Model Test of Bearing Characteristics of Fly Ash Foundation under Cyclic Loading
Abstract
:1. Introduction
2. Materials
2.1. Test Materials
2.2. Model Test Device
2.3. Field Test
2.4. Model Pile
3. Methods
3.1. Test Scheme
3.1.1. Static Load Test of the CFMP Composite Foundation
3.1.2. Cyclic Load Test of the CFMP Composite Foundation
3.2. Data Processing
4. Results
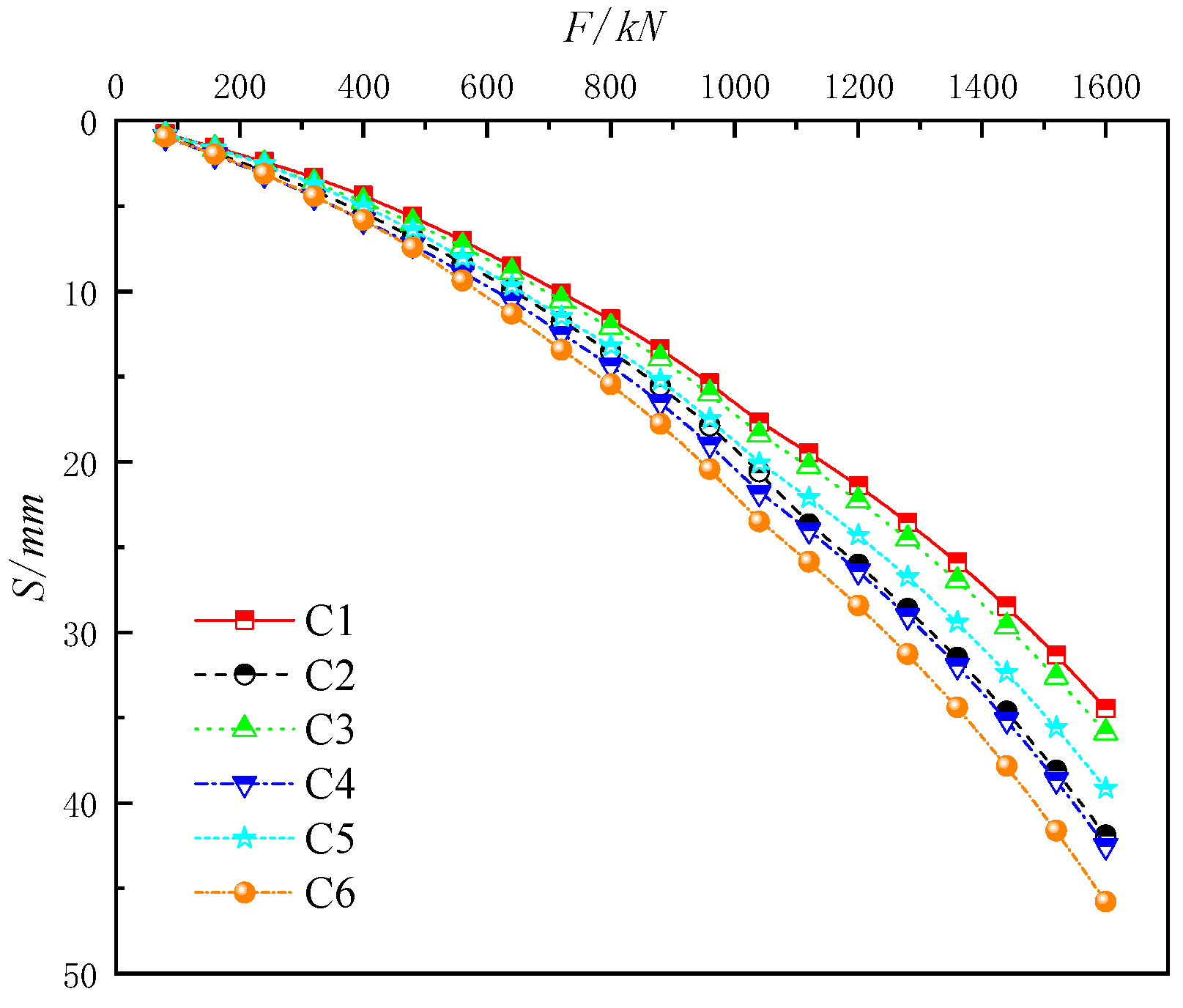
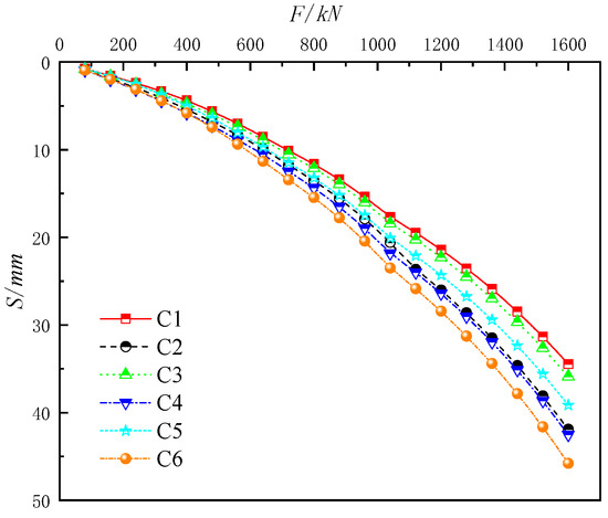
4.1. Static Load Test
4.2. Settlement under Cyclic Loading
4.3. Dynamic Stiffness of Pile Top
4.4. Cyclic Settlement and Static Settlement under the Same Load
4.5. Pile Axial Force and Pile Side Friction Resistance under Cyclic Load
5. Conclusions
- When the dynamic load ratio was greater than the value of the critical dynamic load ratio Mmin, the accumulated pile top settlement with the elevation of the cycle did not present the tendency of convergence, especially when the peak load was close to the ultimate bearing capacity. When the cumulative settlement grew, it eventually led to the dynamic damage of the pile foundation, with trials of the Mmin CFMP fly ash composite foundation at about 0.4.
- By fitting the Sn–n curve of the cyclic load test and using to describe the decay curve when M ≤ 0.4, the authors discovered that was more suitable for the destructive curve when M ≥ 0.5.
- The cyclic static displacement ratio α was between 1.05 and 1.23, and α displayed a certain correlation with the dynamic load ratio M, hence, α and M can be used in engineering. The results reveal that the static load settlement could predict the cumulative settlement of the CFMP composite foundation under the same cyclic load.
- There was a positive correlation between the pile axial force and cycle times under cyclic load. When the dynamic load ratio was M ≤ 0.4, the axial force developed steadily and the pile–fly ash system was stable. If M > 0.4, the CFMP composite foundation will be damaged, which should be avoided in practical engineering applications.
- For a CFMP fly ash composite foundation, the level of water content exerts a fundamental impact on the fatigue degradation of the pile side friction resistance, thus affecting the bearing capacity of the composite foundation. In the course of design, the reduction in the bearing capacity that is caused by the foundation structure soaking damage should be considered, the foundation soaking should be reduced during construction, and there should be waterproof measures.
Author Contributions
Funding
Data Availability Statement
Acknowledgments
Conflicts of Interest
References
- Zimar, Z.; Robert, D.; Zhou, A.; Giustozzi, F.; Setunge, S.; Kodikara, J. Application of coal fly ash in pavement subgrade stabilisation: A review. J. Environ. Manag. 2022, 312, 114926. [Google Scholar] [CrossRef] [PubMed]
- Cheng, B.; Liu, R.; Li, X.; del Rey Castillo, E.; Chen, M.; Li, S. Effects of fly and coal bottom ash ratio on backfill material performance. Constr. Build. Mater. 2022, 319, 125831. [Google Scholar] [CrossRef]
- Baran, P.; Nazarko, M.; Włosińska, E.; Kanciruk, A.; Zarębska, K. Synthesis of geopolymers derived from fly ash with an addition of perlite. J. Clean. Prod. 2021, 293, 126112. [Google Scholar] [CrossRef]
- Fan, C.; Wang, B.; Ai, H.; Qi, Y.; Liu, Z. A comparative study on solidification/stabilization characteristics of coal fly ash-based geopolymer and Portland cement on heavy metals in MSWI fly ash. J. Clean. Prod. 2021, 319, 128790. [Google Scholar] [CrossRef]
- Teixeira, E.R.; Camões, A.; Branco, F.G. Synergetic effect of biomass fly ash on improvement of high-volume coal fly ash concrete properties. Constr. Build. Mater. 2022, 314, 125680. [Google Scholar] [CrossRef]
- Gołaszewski, J.; Ponikiewski, T.; Kostrzanowska-Siedlarz, A.; Miera, P. Technological aspects of usage of calcareous fly ash as a main constituent of cements. Period. Polytech. Civ. Eng. 2021, 65, 619–637. [Google Scholar] [CrossRef]
- Elahi, T.E.; Shahriar, A.R.; Islam, M.S. Engineering characteristics of compressed earth blocks stabilized with cement and fly ash. Constr. Build. Mater. 2021, 277, 122367. [Google Scholar] [CrossRef]
- Huseien, G.F.; Joudah, Z.H.; Khalid, N.H.; Sam, A.R.; Tahir, M.M.; Lim, N.H.; Alyousef, R.; Mirza, J. Durability performance of modified concrete incorporating fly ash and effective microorganism. Constr. Build. Mater. 2021, 267, 120947. [Google Scholar] [CrossRef]
- Gołaszewski, J.; Ponikiewski, T.; Kostrzanowska-Siedlarz, A.; Miera, P. The Influence of Calcareous Fly Ash on the Effectiveness of Plasticizers and Superplasticizers. Materials 2020, 13, 2245. [Google Scholar] [CrossRef]
- Phutthananon, C.; Jongpradist, P.; Yensri, P.; Jamsawang, P. Dependence of ultimate bearing capacity and failure behavior of T-shaped deep cement mixing piles on enlarged cap shape and pile strength. Comput. Geotech. 2018, 97, 27–41. [Google Scholar] [CrossRef]
- Raongjant, W.; Jing, M. Field testing of stiffened deep cement mixing piles under lateral cyclic loading. Earthq. Eng. Eng. Vib. 2013, 12, 261–265. [Google Scholar] [CrossRef]
- Petersen, I.F. Blending in circular and longitudinal mixing piles. Chemom. Intell. Lab. Syst. 2004, 74, 135–141. [Google Scholar] [CrossRef]
- Lu, X.; Mengen, S.; Wang, P. Numerical simulation of the composite foundation of cement soil mixing piles using FLAC3D. Clust. Comput. 2019, 22, 7965–7974. [Google Scholar] [CrossRef]
- Zhou, S.; Zhang, Y.; Xu, Y.; Li, D. Research on the dynamic mechanical properties of stabilized cement-fly ash samples. J. Vib. Shock. 2021, 40, 119–126. [Google Scholar]
- Zhou, S.Q.; Zhou, D.W.; Zhang, Y.F.; Wang, W.J. Study on physical-mechanical properties and microstructure of expansive soil stabilized with fly ash and lime. Adv. Civ. Eng. 2019, 2019, 4693757. [Google Scholar] [CrossRef]
- Zhang, Y. Experimental study on mechanical properties of modified fly ash formation materials. Anhui Univ. Sci. Technol. 2021. [Google Scholar] [CrossRef]
- Qu, L.M.; Ding, X.M.; Wu, C.R.; Long, Y.H.; Yang, J.C. Effects of topography on dynamic responses of single piles under vertical cyclic loading. J. Mt. Sci. 2020, 17, 230–243. [Google Scholar] [CrossRef]
- Khidri, M.; Deng, L. Field axial cyclic loading tests of screw micropiles in cohesionless soil. Soil Dyn. Earthq. Eng. 2021, 143, 106601. [Google Scholar] [CrossRef]
- Thomassen, K.; Andersen, L.V.; Ibsen, L.B. Axial Cyclic Loading Tests on Pile Segments in Sand. Int. J. Offshore Polar Eng. 2016, 26, 348–354. [Google Scholar] [CrossRef]
- Lu, Y.; Liu, H.; Zheng, C.; Ding, X. Experimental Study on the Behavior of X-Section Pile Subjected to Cyclic Axial Load in Sand. Shock. Vib. 2017, 2017, 2431813. [Google Scholar] [CrossRef] [Green Version]
- Pham, H.V.; Dias, D. 3D Numerical Modeling of a Piled Embankment under Cyclic Loading. Int. J. Geomech. 2019, 19, 04019010. [Google Scholar] [CrossRef]
- Zhu, S.; Chen, C.; Cai, H.; Mao, F. Analytical modeling for the load-transfer behavior of stiffened deep cement mixing (SDCM) pile with rigid cap in layer soils. Comput. Geotech. 2022, 144, 104618. [Google Scholar] [CrossRef]
- Srijaroen, C.; Hoy, M.; Horpibulsuk, S.; Rachan, R.; Arulrajah, A. Soil–Cement Screw Pile: Alternative Pile for Low- and Medium-Rise Buildings in Soft Bangkok Clay. J. Constr. Eng. Manag. 2021, 147, 04020173. [Google Scholar] [CrossRef]
- Wu, Y.; Fu, L.; Wu, W.; Cao, Y.; Zhou, X. Nonlinear Stress Analysis of Flexible Pile Composite Foundation by Energy Method. Adv. Mater. Sci. Eng. 2018, 2018, 8176398. [Google Scholar] [CrossRef] [Green Version]
- Bai, S.G.; Hou, Y.F.; Zhang, H.R. Experimental study on influence factors for permanent settlement of composite ground with flexible piles under cyclic loadings. Chin. J. Geotech. Eng. 2010, 32, 1309–1313. [Google Scholar]
- Bai, S.G.; Hou, Y.F.; Zhang, H.R. Analysis of critical cyclic stress ratio and permanent deformation of soil-soil pile composite foundation under cyclic loading. Chin. J. Geotech. Eng. 2006, 01, 84–87. [Google Scholar]
- Bai, S.G.; Hou, Y.F.; Zhang, H.R.; Li, Z.Q. Model test of soil-soil pile composite foundation under cyclic loading. Rock Soil Mech. 2006, 27, 1017–1020. [Google Scholar]
- Brown, S.F. Soil mechanics in pavement engineering. Geotechnique 1996, 46, 383–425. [Google Scholar] [CrossRef] [Green Version]
- Yang, L.C.; Guo, Q.H.; Zhou, S.H.; Wang, B.L.; Gao, Q. Experimental study on bearing and deformation characteristics of high-speed railway bridge piles under long-term axial cyclic loading. Chin. J. Rock Mech. Eng. 2005, 13, 2362–2368. [Google Scholar]
- Huang, Y.; Jiong, B.A.; Guo-ming, Z.H. Model tests on settlement of a single pile in saturated sand under unilateral cyclic loading. Chin. J. Geotech. Eng. 2009, 31, 1440–1444. [Google Scholar]
- Zhu, B.; Ren, Y.; Chen, R.; Chen, Y.; Wang, Z. Model test on bearing capacity and accumulated settlement of single pile subjected to axial cyclic loading. Chin. J. Geotech. Eng. 2009, 31, 186–193. [Google Scholar]
- Wang, S.; Lei, X.; Meng, Q.; Xu, J.; Wang, M.; Guo, W. Model tests of single pile vertical cyclic loading in calcareous sand. Mar. Georesour. Geotechnol. 2021, 39, 670–681. [Google Scholar] [CrossRef]
- Shengquan, Z.; Yongfei, Z.; Dawei, Z.; Weijian, W.; Zhaibang, K.; Halder, S. Fly ash foundation reinforced by cement-soil mixing piles. Dyna—Ing. E Ind. 2020, 5, 95. [Google Scholar] [CrossRef] [Green Version]
- Zhou, S.; Zhang, Y.; Zhou, D.; Wang, W.; Li, D.; Ke, Z. Experimental Study on Mechanical Properties of Fly Ash Stabilized with Cement. Adv. Civ. Eng. 2020, 2020, 6410246. [Google Scholar] [CrossRef]
- JGJ 79-2012; Technical Code for Foundation Treatment of Buildings: Beijing, China, 2012.











| Chemical Component | SiO2 | Al2O3 | Fe2O3 | CaO | K2O | TiO2 | SO3 | Loss on Ignition |
|---|---|---|---|---|---|---|---|---|
| The percentage (%) | 54.57 | 30.14 | 6.05 | 3.88 | 1.66 | 1.49 | 0.93 | 1.28 |
| Basic Index | Moisture Content | Natural Density | Specific Gravity | Dry Density | Pore Ratio | Saturability | Liquid Limit |
|---|---|---|---|---|---|---|---|
| The average | 40% | 2.22 | 1.42 | 76.5 | 48.9 |
| M | ||||||
|---|---|---|---|---|---|---|
| A | B | The Correlation Coefficient: R12 | C | D | The Correlation Coefficient: R22 | |
| 0.1 | 0.2124 | 0.5328 | 0.9242 | 0.2393 | 0.1958 | 0.9384 |
| 0.2 | 0.2899 | 0.8329 | 0.9439 | 0.2641 | 0.2132 | 0.9201 |
| 0.3 | 0.606 | 2.2243 | 0.9314 | 0.306 | 0.2642 | 0.8789 |
| 0.4 | 0.7181 | 1.8468 | 0.9221 | 0.7348 | 0.2058 | 0.8687 |
| 0.5 | 0.7867 | 0.8423 | 0.8981 | 1.6564 | 0.1478 | 0.8987 |
| 0.6 | 1.0592 | 1.9193 | 0.8824 | 1.7493 | 0.1638 | 0.8933 |
| M | ||||||
|---|---|---|---|---|---|---|
| A | B | The Correlation Coefficient: R12 | C | D | The Correlation Coefficient: R22 | |
| 0.1 | 1.28385 | 5.4319 × 104 | 0.98769 | 0.23619 | 106.67109 | 0.91664 |
| 0.2 | 1.27002 | 6.03051 × 104 | 0.99824 | 0.24736 | 133.51498 | 0.94039 |
| 0.3 | 1.35196 | 6.96906 × 104 | 0.97949 | 0.23619 | 106.67109 | 0.91664 |
| 0.4 | 1.13803 | 7.62185 × 104 | 0.99171 | 0.18008 | 28.38037 | 0.91425 |
| 0.5 | 0.52442 | 2.84405 × 104 | 0.97406 | 0.13423 | 5.93335 | 0.99896 |
| 0.6 | 0.5351 | 2.48918 × 104 | 0.95338 | 0.145 | 10.70955 | 0.98209 |
Publisher’s Note: MDPI stays neutral with regard to jurisdictional claims in published maps and institutional affiliations. |
© 2022 by the authors. Licensee MDPI, Basel, Switzerland. This article is an open access article distributed under the terms and conditions of the Creative Commons Attribution (CC BY) license (https://creativecommons.org/licenses/by/4.0/).
Share and Cite
Zhou, S.; Zhang, H.; Wang, R.; Li, D. Model Test of Bearing Characteristics of Fly Ash Foundation under Cyclic Loading. Processes 2022, 10, 1117. https://doi.org/10.3390/pr10061117
Zhou S, Zhang H, Wang R, Li D. Model Test of Bearing Characteristics of Fly Ash Foundation under Cyclic Loading. Processes. 2022; 10(6):1117. https://doi.org/10.3390/pr10061117
Chicago/Turabian StyleZhou, Shengquan, Haojin Zhang, Rui Wang, and Dongwei Li. 2022. "Model Test of Bearing Characteristics of Fly Ash Foundation under Cyclic Loading" Processes 10, no. 6: 1117. https://doi.org/10.3390/pr10061117
APA StyleZhou, S., Zhang, H., Wang, R., & Li, D. (2022). Model Test of Bearing Characteristics of Fly Ash Foundation under Cyclic Loading. Processes, 10(6), 1117. https://doi.org/10.3390/pr10061117

