Poly(tetrasubstituted-aryl imidazole)s: A Way to Obtain Multi-Chromophore Materials with a Tunable Absorption/Emission Wavelength
Abstract
:1. Introduction
2. Materials and Methods
2.1. Materials
2.2. Synthesis
2.2.1. General Procedure for the Synthesis of M2 and M3
2.2.2. General Procedure for the Polymerization of P1, P2 and P3
2.3. Characterizations
2.3.1. Chemical Structure Control
2.3.2. Thermal Analyses
2.3.3. Optical Properties
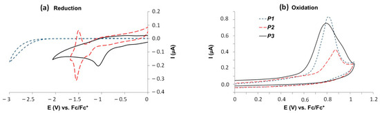
2.3.4. Electrochemical Properties
3. Results and Discussions
4. Conclusions
Supplementary Materials
Author Contributions
Funding
Data Availability Statement
Conflicts of Interest
References
- Qi, Y.; Li, N.; Xia, X.; Ge, J.; Lu, J.; Xu, Q. Synthesis of a Fluorescent Chemosensor Based on a New Copolymer Containing Multi-Fluorophore. Mater. Chem. Phys. 2010, 124, 726–731. [Google Scholar] [CrossRef]
- Tang, X.; Zheng, C.; Chen, Y.; Zhao, Z.; Qin, A.; Hu, R.; Tang, B.Z. Multicomponent Tandem Polymerizations of Aromatic Diynes, Terephthaloyl Chloride, and Hydrazines toward Functional Conjugated Polypyrazoles. Macromolecules 2016, 49, 9291–9300. [Google Scholar] [CrossRef]
- Wei, B.; Li, W.; Zhao, Z.; Qin, A.; Hu, R.; Tang, B.Z. Metal-Free Multicomponent Tandem Polymerizations of Alkynes, Amines, and Formaldehyde toward Structure- and Sequence-Controlled Luminescent Polyheterocycles. J. Am. Chem. Soc. 2017, 139, 5075–5084. [Google Scholar] [CrossRef]
- Rekaï, E.D.; Baudin, J.-B.; Jullien, L.; Ledoux, I.; Zyss, J.; Blanchard-Desce, M. A Hyperpolar, Multichromophoric Cyclodextrin Derivative: Synthesis, and Linear and Nonlinear Optical Properties. Chem. A Eur. J. 2001, 7, 4395–4402. [Google Scholar] [CrossRef]
- Schwartz, E.; Le Gac, S.; Cornelissen, J.J.L.M.; Nolte, R.J.M.; Rowan, A.E. Macromolecular Multi-Chromophoric Scaffolding. Chem. Soc. Rev. 2010, 39, 1576–1599. [Google Scholar] [CrossRef] [PubMed]
- Bondarchuk, S. V Theoretical Study of the Meisenheimer and Charge-Transfer Complexes Formed upon Colorimetric Determination of Nitroaromatic Explosives. FirePhysChem 2023, 3, 164–172. [Google Scholar] [CrossRef]
- Enlow, M.A. Binding of TNT to Amplifying Fluorescent Polymers: An Ab Initio and Molecular Dynamics Study. J. Mol. Graph. Model. 2012, 33, 12–18. [Google Scholar] [CrossRef] [PubMed]
- Abelha, T.F.; Morris, G.; Lima, S.M.; Andrade, L.H.C.; McLean, A.J.; Alexander, C.; Calvo-Castro, J.; McHugh, C.J. Development of a Neutral Diketopyrrolopyrrole Phosphine Oxide for the Selective Bioimaging of Mitochondria at the Nanomolar Level. Chem. A Eur. J. 2020, 26, 3173–3180. [Google Scholar] [CrossRef] [PubMed]
- Chiminazzo, A.; Borsato, G.; Favero, A.; Fabbro, C.; McKenna, C.E.; Dalle Carbonare, L.G.; Valenti, M.T.; Fabris, F.; Scarso, A. Diketopyrrolopyrrole Bis-Phosphonate Conjugate: A New Fluorescent Probe for In Vitro Bone Imaging. Chem. A Eur. J. 2019, 25, 3617–3626. [Google Scholar] [CrossRef]
- Ghosh, S.; Shankar, S.; Philips, D.S.; Ajayaghosh, A. Diketopyrrolopyrrole-Based Functional Supramolecular Polymers: Next-Generation Materials for Optoelectronic Applications. Mater. Today Chem. 2020, 16, 100242. [Google Scholar] [CrossRef]
- Wang, Q.; Xia, B.; Xu, J.; Niu, X.; Cai, J.; Shen, Q.; Wang, W.; Huang, W.; Fan, Q. Biocompatible Small Organic Molecule Phototheranostics for NIR-II Fluorescence/Photoacoustic Imaging and Simultaneous Photodynamic/Photothermal Combination Therapy. Mater. Chem. Front. 2019, 3, 650–655. [Google Scholar] [CrossRef]
- Auwalu, M.A.; Cheng, S. Diketopyrrolopyrrole Fluorescent Probes, Photophysical and Biological Applications. Chemosensors 2021, 9, 44. [Google Scholar] [CrossRef]
- Chen, D.; Wu, I.-C.; Liu, Z.; Tang, Y.; Chen, H.; Yu, J.; Wu, C.; Chiu, D.T. Semiconducting Polymer Dots with Bright Narrow-Band Emission at 800 Nm for Biological Applications. Chem. Sci. 2017, 8, 3390–3398. [Google Scholar] [CrossRef] [PubMed]
- Zhang, Y.; Autry, S.A.; McNamara, L.E.; Nguyen, S.T.; Le, N.; Brogdon, P.; Watkins, D.L.; Hammer, N.I.; Delcamp, J.H. Near-Infrared Fluorescent Thienothiadiazole Dyes with Large Stokes Shifts and High Photostability. J. Org. Chem. 2017, 82, 5597–5606. [Google Scholar] [CrossRef] [PubMed]
- Zhang, D.; Zhu, M.; Zhao, L.; Zhang, J.; Wang, K.; Qi, D.; Zhou, Y.; Bian, Y.; Jiang, J. Ratiometric Fluorescent Detection of Pb2+ by FRET-Based Phthalocyanine-Porphyrin Dyads. Inorg. Chem. 2017, 56, 14533–14539. [Google Scholar] [CrossRef] [PubMed]
- Dryza, V.; Smith, T.A.; Bieske, E.J. Blue to Near-IR Energy Transfer Cascade within a Dye-Doped Polymer Matrix, Mediated by a Photochromic Molecular Switch. Phys. Chem. Chem. Phys. 2016, 18, 5095–5098. [Google Scholar] [CrossRef]
- Ding, C.; Ren, T. Near Infrared Fluorescent Probes for Detecting and Imaging Active Small Molecules. Coord. Chem. Rev. 2023, 482, 215080. [Google Scholar] [CrossRef]
- Chen, Y.; Wang, S.; Zhang, F. Near-Infrared Luminescence High-Contrast in Vivo Biomedical Imaging. Nat. Rev. Bioeng. 2023, 1, 60–78. [Google Scholar] [CrossRef]
- Li, J.; Liu, X.; Xi, J.; Deng, L.; Yang, Y.; Li, X.; Sun, H. Recent Development of Polymer Nanofibers in the Field of Optical Sensing. Polymers 2023, 15, 3616. [Google Scholar] [CrossRef] [PubMed]
- Navolokin, N.; Lomova, M.; Bucharskaya, A.; Godage, O.; Polukonova, N.; Shirokov, A.; Grinev, V.; Maslyakova, G. Antitumor Effects of Microencapsulated Gratiola Officinalis Extract on Breast Carcinoma and Human Cervical Cancer Cells In Vitro. Materials 2023, 16, 1470. [Google Scholar] [CrossRef] [PubMed]
- Zhao, W.; Zhang, J.; Kong, F.; Ye, T. Application of Perovskite Nanocrystals as Fluorescent Probes in the Detection of Agriculture- and Food-Related Hazardous Substances. Polymers 2023, 15, 2873. [Google Scholar] [CrossRef]
- Zou, T.; Liu, Y.; Zhang, X.; Chen, L.; Xu, Q.; Ding, Y.; Li, P.; Xie, C.; Yin, C.; Fan, Q. Oligomerization Strategy of D-A-Type Conjugated Molecules for Improved NIR-II Fluorescence Imaging. Polymers 2023, 15, 3451. [Google Scholar] [CrossRef] [PubMed]
- Hernández-Ortiz, O.J.; Castro-Monter, D.; Rodríguez Lugo, V.; Moggio, I.; Arias, E.; Reyes-Valderrama, M.I.; Veloz-Rodríguez, M.A.; Vázquez-García, R.A. Synthesis and Study of the Optical Properties of a Conjugated Polymer with Configurational Isomerism for Optoelectronics. Materials 2023, 16, 2903. [Google Scholar] [CrossRef] [PubMed]
- Beaupré, S.; Shaker-Sepasgozar, S.; Najari, A.; Leclerc, M. Random D–A1–D–A2 Terpolymers Based on Benzodithiophene, Thiadiazole[3,4-e]Isoindole-5,7-Dione and Thieno[3,4-c]Pyrrole-4,6-Dione for Efficient Polymer Solar Cells. J. Mater. Chem. A 2017, 5, 6638–6647. [Google Scholar] [CrossRef]
- DaSilveira Neto, B.A.; Lopes, A.S.; Ebeling, G.; Gonçalves, R.S.; Costa, V.E.U.; Quina, F.H.; Dupont, J. Photophysical and Electrochemical Properties of π-Extended Molecular 2,1,3-Benzothiadiazoles. Tetrahedron 2005, 61, 10975–10982. [Google Scholar] [CrossRef]
- Blouin, N.; Michaud, A.; Leclerc, M. A Low-Bandgap Poly(2,7-Carbazole) Derivative for Use in High-Performance Solar Cells. Adv. Mater. 2007, 19, 2295–2300. [Google Scholar] [CrossRef]
- Chen, C.-H.; Hsieh, C.-H.; Dubosc, M.; Cheng, Y.-J.; Hsu, C.-S. Synthesis and Characterization of Bridged Bithiophene-Based Conjugated Polymers for Photovoltaic Applications: Acceptor Strength and Ternary Blends. Macromolecules 2010, 43, 697–708. [Google Scholar] [CrossRef]
- Horie, M.; Majewski, L.A.; Fearn, M.J.; Yu, C.-Y.; Luo, Y.; Song, A.; Saunders, B.R.; Turner, M.L. Cyclopentadithiophene Based Polymers—A Comparison of Optical, Electrochemical and Organic Field-Effect Transistor Characteristics. J. Mater. Chem. 2010, 20, 4347–4355. [Google Scholar] [CrossRef]
- Rudenko, A.E.; Wiley, C.A.; Stone, S.M.; Tannaci, J.F.; Thompson, B.C. Semi-Random P3HT Analogs via Direct Arylation Polymerization. J. Polym. Sci. Part A Polym. Chem. 2012, 50, 3691–3697. [Google Scholar] [CrossRef]
- Ko, S.; Mondal, R.; Risko, C.; Lee, J.K.; Hong, S.; McGehee, M.D.; Brédas, J.-L.; Bao, Z. Tuning the Optoelectronic Properties of Vinylene-Linked Donor−Acceptor Copolymers for Organic Photovoltaics. Macromolecules 2010, 43, 6685–6698. [Google Scholar] [CrossRef]
- Duvva, N.; Raptis, D.; Kumar, C.V.; Koukaras, E.N.; Giribabu, L.; Lianos, P. Design of Diketopyrrolopyrrole Chromophores Applicable as Sensitizers in Dye-Sensitized Photovoltaic Windows for Green Houses. Dye. Pigment. 2016, 134, 472–479. [Google Scholar] [CrossRef]
- Li, W.; Hendriks, K.H.; Wienk, M.M.; Janssen, R.A.J. Diketopyrrolopyrrole Polymers for Organic Solar Cells. Acc. Chem. Res. 2016, 49, 78–85. [Google Scholar] [CrossRef] [PubMed]
- Grzybowski, M.; Gryko, D.T. Diketopyrrolopyrroles: Synthesis, Reactivity, and Optical Properties. Adv. Opt. Mater. 2015, 3, 280–320. [Google Scholar] [CrossRef]
- Li, Y.; Sonar, P.; Murphy, L.; Hong, W. High Mobility Diketopyrrolopyrrole (DPP)-Based Organic Semiconductor Materials for Organic Thin Film Transistors and Photovoltaics. Energy Environ. Sci. 2013, 6, 1684–1710. [Google Scholar] [CrossRef]
- Zou, Y.; Gendron, D.; Badrou-Aïch, R.; Najari, A.; Tao, Y.; Leclerc, M. A High-Mobility Low-Bandgap Poly(2,7-Carbazole) Derivative for Photovoltaic Applications. Macromolecules 2009, 42, 2891–2894. [Google Scholar] [CrossRef]
- Sonar, P.; Singh, S.P.; Li, Y.; Soh, M.S.; Dodabalapur, A. A Low-Bandgap Diketopyrrolopyrrole-Benzothiadiazole-Based Copolymer for High-Mobility Ambipolar Organic Thin-Film Transistors. Adv. Mater. 2010, 22, 5409–5413. [Google Scholar] [CrossRef] [PubMed]
- Bura, T.; Beaupré, S.; Ibraikulov, O.A.; Légaré, M.-A.; Quinn, J.; Lévêque, P.; Heiser, T.; Li, Y.; Leclerc, N.; Leclerc, M. New Fluorinated Dithienyldiketopyrrolopyrrole Monomers and Polymers for Organic Electronics. Macromolecules 2017, 50, 7080–7090. [Google Scholar] [CrossRef]
- Tieke, B.; Rabindranath, A.R.; Zhang, K.; Zhu, Y. Conjugated Polymers Containing Diketopyrrolopyrrole Units in the Main Chain. Beilstein J. Org. Chem. 2010, 6, 830–845. [Google Scholar] [CrossRef]
- Neto, B.A.D.; Carvalho, P.H.P.R.; Correa, J.R. Benzothiadiazole Derivatives as Fluorescence Imaging Probes: Beyond Classical Scaffolds. Acc. Chem. Res. 2015, 48, 1560–1569. [Google Scholar] [CrossRef] [PubMed]
- Du, C.; Fu, S.; Wang, X.; Sedgwick, A.C.; Zhen, W.; Li, M.; Li, X.; Zhou, J.; Wang, Z.; Wang, H.; et al. Diketopyrrolopyrrole-Based Fluorescence Probes for the Imaging of Lysosomal Zn2+ and Identification of Prostate Cancer in Human Tissue. Chem. Sci. 2019, 10, 5699–5704. [Google Scholar] [CrossRef]
- Chauveau, E.; Marestin, C.; Martin, V.; Mercier, R. Microwave-Assisted Polymerization Process: A Way to Design New, High Molecular Weight Poly(Arylimidazole)S. Polymer (Guildf) 2008, 49, 5209–5214. [Google Scholar] [CrossRef]
- Chauveau, E.; Marestin, C.; Mercier, R. Microwave-Assisted Synthesis of Tetrasubstituted Aryl Imidazole Based Polymers via Cascade Polycondensation Process. Polymer (Guildf) 2014, 55, 6435–6438. [Google Scholar] [CrossRef]
- Bae, J.-S.; Lee, D.-W.; Lee, D.-H.; Jeong, D.-S. Imidazole Derivatives and Organic Electronic Device Using the Same. U.S. Patent WO 2007/011163, 25 January 2007. [Google Scholar]
- Islam, A.; Zhang, D.; Ouyang, X.; Yang, R.; Lei, T.; Hong, L.; Peng, R.; Duan, L.; Ge, Z. Multifunctional Emitters for Efficient Simplified Non-Doped Blueish Green Organic Light Emitting Devices with Extremely Low Efficiency Roll-off. J. Mater. Chem. C 2017, 5, 6527–6536. [Google Scholar] [CrossRef]
- Sun, Y.-F.; Huang, W.; Lu, C.-G.; Cui, Y.-P. The Synthesis, Two-Photon Absorption and Blue Upconversion Fluorescence of Novel, Nitrogen-Containing Heterocyclic Chromophores. Dye. Pigment. 2009, 81, 10–17. [Google Scholar] [CrossRef]
- Fridman, N.; Kaftory, M.; Speiser, S. Structures and Photophysics of Lophine and Double Lophine Derivatives. Sens. Actuators B Chem. 2007, 126, 107–115. [Google Scholar] [CrossRef]
- Chang, Y.-T.; Hsu, S.-L.; Su, M.-H.; Wei, K.-H. Intramolecular Donor–Acceptor Regioregular Poly(Hexylphenanthrenyl-Imidazole Thiophene) Exhibits Enhanced Hole Mobility for Heterojunction Solar Cell Applications. Adv. Mater. 2009, 21, 2093–2097. [Google Scholar] [CrossRef]
- Eseola, A.O.; Li, W.; Gao, R.; Zhang, M.; Hao, X.; Liang, T.; Obi-Egbedi, N.O.; Sun, W.-H. Syntheses, Structures, and Fluorescent Properties of 2-(1H-Imidazol-2-Yl)Phenols and Their Neutral Zn(II) Complexes. Inorg. Chem. 2009, 48, 9133–9146. [Google Scholar] [CrossRef] [PubMed]
- Liu, D.; Yang, L.; Wu, Y.; Wang, X.; Zeng, Y.; Han, G.; Yao, H.; Li, S.; Zhang, S.; Zhang, Y.; et al. Tunable Electron Donating and Accepting Properties Achieved by Modulating the Steric Hindrance of Side Chains in A-D-A Small-Molecule Photovoltaic Materials. Chem. Mater. 2018, 30, 619–628. [Google Scholar] [CrossRef]
- Chu, T.-Y.; Lu, J.; Beaupré, S.; Zhang, Y.; Pouliot, J.-R.; Zhou, J.; Najari, A.; Leclerc, M.; Tao, Y. Effects of the Molecular Weight and the Side-Chain Length on the Photovoltaic Performance of Dithienosilole/Thienopyrrolodione Copolymers. Adv. Funct. Mater. 2012, 22, 2345–2351. [Google Scholar] [CrossRef]
- Medlej, H.; Awada, H.; Abbas, M.; Wantz, G.; Bousquet, A.; Grelet, E.; Hariri, K.; Hamieh, T.; Hiorns, R.C.; Dagron-Lartigau, C. Effect of Spacer Insertion in a Commonly Used Dithienosilole/Benzothiadiazole-Based Low Band Gap Copolymer for Polymer Solar Cells. Eur. Polym. J. 2013, 49, 4176–4188. [Google Scholar] [CrossRef]
- Cao, D.; Liu, Q.; Zeng, W.; Han, S.; Peng, J.; Liu, S. Diketopyrrolopyrrole-Containing Polyfluorenes: Facile Method To Tune Emission Color and Improve Electron Affinity. Macromolecules 2006, 39, 8347–8355. [Google Scholar] [CrossRef]
- Li, S.; Kang, H.; Wu, W.; Ye, C. Synthesis and Properties of a Second-Order, Nonlinear-Optical, Addition-Type Polyimide with High Thermal and Temporal Stability. J. Appl. Polym. Sci. 2008, 110, 3758–3762. [Google Scholar] [CrossRef]
- Kulhánek, J.; Bureš, F. Imidazole as a Parent π-Conjugated Backbone in Charge-Transfer Chromophores. Beilstein J. Org. Chem. 2012, 8, 25–49. [Google Scholar] [CrossRef] [PubMed]
- Crosby, G.A.; Demas, J.N. Measurement of Photoluminescence Quantum Yields. Review. J. Phys. Chem. 1971, 75, 991–1024. [Google Scholar] [CrossRef]
- Dominguez, Z.; Khuong, T.-A.V.; Dang, H.; Sanrame, C.N.; Nuñez, J.E.; Garcia-Garibay, M.A. Molecular Compasses and Gyroscopes with Polar Rotors: Synthesis and Characterization of Crystalline Forms. J. Am. Chem. Soc. 2003, 125, 8827–8837. [Google Scholar] [CrossRef] [PubMed]
- Subeesh, M.S.; Shanmugasundaram, K.; Sunesh, C.D.; Chitumalla, R.K.; Jang, J.; Choe, Y. Host–Dopant System To Generate Bright Electroluminescence from Small Organic Molecule Functionalized Light-Emitting Electrochemical Cells. J. Phys. Chem. C 2016, 120, 12207–12217. [Google Scholar] [CrossRef]
- Levi, L.; Müller, T.J.J. Multicomponent Syntheses of Functional Chromophores. Chem. Soc. Rev. 2016, 45, 2825–2846. [Google Scholar] [CrossRef] [PubMed]
- Xue, H.; Zhao, Y.; Wu, H.; Wang, Z.; Yang, B.; Wei, Y.; Wang, Z.; Tao, L. Multicomponent Combinatorial Polymerization via the Biginelli Reaction. J. Am. Chem. Soc. 2016, 138, 8690–8693. [Google Scholar] [CrossRef]
- Murugesan, V.; de Bettignies, R.; Mercier, R.; Guillerez, S.; Perrin, L. Synthesis and Characterizations of Benzotriazole Based Donor–Acceptor Copolymers for Organic Photovoltaic Applications. Synth. Met. 2012, 162, 1037–1045. [Google Scholar] [CrossRef]
- Jin, Y.; Xu, Y.; Liu, Y.; Wang, L.; Jiang, H.; Li, X.; Cao, D. Synthesis of Novel Diketopyrrolopyrrole-Based Luminophores Showing Crystallization-Induced Emission Enhancement Properties. Dye. Pigment. 2011, 90, 311–318. [Google Scholar] [CrossRef]
- Saes, B.W.H.; Lutz, M.; Wienk, M.M.; Meskers, S.C.J.; Janssen, R.A.J. Tuning the Optical Characteristics of Diketopyrrolopyrrole Molecules in the Solid State by Alkyl Side Chains. J. Phys. Chem. C 2020, 124, 25229–25238. [Google Scholar] [CrossRef] [PubMed]
- Berhman, I. Energy Transfer Parameters of Aromatic Compounds; Elsevier: Amsterdam, The Netherlands, 1973; p. 390. ISBN 9780323152570. [Google Scholar]
- Costa, J.C.S.; Taveira, R.J.S.; Lima, C.F.R.A.C.; Mendes, A.; Santos, L.M.N.B.F. Optical Band Gaps of Organic Semiconductor Materials. Opt. Mater. (Amst.) 2016, 58, 51–60. [Google Scholar] [CrossRef]







| Polymer | Td 5% (°C) a | Tg (°C) b | Mn (g·mol−1) c | Mw (g·mol−1) c | Đ c |
|---|---|---|---|---|---|
| P1 | 465 | 185 | 31,000 | 89,000 | 2.9 |
| P2 | 450 | NO * | 29,000 | 107,000 | 3.6 |
| P3 | 445 | 178 | 28,000 | 200,000 | 7.1 |
| Structure | λabs (nm) (ε.103) a | λem (nm) b | (eV) c | φ (%) d |
|---|---|---|---|---|
| P1 | 296 (43) | 394 | 3.5 | 4 |
| P2 | 327 (66); 441 (40) | 579 | 2.3 | 23 |
| P3 | 297 (50); 430 (5.5); 620 (6) | 652–704 | 1.7 | 28 |
| Mod | 290 (15) | 384 | 3.6 | 5 |
| Polymer | EOXonset (V) a vs. Fc/Fc+ | EREDonset (V) a vs. Fc/Fc+ | HOMO b (IP, eV) | LUMO b (EA, eV) | (eV) d |
|---|---|---|---|---|---|
| P1 | 0.67 | - | −5.8 | ~−2.3 c | - |
| P2 | 0.73 | −1.35 | −5.8 | −3.8 | 2.08 |
| P3 | 0.61 | −0.82 | −5.7 | −4.3 | 1.43 |
Disclaimer/Publisher’s Note: The statements, opinions and data contained in all publications are solely those of the individual author(s) and contributor(s) and not of MDPI and/or the editor(s). MDPI and/or the editor(s) disclaim responsibility for any injury to people or property resulting from any ideas, methods, instructions or products referred to in the content. |
© 2023 by the authors. Licensee MDPI, Basel, Switzerland. This article is an open access article distributed under the terms and conditions of the Creative Commons Attribution (CC BY) license (https://creativecommons.org/licenses/by/4.0/).
Share and Cite
Chauveau, E.; Perrin, L.; Marestin, C.; Mercier, R. Poly(tetrasubstituted-aryl imidazole)s: A Way to Obtain Multi-Chromophore Materials with a Tunable Absorption/Emission Wavelength. Processes 2023, 11, 2959. https://doi.org/10.3390/pr11102959
Chauveau E, Perrin L, Marestin C, Mercier R. Poly(tetrasubstituted-aryl imidazole)s: A Way to Obtain Multi-Chromophore Materials with a Tunable Absorption/Emission Wavelength. Processes. 2023; 11(10):2959. https://doi.org/10.3390/pr11102959
Chicago/Turabian StyleChauveau, Edouard, Lara Perrin, Catherine Marestin, and Régis Mercier. 2023. "Poly(tetrasubstituted-aryl imidazole)s: A Way to Obtain Multi-Chromophore Materials with a Tunable Absorption/Emission Wavelength" Processes 11, no. 10: 2959. https://doi.org/10.3390/pr11102959
APA StyleChauveau, E., Perrin, L., Marestin, C., & Mercier, R. (2023). Poly(tetrasubstituted-aryl imidazole)s: A Way to Obtain Multi-Chromophore Materials with a Tunable Absorption/Emission Wavelength. Processes, 11(10), 2959. https://doi.org/10.3390/pr11102959

