Abstract
The solubility of 2,5-furandicarboxylic acid (FDCA) and its synthetic intermediates (e.g., 5-formylfuran-2-carboxylic acid, FFCA) provides fundamental information for the preparation and purification of the value-added biocompound FDCA. We measured the solubility of FDCA and FFCA in binary water + 1,4-dioxane mixtures with different mixing ratios at 303.15 K–342.15 K. The obtained solubility values were correlated with the Jouyban-Acree-van’t Hoff model, and the preferential solvation theory was used to study the microscopic dissolution mechanism. The solubility of FDCA/FFCA increases with increasing temperature, and pure 1,4-dioxane dissolves more solutes than pure water. FFCA shows higher solubility than FDCA. In the binary solvent mixtures, the phenomenon of co-solvency exists for both FDCA and FFCA, i.e., at a 1,4-dioxane mole fraction of about 0.60, FDCA and FFCA dissolve the most. Acceptable mean percentage deviations (MPD) (5.5% and 6.9%) are obtained for FDCA and FFCA (Jouyban-Acree-van’t Hoff model). The calculated preferential solvation parameters show different dissolution mechanisms at different solvent compositions. When the 1,4-dioxane mole fraction is 0.17~0.62/0.63, FDCA/FFCA are preferentially solvated by 1,4-dioxane. Otherwise, they are preferentially solvated by water. A trend similar to the “co-solvency phenomenon” is observed in the differences in solubility of FFCA and FDCA. This study gives important guidance for the use of binary water and 1,4-dioxane solvents in practical FDCA purification.
1. Introduction
The compound 2,5-furandicarboxylic acid (FDCA), with two carboxylic acid groups symmetrically attached to the furan ring, is a normal human urinary and microbial metabolite [1]. It is included in the top 15 biobased platform compounds by the US Department of Energy (DOE) as a promising substitute for petrochemical monomers such as terephthalic acid (TPA) [2,3]. Biomass feedstocks for the production of FDCA include fructose, glucose, sucrose, high fructose corn syrup, and starch. The oligosaccharides or polysaccharides in these sugars are generally hydrolyzed first to C6 sugars, then the C6 sugars are cyclodehydrated to 5-hydroxymethylfurfural (HMF), and finally, FDCA is synthesized by catalytic oxidation of 5-HMF [4]. Companies currently producing FDCA include Avantium, Corbion, Toronto Chemicals, Alfa Aesar, Synvina, Novamont, AVA and TCI However, due to the low synthetic yield and great purification difficulties, FDCA production is still not reaching its full potential [3].
The pathway products of FDCA often include oxidation intermediates such as 5-formylfuran-2-carboxylic acid (FFCA). Due to the similarity in structure between FDCA and FFCA (Figure 1), separating the two presents a significant challenge. Despite the inherent difficulties in removing FFCA from FDCA, purification of FDCA is urgently needed, because the presence of FFCA seriously affects the application of FDCA. For example, FFCA containing only a mono-carboxylic acid group would terminate chain growth during the polymerization of FDCA, thus reducing the quality of the desired polymer [5,6]. In addition, pale yellow FFCA is a known color body that affects the color of FDCA-based downstream polymer products [7]. Most conventional separation processes for FDCA and FFCA use catalytic hydrogenation to reduce FFCA to structurally dissimilar compounds such as 5-hydroxymethylfuran-2-carboxylic acid, 5-methylfuran-2-carboxylic acid and furan-2-carboxylic acid, and then separate these compounds from FDCA. Such a process not only requires high temperature and pressure, but it is also difficult to avoid the reduction of FDCA. Moreover, the recovery of the catalyst makes the operation very complicated. Other separation methods, such as the FDCA salt method, may produce a significant amount of wastewater, leading to serious environmental problems [8].
Figure 1.
The chemical structures of FDCA and FFCA. (a) FDCA; (b) FFCA.
Extraction or crystallization are mild separation/purification methods. To evaluate the possibility of using these methods, solubility data of FDCA and FFCA in appropriate solvents (pure solvents or solvent mixtures) provide fundamental information. Furthermore, solubility data are also necessary for the selection of suitable reaction solvents for the preparation of FDCA [9]. However, based on the available documents, there is insufficient research on the solubility for FDCA. Zhang et al. reported the solubility of FDCA in eight pure solvents (methanol, acetonitrile, water, acetic acid, methyl isobutyl ketone, ethyl acetate, 1-butanol, and isobutanol) and two binary solvent mixtures (water + acetic acid and water + acetonitrile) [9]. The solubility data of FDCA in three binary solvent mixtures, namely methanol +water, acetic acid + water, and ethanol + water, were reported by Ban et al. [10]. Moreover, to our knowledge, the solubility of FFCA in solvents has rarely been reported. It is clear that the solubility of FFCA and FDCA in different solvent systems needs to be further investigated to serve as a basic database for promoting the production and purification of FDCA.
Since water is formed during the synthesis of FDCA by the oxidation of 5-HMF [11], it is particularly important to examine the solubility in aqueous solvents for the production and purification of FDCA. The solvent 1,4-dioxane readily forms hydrogen bonds with water and is completely miscible with water. Binary mixtures formed by water and 1,4-dioxane in different mixing ratios cover a wide range of polarities and can react with FDCA and other intermediates through both hydrophobic and hydrophilic interactions [12,13,14,15]. Therefore, in this study, water and 1,4-dioxane with different mixing proportions are selected as solvents, and the solubility values of FDCA and FFCA in these binary mixtures are measured at 303.15 K–342.15 K. The obtained solubility values are correlated with the Jouyban-Acree-van’t Hoff model, which is the preferred and recommended co-solvency model for binary solvents at a variety of different temperatures with acceptable model accuracy [16,17,18,19,20]. Moreover, we use the preferential solvation theory to understand the microscopic dissolution of FDCA/FFCA in binary water and 1,4-dioxane mixtures better. In addition, the differences in solubility of FDCA and FFCA are compared.
2. Materials and Methods
2.1. Chemicals
FDCA (>98.0%), FFCA (>98.0%) and 1,4-dioxane were obtained from Aladdin Chemistry Co., Ltd. (Shanghai, China) and used without further purification. Deionized water was used throughout all of the experiments. HPLC-grade methanol and acetic acid were purchased from Tedia Co. (Shanghai, China) and used as the mobile phase for HPLC analysis.
2.2. Apparatus and Method
Solubility data were measured using a static equilibrium method [21]. An excess amount of solute (FDCA/FFCA) and the solvent (water + 1,4-dioxane of specified composition) were added to a jacketed, single-mouthed glass vessel (20 mL). The magnetically stirred vessel was sealed with a stopper to prevent the evaporation of solvent. The temperature of the solution in the vessel was controlled by circulating water through the vessel jacket. The actual temperature of the solution inside the vessel was further checked with a mercury glass thermometer. Dissolution equilibrium was achieved by continuous stirring for 6 h followed by being at rest for 5 h (tested in preliminary experiments). The supernatant of about 1 mL was transferred to a volumetric flask with a syringe, weighed and diluted to get a solution with the desired concentration. All experiments were repeated 3 times to check the reproducibility, and the average value was determined.
2.3. Analysis Method
The FDCA/FFCA concentration in the samples was determined by HPLC. Measurements were performed using an Agilent chromatograph equipped with an Ultimate LP-C18 column (250 mm × 4.6 mm, 5 μm) and a mobile phase of methanol:water:acetic acid = 40:60:1 at a flow rate of 1 mL∙min−1. The wavelength of the detector was set at 265 nm. Each sample was analyzed 3 times, and the relative error was within ±1%.
To confirm the accuracy of this experimental procedure, the solubility data of FDCA in methanol were measured and compared with published data [9]. It was found that the deviations of the solubility were 2.1%, 1.9%, 1.8%, 1.7%, 1.9%, 2.9% and 2.2% at (313.15, 318.15, 323.15, 328.15, 333.15, 338.15, and 343.15) K, respectively. The good agreement of the data proves the reliability of our experimental method.
2.4. Powder X-ray Diffraction and Differential Scanning Calorimetry Identification
The raw FDCA/FFCA and their excess solids after solubility equilibration were characterized by powder X-ray diffraction (PXRD) to check if there are hydrates or 1,4-dioxane solvates of FDCA/FFCA before and after the solubility measurements. The X-ray diffraction characterization was performed with a D8 Advance X-ray diffractometer using Cu Kα radiation (λ = 1.54184 nm). The XRD scanning speed was 5°·min−1, and data were obtained at an angle (2-Theta) of 5–80°. In addition, excess solids were collected after solubility measurements in each binary solvent and mixed together for both FDCA and FFCA. DSC analysis for FDCA/FFCA raw and excess solids mixture was performed using a Pyris-Diamond (PerkinElmer) differential scanning calorimeter calibrated with an indium standard. Approximately 5 mg of sample was added, and the heating rate was 10° K·min−1 (atmosphere, nitrogen).
3. Results and Discussion
3.1. XRD and DSC Identification Results
The XRD and DSC curves with characteristic peaks for FDCA/FFCA raw and excess solids after solubility equilibration are shown in Figure 2. For XRD experiments, excess solids of six different 1,4-dioxane mole fractions (x1 = 0, 0.20, 0.40, 0.60, 0.80, 1.00, x1 is the mole fraction of 1,4-dioxane (1) in the mixture of 1,4-dioxane (1) + water (2) in the absence of FDCA/FFCA) were analyzed separately. Peak positions and shapes of PXRD plots for solid phases after equilibration with solvents 1,4-dioxane (1) + water (2), in various proportions, are not significantly different from those of the original raw powder for both FDCA and FFCA. The identical diagrams for FDCA or FFCA obtained before and after the experiments indicate that the binary solvents with varying mixing ratios do not induce solute form changes during solubility equilibration. The DSC curves of the samples do not show endothermic peaks before they reach their melting temperature. Comparing the DSC curves for raw FDCA and FFCA in Figure 2 with the literature [5], the peak temperatures agree well. The DSC peak shape and position of the excess FDCA/FFCA mixture for each binary solvent are not different from that of the raw FDCA/FFCA. Therefore, FDCA and FFCA do not form hydrates or 1,4-dioxane solvates in the binary solvents studied, and the changes in solubility are mainly due to different intermolecular interactions between solute and solvents.
Figure 2.
PXRD and DSC results of FDCA and FFCA raw materials and excess solids after solubility equilibration. (a) PXRD plots for raw FDCA and excess solids of FDCA after equilibration with binary water + 1,4-dioxane solvents; (b) PXRD plots for raw FFCA and excess solids of FFCA after equilibration with binary water + 1,4-dioxane solvents; (c) DSC curves for raw FDCA/FFCA and their excess solids mixture after solubility measurements in each binary solvent; x1 is the mole fraction of 1,4-dioxane (1) In binary water (2) + 1,4-dioxane (1) Mixtures in the absence of FDCA/FFCA.
3.2. Solubility Results
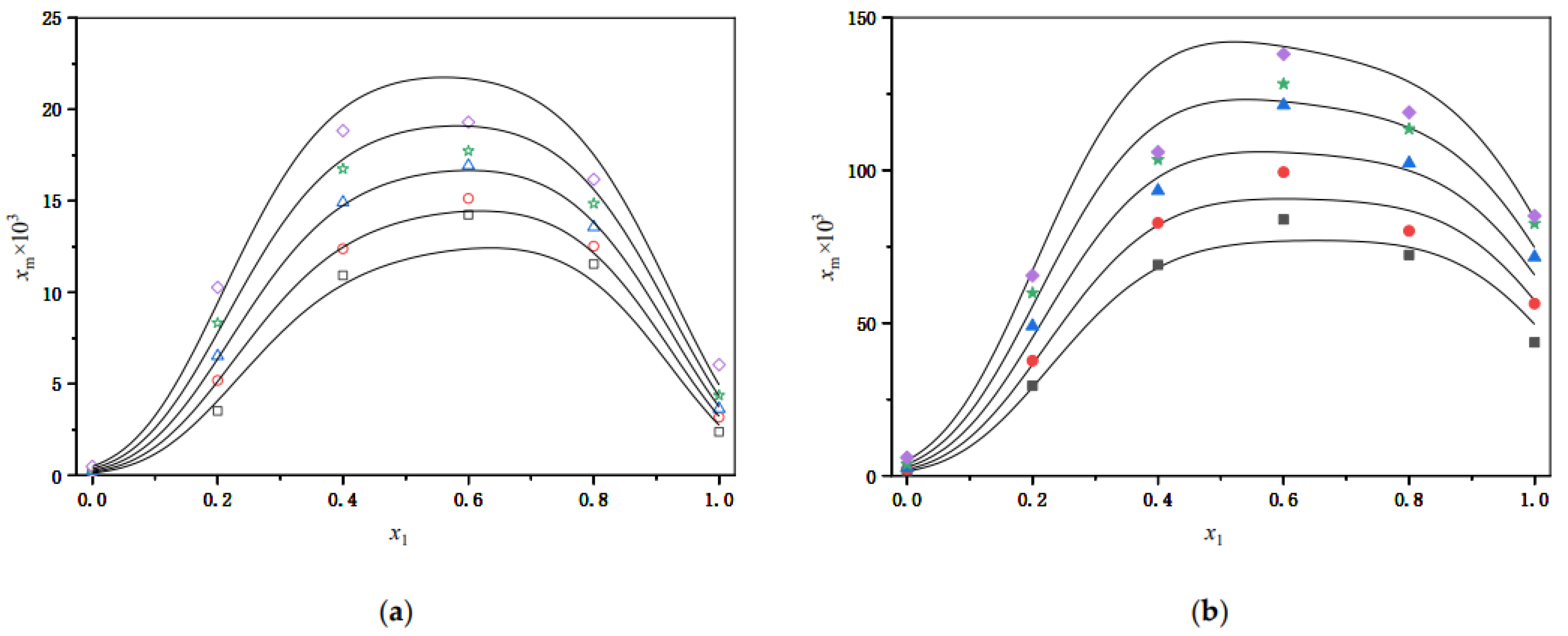
The mole fraction solubility values (xm) of FDCA and FFCA in water + 1,4-dioxane with different 1,4-dioxane mole fractions (x1 = 0, 0.20, 0.40, 0.60, 0.80, 1.00) at 303.15 K to 343.15 K are listed and plotted in Table 1 and Figure 3.
Table 1.
Experimental mole fraction solubility xm of FDCA and FFCA in binary 1,4-dioxane + water mixture solvents.
Figure 3.
Mole fraction solubility xm of FDCA and FFCA in water + 1,4-dioxane binary solvent mixtures with varying 1,4-dioxane mole fractions at 303.15 − 343.15 K; (a) FDCA solubility: □, T = 303.15 K; ○, T = 313.15 K; △, T = 323.15 K; ☆, T = 333.15 K; ◇, T = 343.15 K; (b) FFCA solubility: ■, T = 303.15 K; ●, T = 313.15 K; ▲, T = 323.15 K; ★, T = 333.15 K; ◆, T = 343.15 K; lines were calculated with the Jouyban-Acree-van’t Hoff model.
As shown in Table 1 and Figure 3, the solubility of both FDCA and FFCA increases with increasing temperature for a given solvent mixture composition. All solubility values of FFCA in the binary water + 1,4-dioxane mixtures are higher than those of FDCA under the same conditions, indicating that the aldehyde group in FFCA has a higher affinity for water and 1,4-dioxane. The solubility of both FDCA and FFCA in pure 1,4-dioxane (x1 = 1) is higher than in pure water (x1 = 0) but not the maximum solubility. At a given temperature, the solubility reaches a maximum when the mole fraction of 1,4-dioxane is about 0.60 for both FDCA and FFCA. According to the Hildebrand solubility parameter theory, this phenomenon of co-solvency occurs when the solubility parameter (a measure of polarity and defined as the square root of the cohesive energy density) of the solute (FDCA or FFCA) is in the range of solubility parameters for the solvent components (water and 1,4-dioxane) that make up the binary solvent [22,23,24,25]. Indeed, the solubility parameter of FDCA is 26.9 MPa1/2 [26], and that of FFCA is 27.3 MPa1/2 (calculated by Fedors’ method, Table S1), both of which are between the values of 1,4-dioxane (20.47 MPa1/2) and water (47.86 MPa1/2).
3.3. Jouyban-Acree-van’t Hoff Model Correlation
The solubility data of FDCA and FFCA in water + 1,4-dioxane mixtures at various temperatures were correlated using the Jouyban-Acree-van’t Hoff model [12]:
where xm,T is the mole fraction solubility of FDCA/FFCA in binary water and 1,4-dioxane mixtures at temperature T (K), x1 and x2 are the mole fractions of solvents 1 (1,4-dioxane) and 2 (water) in the binary mixtures in the absence of solute (FDCA/FFCA), Ji, α1, β1, α2, β2 stand for the model constants.
In order to check the correlation accuracy, the mean percentage deviations (MPD) were calculated according to Equation (2):
where N refers to the number of solubility data points.
The experimental data points of FDCA and FFCA dissolved in binary water + 1,4-dioxane mixtures (30 data points for each system) were fitted to Equation (1). The model constants obtained were used to back-calculate the solubility data, and the overall MPD could be attained. The model constants are listed in Table 2, along with the MPD values. The MPD values for FDCA and FFCA systems are 5.5% and 6.9%, respectively. The low MPD values confirm the correlation ability of the Jouyban-Acree-van’t Hoff model. In other words, the Jouyban-Acree-van’t Hoff model is sufficiently accurate to correlate the solubility values of FDCA/FFCA in binary water + 1,4-dioxane solvent mixtures and could be used as a practical strategy to predict further solubility values at unmeasured solvent mixing ratios and temperatures in these two systems.
Table 2.
The Jouyban-Acree-van’t Hoff model constants and the mean percentage deviations (MPD) for solubility values of FDCA and FFCA in water + 1,4-dioxane mixtures.
3.4. Preferential Solvation of FDCA/FFCA in Binary Mixtures of 1,4-Dioxane and Water
Preferential solvation refers to a phenomenon that the local distribution of solvent molecules around the solute molecules differs from the bulk distribution of solvent molecules due to size and interaction differences between the solute and solvent molecules [27,28,29]. In this study, the preferential solvation theory involving the inverse Kirkwood buff integrals (IKBI) method [30,31] is used to characterize the dissolution of FDCA/FFCA in binary water and 1,4-dioxane mixtures. The preferential solvation parameter, which is the difference between the local mole fraction of one solvent component near to the solute and the bulk mole fraction of the solvent component in the binary solvent mixtures, was defined as follows:
where is the local mole fraction of 1,4-dioxane (1) in the vicinity of solute FDCA/FFCA (3), x1 is the mole fraction of 1,4-dioxane (1) in binary 1,4-dioxane (1) and water (2) mixtures in the absence of solute FDCA/FFCA, and δ1,3 and δ2,3 are the preferential solvation parameters for solute FDCA/FFCA (3) solvated by 1,4-dioxane (1), and solvated by water (2), respectively.
If the value of the preferential solvation parameter is δ1,3 > 0, solute FDCA or FFCA (3) is preferentially solvated by 1,4-dioxane (1). On the other hand, if δ1,3 < 0 (i.e., δ2,3 > 0), FDCA or FFCA (3) is preferentially solvated by water (2).
The calculation of the preferential solvation parameters for FDCA/FFCA in binary mixtures of 1,4-dioxane and water is described in detail in the Supplementary Materials (pages 3–8) [32,33,34]. The calculated values of the preferential solvation parameters (δ1,3) at 303.15 K, plotted as a function of solvent mixing ratio, are shown in Figure 4.
Figure 4.
Preferential solvation parameter (δ1,3) values of FDCA and FFCA in binary water + 1,4-dioxane with different solvent mixing ratios at 303.15 K.
In Figure 4, we can see that in the binary water and 1,4-dioxane solvent mixtures with compositions of 0 < x1 < 0.17, the δ1,3 values for both FDCA and FFCA are negative, suggesting that both FDCA and FFCA are preferentially solvated by water. When the mixing ratio of 1,4-dioxane increases to 0.17 < x1 < 0.63 for FDCA and 0.17 < x1 < 0.62 for FFCA, the δ1,3 values become positive, implying that FDCA and FFCA are preferentially solvated by 1,4-dioxane in this region of the mixture composition where the co-solvency phenomenon also occurs. A higher local 1,4-dioxane concentration than the bulk 1,4-dioxane concentration could be related to the breaking of the slightly ordered structure of water molecules (connected by hydrogen bonds of their hydroxyl groups) [32]. At a higher 1,4-dioxane: water ratio to pure 1,4-dioxane (0.62/0.63 < x1 < 1 as in 1,4-dioxane-rich mixtures), the δ1,3 values for FDCA and FFCA become negative again, implying that they are again preferentially solvated by water. It can be found in Figure 4 that both FDCA and FFCA are preferentially solvated by water in water-rich and 1,4-dioxane-rich mixtures. This may be due to the fact that water can act as both a Lewis acid and a Lewis base, but 1,4-dioxane can only act as a Lewis base (According to the Kamlet-Taft hydrogen bond donor parameter and hydrogen bond acceptor parameter, α = 1.17, β = 0.18 for water and α = 0.00, β = 0.37 for 1,4-dioxane) [35,36,37,38].
3.5. Comparison of the Solubility of FDCA and FFCA in Water and 1,4-Dioxane Mixtures
Table 1 and Figure 3 clearly show that the solubility of FFCA in binary mixtures of water and 1,4-dioxane is higher than FDCA under the same conditions. To get a clearer picture of the exact difference in solubility of FFCA and FDCA in this binary solvent system, we constructed a plot of the solubility differences between FFCA and FDCA as a function of mixing ratio of water and 1,4-dioxane at different temperatures.
Figure 5 shows that in the binary water and 1,4-dioxane solvent mixture with a certain composition (e.g., x1 = 0.80), the solubility difference between FFCA and FDCA increases with increasing temperature. At a certain temperature (e.g., T = 323.15 K, green color), the solubility difference between FFCA and FDCA first increases with the increase of 1,4-dioxane mole fraction, reaches a maximum value and then decreases. The trend of the change is similar to that of the solubility values, i.e., it is a trend similar to the “co-solvency phenomenon”. In pure 1,4-dioxane (x1 = 1), the solubility differences between FFCA and FDCA are larger than the small differences in pure water (x1 = 0). Since the solubility differences in pure water (x1 = 0) are all close to zero at the measured temperatures, and the value increases slightly with increasing temperature, it can be concluded that pure water below 343.15 K is not suitable as a crystallization or extraction reagent for the separation of FDCA and FFCA. However, the solubility differences between FFCA and FDCA in pure 1,4-dioxane and binary water + 1,4-dioxane mixtures are substantial and greater at higher temperatures. It is expected that an increase in the solubility difference between FFCA and FDCA will lead to an increase in the separation of these two biocompounds by crystallization or extraction. Therefore, the most efficient crystallization conditions for the separation of FDCA and FFCA using binary water + 1,4-dioxane solvents are expected to involve a 1,4-dioxane mole fraction of around 0.60 and high temperatures.
Figure 5.
The mole fraction solubility difference △103xm between FFCA and FDCA in water + 1,4-dioxane solvent mixtures (FFCA solubility–FDCA solubility) at different solvent mixing ratios and different temperatures. Orange = 303.15 K; Red = 313.15 K; Green = 323.15 K; Blue = 333.15 K; Cyan = 343.15 K.
4. Conclusions
In this study, the solubility of two biocompounds, FDCA and FFCA, was determined in binary water + 1,4-dioxane solvents with different mixing ratios at different temperatures. The solubility increases with increasing temperature at constant solvent composition. FFCA exhibits higher solubility in these binary solvents. At constant temperature, the solubility reaches a maximum at a certain 1,4-dioxane mole fraction, and the co-solvency phenomenon can be attributed to the fact that the solubility parameter of FDCA/FFCA is in the range for water and 1,4-dioxane. The Jouyban-Acree-van’t Hoff model was applied to correlate the solubility data, and satisfactory fitting results were obtained. The calculated preferential solvation parameters clearly show different dissolution mechanisms at different mixing ratios of water and 1,4-dioxane. The differences in solubility of FDCA and FFCA were compared at different solvent mixing ratios and temperatures. It is hoped to separate FDCA and FFCA at a 1,4-dioxane mole fraction of about 0.60 and high temperatures. This study will help in the selection of solvents for the separation of the structurally similar biocompounds FDCA and FFCA.
Supplementary Materials
The following supporting information can be downloaded at: https://www.mdpi.com/article/10.3390/pr10122480/s1, Table S1: Calculation of solubility parameters δ for FFCA by Fedors’ method along with molar volume; Table S2: Correlation volume Vcor and the preferential solvation parameters δ1,3 of FDCA and FFCA in binary water + 1,4-dioxane mixtures with different solvent mixing ratio at 303.15 K; Table S3: Gibbs energy of transfer (kJ·mol−1) of FDCA and FFCA in 1,4-dioxane (1) + water (2) mixtures at 303.15 K; Table S4: D values (kJ· mol–1) of FDCA and FFCA in 1,4-dioxane (1) + water (2) mixtures at 303.15 K; Table S5: G1,3 and G2,3 values (cm3·mol–1) of solute (3) in 1,4-dioxane (1) + water (2) mixtures at 303.15 K.
Author Contributions
Conceptualization, methodology, formal analysis, writing—original draft preparation, writing—review and editing, resources, visualization, project administration, funding acquisition, Q.X.; investigation, data curation, L.X. and J.F.; software, C.D.; validation, B.L.; supervision, Z.B. All authors have read and agreed to the published version of the manuscript.
Funding
This research was funded by “the Fundamental Research Funds for the Central Universities” (No. 226-2022-00055).
Acknowledgments
We are grateful for the financial support by “the Fundamental Research Funds for the Central Universities” (No. 226-2022-00055) and the support from Domestic Visiting Scholar‘s “Professional Development Project for Teachers” (FX2021080).
Conflicts of Interest
The authors declare no conflict of interest.
References
- Teong, S.P.; Yi, G.S.; Zhang, Y.G. Hydroxymethylfurfural production from bioresources: Past, present and future. Green Chem. 2014, 16, 2015–2026. [Google Scholar] [CrossRef]
- Bozell, J.J.; Petersen, G.R. Technology development for the production of biobased products from biorefinery carbohydrates—The US Department of Energy’s “Top 10” revisited. Green Chem. 2010, 12, 539–554. [Google Scholar] [CrossRef]
- Pandey, S.; Dumont, M.J.; Orsat, V.; Rodrigue, D. Biobased 2,5-furandicarboxylic acid (FDCA) and its emerging copolyesters’ properties for packaging applications. Eur. Polym. J. 2021, 160, 110778. [Google Scholar] [CrossRef]
- van Putten, R.J.; van der Waal, J.C.; de Jong, E.; Rasrendra, C.B.; Heeres, H.J.; de Vries, J.G. Hydroxymethylfurfural, a versatile platform chemical made from renewable resources. Chem. Rev. 2013, 113, 1499–1597. [Google Scholar] [CrossRef]
- Motagamwala, A.H.; Won, W.Y.; Sener, C.; Alonso, D.M.; Maravelias, C.T.; Dumesic, J.A. Toward biomass-derived renewable plastics: Production of 2,5-furandicarboxylic acid from fructose. Sci. Adv. 2018, 4, eaap9722. [Google Scholar] [CrossRef]
- Zheng, X.; Li, C.Q.; Mao, H.F.; Liu, X.H.; Guo, Y.; Wang, Y.Q. Boosting 2,5-Furandicarboxylic acid production via coating carbon over CeO2 in a Pt catalyst. Ind. Crops Prod. 2022, 186, 115168. [Google Scholar] [CrossRef]
- Den Ouden, H.J.C.; Sololovskii, V.; Boussie, T.R.; Diamond, G.M.; Dias, E.L.; Zhu, G.; Torssell, S. Purified 2,5-furandicarboxylic acid pathway products. International Application No. PCT/US2018/041694, 17 January 2019. [Google Scholar]
- Huang, Y.T.; Wong, J.J.; Chen, J.H. Method for purifying crude of 2,5-furandicarboxylic acid by crystallization. U.S. Patent No. 10,344,010, 9 July 2019. [Google Scholar]
- Zhang, Y.Z.; Guo, X.; Tang, P.; Xu, J. Solubility of 2,5-furandicarboxylic acid in eight pure solvents and two binary solvent systems at 313.15−363.15 K. J. Chem. Eng. Data 2018, 63, 1316–1324. [Google Scholar] [CrossRef]
- Ban, H.; Pan, T.; Cheng, Y.W.; Wang, L.J.; Li, X. Solubilities of 2,5-furandicarboxylic acid in binary acetic acid + water, methanol + water, and ethanol + water solvent mixtures. J. Chem. Eng. Data 2018, 63, 1987–1993. [Google Scholar] [CrossRef]
- Cong, H.Y.; Yuan, H.B.; Tao, Z.K.; Bao, H.L.; Zhang, Z.M.; Jiang, Y.; Huang, D.; Liu, H.L.; Wang, T.F. Recent advances in catalytic conversion of biomass to 2,5-furandicarboxylic acid. Catalysts 2021, 11, 1113. [Google Scholar] [CrossRef]
- Spiegel, A.J.; Noseworthy, M.M. Use of non-aqueous solvents in parenteral products. J Pharm. Sci. 1963, 52, 917–927. [Google Scholar] [CrossRef]
- Paruta, A.N.; Irani, S.A. Dielectric solubility profiles in dioxane–water mixtures for several antipyretic drugs. Effect of substituents. J. Pharm. Sci. 1965, 54, 1334–1338. [Google Scholar] [CrossRef]
- Rathi, P.B.; Mourya, V.K. Extended Hildebrand solubility approach: Satranidazole in mixtures of dioxane and water. Indian J. Pharm. Sci. 2011, 73, 315–319. [Google Scholar] [PubMed]
- Chen, Y.H.; Luo, Z.Y.; Ren, Z.X.; Shen, L.B.; Li, R.R.; Chen, L.; Du, C.B. The interactions and thermodynamic parameters of lenvatinib mesylate in pure and mixed solvents at several temperatures. J. Chem. Thermodyn. 2022, 176, 106922. [Google Scholar] [CrossRef]
- Jouyban, A. Review of the cosolvency models for predicting drug solubility in solvent mixtures: An update. J. Pharm. Pharm. Sci. 2019, 22, 466–485. [Google Scholar] [CrossRef] [PubMed]
- Dadmand, S.; Kamari, F.; Acree, W.E., Jr.; Jouyban, A. Solubility prediction of drugs in binary solvent mixtures at various temperatures using a minimum number of experimental data points. AAPS PharmSciTech 2019, 20, 10. [Google Scholar] [CrossRef]
- Mirheydari, S.N.; Barzegar-Jalali, M.; Acree, W.E., Jr.; Shekaari, H.; Shayanfar, A.; Jouyban, A. Comparison of the solubility models for correlation of drug solubility in ethanol + water binary mixtures. J. Solut. Chem. 2019, 48, 1079–1104. [Google Scholar] [CrossRef]
- Barzegar-Jalali, M.; Rahimpour, E.; Martinez, F.; Shayanfar, A.; Jouyban, A. Generally trained models to predict drug solubility in methanol + water mixtures. J. Mol. Liq. 2018, 264, 631–644. [Google Scholar] [CrossRef]
- Jouyban, A.; Fakhree, M.A.A.; Hamzeh-Mivehroud, M.; Acree, W.E., Jr. Modelling the deviations of solubilities in water-dioxane mixtures from predicted solubilities by the Jouyban-Acree model. J. Drug Del. Sci. Technol. 2007, 17, 359–363. [Google Scholar] [CrossRef]
- Liang, R.S.; Bao, Z.B.; Su, B.G.; Xing, H.B.; Ren, Q.L. Solubility of Vitamin D3 in six organic solvents at temperatures from (248.2 to 273.2) K. J. Chem. Eng. Data 2012, 57, 2328–2331. [Google Scholar] [CrossRef]
- Pena, M.A.; Reillo, A.; Escalera, B.; Bustamante, P. Solubility parameter of drugs for predicting the solubility profile type within a wide polarity range in solvent mixtures. Int. J. Pharm. 2006, 321, 155–161. [Google Scholar] [CrossRef]
- Hildebrand, J.H.; Prausnitz, J.M.; Scott, R.L. Regular and related solutions, 1st ed.; Van Nostrand Reinhold: New York, NY, USA, 1970; pp. 26–27. [Google Scholar]
- Martin, A.; Newburger, J.; Adjei, A. New solubility equation. J. Pharm. Sci. 1979, 68, 4–5. [Google Scholar]
- Barton, A.F.M. Solubility parameters. Chemical Reviews. 1975, 75, 731–753. [Google Scholar] [CrossRef]
- Joshi, A.S.; Alipourasiabi, N.; Vinnakota, K.; Coleman, M.R.; Lawrence, J.G. Improved polymerization and depolymerization kinetics of poly(ethylene terephthalate) by co-polymerization with 2,5-furandicarboxylic acid. RSC Adv. 2021, 11, 23506–23518. [Google Scholar] [CrossRef] [PubMed]
- Ben-Naim, A. Theory of preferential solvation of nonelectrolytes. Cell Biophys. 1988, 12, 255–269. [Google Scholar] [CrossRef]
- Banerjee, D.; Laha, A.K.; Bagchi, S. Preferential solvation in mixed binary solvent. J. Chem. Soc., Faraday Trans. 1995, 91, 631–636. [Google Scholar] [CrossRef]
- Pallewela, G.N.; Smith, P.E. Preferential solvation in binary and Ternary mixtures. J. Phys. Chem. B 2015, 119, 15706–15717. [Google Scholar] [CrossRef]
- Martínez, F.; Jouyban, A.; Acree, W.E., Jr. Solubility of phenobarbital in aqueous cosolvent mixtures revisited: IKBI preferential solvation analysis. Phys. Chem. Liq. 2017, 55, 432–443. [Google Scholar] [CrossRef]
- Du, C.B.; Li, R.R.; Chen, L. Dissolution thermodynamic properties calculation and intermolecular interaction analysis of diacerein in different pure and mixed solvents. J. Chem. Thermodyn. 2022, 173, 106850. [Google Scholar] [CrossRef]
- Du, C.B.; Luo, Y.L.; Huang, C.Y.; Li, R.R. The solubility measurement and thermodynamic models correlation of baclofen in twelve pure organic solvents. J. Chem. Eng. Data 2022, 67, 2655–2661. [Google Scholar] [CrossRef]
- Rodrigueza, G.A.; Delgadoa, D.R.; Fleming, M. Preferential solvation of indomethacin and naproxen in ethyl acetate + ethanol mixtures according to the IKBI method. Phys. Chem. Liq. 2014, 52, 533–545. [Google Scholar] [CrossRef]
- Jimenez, D.M.; Cardenas, Z.J.; Delgado, D.R.; Pena, M.A.; Martinez, F. Solubility temperature dependence and preferential solvation of sulfadiazine in 1, 4-dioxane+ water co-solvent mixtures. Fluid Phase Equilibr. 2015, 397, 26–36. [Google Scholar] [CrossRef]
- Li, X.B.; Cong, Y.; Li, W.T.; Yan, P.Y.; Zhao, H.K. Thermodynamic modelling of solubility and preferential solvation for ribavirin (II) in co-solvent mixtures of (methanol, n-propanol, acetonitrile or 1,4-dioxane) + water. J. Chem. Thermodyn. 2017, 115, 74–83. [Google Scholar] [CrossRef] [PubMed]
- Bani-Yaseen, A.D.; Al-Balawi, M. Solvatochromic, spectral, and geometrical properties of nifenazone: A DFT/TD-DFT and experimental study. Phys. Chem. Chem. Phys. 2014, 16, 15519–15526. [Google Scholar] [CrossRef] [PubMed]
- Delgado, D.R.; Pena, M.A.; Martinez, F. Preferential solvation of some sulfonamides in 1,4-dioxane + water co-solvent mixtures at 298.15 K according to the inverse Kirkwood-Buff integrals method. Rev. Acad. Colomb. Cienc. 2014, 38, 104–114. [Google Scholar]
- Xu, Q.Q.; Su, B.G.; Bao, Z.B.; Yang, Y.W.; Yang, Q.W.; Ren, Q.L. Microgeometry-independent equation for measuring infinite dilution activity coefficients using gas-liquid chromatography with static-wall-coated open-tubular columns. J. Chromatogr. A 2020, 1624, 461264. [Google Scholar] [CrossRef]
Publisher’s Note: MDPI stays neutral with regard to jurisdictional claims in published maps and institutional affiliations. |
© 2022 by the authors. Licensee MDPI, Basel, Switzerland. This article is an open access article distributed under the terms and conditions of the Creative Commons Attribution (CC BY) license (https://creativecommons.org/licenses/by/4.0/).




