Factors Associated with Early Intervention Intensity for Children Who Are Deaf or Hard of Hearing
Abstract
:1. Introduction
2. Materials and Methods
2.1. Data Sources
2.2. EI Services
2.3. Statistical Analysis
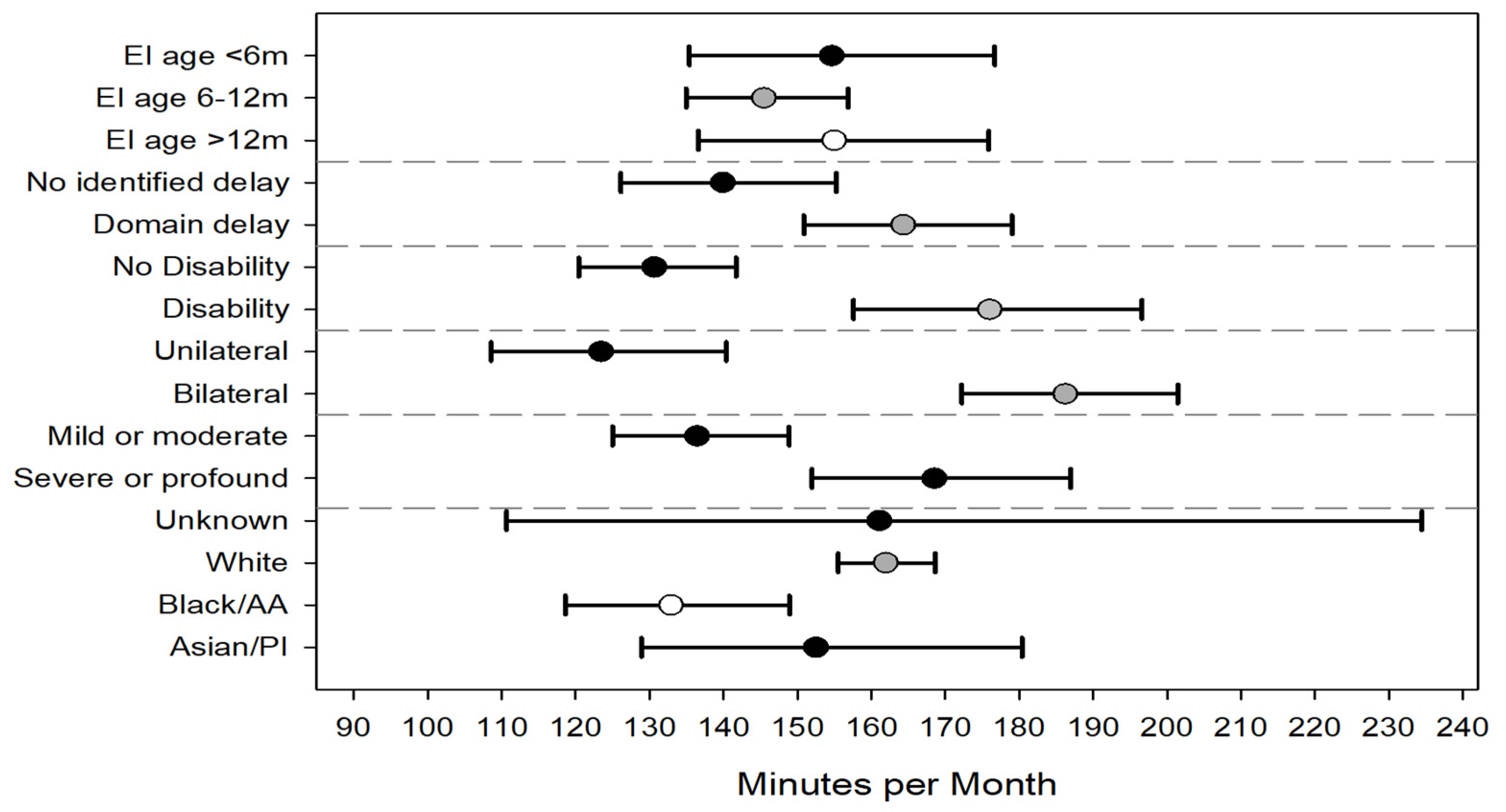
3. Results
3.1. Participants
3.2. Services Received
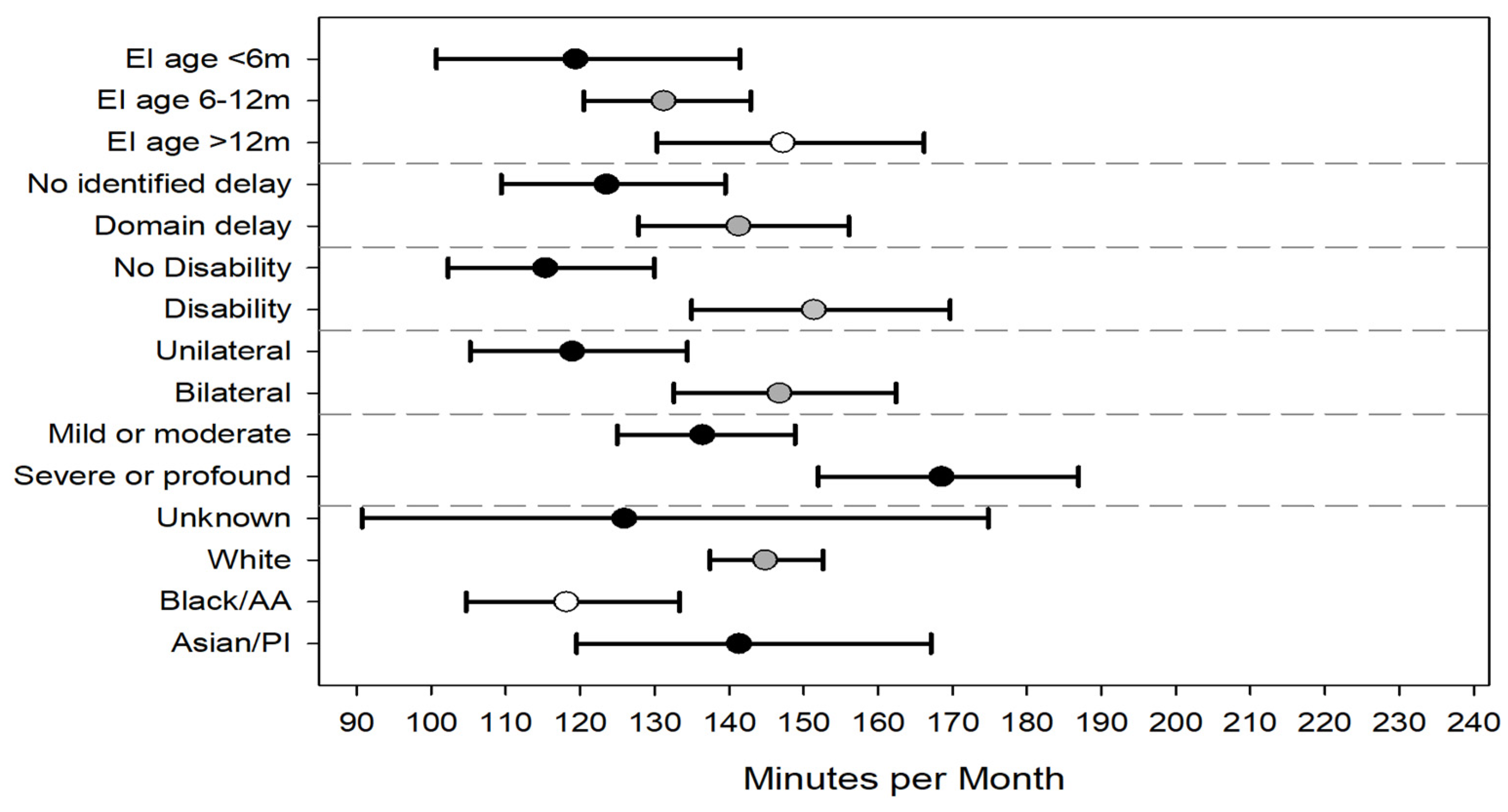
3.3. Service Intensity–All Selected Services
3.4. Service Intensity–DHH Service
4. Discussion
4.1. Factors Associated with Intensity of Services
4.2. Limitations
4.3. Future Directions
Author Contributions
Funding
Institutional Review Board Statement
Informed Consent Statement
Data Availability Statement
Acknowledgments
Conflicts of Interest
Appendix A
| Components |
|---|
| Home-based family support |
| Unbiased parent education on communication choices |
| Assistance with follow-up audiological appointments, and connections to community resources |
| Guidance in communication and language development |
| Opportunities to interact with the D/deaf community |
| Parent-to-parent support |
| Planning for transition to preschool |
Appendix B
| All Common EI Services | DHH Services | |||||||
|---|---|---|---|---|---|---|---|---|
| Variable | 1st Year | All 3 Years | 1st Year | All 3 Years | ||||
| Parameter estimates (SE) | p-value | Parameter estimates (SE) | p-value | Parameter estimates (SE) | p-value | Parameter estimates (SE) | p-value | |
| Age of EI enrollment <6 months 6–12 months >12 months | −0.21 (0.07) −0.11 (0.06) Ref | 0.001 0.046 | −0.002 (0.07) −0.06 (0.06) Ref | 0.98 0.30 | −0.17 (0.06) −0.24 (0.07) Ref | 0.002 0.001 | −0.14 (0.06) −0.18 (0.05) Ref | 0.018 0.0006 |
| Race Asian/PI Black/African American Other/Unknown White | −0.02 (0.09) −0.20 (0.08) −0.14 (0.19) Ref | 0.78 0.01 0.47 | −0.06 (0.10) −0.20 (0.06) −0.01 (0.19) Ref | 0.53 0.0005 0.98 | 0.06 (0.08) −0.002 (0.04) −0.11 (0.03) Ref | 0.48 0.96 0.0008 | 0.009 (0.07) −0.03 (0.04) −0.05 (0.07) Ref | 0.90 0.46 0.42 |
| Delay identified in any domain | 0.13 (0.03) | 0.0001 | 0.16 (0.04) | 0.005 | --- | --- | --- | --- |
| Presence of disability diagnosis | 0.18 (0.06) | 0.003 | 0.30 (0.05) | <0.0001 | --- | --- | --- | --- |
| Laterality Bilateral Unilateral | 0.27 (0.05) Ref | <0.0001 | 0.41 (0.06) Ref | <0.0001 | 0.28 (0.12) Ref | 0.02 | 0.29 (0.11) Ref | 0.007 |
| Degree of hearing loss Severe or profound Mild or moderate | 0.21 (0.04) Ref | <0.0001 | 0.21 (0.04) Ref | <0.0001 | 0.10 (0.04) Ref | 0.02 | 0.10 (0.04) Ref | 0.012 |
References
- Individuals with Disabilities Education Improvement Act of 2004, Public Law No. 108-446, 118 Stat 2647. 2004. Available online: www.copyright.gov/legislation/pl108-446.pdf (accessed on 3 September 2021).
- Congressional Research Service. The Individuals with Disabilities Education Act (IDEA), Part C: Early Intervention for Infants and Toddlers with Disabilities; CRS Report Prepared for Members and Committees of Congress: 2019. Available online: https://sgp.fas.org/crs/misc/R43631.pdf (accessed on 9 September 2021).
- Early Childhood Technical Assistance Center. Part C Infant and Toddler Program Federal Appropriations and National Child Count 1987–2020; FPG Child Development Institute of the University of North Carolina at Chapel Hill: Chapel Hill, NC, USA, 2021. [Google Scholar]
- Ramey, C.T.; Ramey, S.L. Early intervention and early experience. Am. Psychol. 1998, 53, 109–120. [Google Scholar] [CrossRef]
- Center for Disease Control and Prevention. Annual Data: Early Hearing Detection and Intervention (EHDI) Program. 2019 CDC EHDI Hearing Screening & Follow-Up Survey. Available online: https://www.cdc.gov/ncbddd/hearingloss/ehdi-data.html (accessed on 10 September 2021).
- Year 2019 Position Statement: Principles and Guidelines for Early Hearing Detection and Intervention Programs. J. Early Hear. Detect. Interv. 2000, 4, 1–44. [CrossRef]
- Joint Committee on Infant Hearing of the American Academy of Pediatrics; Muse, C.; Harrison, J.; Yoshinaga-Itano, C.; Grimes, A.; Brookhouser, P.E.; Epstein, S.; Buchman, C.; Mehl, A.; Vohr, B.; et al. Supplement to the JCIH 2007 position statement: Principles and guidelines for early intervention after confirmation that a child is deaf or hard of hearing. Pediatrics 2013, 131, e1324–e1349. [Google Scholar] [CrossRef] [Green Version]
- Meinzen-Derr, J.; Wiley, S.; Choo, D.I. Impact of early intervention on expressive and receptive language development among young children with permanent hearing loss. Am. Ann. Deaf. 2011, 155, 580–591. [Google Scholar] [CrossRef] [PubMed]
- Moeller, M.P. Early intervention and language development in children who are deaf and hard of hearing. Pediatrics 2000, 106, E43. [Google Scholar] [CrossRef] [Green Version]
- Yoshinaga-Itano, C.; Sedey, A.L.; Coulter, D.K.; Mehl, A.L. Language of early- and later-identified children with hearing loss. Pediatrics 1998, 102, 1161–1171. [Google Scholar] [CrossRef] [Green Version]
- Yoshinaga-Itano, C.; Sedey, A.L.; Wiggin, M.; Chung, W. Early Hearing Detection and Vocabulary of Children with Hearing Loss. Pediatrics 2017, 140, e20162964. [Google Scholar] [CrossRef] [Green Version]
- Wiggin, M.; Sedey, A.L.; Yoshinaga-Itano, C.; Mason, C.A.; Gaffney, M.; Chung, W. Frequency of Early Intervention Sessions and Vocabulary Skills in Children with Hearing Loss. J. Clin. Med. 2021, 10, 5025. [Google Scholar] [CrossRef]
- Geers, A.E.; Moog, J.S.; Rudge, A.M. Effects of frequency of early intervention on spoken language and literacy levels of children who are deaf or hard of hearing in preschool and elementary school. J. Early Hear. Detect. Interv. 2019, 4, 15–27. [Google Scholar]
- Chu, C.; Dettman, S.; Choo, D. Early intervention intensity and language outcomes for children using coclear implants. Deaf. Educ. Int. 2020, 22, 156–174. [Google Scholar] [CrossRef]
- Folger, A.T.; Wiley, S.E.; VanHorn, A.; Grove, W.; DeDino, N.; Minter-Mohr, M.; Sa, T.; Meinzen-Derr, J. Development of a State-Wide Database of Early Intervention and Educational Outcomes for Children who are Deaf/Hard of Hearing. J. Early Hear. Detect. Interv. 2019, 4, 28–35. [Google Scholar] [CrossRef]
- Meinzen-Derr, J.; Wiley, S.; Grove, W.; Altaye, M.; Gaffney, M.; Satterfield-Nash, A.; Folger, A.T.; Peacock, G.; Boyle, C. Kindergarten Readiness in Children Who Are Deaf or Hard of Hearing Who Received Early Intervention. Pediatrics 2020, 146. [Google Scholar] [CrossRef] [PubMed]
- Watkins, S. (Ed.) SKI-HI Curriculum; Hope Inc.: North Logan, UT, USA, 2004. [Google Scholar]
- Hebbeler, K.; Spiker, D.; Bailey, D.B., Jr.; Scarborough, A.A.; Mallik, S.; Simeonsson, R.J.; Singer, M.; Nelson, L. Early Intervention for Infants and Toddlers with Disabilities and Their Families: Participants, Services and Outcomes; Final Report of the National Early Intervention Longitudinal Study (NEILS); SRI International: Menlo Park, CA, USA, 2007. [Google Scholar]
- Khetani, M.A.; Richardson, Z.; McManus, B.M. Social Disparities in Early Intervention Service Use and Provider-Reported Outcomes. J. Dev. Behav. Pediatr. 2017, 38, 501–509. [Google Scholar] [CrossRef] [PubMed]
- McManus, B.M.; Richardson, Z.; Schenkman, M.; Murphy, N.; Morrato, E.H. Timing and Intensity of Early Intervention Service Use and Outcomes among a Safety-Net Population of Children. JAMA Netw. Open 2019, 2, e187529. [Google Scholar] [CrossRef] [PubMed] [Green Version]
- Richardson, Z.S.; Scully, E.A.; Dooling-Litfin, J.K.; Murphy, N.J.; Rigau, B.; Khetani, M.A.; McManus, B.M. Early Intervention Service Intensity and Change in Children’s Functional Capabilities. Arch. Phys. Med. Rehabil. 2020, 101, 815–821. [Google Scholar] [CrossRef]
- Hallam, R.; Rous, B.; Grove, J.; LoBianco, T. Level and Intensity of Early Intervention Services for Infants and Toddlers wtih Disabilities. J. Early Interv. 2009, 31, 179–196. [Google Scholar] [CrossRef]
- Woodman, A.C.; Demers, L.; Crossman, M.K.; Warfield, M.E.; Hauser-Cram, P. Part C Early Intervention dosage and growth in adaptive skills from early childhood through adolescence. Early Child. Res. Q. 2018, 43, 73–82. [Google Scholar] [CrossRef]
- Aaron, C.; Chiarello, L.A.; Palisano, R.J.; Gracely, E.; O’Neil, M.; Kolobe, T. Relationships among family participation, team support, and intensity of early intervention services. Phys. Occup. Ther. Pediatr. 2014, 34, 343–355. [Google Scholar] [CrossRef]
- Holstrum, W.J.; Gaffney, M.; Gravel, J.S.; Oyler, R.F.; Ross, D.S. Early intervention for children with unilateral and mild bilateral degrees of hearing loss. Trends Amplif. 2008, 12, 35–41. [Google Scholar] [CrossRef] [Green Version]
- Fitzpatrick, E.M.; Coyle, D.; Gaboury, I.; Durieux-Smith, A.; Whittingham, J.; Grandpierre, V.; Na, E.; Salamatmanesh, M. Service Preferences of Parents of Children With Mild Bilateral or Unilateral Hearing Loss: A Conjoint Analysis Study. Ear Hear. 2019, 40, 671–679. [Google Scholar] [CrossRef] [Green Version]
- Kim, C.; Disare, K.; Pfeiffer, M.; Kerker, B.D.; McVeigh, K.H. Effects of individual and neighborhood characteristics on the timeliness of provider designation for early intervention services in New York City. J. Dev. Behav. Pediatr. 2009, 30, 38–49. [Google Scholar] [CrossRef] [PubMed]
- Bailey, D.B., Jr.; Hebbeler, K.; Spiker, D.; Scarborough, A.; Mallik, S.; Nelson, L. Thirty-six-month outcomes for families of children who have disabilities and participated in early intervention. Pediatrics 2005, 116, 1346–1352. [Google Scholar] [CrossRef] [PubMed]
- Barfield, W.D.; Clements, K.M.; Lee, K.G.; Kotelchuck, M.; Wilber, N.; Wise, P.H. Using linked data to assess patterns of early intervention (EI) referral among very low birth weight infants. Matern. Child Health J. 2008, 12, 24–33. [Google Scholar] [CrossRef] [PubMed]
- Feinberg, E.; Silverstein, M.; Donahue, S.; Bliss, R. The impact of race on participation in part C early intervention services. J. Dev. Behav. Pediatr. 2011, 32, 284–291. [Google Scholar] [CrossRef] [Green Version]
- Feinberg, E.; Smith, M.V.; Naik, R. Ethnically diverse mothers’ views on the acceptability of screening for maternal depressive symptoms during pediatric well-child visits. J. Health Care Poor Underserved 2009, 20, 780–797. [Google Scholar] [CrossRef]
- Heneghan, A.M.; Mercer, M.; DeLeone, N.L. Will mothers discuss parenting stress and depressive symptoms with their child’s pediatrician? Pediatrics 2004, 113, 460–467. [Google Scholar] [CrossRef]
- Meinzen-Derr, J.; Altaye, M.; Grove, W.; Folger, A.T.; Wiley, S. Association of Age of Enrollment in Early Intervention with Emergent Literacy in Children Who Are Deaf or Hard of Hearing. J. Dev. Behav. Pediatr. 2021, 35, 148–153. [Google Scholar] [CrossRef]






| Characteristic | Total N = 1262 |
|---|---|
| Gender–Female | 578 (45.8%) |
| Race | |
| Black/African American | 155 (12.3%) |
| White | 967 (76.6%) |
| Asian/Pacific Islander | 30 (2.4%) |
| Other/Unknown | 110 (8.7%) |
| Hispanic ethnicity Unknown ethnicity | 56 (4.4%) 101 (8.0%) |
| Premature birth | 270 (21.4%) |
| Private insurance Unknown | 600 (47.5%) 115 (9.1%) |
| Higher maternal education 1 Unknown | 712 (56.4%) 132 (10.5%) |
| Higher paternal education 1 Unknown | 568 (45%) 297 (23.5%) |
| Presence of a disability diagnosis | 323 (25.6%) |
| Bilateral hearing loss | 954 (75.6%) |
| Severe or profound hearing loss | 445 (35.3%) |
| Has at least one risk indicator for hearing loss | 507 (40.2%) |
| Age confirmed hearing loss | 3.9 (1.9–9.0) |
| Age enrollment into EI | 5.3 (3.2–9.3) |
| Age at EI enrollment | |
| <6 months | 713 (56.5%) |
| 6 to <12 months | 310 (24.6%) |
| ≥12 months | 239 (18.9%) |
| Characteristic | N = 1262 |
|---|---|
| Child has identified skill delays 1 | |
| Communication | 354 (28.1%) |
| Cognitive | 165 (13.1%) |
| Motor | 214 (17%) |
| Social | 92 (7.3%) |
| Adaptive | 156 (12.4%) |
| In any domain | 417 (33.0%) |
| Identified skill delay in any domain in first year | 356 (28.2%) |
| Has a documented diagnosed disability (on physician form) | 323 (25.6%) |
| Number of common EI services received in year 1 | |
| 1 | 60 (4.8%) |
| 2 | 261 (20.7%) |
| 3 | 355 (28.1%) |
| 4 or more | 586 (46.4%) |
| Number of common 2 EI services received over entire EI | |
| 1 | 45 (3.6%) |
| 2 | 180 (14.3%) |
| 3 | 277 (22%) |
| 4 or more | 760 (60.2%) |
| Cumulative hours of total core service over entire EI, Median (interquartile range) Mean (SD) | 56.8 (28.4–111.7) 99.4 (157.0) |
| At 1st IFSP | p 1 | In 1st Year | p1 | Across All Years | p 1 | |
|---|---|---|---|---|---|---|
| For all children | 73.3 (48.0–126.7) | 121.2 (75.6–204.6) | 138.1 (82.3–262.1) | |||
| Age of EI enrollment | 0.041 | 0.055 | 0.40 | |||
| <6 months (n = 713) | 70.9 (46.2–120.0) | 118.4 (75.3–187.0) | 142.5 (85.1–268.4) | |||
| 6 to <12 months (n = 310) | 80.3 (50.3–140.3) | 130.1 (79.6–225.9) | 136.0 (81.1–258.7) | |||
| ≥12 months (n = 239) | 70.9 (45.0–135.4) | 128.7 (70.9–242.8) | 134.2 (70.9–256.0) | |||
| Race | <0.0001 | 0.13 | 0.20 | |||
| Black/African American | 60.0 (30.4–98.8) | 111.2 (65.9–168.5) | 132.7 (69.5–214.7) | |||
| White | 80.3 (50.7–129.2) | 123.3 (79.5–207.6) | 141.0 (85.3–273.8) | |||
| Asian/Pacific Islander | 68.0 (45.6–130.9) | 109.2 (70.1–180.0) | 127.7 (76.7–262.1) | |||
| Other/Unknown | 74.9 (50.7–146.9) | 122.9 (70.9–229.0) | 138.9 (78.9–263.9) | |||
| Ethnicity | 0.29 | 0.13 | 0.22 | |||
| Hispanic | 65.4 (27.6–120.0) | 95.1 (59.3–188.3) | 132.7 (72.0–240.2) | |||
| Non-Hispanic | 72.6 (48.1–122.4) | 122.3 (77.1–204.0) | 140.3 (84.3–265.5) | |||
| Gestation | 0.42 | 0.007 | 0.002 | |||
| Premature | 70.1 (38.8–130.1) | 138.9 (84.9–230.9) | 156.4 (100.2–283.8) | |||
| Term | 73.5 (49.7–120.9) | 119.5 (73.5–193.6) | 132.8 (79.6–255.6) | |||
| Insurance status (at birth) | 0.27 | 0.31 | 0.22 | |||
| Has private insurance | 71.8 (48.1–120.0) | 119.5 (75.3–192.8) | 132.2 (81.0–263.4) | |||
| Has public insurance | 70.9 (46.4–131.7) | 123.4 (77.1–210.0) | 142.3 (86.2–270.6) | |||
| Hearing loss risk indicator | 0.003 | 0.036 | 0.0001 | |||
| Has risk indicator | 67.6 (35.5–124.1) | 126.7 (79.7–233.1) | 157.8 (90.0–303.1) | |||
| No risk indicator | 80.3 (50.7–130.0) | 120.0 (71.5–189.3) | 128.6 (77.7–240.1) | |||
| Maternal education level | 0.04 | 0.19 | 0.19 | |||
| Some college | 70.9 (45.6–120.0) | 118.6 (74.3–205.5) | 132.9 (79.4–261.1) | |||
| Less than college | 81.1 (50.4–131.7) | 127.0 (80.6–204.3) | 145.0 (90.4–270.8) | |||
| Paternal education level | 0.0002 | 0.003 | 0.004 | |||
| Some college | 70.1 (45.6–120.0) | 116.0 (71.3–188.5) | 128.2 (77.1–251.4) | |||
| Less than college | 84.4 (55.7–140.1) | 130.9 (86.2–223.7) | 154.4 (92.9–288.3) | |||
| Degree of hearing loss | 0.24 | 0.0004 | 0.0002 | |||
| Severe or profound | 76.4 (49.4–135) | 132.7 (87.1–230.2) | 160.0 (96.4–289.1) | |||
| Mild or moderate | 70.9 (46.8–120) | 118.1 (70.9–189.0) | 130.1 (77.7–246.7) | |||
| Laterality | 0.002 | <0.0001 | <0.0001 | |||
| Bilateral | 80.3 (50.3–130.1) | 128.8 (81.7–212.4) | 153.0 (91.1–293.0) | |||
| Unilateral | 60.8 (43.9–115.7) | 98.9 (60.8–163.0) | 103.5 (64.6–182.8) | |||
| Presence of disability 2 | 0.18 | 0.02 | <0.0001 | |||
| Yes | 65.9 (40.9–125.1) | 132.7 (80.6–23.1) | 176.4 (99.0–248.1) | |||
| No | 76.4 (50.3–126.7) | 120.0 (72.0–195.5) | 130.1 (79.7–231.6) | |||
| Identified delay in any domain 3 | 0.14 | 0.02 | 0.016 | |||
| Yes | 70.1 (37.8–131.7) | 126.4 (76.1–204.6) | 145.0 (89.7–293.0) | |||
| No | 75.2 (50.7–121.6) | 120.0 (75.3–186.6) | 135.0 (80.8–248.6) |
| At 1st IFSP N = 486 | p 1 | In 1st Year N = 756 | p 1 | Across All Years N = 833 | p 1 | |
|---|---|---|---|---|---|---|
| For all children | 60.0 (45.0–60.0) | 59.1 (45.0–60.0) | 53.0 (42.1–60.0) | |||
| Age of EI enrollment | 0.07 | 0.026 | 0.011 | |||
| <6 months (n = 713) | 60.0 (45.0–60.0) | 59.6 (45.0–60.0) | 52.9 (40.7–60.0) | |||
| 6 to <12 months (n = 310) | 50.7 (38.0–60.0) | 54.5 (41.9–60.0) | 50.8 (41.2–60.0) | |||
| ≥12 months (n = 239) | 60.0 (40.5–60.8) | 60.0 (45.7–76.0) | 60.0 (45.6–76.3) | |||
| Race | 0.73 | 0.99 | 0.87 | |||
| African American/Black | 55.3 (30.4–60.0) | 60.0 (45.0–60.0) | 54.2 (45.0–60.0) | |||
| White | 54.2 (45.0–60.0) | 59.1 (45.0–60.0) | 53.3 (41.6–60.0) | |||
| Asian/Pacific Islander | 50.7 (38.0–60.0) | 50.7 (43.2–60.0) | 50.7 (37.1–60.0) | |||
| Unknown | 50.7 (38.0–60.0) | 58.1 (42.2–60.0) | 52.6 (42.9–60.0) | |||
| Ethnicity | 0.09 | 0.07 | 0.32 | |||
| Hispanic | 50.7 (30.4–50.7) | 50.7 (34.3–52.1) | 50.7 (42.6–54.8) | |||
| Non-Hispanic | 60.0 (45.0–60.0) | 59.4 (45.0–60.0) | 53.0 (42.1–60.0) | |||
| Gestation | 0.12 | 0.72 | 0.86 | |||
| Premature | 60.0 (45.0–60.0) | 60.0 (43.3–60.0) | 54.3 (41.5–60.0) | |||
| Term | 50.7 (45.0–60.0) | 55.6 (45.0–60.0) | 52.3 (42.2–60.0) | |||
| Insurance status (at birth) | 0.91 | 0.62 | 0.54 | |||
| Has private insurance | 50.7 (45.0–60.0) | 55.2 (44.6–60.0) | 52.3 (41.0–60.0) | |||
| Has public insurance | 60.0 (38.0–60.0) | 60.0 (45.0–60.0) | 54.1 (43.2–60.0) | |||
| Hearing loss risk indicator | 0.44 | 0.47 | 0.40 | |||
| Has risk indicator | 60.0 (38.0–60.0) | 60.0 (45.0–60.0) | 55.9 (43.5–60.0) | |||
| No risk indicator | 50.7 (45.0–60.0) | 55.0 (44.7–60.0) | 51.7 (41.5–60.0) | |||
| Maternal education level | 0.58 | 0.65 | 0.41 | |||
| Some college | 60.0 (45.0–60.0) | 58.6 (45.0–60.0) | 52.6 (40.5–60.0) | |||
| Less than college | 50.7 (38.0–60.0) | 52.3 (43.4–60.0) | 52.1 (43.2–60.0) | |||
| Paternal education level | 0.81 | 0.17 | 0.19 | |||
| Some college | 50.7 (45.0–60.0) | 55.2 (43.2–60.0) | 51.1 (39.9–60.0) | |||
| Less than college | 60.0 (45.0–60.0) | 60.0 (45.0–60.0) | 55.3 (43.9–60.0) | |||
| Degree of hearing loss | 0.99 | 0.59 | 0.13 | |||
| Severe or profound | 50.7 (45.0–60.0) | 55.2 (45.0–60.0) | 53.3 (44.6–60.0) | |||
| Mild or moderate | 60.0 (38.0–60.0) | 60.0 (44.7–60.0) | 53.0 (40.5–60.0) | |||
| Laterality of hearing loss | <0.0001 | <0.0001 | <0.0001 | |||
| Bilateral | 60.0 (45.0–60.0) | 60.0 (45.6–60.0) | 58.3 (45.3–60.0) | |||
| Unilateral | 50.7 (14.0–60.0) | 45.6 (27.1–60.0) | 45.6 (26.4–60.0) | |||
| Has diagnosed disability 2 | 0.37 | 0.47 | 0.73 | |||
| Yes | 60.0 (45.0–60.0) | 55.5 (44.0–60.0) | 52.6 (40.6–60.0) | |||
| No | 50.7 (38.0–60.0) | 59.4 (45.0–60.0) | 53.2 (42.7–60.0) | |||
| Identified delay in any domain 3 | 0.46 | 0.43 | 0.40 | |||
| Yes | 50.7 (45.0–60.0) | 50.7 (45.0–60.0) | 50.7 (43.2–60.0) | |||
| No | 60.0 (45.0–60.0) | 60.0 (44.6–60.0) | 56.1 (40.7–60.0) |
Publisher’s Note: MDPI stays neutral with regard to jurisdictional claims in published maps and institutional affiliations. |
© 2022 by the authors. Licensee MDPI, Basel, Switzerland. This article is an open access article distributed under the terms and conditions of the Creative Commons Attribution (CC BY) license (https://creativecommons.org/licenses/by/4.0/).
Share and Cite
Meinzen-Derr, J.; Tabangin, M.E.; Altaye, M.; Ehrhardt, J.; Wiley, S. Factors Associated with Early Intervention Intensity for Children Who Are Deaf or Hard of Hearing. Children 2022, 9, 224. https://doi.org/10.3390/children9020224
Meinzen-Derr J, Tabangin ME, Altaye M, Ehrhardt J, Wiley S. Factors Associated with Early Intervention Intensity for Children Who Are Deaf or Hard of Hearing. Children. 2022; 9(2):224. https://doi.org/10.3390/children9020224
Chicago/Turabian StyleMeinzen-Derr, Jareen, Meredith E. Tabangin, Mekibib Altaye, Jennifer Ehrhardt, and Susan Wiley. 2022. "Factors Associated with Early Intervention Intensity for Children Who Are Deaf or Hard of Hearing" Children 9, no. 2: 224. https://doi.org/10.3390/children9020224
APA StyleMeinzen-Derr, J., Tabangin, M. E., Altaye, M., Ehrhardt, J., & Wiley, S. (2022). Factors Associated with Early Intervention Intensity for Children Who Are Deaf or Hard of Hearing. Children, 9(2), 224. https://doi.org/10.3390/children9020224
