance and comparison with other nanofluids in enhanced oil recovery. Pet. Sci. 2019, 16, 578–590. [Google Scholar] [CrossRef]
- Lu, T.; Li, Z.; Zhou, Y.; Zhang, C. Enhanced oil recovery of low-permeability cores by SiO2 nanofluid. Energy Fuels 2017, 31, 5612–5621. [Google Scholar] [CrossRef]
- Buckley, J.S.; Fan, T. Crude oil/brine interfacial tensions1. Petrophysics-Spwla J. Form. Eval. Reserv. Descr. 2007, 48, SPWLA-2007-v48n3a1. [Google Scholar]
- Hendraningrat, L.; Li, S.; Torsaeter, O. Enhancing oil recovery of low-permeability Berea sandstone through optimized nanofluids concentration. In Proceedings of the SPE Enhanced Oil Recovery Conference, Kuala Lumpur, Malaysia, 2–4 July 2013; OnePetro: Richardson, TX, USA, 2013. [Google Scholar]


















| References | NPs | Parameters | Extra Oil Produced (%) |
|---|---|---|---|
| Alomair et al. [39] | AlO, SiO NiO, TiO | NP type | −16.94 to 23.72 |
| Ragab et al. [40] | SiO, AlO | NP type and VF | SiO (8.74 to 13.88) AlO (−8.12 to −4.65) |
| Hendraningrat et al. [41] | SiO | NP VF, PV | 5.93 to14.29 |
| Li et al. [42] | SiO | NP type and VF | 5 to 15 |
| Maghzi et al. [43] | SiO | NP VF | 8.7 to 26 |
| Hendraningrat et al. [44] | SiO, AlO, TiO | NP type | 7 to 11 |
| Hendraningrat et al. [45] | SiO | permeability NP VF | 0 to 8.41 |
| Kazemzadeh et al. [46] | SiO, NiO, FeO | NP type and VF | SiO (22.6) NiO (14.6) FeO (8.1) |
| Ragab et al. [47] | SiO | NP size and VF | 5 to 10 |
| EI-Diasty [48] | SiO | NP size and VF | 9 to 19 |
| Ogolo et al. [36] | SiO | Base fluid and NP | 13.3 to 24.1 |
| Ehtesabi et al. [49] | TiO2 | NP VF | 10 to 14 |
| Haroun et al. [50] | CuO, NiO, FeO | NP type | FeO (8.19) NiO (7.59) CuO (14.07) |
| Parameter | Value | Unit | Description |
|---|---|---|---|
| 293.15 | K | The initial temperature of the system | |
| 350 | K | The inlet temperature of NF | |
| 0 | Pa | NF initial pressure | |
| 0 | Pa | Oil outlet Pressure | |
| V | 2 | m | Volume of geometry |
| A | 2 | m | Cross section of the PM |
| 1 | - | The initial oil saturation in the PM | |
| 1 | - | Inlet saturation of NF | |
| B | 2 | Pa | Inversely proportional to the square root of permeability |
| 0.2 | - | Initial porosity of the PM | |
| K | m | Initial absolute permeability | |
| 990 | kg/m | Water density | |
| 880 | kg/m | Oil density | |
| 2714 | kg/m | Solid matrix density | |
| C | 851 | J/kg·K | Solid matrix-specific heat |
| k | 2.2 | W/(m·K) | Solid matrix thermal conductivity |
| 2220 | kg/m | Silicon density | |
| 3970 | kg/m | Aluminum density | |
| 6310 | kg/m | Copper density | |
| 745 | J/(kg·K) | Silicon specific heat | |
| 765 | J/(kg·K) | Aluminum specific heat | |
| 531 | J/(kg·K) | Copper specific heat | |
| 36 | W/(m·K) | Silicon thermal conductivity | |
| 40 | W/(m·K) | Silicon thermal conductivity | |
| 20 | W/(m·K) | Silicon thermal conductivity | |
| (1, 2, 4, 5) | % | NP VF | |
| d | 40 | nm | NPs diameter |
| MN | 60 | g/mol | Molecular weight |
| 1670 | J/(kg·K) | Oil specific heat | |
| 0.13 | W/(m·K) | Oil thermal conductivity | |
| Pa·s | Oil viscosity | ||
| 4200 | J/(kg·K) | Water specific heat | |
| 0.6 | W/(m·K) | Water thermal conductivity | |
| 0.001 | Pa·s | Water viscosity |
| Properties | Values |
|---|---|
| Cross-section area (m) | 1 × 2 |
| Width (m) | 2 |
| Height (m) | 1 |
| Depth (m) | 1 |
| Porosity (%) | 0.2 |
| Horizontal permeability (m) | 1 × 10 |
| Initial water saturation (%) | 0 |
| The rectangular prism inlet side | m/s | ||
| The rectangular prism outlet side | Pa | ||
| All surfaces except the inlet and outlet | |||
| Initial condition | Pa | K |
| NF Properties | Combining NF and Oil | Unit |
|---|---|---|
| Density () [62] | kg/m | |
| Specific heat capacity () [63] | J/(kg·K) | |
| Thermal conductivity coefficient () [64,65] | W/(m·K) |
| No. | No. of Cells | ORF |
|---|---|---|
| 1 | 300,000 | 0.575 |
| 2 | 400,000 | 0.626 |
| 3 | 500,000 | 0.632 |
| 4 | 600,000 | 0.634 |
| 5 | 7,000,000 | 0.635 |
Disclaimer/Publisher’s Note: The statements, opinions and data contained in all publications are solely those of the individual author(s) and contributor(s) and not of MDPI and/or the editor(s). MDPI and/or the editor(s) disclaim responsibility for any injury to people or property resulting from any ideas, methods, instructions or products referred to in the content. |
© 2023 by the authors. Licensee MDPI, Basel, Switzerland. This article is an open access article distributed under the terms and conditions of the Creative Commons Attribution (CC BY) license (https://creativecommons.org/licenses/by/4.0/).
Share and Cite
Al-Yaari, A.; Ching, D.L.C.; Sakidin, H.; Muthuvalu, M.S.; Zafar, M.; Alyousifi, Y.; Saeed, A.A.H.; Haruna, A. Optimum Volume Fraction and Inlet Temperature of an Ideal Nanoparticle for Enhanced Oil Recovery by Nanofluid Flooding in a Porous Medium. Processes 2023, 11, 401. https://doi.org/10.3390/pr11020401
Al-Yaari A, Ching DLC, Sakidin H, Muthuvalu MS, Zafar M, Alyousifi Y, Saeed AAH, Haruna A. Optimum Volume Fraction and Inlet Temperature of an Ideal Nanoparticle for Enhanced Oil Recovery by Nanofluid Flooding in a Porous Medium. Processes. 2023; 11(2):401. https://doi.org/10.3390/pr11020401
Chicago/Turabian StyleAl-Yaari, Abdullah, Dennis Ling Chuan Ching, Hamzah Sakidin, Mohana Sundaram Muthuvalu, Mudasar Zafar, Yousif Alyousifi, Anwar Ameen Hezam Saeed, and Abdurrashid Haruna. 2023. "Optimum Volume Fraction and Inlet Temperature of an Ideal Nanoparticle for Enhanced Oil Recovery by Nanofluid Flooding in a Porous Medium" Processes 11, no. 2: 401. https://doi.org/10.3390/pr11020401
APA StyleAl-Yaari, A., Ching, D. L. C., Sakidin, H., Muthuvalu, M. S., Zafar, M., Alyousifi, Y., Saeed, A. A. H., & Haruna, A. (2023). Optimum Volume Fraction and Inlet Temperature of an Ideal Nanoparticle for Enhanced Oil Recovery by Nanofluid Flooding in a Porous Medium. Processes, 11(2), 401. https://doi.org/10.3390/pr11020401

