Next Article in Journal
The Disposition of Bioactive Compounds from Fruit Waste, Their Extraction, and Analysis Using Novel Technologies: A Review
Previous Article in Journal
Study of Technological Process of Fermentation of Molasses Vinasse in Biogas Plants
 
 
Font Type:
Arial Georgia Verdana
Font Size:
Aa Aa Aa
Line Spacing:
Column Width:
Background:
Article

Differential Response of Soil Microbial Community Structure in Coal Mining Areas during Different Ecological Restoration Processes

1
Shendong Coal Group Co., Ltd., CHN Energy, Shenmu 719300, China
2
School of Chemical & Environmental Engineering, China University of Mining & Technology (Beijing), Beijing 100083, China
*
Author to whom correspondence should be addressed.
These authors contributed equally to this work.
Processes 2022, 10(10), 2013; https://doi.org/10.3390/pr10102013
Submission received: 23 August 2022 / Revised: 24 September 2022 / Accepted: 26 September 2022 / Published: 5 October 2022

Abstract

Micro-organisms play important roles in promoting soil ecosystem restoration, but much of the current research has been limited to changes in microbial community structure in general, and little is known regarding the more sensitive and indicative microbial structures or the responses of microbial diversity to environmental change. In this study, based on high-throughput sequencing and molecular ecological network analyses, the structural characteristics of bacterial communities were investigated in response to four different ecological restoration modes in a coal mining subsidence area located in northwest China. The results showed that among soil nutrients, nitrate-nitrogen and fast-acting potassium were the most strongly associated with microbial community structure under different ecological restoration types. Proteobacteria, Actinobacteria, and Acidobacteria were identified as important phyla regarding network connectivity and structural composition. The central natural recovery zone was found to have the smallest network size and low complexity, but high modularity and good microbial community stability. Contrastingly, a highly complex molecular ecological network of soils in the photovoltaic economic zone existed beneath the photovoltaic modules, although no key species, strong bacterial competition, poor resistance to disturbance, and a significant increase in the relative abundance of Gemmatimonadetes were found. Furthermore, the reclamation zone had the highest soil nutrient content, the most complex network structure, and the most key and indicator species; however, the ecological network was less stable and readily disturbed.

1. Introduction

The soil microbial community is among the richest and most diverse communities worldwide, the diversity of which is important for maintaining ecosystem function and sustainable development [1,2,3]. Research has shown that soil microbial communities can drive geochemical cycles, degrade organic matter, suppress soil-borne diseases, and promote plant growth [4]. There are also important interactions between the structure and diversity of microbial communities that have significant implication with respect to soil function and plant productivity [5]. Moreover, changes in soil abiotic factors, such as soil bulk and porosity [6,7] and soil nutrients [8], e.g., soil organic matter [9], nitrogen, and phosphorus contents and compositions [10,11], and the addition of soil admixtures, such as biochar [12], have been established to have a prominent influence on soil microbial diversity, community composition, and function. However, the spatial scale distribution of soil micro-organisms and the drivers of microbial community function have yet to be sufficiently ascertained [13,14]. Consequently, clarifying the impacts of changes in soil properties on microbial communities and functions in response to different soil remediation techniques will contribute to further investigations of the geochemical cycling processes of soil chemical elements.
Changes in land-use patterns, such as those reflecting differences in vegetation cover, farming practices, and management practices, are important factors influencing soil properties [15,16,17]. In this regard, a number of studies have been conducted to assess the feasibility of reclaiming coal mining subsidence areas using different modes to enhance the contents of soil nutrients, such as fast-acting phosphorus and fast-acting potassium [17,18], thereby contributing to the restoration of degraded soil to a healthy and productive state [17]. Other studies have assessed and modeled subsidence areas in various ways to classify [19] and categorize these areas to then ecologically reconstruct these using differing modes according to the different divisions [20]. In this way, soil properties reflecting different characteristics, such as wetland landscapes [21], farmlands, and ecologically important areas [22], can be obtained.
When adopting any of the aforementioned modes to the restoration of areas with coal mining subsidence, the changes in soil properties cannot be separated from the self-recovery capacity of the ecosystem, which is mainly determined by factors such as the physical and chemical properties of soil, the soil microbial community, and the plant seed bank. Among these factors, micro-organisms play important catalytic and linking roles [23], and changes in soil properties inevitably lead to adjustments and responses in the structure and diversity of the microbial community. Soil remediation initiatives therefore also need to take into consideration micro-organisms as important drivers in the restoration of ecosystem plant diversity and productivity [24].
Coal mining subsidence areas are defined as the gradual deformation and destruction of the surface rock strata caused by underground excavation work during mining, and the subsidence of the overlying rock strata in the coal mining area, which eventually leads to ground subsidence [25]. The result is land collapse on the surface, plant degradation, water pollution, ecological landscape degradation, and human environmental destruction, which is not conducive to the sustainable use of land resources [26,27]. The area of subsidence covered by coal mining currently exceeds 400,000 hectares and is still growing rapidly each year [28].
With the development of high-throughput sequencing in recent years, there has been widespread interest in the use of soil microbial community structure in the context of landscape remediation, and indeed, microbial indicators have become among the most important indicators applied in the ecological remediation of mining soils [29]. An assessment of the microbial community structure of coal mine lands and other relevant indicators has revealed that under conditions where the microbial community structure is compromised, this can impair the associated material cycling of the soil and the ecosystem sustainability [30]. Other studies have revealed that there are differences in microbial abundance, diversity, and function between reclaimed soils and naturally restored soils in sinkholes [31,32,33,34], and that microbial community composition and ecosystem sustainability can be restored to a state approximating that of natural soil over time with reclamation [32]. The complexity of the interactions between microbial communities and their compositional structure have therefore been used to assess the efficacy of restoration subsequent to land reclamation [29]. Furthermore, when using plants to restore mining soils, the relationship between soil microbial community structure and physicochemical properties during the introduction of different plants can be compared to assess the efficacy of soil restoration or to select vegetation that is likely to be effective in restoring disturbed soil [35,36].
Although there have been a number of studies on changes in soil microbial community structure under individual restoration modes, there have been fewer studies on changes in microbial community structure under different soil ecological restoration modes in the same area, and few studies have focused on features related to changes in microbial diversity that are more sensitive and indicative of the environment.
Based on this, a coal mining subsidence area in the wind-deposited sand region of northwest China was selected in this study to analyze the response characteristics to soil nutrient factors and microbial community structure under different ecological restoration modes, as well as the correlation between microbial community structure and nutrient factors, and to identify indicative and sensitive microbial communities through a diversified analysis approach. The objective was to gain an understanding of the response of the surface soil microbial community to different modes of ecological restoration under conditions of wind, drought, and nutrient stress in a coal mining subsidence area, and thereby provide a scientific basis and basic data for the management of ecological restoration characterized by wind-deposited sand. A logic diagram of the study is included in Figure 1.

2. Materials and Methods

2.1. Study Area Profile

The research site is located in an area of subsidence of the Botai Coal Mine, Yijinholo Banner, Ordos City, Inner Mongolia (110°00′14″ E–110°01′44″ E, 39°28′44″ N–39°29′20″ N). Climatically, the region is characterized by a typical temperate continental monsoon climate, with abundant sunshine and four distinct seasons. The average temperature is 6.2 °C and there is a large day/night temperature differential. Although the annual rainfall is between 340 and 420 mm, annual evaporation is approximately 2100 mm, which is approximately seven times the amount of rainfall. Geomorphologically, the region lies at the confluence of the Loess Plateau and the Plateau Desert and is strongly riven by the erosion caused by flowing water. The natural vegetation of the study area is mostly scrub, among which Pennisetum centrasiaticum Tzvel., Artemisia desterorum Spreng, and Artemisia annua are the dominant local species.
Ecological restoration in the study area is based on natural restoration, and land reclamation is carried out on flat terrain for crop cultivation. The new energy industry mode in mining subsidence not only solved the problem of land for photoelectricity projects, but also realized the comprehensive development and three-dimensional value-added of idle land resources. Therefore, the construction mode of ‘photovoltaic plus ecological restoration’ has been carried out in recent years.

2.2. Soil Sample Collection and Determination of Physicochemical Parameters

In mid to late July 2021, following a field survey of the topography and dominant plant species growing in the project area, four typical zones of the study area (depicted in Figure 2) were selected for our research purposes, namely, the Photovoltaic Economic Zone (PV), Central Natural Recovery Zone (NR), Central Reclamation Zone (RC), and Hillside Natural Recovery Zone (HNR). The precise distribution of the selected sampling points is shown in Figure 1. In each of zone, 13 sample points were established, giving 52 sampling points in total. At each point, five soil samples were collected and mixed to give a single composite sample. The collected samples were immediately loaded into a soil sampling box containing ice packs, frozen, and transported to the laboratory. Here, they were divided into three sub-samples, one of which was placed in a freezer at −80 °C for the analysis of soil microbial diversity, whereas another was placed in a −20 °C freezer for soil microbial analyses, and the remaining portion was placed in a cool dry place at room temperature for natural air drying and was subsequently used for the analyses of soil physical and chemical properties.
Soil moisture content and pH are the physical and chemical properties of the soil. Soil moisture content is determined by drying soil at 105 (±2) °C to a constant weight [37]. Soil pH is measured using a pH meter at a soil: water ratio of 1:2.5 (w/v). As nutrient indicators, we used soil organic matter (SOM), available nitrogen (AN), available phosphorus (AP), available potassium (AK) and nitrate-nitrogen (NO3-N), which were, respectively, determined by oxidation in conjunction with potassium dichromate volumetric method [38], the alkaline diffusion method [39], a sodium bicarbonate extraction–molybdenum antimony colorimetric assay [39], the ammonium acetate leaching–flame photometric method [40], and the potassium chloride solution leaching–spectrophotometric method [41].

2.3. Microbial High-Throughput Sequencing

Genomic DNA was extracted from the collected soil samples using DNA extraction kits corresponding to each sample, following the manufacturer’s instructions. The integrity and purity of DNA were determined by subjecting samples to 1% agarose gel electrophoresis, and DNA concentration and purity were determined using a NanoDropOne spectrophotometer. The isolated DNA was subsequently used as a template for PCR amplification based on selected sequencing regions using barcode-containing primers and Premix Taq (TaKaRa). Having compared the concentrations of the PCR products using Gene Tools Analysis Software (Version 4.03.05.0; SynGene), the requisite volume of each sample was calculated according to the principle of equal mass, and the PCR products were mixed. The PCR products were recovered using an E.Z.N.A. ® Gel Recovery Kit, with the DNA fragments of interest being eluted in TE buffer. Subsequent library construction was carried out according to an NEBNext® UltraTM DNA Library Prep Kit for Illumina® standard process, and after completion, the libraries were subjected to high-throughput sequencing performed using either the Hiseq or Miseq platform.

2.4. Data Processing and Statistical Analysis

The processing of the raw data was performed using R language and Excel 2016, and figures were drawn using R language and Origin 2021 software as follows.
The Vegan package based on R language was used to analyze the relative abundance of operational taxonomic units (OTUs) to characterize the diversity of the soil microbiota by calculating the Shannon, Simpson, and Pielou indices [42], expressing microbial abundance by calculating the ACE and Chao1 indices, and indicating the observed number of OTUs using the Sobs index. The ggplot2 package was used to generate violin box plots to examine changes in the assessed indices for each of the study areas.
Principal co-ordinates analysis (PCoA) was performed to determine the similarities and differences of the study samples at Bray–Curtis distances, whereas redundancy analysis (RDA) was performed to determine associations between microbial communities and environmental factors [43].
Venn diagrams were drawn using the Venn package of R language to describe differences in the OTU levels of microbial communities in different study areas [42].
Abundance tables were compiled using R language, and maps of soil microbial community abundance at different classification levels and a chart show the results of OTU division and classification status were drawn using Origin software.
Lefse analysis based on the galaxy platform (http://huttenhower.sph.harvard.edu/galaxy/, accessed on 20 March 2022.) was performed to assess indicator species [44], and differential species of microbial communities in different study areas were analyzed using linear discriminant analysis [43].

2.5. Molecular Ecological Networks

For the purposes of network analysis and other related studies, the high-throughput sequencing data were divided into four processing groups corresponding to the aforementioned sampling regions (PV, NR, RC, and HNR). Molecular ecological network construction was performed to reflect phylogenetic molecular ecological networks (pMENs) based on stochastic matrix theory (RMT) [45]. These networks were used to identify key species in the soil microbial community in each study area and to represent the interactions and community complexity between communities, which contribute to identifying key taxa adapted to the study area environment. In this study, molecular ecological network construction and network attribute parameter determinations were performed using the Molecular Ecological Network Analysis Pipeline (MENA, http://ieg4.rccc.ou.edu/mena, accessed on 2 April 2022) [46,47,48,49]. The body steps are as follows: edit, group, and upload the OTU data obtained via high-throughput sequencing to MENA, and after the data is lg converted, the correlation matrix is calculated and converted into a similarity matrix based on the Pearson correlation coefficient. On the basis of RMT theory, the optimal similarity threshold is selected, the connection strength between each pair of nodes is used to form an adjacency matrix, and the characteristic value of the nearest-neighbor spacing distribution is analyzed to predict the molecular ecological network. In this way, the relevant attributes and parameter value files of the network analysis, including degree, connectivity, modularity, and cluster coefficient, are obtained. OTUs are used as nodes in the ecological network, and the connection between nodes is the edge, which indicates the interrelationship between nodes. Connectivity represents the strength of the connection between one node and other connecting nodes, whereas the clustering coefficient indicates the degree of communication between one node and other nodes. Modularity [50] refers to a quantitative index that measures the merits of the division of network communities in molecular ecological networks, and an ecological network is divided into multiple modules, each of which is a functional unit of the biological system. The role of the network nodes is characterized and classified in terms of inter-module connectivity (Pi) and intra-module connectivity (Zi) [51,52,53].
Gephi software (v0.9.2) was used to visualize the molecular ecological network, and core species abundance histograms and ecological network Zi-Pi plots of the four ecological networks were plotted using Origin software.

3. Results

3.1. Changes in Soil Nutrient and Moisture Indicators

The soil nutrient and moisture index data for the study site are shown in Table 1. The data analyses presented in this work demonstrate that there were no significant differences in the soil water contents of areas subjected to different ecological restoration modes, whereas in terms of soil fertility indicators, there were significant differences between the different areas. The available potassium (AK) in the Central Reclamation Zone (RC) was 72.52 mg/kg, which was significantly higher than the values obtained for the other study areas (p < 0.05, Table 1). The available nitrogen (AN) in zone RC was found to be similar to that in the Photovoltaic Economic Zone (PV) and Hillside Natural Recovery Zone (HNR), although significantly higher than that in the Central Natural Recovery Zone (NR). We detected no significant differences between RC and the other study zones with respect to nitrate-nitrogen (NO3-N), available phosphorus (AP), and soil organic matter (SOM), although the levels of these nutrient indicators were somewhat higher than in the NR zone without artificial intervention, indicating that reclamation can enhance soil nutrient contents. NO3-N and AN in the HNR area were significantly higher than in the NR zone (p < 0.05, Table 1), and AP and SOM were all somewhat higher relative to NR. AK proved to be an exception, being lower than NR, which could be attributable to topographic factors (elevation, slope, and slope orientation). Among the four study areas, we obtained the lowest values for SOM and AK in the PV zone, whereas NO3-N and AN were significantly higher compared with the those in the NR zone (p < 0.05, Table 1) and AP was also somewhat higher. Soil pH in the study area ranged from 7.71 to 7.84, with no differences between ecological restoration methods.
The results are presented as the mean ± SD (standard deviation, n = 13). NO3-N, nitrate-nitrogen; AN, available nitrogen; AP, available phosphorus; AK, available potassium; SOM, soil organic matter; SWC, soil water content. For the same index, different lowercase letters in the same column indicate statistically significant data differences, ANOVA, p < 0.05.

3.2. Analysis of Microbial α Diversity

Alpha diversity can reflect the richness and diversity of the microbial community within the sample [54]. The sequencing results were compared with the high-throughput sequencing data, and the diversity index statistics are shown Figure 3, in which the Sobs index (Figure 3c) refers to the actual number of OTUs observed. The Ace (Figure 3d) and Chao1 (Figure 3e) indices are mainly used to measure species richness, and the Shannon (Figure 3a) and Simpson (Figure 3b) indices are mainly used as measures of species diversity. The Pielou index (Figure 3f) mainly reflects the degree of uniformity in the distribution of species numbers.

3.3. Characterization of the Composition and Variation of Bacterial Communities and Analysis of β Diversity

The species composition and diversity characteristics of microbial communities were studied by comparing representative OTU sequences with database sequences, thereby enabling species annotation. Having processed and analyzed the data, we obtained a total of 3,262,365 valid sequences, with the number of sequences per sample ranging from 54,722 to 70,923, and a total of 97,138 OTUs corresponding to 44 phyla and 666 genera. Specific sample sequencing statistics, OTU delineation, and taxonomic status identification are shown in Figure 4.
As can be seen from Figure 4a, the detected differences in the structural composition of soil microbial communities in the four study areas are not significant in terms of the number and taxonomic status of OTUs. However, the Venn diagram shown in Figure 4b reveals differences in the structure of the OTU species composition between sampling sites in the four regions, with 8578 OTU species common to the four regions and 9697, 9774, 11,592, and 9239 OTU species identified as being unique to the Photovoltaic Economic Zone (PV), Central Natural Recovery Zone (NR), Central Reclamation Zone (RC), and Hillside Natural Recovery Zone (HNR), respectively. The numbers of OTU species in zones NR, RC, HNR, and PV were 26,700, 26,189, 25,636, and 25,375, respectively.
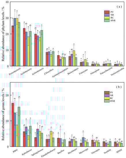
The findings of our analysis of soil microbial community composition in areas subjected to different ecological restoration methods are shown in Figure 5. We found that the top ten phyla in terms of relative abundance at the phylum level under the different ecological restoration modes were Proteobacteria, Acidobacteria, Actinobacteria, Chloroflexi, Bacteroidetes, Gemmatimonadetes, Firmicutes, Patescibacteria, Verrucomicrobia, and Nitrospirae, with the top six phyla accounting for 90% of the total relative abundance (Figure 4a). Micro-organisms in PV, NR, RC, and HNR soil were grouped into 38, 37, 40, and 34 phyla, respectively, with a total of 11 phyla with relative abundance greater than 1% in PV (the top 10 plus Rokubacteria); 9 dominant phyla in NR, with no Rokubacteria or Nitrospirae compared with PV; 10 dominant phyla in RC; and 8 dominant phyla in HNR, lacking Verrucomicrobia and Nitrospirae.
Figure 5a shows that among the taxonomic units at the phylum level, there were no significant differences between the four study zones with respect to the relative abundance of Firmicutes, Patescibacteria, and Verrucomicrobia (p > 0.05), whereas the other dominant phyla differed to varying degrees. Among these, Proteobacteria was lowest in the PV zone and significantly lower than in the NR and RC zones (p < 0.05). Acidobacteria was lowest in the RC zone and significantly lower than in the PV zone (p < 0.05). Chloroflexi was also lowest in zone RC and significantly lower than in the NR and HNR zones (p < 0.05). Bacteroidetes was highest in zone RC and significantly higher than in the PV and HNR zones (p < 0.05), and Nitrospirae was also the highest in zone RC and significantly higher than in the NR and HNR zones (p < 0.05). Actinobacteria was highest in the HNR zone and significantly higher than in zones NR and RC (p < 0.05), whereas Gemmatimonadetes was lowest in the NR zone and significantly lower than in the PV zone (p < 0.05).
The analysis of taxonomic units at the genus level (Figure 5b) revealed the following genera to be the top ten in terms of relative abundance (in order of ranking): RB41 (Acidobacteria), Rubrobacter (Actinobacteria), Sphingomonas (Proteobacteria), Pseudarthrobacter (Actinobacteria), Bacillus (Firmicutes), Bryobacter (Acidobacteria), Microvirga (Proteobacteria), Nitrospira (Nitrospirae), Nordella (Proteobacteria), and MND1 (Proteobacteria).
RB41 was highest in the PV zone and significantly higher than in the NR and RC zones (p < 0.05); Rubrobacter was lowest in the RC zone and significantly lower than in the NR and HNR zones (p < 0.05); Sphingomonas had the lowest relative abundance in the PV zone and was significantly lower than in the NR and RC zones (p < 0.05); Pseudarthrobacter had the highest relative abundance in the RC zones. We detected no significant differences among the four zones with respect to the relative abundance of Bacillus (p > 0.05), whereas the relative abundance of Bryobacter was highest in the NR zone and significantly higher than in the PV and HNR zones (p < 0.05). The relative abundance of Microvirga was highest in the NR zone and significantly higher than in the other regions (p < 0.05). Zone PV was found to harbor the highest relative abundances of Nitrospira and MND1, both of which were significantly higher than the respective abundances in the NR, HNR, and NR zones (p < 0.05). The lowest abundance of Nordella was detected in the RC zone, which was significantly lower than that recorded in the other regions (p > 0.05).
The results shown in Figure 6a reveal that at the phylum level, the PCoA1 and PCoA2 axes explain 78% and 23% of the data, respectively. Similarly, the results presented in Figure 6b show that the PCoA1 and PCoA2 axes explain 28.46% and 23.17% of the data at the genus level, respectively. Among the four study areas, the results show that samples collected from zone RC were characterized by the most pronounced difference in species composition structure at the genus level. In contrast, the close similarity of the samples collected in zones NR, HNR, and PV indicates that the differences in bacterial structural composition are not significant and the differences in bacterial composition of the soil samples within their respective regions are also small. The analysis results provide evidence to indicate that the ecological restoration approach used for land reclamation in the study area has a more pronounced impact on the bacterial community composition structure at the genus level and that compared with the HNR zone, PV and NR show little overall difference in community composition structure at the genus level.
In order to analyze the indicator microbial communities that differed significantly in abundance between the four sampling zones in the study area, we combined criteria tests for significant differences (Kruskal–Wallis and Wilcoxon tests) and linear discriminant analysis. For the NR zone, Azospirillaceae, Cellulomonadaceae, Woeseiaceae, Trueperaceae, Skermanella, Cellulomonas, Truepera and uncultured bacteria were identified as indicator taxa, and we found that a total of eight community species had a significant effect on the difference between groups in terms of abundance. In the NR group, Beijerinckiaceae and Microvirga had a greater effect on intergroup differences, whereas in the HNR group, only Phormidiaceae had a similar effect. Contrastingly, we detected no intergroup species in the PV group (Figure 7).

3.4. Relationship between Soil Environmental Factors and Microbial Communities

To assess the correlation between soil environmental factors and microbial communities in the study area, we selected abundance data for eight representative soil microbial taxa at the phylum and genus levels as species information and examined associations with environmental factors by performing RDA analysis (Figure 8). The length of the projection of the sampling point on the sub-arrow represents the magnitude of the environmental variable, and the direction indicates the positive or negative correlation with the sampling point. The cosine formed between the arrows of the species information and the environmental factor represents the correlation between these, with acute and obtuse angles indicating positive and negative associations, respectively.
The results presented in Figure 8 show that the total variance of the first two axes of the RDA model for species information and environmental factors at the phylum level and genus level were 88.49% and 91.84%, both with high explanatory confidence.
At the phylum level, we found fast-acting potassium to be strongly positively correlated with Firmicutes, Bacteroidetes, and Proteobacteria and strongly negatively correlated with Chloroflexi and Actinobacteria, whereas alkaline and nitrate-nitrogen were positively correlated with Chloroflexi, Actinobacteria, and Patescibacteria and negatively correlated with Bacteroidetes, Verrucomicrobia, and Proteobacteria. Organic matter was positively correlated with Patescibacteria, Actinobacteria, and Firmicutes and negatively correlated with Bacteroidetes, Verrucomicrobia, and Proteobacteria. Soil water was positively correlated with Acidobacteria and Verrucomicrobia and negatively correlated with Patescibacteria, Actinobacteria, and Firmicutes. Available phosphorus was positively correlated with Chloroflexi and Acidobacteria but negatively correlated with other phylum to some extent. Among these, NO3-N (F = 2.73, p < 0.05), AK (F = 3.87, p < 0.05) revealed significant effects on phylum structure.
At the genus level (Figure 8b), soil water content, alkaline nitrogen, and fast-acting phosphorus were strongly positively correlated with RB41, Nitrospira, and Pseudarthrobacter and negatively correlated with Rubrobacter, Bacillus, Microvirga, and Bryobacter; nitrate-nitrogen was closely positively correlated with RB41; and soil organic matter and fast-acting potassium were strongly positively correlated with Nitrospira, Sphingomonas, and Pseudarthrobacter and negatively correlated with Bryobacter, Microvirga, Rubrobacter, and Bacillus. The effect of AK on genus structure was significant (F = 7.32, p < 0.05).

3.5. Microbial Network Analysis

Using the OTUs showing the top 200 abundances among sample sequence as inputs, we applied pMENs analysis to determine the effects of different land-use patterns on soil micro-organisms in the assessed coal mining subsidence areas. Microbial molecular ecological networks were constructed for each of the four zones, Photovoltaic Economic Zone (PV), Central Natural Recovery Zone (NR), Central Reclamation Zone (RC), and Hillside Natural Recovery Zone (HNR), as shown in Figure 9a. The size of the nodes in these networks is proportional to the degree of the nodes, the color of the edges between connected nodes indicates the relationship between species, with red representing a positive correlation and green a negative correlation. The specific network parameters are shown in Table 2. Among these, the thresholds of NR, RC, and HNR were automatically determined as 0.79, whereas that of PV is 0.8, and the node connectivity distribution of the four networks all conform to the power law and the main parameters are higher than those of random networks, thereby indicating that the reliability of network construction is high and can be used for further analysis [46,55].
On the basis of our analysis of network parameters, we found that the Total links (476–506) and Average degree (6.605–6.704) of PV, RC, and HNR were higher than those of the Total links (267) and Average degree (3.668) of NR, indicating that the size and complexity of the PV, RC, and HNR networks are higher than those of the NR network, and that the species relationships are correspondingly more complex. Furthermore, the proportion of positive edges in all four networks was higher than that of negative edges, indicating that the ecological niches between the microbial communities in the four study areas were consistent, with cooperative relationships being more prominent than competitive relationships [42]. Moreover, among the four study areas, we identified the soil micro-organisms in zone PV as having the strongest competitive effects. Zone HNR was characterized by the highest value for Average clustering coefficient, followed by RC and PV, with the lowest value recorded for the NR zone, indicating that the soil microbiota of HNR were the most closely linked. All four networks were established to have Modularity values greater than 0.4, indicating that the networks constructed in this study all had modular topologies [56], and that RC had the highest Geodesic efficiency, PV and HNR had slightly weaker efficiencies, and NR had the lowest value. These finding thus tend to indicate that the structure of the RC community is the most stable, characterized by a strong ability to resist external environmental interference, and rapid responses [49].
When undertaking molecular ecological network analysis, it is important to determine whether nodes play a key role with respect to other nodes, within modules, between modules, and across the network. Current research can classify and distinguish nodes based on within-module connectivity (Zi) and inter-module connectivity (Pi) data to determine whether certain taxa play a key role in the network [42,49,51]. In general, nodes with Zi ≥ 2.5 or Pi ≥ 0.62 are judged to be key species that play decisive roles in network connections. The method of classification applied to network nodes is as follows [57]: When Zi ≤ 2.5 and Pi ≤ 0.62, the number of connections is small, mainly for intra-module and individual nodes, divided into peripherals (specialists); when Zi > 2. 5 and Pi ≤ 0. 62, nodes play an important role in the connection within the module, divided into module hubs (generalists); when Zi ≤ 2. 5 and Pi > 0. 62, nodes are highly connected between different modules, divided into connections (generalists); and when Zi > 2. 5 and Pi > 0. 62, the nodes are highly connected between and within the modules at the same time, and play the role of module hubs, divided into network hubs (supergeneralists).
The Zi-Pi plot of node distribution shown in Figure 9b indicates that there are no key species in the PV network; that is, all nodes are specialists. In the NR network, there are four nodes that are generalists (2.63% of all nodes), two of which are associated with the phylum Acidobacteria (OTU_286 and OTU_18), and the other two with the phylum Proteoia (OTU_47 and OTU_131). In the RC network, there are five key species nodes (3.29%), similar to the generalists of NR, there are also three nodes associated with the phylum Proteobacteria (OTU_55, OTU_2, and OTU_71), and the other two key species are in the phyla Actinobacteria (OTU_303) and Bacteroidetes (OTU_235); Similarly, in the HNR network, there are four key species nodes, two in the phylum Acidobacteria (OTU_236 and OTU_64), one in the phylum Rokubacteria (OTU_81), and one in the phylum Actinobacteria (OTU_304), accounting for 2.82% of the total number of nodes.
In order to further analyze the important microbial communities in the microbial molecular ecological network, we calculated the degree of the nodes in each module and sorted these sequentially according to the total degree of the module. The module with the highest total degree is assumed to occupy a key position in the network. This module is designated as the core module of the network, the species in which are defined as the core species [49,54]. The distribution of the core species nodes in the network diagram and the tightness of other nodes are shown in Figure 10a.
The analysis of the core modules of each network shows that there are 12 core species, namely, Proteobacteria, Acidobacteria, Actinobacteria, Chloroflexi, Bacteroidetes, Gemmatimonadetes, Firmicutes, Patescibacteria, Entotheonellaeota, Nitrospirae, Rokubacteria, and Verrucomicrobia (Figure 10b). We noted that there are differences in the composition of the core modules of different networks, among which the core species of the PV network belong to eight phyla, 25 (78.13%) of which are in the phyla Proteobacteria, Acidobacteria, and Actinobacteria, which are important phyla in molecular ecological network module connections. Proteobacteria was also identified as a core phylum in the NR, RC, and HNR networks, Acidobacteria and Actinobacteria also occupying important positions, contributing 26, 26, and 28 core species, accounting for 81.25%, 78.79%, and 75.68% of the core species, respectively. However, the highest proportion of core species in PV and NR belong to the phylum Proteobacteria (40.63% and 50%, respectively), whereas the highest proportion in RC are from the phylum Acidobacteria (51.52%), and in HNR, the phyla Proteobacteria (29.73%) and Acidobacteria (32.43%) account for similar proportions.

4. Discussion

4.1. Microbial Community Composition and Structure Analysis

The ecological and physicochemical properties of the soil tend to be adversely modified in areas that have been subjected coal mining activities, which inevitably results in disturbance of the soil microbiota, reducing the diversity of microbial communities and rendering these less able to adapt to environmental change [58]. Different modes to ecological restoration of the land will, to a certain extent, modify or optimize the stressful conditions of the soil environment, resulting in an adaptive shift in the structure and diversity of soil micro-organisms [35,58,59,60].
The reclamation of areas disturbed by coal mining to promote an accelerated improvement in soil ecosystems represents an effective approach for achieving sustainable land-use development. Subsequent to the reclamation of disturbed land in mining areas [61,62], the growth and development of microbial communities in the soil is promoted, and some studies have shown that the post-reclamation abundance of soil microbial communities is significantly different from that of soil undergoing natural recovery [34].
In this study, we found that compared with natural restoration, soil fertility was improved to some extent in response to reclamation restoration. We found that the lowest biodiversity in the RC area, although with a higher number of species, could be mainly attributed to changes in spatial heterogeneity and a lower number of species in response to reclamation-induced environmental change. Conversely, the relative abundance of species was increased in response to the removal of environmental stress, with certain strains of bacteria adapted to the environment being stimulated [63,64]. Principal co-ordinate analysis (PCoA) conducted at the genus level revealed significant differences between RC and other zones. It has been previously noted that the status of Proteobacteria as the most abundant phylum remained unchanged with a prolongation of soil reclamation [33]. In the present study, we found that the relative abundance of Proteobacteria in the RC zone was the highest among the four study areas, which is also related to the fact that the area is located in a high wind-depleted sandy area, with a dry and windy climate, resulting in a high porosity of the soil and good aeration, which would account for the widespread distribution and dominance of the Proteobacteria, a phylum rich in aerobic bacteria [49]. Bacteroidetes is an important dominant phylum in agricultural soils, the species of which are considered to be specialized in the degradation of organic matter in the form of polysaccharides and proteins and can be used as sensitive biological indicators in agricultural soils [65]. We found that the relative abundance of Bacteroidetes in RC soil was higher than that in the other study areas and significantly higher than that in the PV and HNR zones, thereby indicating that reclamation stimulated an increase in the relative abundance of Bacteroidetes in the soil, which in turn contributed to an improvement in soil quality. Bacteroidetes is thus considered to have potential utility as a microbiological indicator of the degree of soil recovery after land reclamation.
The construction of photovoltaic parks may have certain impacts on regional microclimate, biodiversity, and ecosystem energy flows [66], and given the high sensitivity of soil micro-organisms to ecosystem change [67], changes in microclimate can directly and indirectly affect the soil micro biosphere and nutrient cycling [68]. Compared with the NR zone, we found that the PV zone was characterized an in increase in soil nutrients, such as nitrogen and phosphorus, and that the soil nitrogen content in this region was the highest among the four assessed. It has been shown that the construction of photovoltaic parks can enhance soil conservation capacity and that there is a significant increase in soil moisture in these areas with increasing time post-construction [69]. However, in the present study, we detected no significant increase in the moisture content of soil in the PV zone compared with that in the area undergoing natural recovery, which can probably be ascribed to the climate of the study area, characterized low precipitation and high evaporation, which would effectively prevent the development of any appreciable differences in soil moisture between the study zones. However, bacteria in the phylum Gemmatimonadetes [70], which are photosynthetic and better adapted to soils with higher water content, were significantly higher (p < 0.05) relative those in the NR zone, which can be attributed to their phototrophic nature and its ability to respond to water. Nevertheless, further study would be necessary to establish whether species in this phylum have potential utility as indicators for soil ecological assessment in photovoltaic areas. It has been suggested that increases in soil moisture and nitrogen content can significantly reduce soil prokaryotic diversity [71], and consistent with this proposition, we found in the present study that PV zone soils contained the lowest number of OTUs and a significantly lower richness index than soil in the natural recovery zone.
Acidobacteria are nutrient-poor micro-organisms, and it has been suggested that an increase in environmental nitrogen promotes an increase in the diversity of Acidobacteria [72]. The highest relative abundance of Acidobacteria and soil N content in the PV zone is consistent with the findings of previous studies and would also explain why the abundance of RB41 (Acidobacteria) was highest in the PV zone, whereas the lowest relative abundance of Acidobacteria in the RC zone could be attributable to the fact that these bacteria grow slowly and under conditions of changing soil nutrients or structure, other micro-organisms would tend to respond more rapidly, thereby replacing Acidobacteria.
The HNR and HR study areas are, respectively, located on a hillside and on a plain, and these two areas are essentially the same in terms of land ecological restoration. The findings of similar previous studies have indicated a positive correlation between soil nutrient contents and topographical factors such as altitude and slope [73,74,75], and consistently, in the present study, we found that the HNR zone had better soil nutrient indicators than the NR zone. Topographical factors, such as altitude, also play an important role in influencing microbial diversity and it has been found that bacterial diversity generally declines with increasing altitude [76]. In the present study, we found that species richness indices and OTU numbers were higher in NR soil than in the HNR soil, consistent with the findings of previous studies. Actinobacteria is an important bacterial phylum in soil ecosystems with good bioremediation potential to improve plant productivity based on the efficient degradation of soil organic matter by these bacteria [77,78]. We found that the relative abundance of Actinobacteria was significantly higher in HNR than in NR soils, whereas we detected no significant difference between the two zones with respect to the other dominant phyla. Redundancy analysis (RDA) revealed that Actinobacteria and Chloroflexi were positively correlated with soil NO3-N. In contrast, the HNR zone had significantly higher nitrogen content (p < 0.05) and higher organic matter than the NR zone, indicating that the distribution of Actinobacteria in this study area may be influenced by both nitrogen content and organic matter.
In terms of abundance, we established that in all four study areas, Actinobacteria were among the top three dominant phyla, indicating that these bacteria are well adapted to the relatively barren and dry land of mining sinkholes in regions of wind-deposited sand, which, given their properties, is considered conducive to the restoration of soil ecosystems in the study area. As the dominant phylum in the study area, some Chloroflexi play a carbon-sequestrating role in the soil environment and contribute to land restoration in the study area [49]. Our genus-level abundance plots indicated that the top 10 genera in terms of relative abundance all belong to dominant phyla, further indicating the importance of dominant phyla in the study area.
On the basis of our LEfSe difference analysis, we established that indicator micro-organisms in the RC study area belong to phyla Proteobacteria, Actinobacteria, Deinococcus-Thermus, and uncultured_bacterium, whereas the indicator species in the NR study area are all from the phylum Proteobacteria. Similarly, indicator species for both the NR and RC study areas belong to the Proteobacteria, although the species differed. Accordingly, given these differences in indicator species profiles, we could, in future studies, examine whether the differences in Proteobacteria between study areas can be used as an important criterion for assessing soil restoration in degraded coal mining areas. Contrastingly, in the HNR zone, only Phormidiaceae (Cyanobacteria) was identified as an indicator species. In soil, Cyanobacteria play important roles in preventing erosion and enhancing soil fertility, both of which would contribute to the restoration of soil [79].

4.2. Soil Microbial Molecular Ecological Networks and Key Species Analysis

The study area has been disturbed by coal mining activities and the ecological and physicochemical properties of the soil have been degraded. Soil microbial communities are typically closely associated with soil properties, and as soils become increasing infertile, the microbial community will become less diverse and less able to adapt to environmental change [80]. On the basis of our RDA analyses (Figure 8), we found that that environmental factor explained more than 50% of the RDA data at both the phylum and genus levels, reaching proportions as high as 88.49% and 91.84%, respectively, and we identified soil nitrate-nitrogen and fast-acting potassium as being the most important factors influencing the bacterial community in the area. These findings thus indicate that soil nutrients play an important dominant role in determining the structural development of microbial communities in the study area [81,82].
In ecosystems, complex network systems evolve through the interactions between species and between species and their environment, and studies have shown that micro-organisms are also encompassed by the molecular ecological network model [81,83]. In the present study, we constructed molecular ecological networks for the soil micro-organisms detected in areas subjected to four different land-use types (Figure 9a). Our analysis of the network parameters (Table 2) revealed that the PV, RC, and HNR study areas are characterized by a larger number of total links and a more complex network structure than the NR study area. A comparison of soil nutrients in each of the study areas (Table 1) indicated that the contents of nitrogen, phosphorus, and organic matter were lower in the NR study area than in the other study areas and could therefore highlight the important role of environmental factors in determining the interconnections between micro-organisms. We found that the proportion of negative links in the PV study area was higher than in other areas (Table 2), thereby signifying a higher proportion of competitive interactions among the soil microbiota. Our findings also indicate that the construction of photovoltaic industrial parks would promote certain changes in soil microclimate by increasing the water and fertility retention of the soil to certain extents and that the competition between species would gradually decline with a prolongation of the time since construction [84]. These findings would thus tend to indicate that the microbial ecosystem in the PV study area is currently in a developmental phase and that the microbial community is in the process of adapting to the changes brought about by the construction of the photovoltaic infrastructure. In addition, we also found that compared with the NR zone, the average path distance and modularity of networks constructed for the PV, RC, and HNR study areas were smaller and the average degree and average clustering coefficient were larger, thereby indicating that the microbial communities in these latter three areas are more sensitive to environmental change. Moreover, these changes in environmental factors will have a more rapid impact on the microbial ecological networks, which will have relatively less ecological stability compared with areas undergoing natural recovery [53,85].
Key groups play important roles in microbial ecological networks and the absence of a key group can lead to changes in microbial structure and function [49]. The construction of molecular ecological networks can facilitate the search for such key groups, and in the present study, we identified key groups for the four study areas based on selected network parameters, including key species nodes identified using Zi-Pi plots (Figure 9b) and species within modules with the highest degree as core species nodes in the network (Figure 10a), which collectively constitute a key group. The analysis of key and core species at the phylum level revealed Proteobacteria, Actinobacteria, and Acidobacteria as phyla occupying significant positions, indicating that these three phyla are not only important dominant groups with respect to the structure of soil microbial communities but also key groups connecting various species and modules within molecular ecological networks, thus playing important roles in the restoration of soil in the study area [36,49].

5. Conclusions

Among the four areas subjected to different restoration treatments, we identified Proteobacteria as the most abundant microbial phylum, and found that these bacteria, along with those in the phyla Actinobacteria and Acidobacteria, play key roles in establishing the stability of ecological networks. Although the soil in the area undergoing natural restoration was found to be relatively poor, the total number of bacterial communities was high and the network structure was the most stable among the four assessed. The construction of a photovoltaic area in the study region has, to some extent, enhanced the soil’s ability to retain water and fertility. However, network analysis revealed that the competition among micro-organisms is higher in these areas than in the others assessed, and the microbial communities here appear to be in the process of adjustment during a period of adaptation. We also established that reclamation has promoted a notable enhancement in soil quality, with a specific increase in the abundance of nutrient-responsive bacterial populations and a tendency toward the development of a complex network structure. Furthermore, although we found that the structure of the bacterial community in the hillside natural recovery zone is similar to that of the natural recovery zone, given the difference in topography between the two areas, the bacterial community of the former area has undergone adaption to the differences in soil nutrients associated with the higher elevation.

Author Contributions

Conceptualization, Y.Y. and Y.G.; methodology, J.W.; software, J.W.; validation, Y.Y. and J.W.; formal analysis, J.W.; investigation, Y.G.; resources, Y.Y.; data curation, J.W.; writing—original draft preparation, J.W.; writing—review and editing, Y.Y.; visualization, J.W.; supervision, Y.Y.; project administration, Y.Y. and Y.G.; funding acquisition, Y.Y. All authors have read and agreed to the published version of the manuscript.

Funding

This paper was supported by the Science and Technology Innovation Projects of Shenhua Shendong Coal Group (202016000041).

Institutional Review Board Statement

Not applicable.

Informed Consent Statement

Not applicable.

Data Availability Statement

Not applicable.

Acknowledgments

All support that was given is covered by the author contributions or funding sections.

Conflicts of Interest

The authors declare no conflict of interest.

References

  1. Ma, S.Y.; De Frenne, P.; Vanhellemont, M.; Wasof, S.; Boeckx, P.; Brunet, J.; Cousins, S.; Decocq, G.; Kolb, A.; Lemke, I.; et al. Local soil characteristics determine the microbial communities under forest understorey plants along a latitudinal gradient. Basic Appl. Ecol. 2019, 36, 34–44. [Google Scholar] [CrossRef]
  2. Cui, H.; Wang, C.H.; Gu, Z.H.; Zhu, H.H.; Fu, S.L.; Yao, Q. Evaluation of soil storage methods for soil microbial community using genetic and metabolic fingerprintings. Eur. J. Soil Biol. 2014, 63, 55–63. [Google Scholar] [CrossRef]
  3. Wagg, C.; Hautier, Y.; Pellkofer, S.; Banerjee, S.; Schmid, B.; van der Heijden, M.G. Diversity and asynchrony in soil microbial communities stabilizes ecosystem functioning. eLife 2021, 10, 62813. [Google Scholar] [CrossRef]
  4. Waldrop, M.P.; Firestone, M.K. Response of microbial community composition and function to soil climate change. Microb. Ecol. 2006, 52, 716–724. [Google Scholar] [CrossRef] [PubMed]
  5. Steinauer, K.; Chatzinotas, A.; Eisenhauer, N. Root exudate cocktails: The link between plant diversity and soil microorganisms? Ecol. Evol. 2016, 6, 7387–7396. [Google Scholar] [CrossRef]
  6. Behera, N.; Sahani, U. Soil microbial biomass and activity in response to Eucalyptus plantation and natural regeneration on tropical soil. For. Ecol. Manag. 2003, 174, 1–11. [Google Scholar] [CrossRef]
  7. Mohseni, N.; Bol, R. Variation in the rate of land subsidence induced by groundwater extraction and its effect on the response pattern of soil microbial communities. Earth Surf. Process. Landf. 2021, 46, 1898–1908. [Google Scholar] [CrossRef]
  8. de Vries, F.T.; Manning, P.; Tallowin, J.R.B.; Mortimer, S.R.; Pilgrim, E.S.; Harrison, K.A.; Hobbs, P.J.; Quirk, H.; Shipley, B.; Cornelissen, J.H.C.; et al. Abiotic drivers and plant traits explain landscape-scale patterns in soil microbial communities. Ecol. Lett. 2012, 15, 1230–1239. [Google Scholar] [CrossRef] [PubMed]
  9. Nunan, N.; Leloup, J.; Ruamps, L.S.; Pouteau, V.; Chenu, C. Effects of habitat constraints on soil microbial community function. Sci. Rep. 2017, 7, 4280. [Google Scholar] [CrossRef]
  10. Balser, T.C.; Firestone, M.K. Linking microbial community composition and soil processes in a California annual grassland and mixed-conifer forest. Biogeochemistry 2005, 73, 395–415. [Google Scholar] [CrossRef]
  11. Widdig, M.; Heintz-Buschart, A.; Schleuss, P.M.; Guhr, A.; Borer, E.T.; Seabloom, E.W.; Spohn, M. Effects of nitrogen and phosphorus addition on microbial community composition and element cycling in a grassland soil. Soil Biol. Biochem. 2020, 151, 108041. [Google Scholar] [CrossRef]
  12. Sanchez, E.; Zabaleta, R.; Fabani, M.P.; Rodriguez, R.; Mazza, G. Effects of the amendment with almond shell, bio-waste and almond shell-based biochar on the quality of saline-alkali soils. J. Environ. Manag. 2022, 318, 115604. [Google Scholar] [CrossRef] [PubMed]
  13. Peng, W.X.; Wang, F.; Song, T.Q.; Tan, Q.J.; Du, H.; Zeng, F.P.; Wang, K.L.; Zhang, H.; Zeng, Z.X. The Biogeography of Forest Soil Microbial Functional Diversity Responds to Forest Types across Guangxi, Southwest China. Forests 2021, 12, 1578. [Google Scholar] [CrossRef]
  14. Liu, Z.F.; Fu, B.J.; Zheng, X.X.; Liu, G.H. Plant biomass, soil water content and soil N, P ratio regulating soil microbial functional diversity in a temperate steppe: A regional scale study. Soil Biol. Biochem. 2010, 42, 445–450. [Google Scholar] [CrossRef]
  15. Fu, D.G.; Wu, X.N.; Duan, C.Q.; Smith, A.R.; Jones, D.L. Traits of dominant species and soil properties co -regulate soil microbial communities across land restoration types in a subtropical plateau region of Southwest China. Ecol. Eng. 2020, 153, 105897. [Google Scholar] [CrossRef]
  16. Yinga, O.E.; Kumar, K.S.; Chowlani, M.; Tripathi, S.K.; Khanduri, V.P.; Singh, S.K. Influence of land-use pattern on soil quality in a steeply sloped tropical mountainous region, India. Arch. Agron. Soil Sci. 2022, 68, 852–872. [Google Scholar] [CrossRef]
  17. Wang, X.; Li, Y.; Wei, Y.; Meng, H.S.; Cao, Y.Z.; Lead, J.R.; Hong, J.P. Effects of fertilization and reclamation time on soil bacterial communities in coal mining subsidence areas. Sci. Total Environ. 2020, 739, 139882. [Google Scholar] [CrossRef]
  18. Liu, X.; Bai, Z.; Zhou, W.; Cao, Y.G.; Zhang, G.J. Changes in soil properties in the soil profile after mining and reclamation in an opencast coal mine on the Loess Plateau, China. Ecol. Eng. 2017, 98, 228–239. [Google Scholar] [CrossRef]
  19. Li, Z.; Wu, S.L.; Zhang, S.W.; Nie, C.J.; Li, Y.; Huang, Y.F. Optimization of Land Reuse Structure in Coal Mining Subsided Areas Considering Regional Economic Development: A Case Study in Pei County, China. Sustainability 2020, 12, 3335. [Google Scholar] [CrossRef]
  20. Hu, T.H.; Chang, J.; Liu, X.X.; Feng, S. Integrated methods for determining restoration priorities of coal mining subsidence areas based on green infrastructure: A case study in the Xuzhou urban area, of China. Ecol. Indic. 2018, 94, 164–174. [Google Scholar] [CrossRef]
  21. Zhu, M.; Bazail, N.A.; Li, X.L.; Huang, M.; Hui, W. Research on wetland ecological restoration of coal mining subsidence area in Suzhou, China. Fresenius Environ. Bull. 2017, 26, 5177–5183. [Google Scholar]
  22. Yao, X.M.; Cui, X. Agricultural suitability assessment and rehabilitation of subsided coal mines: A case study of the Dawu coal mine in Jiangsu, Eastern China. Geosci. Lett. 2021, 8, 28. [Google Scholar] [CrossRef]
  23. Ayala-Orozco, B.; Gavito, M.E.; Mora, F.; Siddique, I.; Balvanera, P.; Jaramillo, V.J.; Cotler, H.; Romero-Duque, L.P.; Martínez-Meyer, E. Resilience of soil properties to land-use change in a tropical dry forest ecosystem. Land Degrad. Dev. 2018, 29, 315–325. [Google Scholar] [CrossRef]
  24. Van der Heijden, M.; Bardgett, R.D.; Van Straalen, N.M. The unseen majority: Soil microbes as drivers of plant diversity and productivity in terrestrial ecosystems. Ecol. Lett. 2008, 11, 296–310. [Google Scholar] [CrossRef] [PubMed]
  25. Liu, J.G. Study on Measures for Restoration and Management of Mine Geological Environment in Coal Mining Subsidence Area. Huabei Nat. Resour. 2017, 3, 118–121. [Google Scholar]
  26. Cheng, W.; Bian, Z.F.; Dong, J.H.; Lei, S.G. Soil properties in reclaimed farmland by filling subsidence basin due to underground coal mining with mineral wastes in China. Trans. Nonferrous Met. Soc. China 2014, 24, 2627–2635. [Google Scholar] [CrossRef]
  27. Wright, I.A.; McCarthy, B.; Belmer, N.; Price, P. Subsidence from an underground coal mine and mine wastewater discharge causing water pollution and degradation of aquatic ecosystems. Water Air Soil Pollut. 2015, 226, 348. [Google Scholar] [CrossRef]
  28. Bi, Y.L. Research advance of application of arbuscular mycorrhizal fungi to ecological remediation in subsided land of coal mining areas. Mycosystema 2017, 36, 800–806. [Google Scholar]
  29. Ma, J.; Gonzalez-Ollauri, A.; Zhang, Q.; Xiao, D.; Chen, F. Ecological network analysis to assess the restoration success of disturbed mine soil in Zoucheng, China. Land Degrad. Dev. 2021, 32, 5393–5411. [Google Scholar] [CrossRef]
  30. Ezeokoli, O.T.; Mashigo, S.K.; Paterson, D.G.; Bezuidenhout, C.C.; Adeleke, R.A. Microbial community structure and relationship with physicochemical properties of soil stockpiles in selected South African opencast coal mines. Soil Sci. Plant Nutr. 2019, 65, 332–341. [Google Scholar] [CrossRef]
  31. Ezeokoli, O.T.; Bezuidenhout, C.C.; Maboeta, M.S.; Khasa, D.P.; Adeleke, R.A. Structural and functional differentiation of bacterial communities in post-coal mining reclamation soils of South Africa: Bioindicators of soil ecosystem restoration. Sci. Rep. 2020, 10, 1759. [Google Scholar] [CrossRef] [PubMed]
  32. Hou, H.P.; Wang, C.; Ding, Z.Y.; Zhang, S.L.; Yang, Y.J.; Ma, J.; Chen, F.; Li, J.R. Variation in the Soil Microbial Community of Reclaimed Land over Different Reclamation Periods. Sustainability 2018, 10, 2286. [Google Scholar] [CrossRef]
  33. Liu, Y.; Lei, S.G.; Gong, C.G. Comparison of plant and microbial communities between an artificial restoration and a natural restoration topsoil in coal mining subsidence area. Environ. Earth Sci. 2019, 78, 204. [Google Scholar] [CrossRef]
  34. Tan, M.; Zhou, X.; Li, G.; Ge, M.Y. Soil characteristics and microbial responses in post-mine reclamation areas in a typical resource-based city, China. J. Environ. Manag. 2021, 29, 273–286. [Google Scholar] [CrossRef]
  35. Brooks, J.P.; Adeli, A.; Smith, R.K.; McGrew, R.; Lang, D.J.; Read, J.J. Bacterial Community Structure Recovery in Reclaimed Coal Mined Soil under Two Vegetative Regimes. J. Environ. Qual. 2019, 48, 1029–1037. [Google Scholar] [CrossRef]
  36. Li, P.F.; Zhang, X.C.; Hao, M.D.; Cui, Y.X.; Zhu, S.L.; Zhang, Y.J. Effects of Vegetation Restoration on Soil Bacterial Communities, Enzyme Activities, and Nutrients of Reconstructed Soil in a Mining Area on the Loess Plateau, China. Sustainability 2019, 11, 2295. [Google Scholar] [CrossRef]
  37. Rodriguez, L.; Ruiz, E.; Alonso-Azcarate, J.; Rincón, J. Heavy metal distribution and chemical speciation in tailings and soils around a Pb-Zn mine in Spain. J. Environ. Manag. 2009, 90, 1106–1116. [Google Scholar] [CrossRef]
  38. Fan, D.; Zhang, Y.; Qin, S.; Wu, B. Relationships between Artemisia ordosica communities and environmental factors following sand-dune stabilization in the Mu Us desert, northwest China. J. For. Res. 2017, 28, 115–124. [Google Scholar] [CrossRef]
  39. Olsen, S.R. Estimation of Available Phosphorus in Soils by Extraction with Sodium Bicarbonate (No. 939); Department of Agriculture: Washington, DC, USA, 1954.
  40. Fu, S.F.; He, S.; Shi, X.S.; Katukuri, N.R.; Dai, M.; Guo, R.B. The chemical properties and microbial community characterization of the thermophilic microaerobic pretreatment process. Bioresour. Technol. 2015, 198, 497–502. [Google Scholar] [CrossRef]
  41. Koistinen, J.; Sjoblom, M.; Spilling, K. Total Nitrogen Determination by a Spectrophotometric Method. Methods Mol. Biol. 2020, 1980, 81–86. [Google Scholar]
  42. Zhou, S.L.; Sun, Y.; Yue, G.C.; Zhang, H.; Wang, Z.Q.; Liu, S.C.; Peng, R.Z.; Yuan, S.C.; Li, Z.X.; Cui, J.S. Spatial Distribution Characteristics and Driving Factors of Aerobic Denitrification Bacterial Community Structure from Baiyangdian Lake in Xiong’an New Area During the Winter Freezing Period. Environ. Sci. 2020, 41, 11. [Google Scholar]
  43. Zhang, Z.W.; Gen, Z.Y.; Zhang, T.N.; Zhou, S.L.; Cui, J.S.; Luo, X. Spatiotemporal characteristics and key driving factors of microbial community evolution based on high-throughput absolute quantification sequencing in the Gangnan Reservoir. Acta Sci. Circumstantiae 2022, 42, 16. [Google Scholar]
  44. Chen, Z.J.; Lin, L.N.; Li, Y.J.; Chen, Y.; Zhang, H.; Han, H.; Wu, N.C.; Nicola, F.; Li, Y.Y.; Ren, X.M. Shifts in Rhizosphere Bacterial Community Structure, Co-occurrence Network, and Function of Miscanthus Following Cadmium Exposure. Environ. Sci. 2021, 42, 8. [Google Scholar]
  45. Deng, Y.; Jiang, Y.H.; Yang, Y.F.; He, Z.L.; Luo, F.; Zhou, J.Z. Molecular ecological network analyses. BMC Bioinform. 2012, 13, 113. [Google Scholar] [CrossRef] [PubMed]
  46. Zhou, J.; Deng, Y.; Luo, F.; He, Z.L.; Tu, Q.C.; Zhi, X.Y. Functional Molecular Ecological Networks. mBio 2010, 1, e00169-10. [Google Scholar] [CrossRef] [PubMed]
  47. Deng, Y.; Zhang, P.; Qin, Y.J.; Tu, Q.C.; Yang, Y.F.; He, Z.L.; Schadt, C.W.; Zhou, J.Z. Network succession reveals the importance of competition in response to emulsified vegetable oil amendment for uranium bioremediation. Environ. Microbiol. 2016, 18, 205–218. [Google Scholar] [CrossRef] [PubMed]
  48. Tya, B.; Jxab, C.; Zzb, C.; Ywa, B. Effects of biochar-based fertilizer on soil bacterial network structure in a karst mountainous area—ScienceDirect. Catena 2021, 206, 105535. [Google Scholar]
  49. Ma, J.; Lu, Y.Q.; Zhang, Q.; Li, X.X.; Xiao, D.; Chen, F. Effects of Coal Mining Subsidence on Soil Microbial Community in the Loess Plateau. Acta Pedol. Sin. 2021, 58, 11. [Google Scholar]
  50. Newman, M.E.J. Modularity and community structure in networks. Proc. Natl. Acad. Sci. USA 2006, 103, 8577–8582. [Google Scholar] [CrossRef]
  51. Zhou, J.; Deng, Y.; Luo, F.; He, Z.L.; Yang, Y.F. Phylogenetic Molecular Ecological Network of Soil Microbial Communities in Response to Elevated CO2. Mbio 2011, 2, e00122-11. [Google Scholar] [CrossRef]
  52. Berry, D.; Widder, S. Deciphering microbial interactions and detecting keystone species with co-occurrence networks. Front. Microbiol. 2014, 5, 219. [Google Scholar] [CrossRef]
  53. Li, B.; Li, Y.S.; Wei, J.B.; Song, Y.X.; Shi, R.J.; Hou, Y.X.; Liu, S.Y. Effects of Different Land Use Typess on the Molecular Ecological Network of Soil Bacteria. Environ. Sci. 2020, 41, 10. [Google Scholar]
  54. Zhang, Z.C.; Yang, J.Y.; Hao, B.H.; Hao, L.J.; Luo, J.Q.; Li, X.; Diao, F.W.; Zhang, J.X.; Guo, W. Potential of Arbuscular Mycorrhizal Fungi, Biochar, and Combined Amendment on Sandy Soil Improvement Driven by Microbial Community. Environ. Sci. 2021, 42, 2066–2079. [Google Scholar]
  55. Luo, C.; Rodriguez-R, L.M.; Johnston, E.R.; Wu, L.; Cheng, L.; Xue, K.; Tu, Q.; Deng, Y.; He, Z.; Shi, J.Z.; et al. Soil microbial community responses to a decade of warming as revealed by comparative metagenomics. Appl. Environ. Microbiol. 2014, 80, 1777. [Google Scholar] [CrossRef] [PubMed]
  56. Tan, L.; Gu, S.; Li, S.; Ren, Z.H.; Deng, Y.; Liu, Z.H.; Gong, Z.H.; Xiao, W.J.; Hu, Q.L. Responses of Microbial Communities and Interaction Networks to Different Management Practices in Tea Plantation Soils. Sustainability 2019, 11, 4428. [Google Scholar] [CrossRef]
  57. Gu, S.S.; Hu, Q.L.; Cheng, Y.Q.; Bai, L.Y.; Liu, Z.H.; Xiao, W.J.; Gong, Z.H.; Wu, Y.N.; Feng, K.; Deng, Y.; et al. Application of organic fertilizer improves microbial community diversity and alters microbial network structure in tea (Camellia sinensis) plantation soils. Soil Tillage Res. 2019, 195, 104356. [Google Scholar] [CrossRef]
  58. Chen, M.L.; Zeng, Q.C.; Huang, Y.M.; Ni, Y.X. Effects of the Farmland-to-Forest/Grassland Conversion Program on the Soil Bacterial Community in the Loess Hilly Region. Environ. Sci. 2018, 39, 1824–1832. [Google Scholar]
  59. Huang, J.Y.; Li, C.X. Main factors of soil microbial diversity and their effect on cropland. J. Henan Univ. Sci. Technol. (Agric. Sci.) 2004, 24, 10–13. [Google Scholar]
  60. Ma, J.; Nergui, S.; Han, Z.; Huang, G.N.; Li, H.R.; Zhang, R.; Zhu, L.Y.; Liao, J.F. The Variation of the Soil Bacterial and Fungal Community Is Linked to Land Use Types in Northeast China. Sustainability 2019, 11, 3286. [Google Scholar] [CrossRef]
  61. Ma, J.; Lu, Y.; Chen, F.; Li, X.X.; Xiao, D.; Wang, H. Molecular Ecological Network Complexity Drives Stand Resilience of Soil Bacteria to Mining Disturbances among Typical Damaged Ecosystems in China. Microorganisms 2020, 8, 433. [Google Scholar] [CrossRef] [PubMed]
  62. Li, J.; Xin, Z.; Yan, J.; Li, H.; Chen, J.; Ding, G. Physicochemical and microbiological assessment of soil quality on a chronosequence of a mine reclamation site. Eur. J. Soil Sci. 2018, 69, 1056–1067. [Google Scholar] [CrossRef]
  63. Yuan, C.Y.; Li, F.Y.; Yuan, Z.Q.; Li, G.Y.; Liang, X.Q. Response of bacterial communities to mining activity in the alpine area of the Tianshan Mountain region, China. Environ. Sci. Pollut. Res. 2021, 28, 15806–15818. [Google Scholar] [CrossRef]
  64. Ma, J.; Dong, W.X.; Zhu, Y.F.; Xiao, D.; Cheng, F. Characteristics and Assembly Process of Reclaimed Soil Microbial Communities in Eastern Plain Mining Areas. Environ. Sci. 2022, 43, 3844–3853. [Google Scholar]
  65. Wolinska, A.; Kuzniar, A.; Zielenkiewicz, U.; Izak, Z.; Szafranek-Nakonieczna, A.; Banach, A.; Błaszczyk, M. Bacteroidetes as a sensitive biological indicator of agricultural soil usage revealed by a culture-independent approach. Appl. Soil Ecol. 2017, 119, 128–137. [Google Scholar] [CrossRef]
  66. Armstrong, A.; Waldron, S.; Whitaker, J.; Ostle, N.J. Wind farm and solar park effects on plant-soil carbon cycling: Uncertain impacts of changes in ground-level microclimate. Glob. Chang. Biol. 2014, 20, 1699–1706. [Google Scholar]
  67. Schlesinger, W.H.; Dietze, M.C.; Jackson, R.B.; Phillips, R.P.; Rhoades, C.C.; Rustad, L.E.; Vose, J.M. Forest biogeochemistry in response to drought. Glob. Chang. Biol. 2016, 22, 2318–2328. [Google Scholar] [CrossRef]
  68. Classen, A.T.; Sundqvist, M.K.; Henning, J.A.; Newman, G.S.; Moore, J.A.M.; Cregger, M.A.; Moorhead, L.C.; Patterson, C.M. Direct and indirect effects of climate change on soil microbial and soil microbial-plant interactions: What lies ahead? Ecosphere 2015, 6, 1–21. [Google Scholar] [CrossRef]
  69. Baharin, K.A.; Rahman, H.A.; Hassan, M.Y.; Gan, C.K. Short-term forecasting of solar photovoltaic output power for tropical climate using ground-based measurement data. J. Renew. Sustain. Energy 2016, 8, 053701. [Google Scholar]
  70. Wang, J.N.; Wang, J.J.; Zhang, Z.; Li, Z.F.; Zhang, Z.G.; Zhao, D.C.; Wang, L.D.; Lu, F.; Li, Y.Z. Shifts in the Bacterial Population and Ecosystem Functions in Response to Vegetation in the Yellow River Delta Wetlands. Msystems 2020, 5, e00412-20. [Google Scholar] [PubMed]
  71. Li, J.; Yang, C.; Zhou, H.; Shao, S.Q. Responses of plant diversity and soil microorganism diversity to water and nitrogen additions in the Qinghai-Tibetan Plateau. Glob. Ecol. Conserv. 2020, 22, e01003. [Google Scholar]
  72. Magill, A.H.; Aber, J.D. Variation in soil net mineralization rates with dissolved organic carbon additions. Soil Biol. Biochem. 2000, 32, 597–601. [Google Scholar] [CrossRef]
  73. Guo, P.T.; Wu, W.; Liu, H.B.; Li, M.F. Effects of land use and topographical attributes on soil properties in an agricultural landscape. Soil Res. 2011, 49, 606–613. [Google Scholar] [CrossRef]
  74. Keshavarzi, A.; Sarmadian, F.; Omran, E.; Iqbal, M. A neural network model for estimating soil phosphorus using terrain analysis. Egypt. J. Remote Sens. Space Sci. 2015, 18, 127–135. [Google Scholar] [CrossRef]
  75. Yan, P.; Lin, K.R.; Yu, C.X.; Tu, X.J. Spatial Variability of Soil Phosphorus and Potassium and Its Influencing Factors in the Fragile Red Beds Ecosystem in Southern China. Pol. J. Environ. Stud. 2021, 30, 5307–5315. [Google Scholar] [CrossRef]
  76. Siles, J.A.; Margesin, R. Abundance and Diversity of Bacterial, Archaeal, and Fungal Communities along an Altitudinal Gradient in Alpine Forest Soils: What Are the Driving Factors? Microb. Ecol. 2016, 72, 207–220. [Google Scholar] [CrossRef] [PubMed]
  77. Araujo, R.; Gupta VV, S.R.; Reith, F.; Reith, F.; Bissett, A.; Mele, P.; Franco, C.M.M. Biogeography and emerging significance of Actinobacteria in Australia and Northern Antarctica soils. Soil Biol. Biochem. 2020, 146, 107805. [Google Scholar] [CrossRef]
  78. Polti, M.A.; Daniel Aparicio, J.; Benimeli, C.S.; Amoroso, M.J. Simultaneous bioremediation of Cr (VI) and lindane in soil by actinobacteria. Int. Biodeterior. Biodegrad. 2014, 88, 48–55. [Google Scholar] [CrossRef]
  79. Roman, J.R.; Chilton, A.M.; Canton, Y.; Muñoz-Rojas, M. Assessing the viability of cyanobacteria pellets for application in arid land restoration. J. Environ. Manag. 2020, 270, 110795. [Google Scholar] [CrossRef] [PubMed]
  80. Meng, H.Q.; Xiong, R.P.; Wang, C.; Gao, C.L. Spatial Variability of Soil Moisture, Organic Matter Content and Soil Texture in Coal Mining Subsidence Area as Affected by Land Use. Acta Petrol. Sin. 2018, 55, 12. [Google Scholar]
  81. Yan, T.T.; Xue, J.H.; Zhou, Z.D.; Wu, Y.B. Biochar-based fertilizer amendments improve the soil microbial community structure in a karst mountainous area. Sci. Total Environ. 2021, 794, 148757. [Google Scholar] [CrossRef] [PubMed]
  82. Sun, J.; Yang, L.; Wei, J.; Quan, J.; Yang, X. The responses of soil bacterial communities and enzyme activities to the edaphic properties of coal mining areas in Central China. PLoS ONE 2020, 15, e0231198. [Google Scholar] [CrossRef] [PubMed]
  83. Peura, S.; Bertilsson, S.; Jones, R.I.; Eiler, A. Resistant microbial cooccurrence patterns inferred by network topology. Appl. Environ. Microbiol. 2015, 81, 2090–2097. [Google Scholar] [CrossRef] [PubMed]
  84. Wang, Z.Y.; Wang, J.; Gao, Y.; Dang, X.H.; Meng, Z.J. Impacts of photovoltaic power station construction on Ecology Environment in sandy area. Bull. Soil Water Conserv. 2019, 39, 191–196. [Google Scholar]
  85. Wang, Y.; Zhang, R.; Zheng, Q.; Deng, Y.; Van, N.J.; Zhou, J.Z.; Jiao, N.Z. Bacterioplankton community resilience to ocean acidification: Evidence from microbial network analysis. ICES J. Mar. Sci. 2016, 73, 865–875. [Google Scholar] [CrossRef]
Figure 1. Logic diagram of the present research.
Figure 1. Logic diagram of the present research.
Processes 10 02013 g001
Figure 2. The study area and distribution of sampling sites.
Figure 2. The study area and distribution of sampling sites.
Processes 10 02013 g002
Figure 3. Diversity index analysis for different sampling points. (a) The Shannon Wiener diversity Index. (b) The Simpson’s diversity Index. (c) The Sobs richness Index. (d) The ACE richness index. (e) The Chao1 richness index. (f) The Pielou’s evenness Index.
Figure 3. Diversity index analysis for different sampling points. (a) The Shannon Wiener diversity Index. (b) The Simpson’s diversity Index. (c) The Sobs richness Index. (d) The ACE richness index. (e) The Chao1 richness index. (f) The Pielou’s evenness Index.
Processes 10 02013 g003
Figure 4. Statistics of microbial operational taxonomic unit (OTU) classification and taxonomic status identification in the study area (a); Venn diagram of the number of microbial OTUs (b).
Figure 4. Statistics of microbial operational taxonomic unit (OTU) classification and taxonomic status identification in the study area (a); Venn diagram of the number of microbial OTUs (b).
Processes 10 02013 g004
Figure 5. Histogram of community composition structure at the phylum level (a) and genus level (b) in the study area. The different letters indicate significant at p < 0.05.
Figure 5. Histogram of community composition structure at the phylum level (a) and genus level (b) in the study area. The different letters indicate significant at p < 0.05.
Processes 10 02013 g005
Figure 6. Study area based on phylum level (a) and genus level (b) PCoA analysis. Circles indicate 95% confidence intervals.
Figure 6. Study area based on phylum level (a) and genus level (b) PCoA analysis. Circles indicate 95% confidence intervals.
Processes 10 02013 g006
Figure 7. LEfSe analysis of the bacterial community in the study area. The Cladogram show the phylogenetic distribution of micro-organisms.
Figure 7. LEfSe analysis of the bacterial community in the study area. The Cladogram show the phylogenetic distribution of micro-organisms.
Processes 10 02013 g007
Figure 8. Redundancy analysis of the relationships between microbial communities and the physicochemical properties of soil at the phylum (a) and genus (b) levels. Circles indicate 95% confidence intervals.
Figure 8. Redundancy analysis of the relationships between microbial communities and the physicochemical properties of soil at the phylum (a) and genus (b) levels. Circles indicate 95% confidence intervals.
Processes 10 02013 g008
Figure 9. Microbial molecular ecological networks (a) and a Z−P plot (b) at the phylum level in the study area.
Figure 9. Microbial molecular ecological networks (a) and a Z−P plot (b) at the phylum level in the study area.
Processes 10 02013 g009
Figure 10. Histogram of microbial molecular ecological networks based on the core module (a) and the community distribution under the core module phylum (b).
Figure 10. Histogram of microbial molecular ecological networks based on the core module (a) and the community distribution under the core module phylum (b).
Processes 10 02013 g010
Table 1. Soil physicochemical properties under different treatments.
Table 1. Soil physicochemical properties under different treatments.
SampleNO3-N (mg/kg)AN (mg/kg)AP (mg/kg)AK (mg/kg)SOM (g/kg)pHSWC (%)
PV9.50 ± 5.21 a66.34 ± 29.58 a15.99 ± 12.03 a32.05 ± 11.01 b10.85 ± 6.71 a7.76 ± 0.05 a6.10 ± 1.60 a
NR3.68 ± 1.98 b23.69 ± 11.80 b8.61 ± 1.96 a45.50 ± 14.02 b11.38 ± 5.68 a7.77 ± 0.04 a6.25 ± 2.58 a
RC5.74 ± 3.98 ab58.64 ± 26.38 a13.09 ± 8.90 a72.52 ± 47.76 a15.87 ± 4.97 a7.72 ± 0.06 a6.75 ± 1.51 a
HNR7.96 ± 4.15 a57.51 ± 33.93 a18.03 ± 11.10 a33.64 ± 12.14 b14.55 ± 5.28 a7.75 ± 0.07 a7.12 ± 3.09 a
Table 2. Comparison of the topological properties of microbial molecular ecological networks in the study area.
Table 2. Comparison of the topological properties of microbial molecular ecological networks in the study area.
Network ParametersPVNRRCHNR
Similarity thresholds0.80.790.790.79
Total nodes152152152142
Total links502267506476
Positive links340 (67.73%)225 (84.27%)428 (84.58%)370 (77.73%)
Average degree6.6053.5136.6586.704
Average clustering coefficient0.3130.2680.3410.344
Geodesic efficiency0.3330.2650.3530.327
Modularity0.5150.6830.4330.454
Total module18241314
Average path distance3.794.8543.6684.017
Publisher’s Note: MDPI stays neutral with regard to jurisdictional claims in published maps and institutional affiliations.

Share and Cite

MDPI and ACS Style

Guo, Y.; Wu, J.; Yu, Y. Differential Response of Soil Microbial Community Structure in Coal Mining Areas during Different Ecological Restoration Processes. Processes 2022, 10, 2013. https://doi.org/10.3390/pr10102013

AMA Style

Guo Y, Wu J, Yu Y. Differential Response of Soil Microbial Community Structure in Coal Mining Areas during Different Ecological Restoration Processes. Processes. 2022; 10(10):2013. https://doi.org/10.3390/pr10102013

Chicago/Turabian Style

Guo, Yangnan, Junlong Wu, and Yan Yu. 2022. "Differential Response of Soil Microbial Community Structure in Coal Mining Areas during Different Ecological Restoration Processes" Processes 10, no. 10: 2013. https://doi.org/10.3390/pr10102013

APA Style

Guo, Y., Wu, J., & Yu, Y. (2022). Differential Response of Soil Microbial Community Structure in Coal Mining Areas during Different Ecological Restoration Processes. Processes, 10(10), 2013. https://doi.org/10.3390/pr10102013

Note that from the first issue of 2016, this journal uses article numbers instead of page numbers. See further details here.

Article Metrics

Back to TopTop