Next Article in Journal
Solubility of Biocompounds 2,5-Furandicarboxylic Acid and 5-Formylfuran-2-Carboxylic Acid in Binary Solvent Mixtures of Water and 1,4-Dioxane
Previous Article in Journal
Waste Feathers Processing to Liquid Fertilizers for Sustainable Agriculture—LCA, Economic Evaluation, and Case Study
 
 
Font Type:
Arial Georgia Verdana
Font Size:
Aa Aa Aa
Line Spacing:
Column Width:
Background:
Article

Effects of Blade Suction Side Modification on Internal Flow Characteristics and Hydraulic Performance in a PIV Experimental Centrifugal Pump

Key Laboratory of Fluid Transmission Technology of Zhejiang Province, Zhejiang Sci-Tech University, Hangzhou 310018, China
*
Author to whom correspondence should be addressed.
Processes 2022, 10(12), 2479; https://doi.org/10.3390/pr10122479
Submission received: 26 October 2022 / Revised: 13 November 2022 / Accepted: 17 November 2022 / Published: 22 November 2022
(This article belongs to the Section Energy Systems)

Abstract

In this paper, the effects of blade trailing edge (TE) profile modification of the suction side on the internal flow and hydraulic performance in a low-specific speed centrifugal pump are investigated through particle image velocimetry (PIV) analysis. Three impellers with different blade trailing edge profiles named original trailing edge (OTE), arc trailing edge 1 (ATE1), and arc trailing edge 2 (ATE2) are designed for PIV experiments. Results show that blade trailing edge modification of the suction side can significantly change the flow pattern, affecting the hydraulic performance of the model pumps. There is a definite counterclockwise backflow vortex near the suction side of OTE at deep-low flow rate, resulting in a decrease in the uniformity of the flow field at the outlet and the hydraulic performance. ATE1 with a reasonable larger blade outlet angle has the best flow field, and the head and efficiency are increased by about 1.2% and 8%, respectively under the same working condition. The hydraulic performance of ATE2 with the blade outlet angle of 59° is better than that of OTE under low flow rate, but it is less than that of OTE under high flow rate due to the streamline deviation generated on the pressure side. Meanwhile, the energy conversion abilities of the modified model pumps are evaluated by slip factor and the deviation degree of the nominalized local Euler head distribution (NLEHD). Since there is no definite counterclockwise backflow vortex at the outlet after modification, the slip factor of ATEs increases and the energy conversion ability is enhanced. Moreover, the jet-wake phenomenon of ATEs is weakened, and the local Euler head (LEH) increases near the outlet, decreasing the deviation degree of the NLEHD to obtain better energy conversion ability.

1. Introduction

The centrifugal pumps are widely used in petrochemical, chemical, coal, metallurgy, pharmaceutical, electric power, and other industrial fields, and their energy consumption accounts for about 20% of the world’s total power generation [1]. Improving the operation efficiency of the centrifugal pump is an urgent requirement for sustainable development. Therefore, it is of great significance to improve the hydraulic design of centrifugal pumps to meet the requirements of high hydraulic performance. The impeller works as an essential hydraulic component of the centrifugal pump, and its structure has a crucial impact on the pump head, flow rate, efficiency, and so on [2,3].
Numerous studies have been conducted to reveal the internal flow and improve the hydraulic performance of centrifugal pumps through blade geometry modification [4,5]. Gao et al. [6] analyzed five typical blade TEs on the performance and unsteady pressure pulsations. They found that the well-designed blade TEs can significantly improve the pump efficiency and contribute markedly to pressure pulsation reduction. Wu et al. [7] studied the effect of TE modification of a mixed-flow pump to widen the operating range. They found that a small change in the TE of the impeller can influence flow structure in most areas of impeller channels. Additionally, TE modification significantly improves pump efficiency in the high flow rate region by more than 10%. Das [8] evaluated the performance of three different impeller vane geometries. The results demonstrated that the impeller vane geometry has an effect on the efficiency of the centrifugal pump performance. Ni et al. [9] analyzed the effect of the diffuser blade trailing edge (BTE) profile on the flow instability in a nuclear reactor coolant pump. They found that the vortex shedding intensity from the trailing edge would be diminished by changing the diffuser blade trailing edge profile. An appropriate BTE profile can effectively prevent flow separation and change evolution of separate flow. Cui et al. [10] studied the effect of blade TE cutting angle on unstable flow and vibration in a centrifugal pump. They found that the centrifugal pumps with a suitable blade trailing cutting angle can achieve better performance. Lin et al. [11] studied the influence of impeller sinusoidal tubercle trailing edge (STTE) on pressure pulsation in a centrifugal pump at nominal flow rate. They found that the bionic STTE can reduce the intensity of the rotor–stator interaction and the pressure pulsation of the centrifugal pump. A reasonable design of STTE can effectively eliminate the high-frequency pressure pulsation in the rotor–stator interaction region. Gülich [12] indicated that profiling the impeller blade TE on the suction side can increase the head and efficiency, and the efficiency increase in the pump is attributed to the narrowing of the wake region. Barrio et al. [13] analyzed the effect of impeller cutback on the fluid-dynamic pulsations and load at the blade-passing frequency in a centrifugal pump. Ding et al. [14] found that both the efficiency of the pump and the hydraulic loss in the impeller decrease with the increase in the blade outlet angle. In conclusion, blade geometry modification, such as leading edge (LE), TE, and impeller cutback, will affect the internal flow structure and hydraulic performance, and a suitable blade modification will play an important role in the operation of the centrifugal pump.
Many studies have been carried out by particle image velocimetry, a non-intrusive measuring technique [15,16]. Keller et al. [17] investigated the unsteady flow in a centrifugal pump with vaneless volute based on PIV measurements. They found that the fluid–dynamic blade–tongue interaction is dominated by high-vorticity sheets being shed from the impeller channels, especially from the blade TEs. Zhang et al. [18] studied the unsteady flow structure and its evolution in a low specific speed centrifugal pump using PIV measurements. They found that the typical jet-wake flow pattern at the blade outlet is observed for flow rates lower than the nominal working condition and the jet-wake flow pattern is not apparent due to the high momentum fluid concentrating on the blade suction side at high flow rate. Westra et al. [19] used PIV to investigate the secondary flow structures of a centrifugal pump. They found that the secondary flow occurs, and it causes the formation of low velocity regions near the intersection. Krause et al. [20] applied time-resolved PIV measurements to determine the velocity fields in a rotating radial pump impeller and observe the unsteady flow phenomena appearing in the impeller at throttled flow rates. Li et al. [21] studied the influence of internal flow patterns on hydraulic performance and energy conversion characteristics through PIV experiments. They found that counterclockwise vortex increases energy loss and clockwise vortex has a positive effect on the pump head. Si et al. [22] adopted PIV method to analyze the flow characteristics inside the vane-island diffuser. Pedersen et al. [23] observed a “two-channel’’ phenomenon consisting of alternate stalled and unstalled passages by PIV technique at quarter-load. Shi et al. [24] measured internal flow of solid–liquid two-phase flow in a centrifugal pump using PIV methods. To sum up, PIV measurement technique is broadly used for showing the internal flow structures and revealing a vortex evolvement rule in pumps.
Although a large number of studies have been carried out on blade trailing edge modification through numerical simulation and experimental study, the effects of trailing edge modification, especially on the suction side, internal flow characteristics, and hydraulic performance is rarely discussed through PIV experiments. Therefore, in this paper, PIV experiments of three different blade trailing edges are conducted to provide some guidance for further modification of blade trailing edges. In the meantime, slip factor and nominalized local Euler head distribution are introduced to analyze and compare the energy conversion ability of the modified model pump.

2. Model Pump and PIV System

2.1. Model Pump and TE Modification

In this paper, the PIV experimental study was carried out on a non-volute low-specific speed centrifugal pump, and the model pump is shown in Figure 1a. In a PIV experiment, instead of using the three-dimension twisted blade, the two-dimension blades were applied for investigation. To study the effects of blade trailing edge modification of the suction side on internal flow characteristics and hydraulic performance in the model pump, three blade trailing edge profiles are designed, namely original trailing edge, arc trailing edge 1, and arc trailing edge 2. One of the experimental impellers is shown in Figure 1b, and the three impellers of blade trailing edge profiles are shown in Figure 1c.
The experimental impellers of this PIV experiment were made of acrylic material. The blade pressure side and suction side profile of OTE were the same. The trailing edges profile of the pressure side of ATE1 and ATE2 blades remained unchanged, and only the trailing edge profiles of suction side were modified. The impeller radius was 71 mm. The trailing edge profile of ATE1 was changed to an arc section of a circle with a radius of 210 mm starting from R = 60 mm. The trailing edge profile of ATE2 was changed to an arc section of a circle with a radius of 26 mm starting from R = 64 mm, and it is obvious that the trailing edge profile of ATE2 was more curved than that of ATE1. The trailing edge profile of the suction side of OTE was similar to “C” (C-shaped). While the trailing edge profiles of the suction side of ATEs (ATE1, ATE2) were partially bent to the pressure side, and the blade profiles of the suction side were similar to “S” (S-shaped). The geometric parameters of the suction side of impellers and the model pump are shown in Table 1.

2.2. Experimental Setup

As shown in Figure 2, the experiment of the model pump was carried out in a closed test rig [18]. The experimental test rig was composed of water tank, valves, electronic flowmeter, pressure sensors, torque and rotational speed measurer, model pump, computer, synchronizer, PIV test system, and so on. Water was used as a working fluid and the flow rate of water through the model pump was adjusted through valves. An electronic flowmeter was used in the test circuit, and the measurement accuracy was less than 0.5% of the measured value. The rotational speed of the model pump was controlled by a frequency conversion control system to ensure the fixed speed of 900 rpm. The uncertainty of the rotational speed was about 0.5%. The head was calculated by the pressure sensors at the inlet and outlet of the model pump, and the measurement accuracy was 0.1%. In order to obtain the internal flow structure of the model pump with different trailing edge profiles, the PIV measurement system was adopted.

2.3. PIV Setup

The 2D2C PIV equipment used in this experiment was produced by Lavision, and Davis commercial software was used to obtain the actual velocity field of the impeller. For the PIV test system selected in the experiment, the Nd:YLF laser with pulse energy of 22.5 MJ was used to illuminate the impeller, and the laser light sheet thickness was 1 mm. The laser illumination plane was the middle span of the impeller by controlling the optical guide arm. The laser wavelength was 527 nm, and the time delay between the two laser pulses was adjusted to 130 ms to ensure the rule of 1/4 particle displacement. A CMOS camera with a spatial resolution of 1920 px × 1200 px was used to capture images. A NIKON Nikkor 50 mm f/1.4 lens in front of the camera was used to accurately focus the experimental impeller and obtain better signal-to-noise ratio. A control displacement system was used to ensure the camera was perpendicular to the laser light sheet. A synchronizer was used to synchronize the laser trigger with the exposure time of the CMOS camera. The shaft encoder was used to ensure the phase of the impeller was consistent during each cycle. The interrogation window of this experiment was decreased from 64 × 64 px2 to 32 × 32 px2 with 50% overlap, and the multiple interrogation method was used to process the images. The hollow glass spheres with the diameters of 9–13 μm and the density of 1050 kg/m3 were selected as the seeding particles in PIV experiment. Before the starting of PIV test, the blender in the water tank was used to make the particle concentration distribution uniform in the experimental section, for approximately 10–20 pairs per interrogation window. To reduce optical errors, the transparent pump cover at the outer end of the impeller was designed as a cube for the decrease in laser refraction and scattering. The shooting section of the pump body was blackened to reduce laser reflection from the metal background of the pump body. Considering various measurement errors, the uncertainty of PIV measurement in phase-averaged velocities was estimated to be lower than 1–3% of the measured value [21].

3. Results and Discussions

3.1. Hydraulic Performances of Different Blades TE Modification

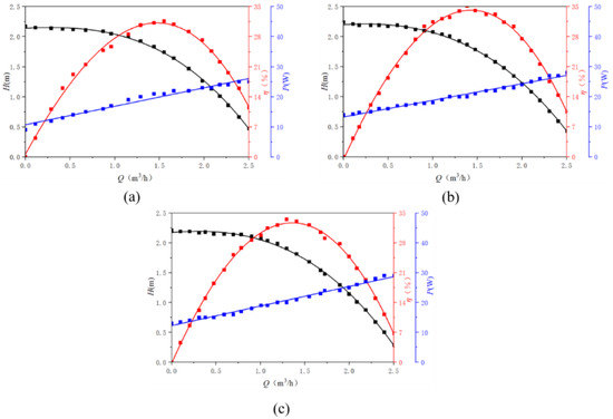
The performance curves of different blade trailing edge model pumps are shown in Figure 3 at the rotational speed of 900 rpm. When the rotational speed is 900 rpm, the internal flow pattern changes clearly with the variation of flow rate. From η-Q curves, it is observed that the blade trailing edge profiles significantly affect the pump efficiency. The flow rates of best efficiency point (QBEP) of OTE, ATE1, and ATE2 pumps are 1.52 m3/h, 1.42 m3/h, and 1.35 m3/h, respectively. The experimental results show that the flow rate of the best efficiency point will move to the low flow rate area with the increase in the blade outlet angle. Additionally, the corresponding best efficiency values of OTE, ATE1, and ATE2 are 31.5%, 35.1%, and 33.5%, respectively. It can be found that increasing the blade outlet angle of the suction side improves the optimal efficiency compared with the OTE pump. As observed form H-Q curves, it is noted that appropriately increasing the blade outlet angle can improve the head. When the blade outlet angle increases, the component of the absolute velocity in the circumferential direction VU2 will increase, and the theoretical head of the pump will be improved; see Euler Equation (1). As for ATEs, the head becomes larger at low flow rates compared with OTE. When the flow rate is 0.5 m3/h, HATE1 and HATE2 are 2.17 m and 2.14 m, larger than 2.12 m of HOTE. However, the head will decrease at high flow rates. When the flow rate is 2.5 m3/h, the head of OTE, ATE1, and ATE2 are 0.47 m, 0.43 m, and 0.30 m, respectively. Due to the blade outlet angle β2 of the suction side being too large, the suction side is seriously bent, and the profile turns into an S shape. The flow channel of the blade suction side becomes shorter, and the diffusion angle of the flow passage between adjacent blades becomes larger. Therefore, the backflow or even blockage may appear at the inlet, which causes a great hydraulic loss. According to P-Q curve, the shaft power of OTE is the smallest. With the increase in the outlet angle, the shaft powers of ATEs are also increased, and the shaft power of ATE2 is greater than that of ATE1.
H t = U 2 V U 2 U 1 V U 1 g
The PIV experiments of ATE1 and ATE2 at the flow rate conditions of 0.2 QBEP, 0.4 QBEP, 1.0 QBEP, and 1.2 QBEP are investigated based on the nominal efficiency flow rate of OTE pump (i.e.,1.0 QBEP = 1.52 m3 /h). Subsequently, the influence of blade trailing edge profile modification on internal flow characteristics and hydraulic performance is analyzed by comparing the nominal flow rate (1.0 QBEP), the low flow rate conditions (deep-low flow rate for 0.2 QBEP, low flow rate for 0.4 QBEP), and high flow rate condition (1.2 QBEP). Table 2 shows the head and efficiency of the different blade trailing edge profiles at four flow rate conditions.

3.2. Velocity Distributions of Different TE Profiles

The schematic diagram of the mid-span of OTE impeller is shown in Figure 4. The rotation direction of the model pump is clockwise, where x represents the horizontal direction and y is the vertical direction. In the meantime, U, V, and W are defined as the tangential velocity, the absolute velocity, and the relative velocity, respectively. Considering that the flow field variation trends in different impeller flow channels are basically the same, the flow passage 1 was selected for further analysis according to reference [21].
During the experimental measuring process, the synchronizer was used for phase locking to ensure that the blades were all in the same position when capturing the 300 groups of images. The cross-correlation technology of two continuous images was used to analyze and obtain the real flow field. The real phase-averaged absolute velocity field V ¯ ( x , y ) of the impeller section was obtained by the software Davis. A program is written in MATLAB to obtain the relative velocity field W ¯ ( x , y ) , which is obtained by subtracting the circumferential velocity U ¯ ( x , y ) from the average absolute velocity, shown in Equation (2).
W ¯ ( x , y ) = V ¯ ( x , y ) U ¯ ( x , y )
Figure 5 represents the relative velocity distributions of three different blade trailing edges. At the nominal flow rate, the relative velocity streamlines of OTE and ATE1 follow the blade well, while that of ATE2 deviates from the suction side due to the large blade outlet angle. The definite low-velocity region can be found in the middle of the pressure side, and this situation has also been discussed in references [18,25]. At the high flow rate, the fluid is more significantly concentrated on the suction side, which agrees well with references [17,18]. The streamlines of OTE and ATE1 still follow the blades. However, for ATE2, it can be clearly seen that part of the streamlines at the inlet deviate from the suction side and deviate to the pressure side. The deviated streamlines are mainly caused by the counterclockwise flow separation vortex on the pressure side, which results in a large hydraulic loss, and the head and efficiency decrease by 0.9 m and 1%, respectively.
As shown in Figure 5a,b, the flow separation vortexes appear on the suction side and pressure side under the low flow rate conditions. The clockwise flow separation vortex is generated on the suction side, and the counterclockwise flow separation vortex is generated on the pressure side, which was discussed in references [15,21]. It can be clearly seen that the clockwise vortex of OTE is inside the outlet flow passage, and the clockwise vortex of ATE1 moves outward to occupy a small portion of the outlet flow passage near the suction side. The clockwise vortex of ATE2 occupies more than half of the main flow passage and extends to most of the outlet area of the suction side. The main reason is that the diffusion degree of the flow passage between adjacent blades becomes larger in ATEs; thus, the constraint on the fluid is weakened, and the clockwise vortex is fully developed outward compared with OTE. The ATE1 vortex structures of the pressure side and suction side are smaller than those of OTE at deep-low flow rate. Therefore, the internal flow field is improved, and the efficiency and head are increased significantly while the vortex structures of ATE2 in the pressure side and suction side are the largest on both spanwise and streamwise, leading to a serious blockage in the flow passage. Under low flow rate conditions, the efficiency and head do not decrease significantly compared with ATE1, but the head and efficiency are higher than OTE in Table 2. The decrease in efficiency of OTE is due to the counterclockwise backflow vortex A at the outlet of the suction side, as shown in Figure 5a, resulting in a complete block near the outlet flow passage. The backflow vortex A on the suction side is caused by the adverse pressure gradient.
The backflow also occurs in the flow passage of ATEs, but there is no definite backflow vortex A. To explain such phenomenon, the schematic diagram of the transient flow fields of OTE and ATEs is shown in Figure 6. In most transient moments of deep-low flow rate, the range and magnitude of counterclockwise backflow vortex in the dashed frame are much larger than those of ATEs; thus, the flow instability is aggravated. The appearance of backflow vortex A deteriorates the flow uniformity at the outlet and reduces the efficiency. While there is no counterclockwise vortex structure with large magnitude and scale for ATEs at most transient moments, the uniformity of relative velocity distribution of the outlet passage and hydraulic performance are improved.

3.3. Influence of Blade Trailing Edges near the Outlet

For low-specific speed centrifugal pumps, the velocity distributions at the outlet usually show a jet-wake phenomenon and the backflow. In order to further analyze the jet-wake phenomenon and the backflow inside the model pump impeller, the phase-average relative velocity distribution of passage 1 is quantitatively analyzed. As shown in Figure 7, the arcs from the blade suction side to the blade pressure side are defined as R/R0 = 0.9 and R/R0 = 1.0. The blade suction side is SS, and the blade pressure side is PS. L is defined as the dimensionless length from the suction side to the pressure side, where L = 0 is the blade suction side, L = 1 is the blade pressure side, and W is the phase-average relative velocity.
As shown in Figure 8, the relative velocity distributions from the suction side to the pressure side basically show a stable growth trend under nominal and high flow rate conditions. The jet-wake phenomenon is generated [26,27]. Under low flow rate conditions, the clockwise vortex near the suction side causes the stall phenomenon, and the velocity decreases significantly, which aggravates the jet-wake phenomenon. The reason for the sudden drop in relative velocity around L = 0.2 is that the arc passes through the vortex center of the backflow vortex A in OTE. The sudden drop causes a large hydraulic loss. The increase in the relative velocity of ATE2 at L = 0.15–0.5 in Figure 8c,d is mainly caused by the deviation of the relative velocity streamlines in Figure 5c,d. The trend of the relative velocity distribution of ATE1 is similar to that of OTE at the high flow rate and that of ATE2 at the low flow rate. Therefore, ATE1 with better flow field has prominent advantages under different flow rates. Since the jet-wake phenomenon is weakened at low flow rates, and the friction loss caused by the relative velocity is small at nominal and high flow rates.
As shown in Figure 9, the flow uniformity of OTE at R/R0 = 1.0 decreases significantly due to the backflow vortex A at low flow rate, and the relative velocity near the suction side increases markedly, much greater than that of ATEs. The inflection point of relative velocity distribution is also near L = 0.22, which corresponds to the vortex center of the backflow vortex A in Figure 8a. For the magnitude of the relative velocity near the pressure side, OTE is the largest, ATE1 is the second largest, and ATE2 is the smallest. At nominal flow rate and high flow rate, the relative velocity near the suction side is OTE > ATE2 > ATE1. Due to the good streamline distribution of ATE1 and OTE, which is shown in Figure 5c,d, the distribution trends of the relative velocity from the suction side to the pressure side are consistent. As shown in Figure 10, with the increase in the diffusion degree of the flow passage between adjacent blades, V m decreases near the suction side at the same flow rate; thus, W2ATE1 < W2OTE. While there is no modification near the pressure side, and the reduction in relative velocity is small. The relative velocity near the pressure side of ATE2 is smaller than that of ATE1. Due to the deviation of relative velocity streamlines (Figure 5c,d), the blade outlet angle β near the suction side of ATE2 decreases compared with ATE1, leading to the increase in the relative velocity near the suction side. Combined with Figure 5, it can be concluded that an appropriate increase in outlet blade angle of the suction side can optimize the internal flow pattern, promote the flow uniformity of the outlet, and reduce the vortex scale structure.

3.4. Effects of Different TE Profiles on Slip Factor

In the hydraulic design of centrifugal pumps, the finite blade slip factor is a very important design parameter. The velocity slip will affect the internal flow field and hydraulic performance of centrifugal pumps. The relationship between slip factor, internal flow field, and hydraulic performance for different blade trailing edges are analyzed in this section, and slip factor is used to evaluate the difference in energy conversion ability of different blade trailing edge pumps.
The flow passage is divided to obtain the slip factor at the outlet. To be specific, along the streamline, the inlet and outlet arcs of the flow channel are divided into 21 equal parts, and the corresponding points of the inlet and outlet are connected to form 21 blade profiles. The inlet radius is 28 mm, and the outlet radius is 71 mm. The suction side and the pressure side are divided into 44 equal parts to obtain the appropriate grid partition diagram of the overall flow channel. The grid partition diagram of ATE1 profile is shown in Figure 11 as an example.
In general, when the impeller has a finite blade number, due to the slip of the relative velocity, the liquid rotation at the outlet is insufficient, and the energy conversion ability of the impeller to the fluid decreases. As shown in Figure 12, the red line is the velocity triangle with infinite blade number at outlet, and the black one is the velocity triangle with actual flow at outlet. Since β 2 in the actual working condition is smaller than β 2 in the non-slip condition, the decrease in the circumferential component of the absolute velocity is defined as the velocity slip Δ V U 2 , as shown in Equation (3). Stodola [28] mainly considers the influence of blade outlet angle. In this section, Equation (4) of Stodola slip factor is applied, and σ is defined as the slip factor. The slip factor is used to reflect the deviation degree of the relative velocity at the outlet: the smaller the velocity slip is, the larger the slip factor will be. Additionally, the energy conversion ability will be stronger.
Δ V U 2 = V U 2 V U 2
σ = U 2 Δ V U 2 U 2 = 1 π z sin β 2
Figure 13 presents the blade-to-blade slip factor distributions at R/R0 = 1.0. At most working conditions, the blade-to-blade slip factor distributions decrease first and then increase. The velocity slip near the suction side is smaller than that near the pressure side, the low slip factor region is mainly concentrated near the jet-region in the middle of the outlet. Under the condition of low flow rate, the blade-to-blade slip factor curve of OTE rapidly decreases and gradually rises near the suction side at L = 0.05–0.4, which is caused by the backflow vortex A. The counterclockwise vortex generated by the backflow vortex A strengthens the velocity slip at the outlet; in that case, the slip factor of OTE is smaller than that of ATEs. In the wake region, the overall slip factor of ATE1 is larger than that of ATE2. Since the blade profile of the suction side of ATE2 and ATE1 are S-shaped, β 2 of ATE2 will become larger compared to ATE1, resulting in the increase in slip velocity, and the slip factor decreases near the suction side.
The average slip factor at R/R0 = 1.0 is defined as σ ¯ , where σ ¯ is shown in Equation (5). The average slip factor σ ¯ at R/R0 = 1.0 at different flow rate conditions is shown in Figure 14. It can be found that the slip factor at the outlet increases with the increase in the flow rate, except for ATE2 at the flow rate of 1.2 QBEP. At low flow rate conditions, the smaller the flow rate is, the larger the vortex scale structure in the flow passage becomes. In that case, the slip factor becomes smaller with the increase in the velocity slip, and σ ¯ 0.2 is less than σ ¯ 0.4 . At 1.0 QBEP and 1.2 QBEP, the internal flow fields become significantly better, and the slip factors of OTE and ATE1 are much larger than that of 0.4 QBEP. The slip factor of ATE2 at 1.0 QBEP does not increase significantly compared with the slip factor at 0.4 QBEP, but at 1.2 QBEP, the slip factor decreases markedly with the deviation of the relative velocity streamlines. Under different flow rate conditions, OTE has the smallest slip factor, ATE1 has the largest slip factor, and ATE2 is in between. According to Table 2, the trends of efficiency, head, and slip factor of different impeller model pumps are consistent. The head and efficiency of ATE1 are higher than those of OTE. The head and efficiency of ATE2 are greater than those of OTE at low flow rate conditions. However, the flow field of ATE2 deteriorates at high flow rate, and the head and efficiency are lower than those of OTE.
σ ¯ = σ 21
For ATEs, the blade suction sides are all S-shaped. According to Equation (4), the qualitative analysis shows that at the same flow rate, the slip factor decreases as β increases. Therefore, the slip factor of ATE2 is smaller than that of ATE1. While the slip factor of C-shaped OTE is smaller than that of ATEs under the same flow rate. For the blade suction side modification, appropriately increasing the blade outlet angle, such as ATE1, will increase the hydraulic performance. When the outlet angle is too large, such as ATE2, the flow field deteriorates seriously in high flow rate condition, and the head and efficiency decrease markedly. Therefore, it can be seen that the modification of the suction side can affect the energy conversion ability of the centrifugal pump. The suitable S-shaped blade suction side profile can promote the improvement of efficiency and head.

3.5. Effects of Different TE Profiles on Nominalized Local Euler Head Distribution

Generally, slip factor is used to describe the degree of velocity slip caused by axial vortex at the outlet of impeller passage. For the inlet part, the axial vortex direction is the same as the liquid flow direction, and the liquid no longer receives the torque through the axial vortex, which has no effect on the theoretical head of the centrifugal pump. Therefore, it is limited to describe the overall energy change in impeller from LE to TE only by using slip factor. It is necessary to introduce local Euler head to analyze the energy increase from inlet to outlet along the meridian direction. According to Wu et al. [7], the local Euler head is defined as the product of the local peripheral speed and the circumferential component of absolute velocity divided by the gravity acceleration, as shown in Equation (6).
LEH = U V U g
The magnitude of the local Euler head is closely related to V U , and the slip factor also depends on V U in Equation (4). When V U increases, the velocity slip decreases. Subsequently, the slip factor increases, and the LEH also increases. Therefore, the region of high slip factor corresponds to the region of high LEH.
Figure 15 shows the contour of LEH of three trailing edge profiles at different flow rate conditions. The LEH of the three different impellers increases from the inlet to the outlet along the meridian direction, and the LEH gradually increases with the decrease in the flow rate. It is worth noting that under low flow rate conditions, the magnitude and scale of the vortex increase as the flow rate decreases, but the LEH at the outlet near the suction side does not increase significantly with the decrease in the flow rate [29]. The LEH region H close to the suction side is larger than the LEH region L close to the pressure side. The LEH region H shows a similar magnitude trend at different flow rates: ATE1 > ATE2 > OTE. Taking deep-low flow rate as an example, the maximum LEH contour of OTE is 4.2 m in the LEH region H, while those of ATEs are 4.4 m. For ATEs, the LEH distribution contour of ATE1 in 4.4 m is slightly larger than that of ATE2. In the meantime, the LEH distribution contour of ATEs in 3.4 m appear on the LEH region L due to weakening of the jet-wake phenomenon compared with OTE.
The local Euler head distribution (LEHD) on the meridian can reflect the energy growth from LE to TE in the flow passage. The R/R0 at the inlet of the blade leading edge is defined as 0.4 (the inlet radius of the blade is 28 mm, and the outlet radius of the blade is 71 mm), and the R/R0 at the outlet of the blade trailing edge is defined as 1.0. The LEHD on the meridian is the average value of the LEH value (i,11) from the suction side (i,1) to the pressure side (i,21) on the arc, as shown in Figure 16.
In order to clearly compare the energy conversion characteristics of blade trailing edge modification at different flow rates, the dimensionless local Euler head is processed to obtain the nominalized local Euler head along the meridian, as shown in Equation (7).
NLEHD =   LEHD LEHD 0.4   LEHD 1.0 LEHD 0.4
It can be seen from Figure 17 that under different flow rate conditions, the NLEHD of different blade trailing edges have similar growth patterns. NLEHD first gradually increases along the meridian direction, reaching the maximum value, and finally has a small downward trend (in order to meet Kutta condition [30]), which is consistent with reference [29]. Therefore, the NLEHD distribution curve from LE to TE is a convex curve. The black dashed line between the points (0.4,0) and (1.0,1.0) in Figure 17 represents the NLEHD distribution curve increasing at a constant growth rate. The distribution pattern of NLEHD is closely related to the efficiency of the centrifugal pump. According to ref. [7], the smaller the growth rate change in the NLEHD distribution curve is, the higher the efficiency and the stronger the energy conversion ability will be. Therefore, the deviation degree of the NLEHD distribution and the black dashed line can be used to judge the strength of the energy conversion ability of the model pumps with different blade trailing edges.
For different trailing edges, ATE1 has the smallest deviation, OTE has the largest deviation, and ATE2 is in between. According to Table 2, it can be seen that the NLEHD deviation degree law and efficiency of the different blade trailing edge model pumps remain consistent, except for the nominal flow rate and high flow rate conditions of ATE2. For ATE2, as shown in Figure 5c,d, the deviation of relative velocity streamlines caused by counterclockwise separation vortex on the pressure side leads to the increase in hydraulic loss and the decrease in efficiency. Therefore, it can be found that the flow pattern also has a great impact on the efficiency. Generally, the energy conversion ability is the strongest with the smallest deviation degree at the nominal flow rate. While the deviation degree will increase as the energy conversion performance decreases at the high flow rate and low flow rate conditions. Taking OTE as an example, the deviation degree under nominal flow rate is slightly higher than that under high flow rate condition. At low flow rate conditions, the efficiency decreases significantly, the deviation degree becomes larger, and the energy conversion ability decreases markedly. The jet-wake phenomenon of ATEs is weakened compared to OTE, and the LEH increases near the outlet, decreasing the deviation degree of the NLEHD to obtain better energy conversion ability.
To sum up, the energy conversion ability comparison quantified by the slip factor and the deviation degree of the NLEHD curve shows an apparent agreement. The main reason is that the slip factor and the deviation degree of the NLEHD curve reflect the hydraulic performance changes in centrifugal pumps from outlet (partial) and inlet to outlet (overall), respectively.

4. Conclusions

In this paper, PIV experiments were carried out on the centrifugal pump with three different blade trailing edge profiles, and the effects of blade trailing edge modification of the suction side on the internal flow characteristics and hydraulic performance was analyzed. The main conclusions are as follows.
  • An appropriate increase in the blade outlet angle in the suction side is beneficial to improve the optimal efficiency and head. When the blade outlet angle increases reasonably, the head and efficiency of ATE1 are greater than those of OTE and ATE2. When the blade outlet angle is too large, the head and efficiency of ATE2 are higher than those of OTE under low flow rate conditions. While under the condition of the high flow rate, the deviation of relative velocity streamlines in ATE2 is caused by the excessive flow passage diffusion, and the hydraulic performance is decreased.
  • The TE modification of the blade suction side has a great influence on the internal flow field. There is a backflow vortex A near the suction side at outlet in OTE, which reduces the flow stability of the outlet and causes a decrease in hydraulic performance. The reason is that there is a large-scale backflow vortex structure of OTE at the outlet for most transient moments under deep-low flow rate, and the scale and magnitude are much larger than those of ATEs. Such backflow vortex A does not exist in ATEs since there are only very small backflows at the outlet.
  • The TE modification will have an impact on the slip factor. For the same flow rate, OTE has the smallest slip factor, ATE1 has the largest slip factor, and ATE2 is in between. The counterclockwise vortex generated by the backflow vortex A strengthens the velocity slip at the outlet; in that case, the slip factor of OTE is smaller than that of ATEs. In the wake region, the overall slip factor of ATE1 is larger than that of ATE2. Since the blade profile of the suction side of ATE2 and ATE1 are S-shaped, β 2 of ATE2 will become larger compared to ATE1, resulting in the increase in slip velocity, and slip factor decreases near the suction side.
  • After TE modification, the LEHs of ATEs are significantly higher than that of OTE, and those become larger as the flow rate decreases. The NLEHD reflects the energy growth from LE to TE for different blade trailing edges, and the deviation degree from the constant growth rate dashed line can well reflect the energy conversion ability of different model pumps. ATE1 has the smallest deviation, OTE has the largest deviation, and ATE2 is in between. It can be concluded that ATE1 has the strongest energy conversion ability and OTE has the weakest energy conversion ability, which is consistent with the hydraulic performance.
  • The slip factor and the NLEHD are used to judge the energy conversion strength of different model pumps from two aspects: outlet (partial) and inlet to outlet (overall). It can be concluded that the response of the slip factor and the deviation degree of NLEHD to the energy conversion characteristic are highly consistent. The larger the slip factor and the smaller the deviation degree of the NLEHD are, the stronger the energy conversion ability will be. Additionally, the corresponding hydraulic performance and flow field are also better.

Author Contributions

Conceptualization, B.C.; Software, Y.Q.; Investigation, Y.Q.; Data curation, B.C.; Writing—original draft, B.C. All authors have read and agreed to the published version of the manuscript.

Funding

This research was funded by the National Natural Science Foundation of China [Grant No. 52276042], the Natural Science Foundation of Zhejiang Province [Grant No. LY20E060006], and the Fundamental Research Funds of Zhejiang Sci-Tech University [Grant No. 2021Q017].

Data Availability Statement

Not applicable.

Acknowledgments

The authors would like to thank Key Laboratory of Fluid Transmission Technology of Zhejiang Province.

Conflicts of Interest

The authors declare no conflict of interest.

References

  1. Kalaiselvan, A.S.V.; Subramaniam, U.; Shanmugam, P.; Hanigovszki, N. A comprehensive review on energy efficiency enhancement initiatives in centrifugal pumping system. Appl. Energy 2016, 181, 495–513. [Google Scholar]
  2. Wu, C.S.; Pu, K.X.; Li, C.Q.; Wu, P.; Huang, B.; Wu, D.Z. Blade redesign based on secondary flow suppression to improve energy efficiency of a centrifugal pump. Energy 2022, 246, 123394. [Google Scholar] [CrossRef]
  3. Guo, C.; Gao, M.; Wang, J.Y.; Shi, Y.T.; He, S.Y. The effect of blade outlet angle on the acoustic field distribution characteristics of a centrifugal pump based on Powell vortex sound theory. Appl. Acoust. 2019, 15, 297–308. [Google Scholar] [CrossRef]
  4. Luo, X.W.; Zhang, Y.; Peng, J.Q.; Xu, H.Y.; Yu, W.P. Impeller inlet geometry effect on performance improvement for centrifugal pumps. J. Mech. Sci. Technol. 2008, 22, 1971–1976. [Google Scholar] [CrossRef]
  5. Wu, C.S.; Zhang, W.Q.; Wu, P.; Yi, J.L.; Ye, H.J.; Huang, B.; Wu, D.Z. Effects of Blade Pressure Side Modification on Unsteady Pressure Pulsation and Flow Structures in a Centrifugal Pump. J. Fluids Eng. 2021, 143, 111208. [Google Scholar] [CrossRef]
  6. Gao, B.; Zhang, N.; Li, Z.; Ni, D.; Yang, M.G. Influence of the blade trailing edge profile on the performance and unsteady pressure pulsations in a low specific speed centrifugal pump. J. Fluids Eng. 2016, 138, 051106. [Google Scholar] [CrossRef]
  7. Wu, D.Z.; Yan, P.; Wu, P.; Yang, S. Effect of trailing-edge modification of a mixed-flow pump. J. Fluids Eng. 2015, 137, 101205. [Google Scholar] [CrossRef]
  8. Das, S.K. Experimental performance evaluation of a centrifugal pump with different impeller vane geometries. In Proceedings of the ASME 2014 International Mechanical Engineering Congress and Exposition, Montreal, QC, Canada, 14–20 November 2014. [Google Scholar]
  9. Ni, D.; Yang, M.G.; Bo, G.; Zhang, N.; Li, Z. Numerical study on the effect of the diffuser blade trailing edge profile on flow instability in a nuclear reactor coolant pump. Nucl. Eng. Des. 2017, 322, 92–103. [Google Scholar] [CrossRef]
  10. Cui, B.L.; Li, W.Q.; Zhang, C.L. Effect of Blade Trailing Edge Cutting Angle on Unstable Flow and Vibration in a Centrifugal Pump. J. Fluids Eng. 2020, 142, 101203. [Google Scholar] [CrossRef]
  11. Lin, Y.P.; Li, X.J.; Li, B.W.; Jia, X.Q.; Zhu, Z.C. Influence of impeller sinusoidal tubercle trailing-edge on pressure pulsation in a centrifugal pump at nominal flow rate. J. Fluids Eng. 2021, 143, 091205. [Google Scholar] [CrossRef]
  12. Gülich, J.F. Centrifugal Pumps; Springer: Berlin, Germany, 2010; Chapter 4. [Google Scholar]
  13. Barrio, R.; Blanco, E.; Parrondo, J.; Gonzalez, J.; Fernandez, J. The Effect of Impeller Cutback on the Fluid-Dynamic Pulsations and Load at the Blade-Passing Frequency in a Centrifugal Pump. J. Fluids Eng. 2008, 130, 111102. [Google Scholar] [CrossRef]
  14. Ding, H.C.; Li, Z.K.; Gong, X.B.; Li, M.S. The Influence of Blade Outlet Angle on the Performance of Centrifugal Pump with high specific speed. Vacuum 2019, 159, 239–246. [Google Scholar] [CrossRef]
  15. Liu, X.D.; Li, Y.J.; Liu, Z.Q. Dynamic Stall Inception and Evolution Process Measured by High-Frequency Particle Image Velocimetry System in Low Specific Speed Impeller. J. Fluids Eng. 2022, 144, 041504. [Google Scholar]
  16. Wang, Y.P.; Yang, H.; Chen, B.; Gao, P.L.; Chen, H.; Zhu, Z.C. Analysis of vortices formed in flow passage of a five-bladed centrifugal water pump by means of PIV method. AIP Adv. 2019, 9, 075011. [Google Scholar] [CrossRef]
  17. Keller, J.; Blanco, E.; Barrio, R.; Parrondo, J. PIV measurements of the unsteady flow structures in a volute centrifugal pump at a high flow rate. Exp. Fluids 2014, 55, 1820. [Google Scholar] [CrossRef]
  18. Zhang, N.; Bo, G.; Li, Z.; Ni, D.; Jiang, Q.F. Unsteady flow structure and its evolution in a low specific speed centrifugal pump measured by PIV. Exp. Therm. Fluid Sci. 2018, 97, 133–144. [Google Scholar] [CrossRef]
  19. Westra, R.W.; Broersma, L.; Andel, K.V.; Kruyt, N.P. PIV Measurements and CFD computations of secondary flow in a centrifugal pump impeller. J. Fluids Eng. 2010, 132, 061104. [Google Scholar] [CrossRef]
  20. Krause, N.; Zahringer, K.; Pap, E. Time-resolved particle imaging velocimetry for the investigation of rotating stall in a radial pump. Exp. Fluids 2005, 39, 192–201. [Google Scholar] [CrossRef]
  21. Li, X.J.; Chen, H.; Chen, B.; Luo, X.W.; Yang, B.F.; Zhu, Z.C. Effects of flow pattern on hydraulic performance and energy conversion characterisation in a centrifugal pump. Renew. Energy 2020, 151, 475–487. [Google Scholar] [CrossRef]
  22. Si, Q.R.; Dupont, P.; Dazin, A.; Roussette, O.; Yuan, S.Q.; Bayeul, A. An Experimental Study of the Flow Field Inside the Diffuser Channel of a Laboratory Centrifugal Pump. J. Fluids Eng. 2015, 137, 061105. [Google Scholar] [CrossRef]
  23. Pedersen, N.; Larsen, P.S.; Jacobsen, C.B. Flow in a centrifugal pump impeller at design and off-design conditions-Part I: Particle image velocimetry (PIV) and laser Doppler velocimetry (LDV) measurements. J. Fluids Eng. 2003, 125, 61–72. [Google Scholar] [CrossRef]
  24. Shi, B.C.; Wei, J.J.; Zhang, Y. A novel experimental facility for measuring internal flow of Solid-liquid two-phase flow in a centrifugal pump by PIV. Int. J. Multiph. Flow 2017, 89, 266–276. [Google Scholar] [CrossRef]
  25. Brennen, C.E. Hydrodynamics of Pumps, Concept ETI; Oxford University Press: Oxford, UK, 1994. [Google Scholar]
  26. Chen, B.; Li, X.J.; Zhu, Z.C. Time-Resolved Particle Image Velocimetry Measurements and Proper Orthogonal Decomposition Analysis of Unsteady Flow in a Centrifugal Impeller Passage. Front. Energy Res. 2022, 9, 818232. [Google Scholar] [CrossRef]
  27. Chen, B.; Li, X.J.; Zhu, Z.C. Investigations of energy distribution and loss characterization in a centrifugal impeller through PIV experiment. Ocean Eng. 2022, 247, 110773. [Google Scholar] [CrossRef]
  28. Stodola, A. Steam and Gas Turbines; McGraw-Hill Book Co.: New York, NY, USA, 1945. [Google Scholar]
  29. Li, X.J.; Chen, H.; Chen, B.; Luo, X.W.; Yang, B.F.; Zhu, Z.C. Investigation of flow pattern and hydraulic performance of a centrifugal pump impeller through the PIV method. Renew. Energy 2020, 162, 561–574. [Google Scholar]
  30. Yan, P.; Chu, N.; Wu, D.Z.; Cao, L.L.; Yang, S.; Wu, P. Computational fluid dynamics-based pump redesign to improve efficiency and decrease unsteady radial forces. J. Fluids Eng. 2017, 139, 011101. [Google Scholar] [CrossRef]
Figure 1. Experimental apparatus: (a) model pump; (b) the transparent impeller; and (c) the trailing edge profiles of different blades.
Figure 1. Experimental apparatus: (a) model pump; (b) the transparent impeller; and (c) the trailing edge profiles of different blades.
Processes 10 02479 g001
Figure 2. Schematic of the PIV test rig.
Figure 2. Schematic of the PIV test rig.
Processes 10 02479 g002
Figure 3. Experimental performances of different model pumps: (a) OTE; (b) ATE1; and (c) ATE2.
Figure 3. Experimental performances of different model pumps: (a) OTE; (b) ATE1; and (c) ATE2.
Processes 10 02479 g003
Figure 4. Schematic diagram at mid-span of OTE impeller.
Figure 4. Schematic diagram at mid-span of OTE impeller.
Processes 10 02479 g004
Figure 5. Relative velocity distributions at different flow rates: (a) 0.2 QBEP; (b) 0.4 QBEP; (c) 1.0 QBEP; and (d) 1.2 QBEP.
Figure 5. Relative velocity distributions at different flow rates: (a) 0.2 QBEP; (b) 0.4 QBEP; (c) 1.0 QBEP; and (d) 1.2 QBEP.
Processes 10 02479 g005
Figure 6. Transient flow fields at 0.2 QBEP.
Figure 6. Transient flow fields at 0.2 QBEP.
Processes 10 02479 g006
Figure 7. The locations of the different sampling lines.
Figure 7. The locations of the different sampling lines.
Processes 10 02479 g007
Figure 8. Blade-to-blade distributions of the relative velocities at R/R0 = 0.9: (a) 0.2 QBEP; (b) 0.4 QBEP; (c) 1.0 QBEP; and (d) 1.2 QBEP.
Figure 8. Blade-to-blade distributions of the relative velocities at R/R0 = 0.9: (a) 0.2 QBEP; (b) 0.4 QBEP; (c) 1.0 QBEP; and (d) 1.2 QBEP.
Processes 10 02479 g008
Figure 9. Blade-to-blade distributions of the relative velocities at R/R0 = 1.0: (a) 0.2 QBEP; (b) 0.4 QBEP; (c) 1.0 QBEP; and (d) 1.2 QBEP.
Figure 9. Blade-to-blade distributions of the relative velocities at R/R0 = 1.0: (a) 0.2 QBEP; (b) 0.4 QBEP; (c) 1.0 QBEP; and (d) 1.2 QBEP.
Processes 10 02479 g009
Figure 10. Outlet velocity triangle near the suction side of OTE and ATE1.
Figure 10. Outlet velocity triangle near the suction side of OTE and ATE1.
Processes 10 02479 g010
Figure 11. Grid partition diagram.
Figure 11. Grid partition diagram.
Processes 10 02479 g011
Figure 12. Velocity triangle at outlet.
Figure 12. Velocity triangle at outlet.
Processes 10 02479 g012
Figure 13. Blade-to-blade slip factor distributions at R/R0 = 1.0: (a) 0.2 QBEP; (b) 0.4 QBEP; (c) 1.0 QBEP; and (d) 1.2 QBEP.
Figure 13. Blade-to-blade slip factor distributions at R/R0 = 1.0: (a) 0.2 QBEP; (b) 0.4 QBEP; (c) 1.0 QBEP; and (d) 1.2 QBEP.
Processes 10 02479 g013
Figure 14. The average slip factors at R/R0 = 1.0.
Figure 14. The average slip factors at R/R0 = 1.0.
Processes 10 02479 g014
Figure 15. The contour of local Euler head at different flow rate conditions: (a) 0.2 QBEP; (b) 0.4 QBEP; (c) 1.0 QBEP; and (d) 1.2 QBEP.
Figure 15. The contour of local Euler head at different flow rate conditions: (a) 0.2 QBEP; (b) 0.4 QBEP; (c) 1.0 QBEP; and (d) 1.2 QBEP.
Processes 10 02479 g015
Figure 16. Schematic diagram of meridian distribution.
Figure 16. Schematic diagram of meridian distribution.
Processes 10 02479 g016
Figure 17. The nominalized local Euler head distribution curve at different flow rates: (a) 0.2 QBEP; (b) 0.4 QBEP; (c) 1.0 QBEP; and (d) 1.2 QBEP.
Figure 17. The nominalized local Euler head distribution curve at different flow rates: (a) 0.2 QBEP; (b) 0.4 QBEP; (c) 1.0 QBEP; and (d) 1.2 QBEP.
Processes 10 02479 g017
Table 1. Geometric parameters of the suction side of impellers and the model pump.
Table 1. Geometric parameters of the suction side of impellers and the model pump.
Value
Parameter NameSignOTEATE1ATE2
Inlet diameter(mm)D1565656
Outlet diameter(mm)D2142142142
Blade inlet angle (°)β118°18°18°
Blade outlet angle (°)β232°47°59°
Blade numberZ555
Blade height (mm)b777
Specific speedns23.823.823.8
Table 2. Performances of different model pumps at four flow rates.
Table 2. Performances of different model pumps at four flow rates.
BladeOTEATE1ATE2
ParameterHeadEfficiencyHeadEfficiencyHeadEfficiency
0.2 QBEP2.13 m11.5%2.18 m12.4%2.17 m11.9%
0.4 QBEP2.11 m20.1%2.17 m21.6%2.15 m21.1%
1.0 QBEP1.74 m31.6%1.78 m34.1%1.68 m32.1%
1.2 QBEP1.47 m29.1%1.48 m31.4%1.37 m28.1%
Publisher’s Note: MDPI stays neutral with regard to jurisdictional claims in published maps and institutional affiliations.

Share and Cite

MDPI and ACS Style

Chen, B.; Qian, Y. Effects of Blade Suction Side Modification on Internal Flow Characteristics and Hydraulic Performance in a PIV Experimental Centrifugal Pump. Processes 2022, 10, 2479. https://doi.org/10.3390/pr10122479

AMA Style

Chen B, Qian Y. Effects of Blade Suction Side Modification on Internal Flow Characteristics and Hydraulic Performance in a PIV Experimental Centrifugal Pump. Processes. 2022; 10(12):2479. https://doi.org/10.3390/pr10122479

Chicago/Turabian Style

Chen, Bo, and Yuzhe Qian. 2022. "Effects of Blade Suction Side Modification on Internal Flow Characteristics and Hydraulic Performance in a PIV Experimental Centrifugal Pump" Processes 10, no. 12: 2479. https://doi.org/10.3390/pr10122479

APA Style

Chen, B., & Qian, Y. (2022). Effects of Blade Suction Side Modification on Internal Flow Characteristics and Hydraulic Performance in a PIV Experimental Centrifugal Pump. Processes, 10(12), 2479. https://doi.org/10.3390/pr10122479

Note that from the first issue of 2016, this journal uses article numbers instead of page numbers. See further details here.

Article Metrics

Back to TopTop