A Clinical Comparative Study of Schnider and Eleveld Pharmacokinetic–Pharmacodynamic Models for Propofol Target-Controlled Infusion Sedation in Drug-Induced Sleep Endoscopy
Abstract
1. Introduction
2. Materials and Methods
2.1. Study Design
2.2. Study Population and Inclusion and Exclusion Criteria
2.3. The Procedure
2.4. Sedation Procedure and Data Collection
2.5. Data Analysis
3. Results
4. Discussion
5. Conclusions
Author Contributions
Funding
Institutional Review Board Statement
Informed Consent Statement
Data Availability Statement
Acknowledgments
Conflicts of Interest
References
- Chang, J.L.; Goldberg, A.N.; Alt, J.A.; Mohammed, A. International consensus statement on obstructive sleep apnea. Int. Forum. Allergy Rhinol. 2023, 13, 1061–1482. [Google Scholar] [CrossRef] [PubMed] [PubMed Central]
- Riha, R.L. Defining obstructive sleep apnoea syndrome: A failure of semantic rules. Breathe 2021, 17, 210082. [Google Scholar] [CrossRef] [PubMed]
- Chaudhry, R.A.; Zarmer, L.; West, K.; Chung, F. Obstructive sleep apnea and risk of postoperative complications after noncardiac surgery. J. Clin. Med. 2024, 13, 2538. [Google Scholar] [CrossRef] [PubMed]
- Knauert, M.; Naik, S.; Gillespie, M.B.; Kryger, M. Clinical consequences and economic costs of untreated obstructive sleep apnea syndrome. World J. Otorhinolaryngol. Head Neck Surg. 2015, 1, 17–27. [Google Scholar] [CrossRef] [PubMed] [PubMed Central]
- Lv, R.; Liu, X.; Zhang, Y.; Dong, N.; Wang, X.; He, Y.; Yue, H.; Yin, Q. Pathophysiological mechanisms and therapeutic approaches in obstructive sleep apnea syndrome. Signal Transduct. Target Ther. 2023, 8, 218. [Google Scholar] [CrossRef] [PubMed] [PubMed Central]
- Cammaroto, G.; Migliorelli, A.; Vicini, C. OSA: Treatments beyond CPAP. J. Clin. Med. 2022, 11, 5938. [Google Scholar] [CrossRef]
- Calik, M.W. Treatments for obstructive sleep apnea. J. Clin. Outcomes Manag. 2016, 23, 181–192. [Google Scholar] [PubMed] [PubMed Central]
- Blumen, M.; Bequignon, E.; Chabolle, F. Drug-induced sleep endoscopy: A new gold standard for evaluating OSAS? Part I: Technique. Eur. Ann. Otorhinolaryngol. Head Neck Dis. 2017, 134, 101–107. [Google Scholar] [CrossRef] [PubMed]
- Carrasco-Llatas, M.; Matarredona-Quiles, S.; De Vito, A.; Chong, K.B.; Vicini, C. Drug-induced sleep endoscopy: Technique, indications, tips and pitfalls. Healthcare 2019, 7, 93. [Google Scholar] [CrossRef]
- Olszewska, E.; De Vito, A.; Heiser, C.; Vanderveken, O.; O’Connor-Reina, C.; Baptista, P.; Kotecha, B.; Vicini, C. Consensus statements among European sleep surgery experts on snoring and obstructive sleep apnea: Part 3 palatal surgery, outcomes and follow-up, complications, and post-operative management. J. Clin. Med. 2024, 13, 5438. [Google Scholar] [CrossRef]
- Shteamer, J.W.; Dedhia, R.C. Sedative choice in drug-induced sleep endoscopy: A neuropharmacology-based review. Laryngoscope 2017, 127, 273–279. [Google Scholar] [CrossRef] [PubMed]
- Kezirian, E.J.; White, D.P.; Malhotra, A.; Ma, W.; McCulloch, C.E.; Goldberg, A.N. Interrater reliability of drug-induced sleep endoscopy. Arch. Otolaryngol. Head Neck Surg. 2010, 136, 393–397. [Google Scholar] [CrossRef] [PubMed]
- De Vito, A.; Carrasco Llatas, M.; Ravesloot, M.J.; Kotecha, B.; De Vries, N.; Hamans, E.; Maurer, J.; Bosi, M.; Blumen, M.; Heiser, C.; et al. European position paper on drug-induced sleep endoscopy: 2017 Update. Clin Otolaryngol. 2018, 43, 1541–1552. [Google Scholar] [CrossRef] [PubMed]
- De Vito, A.; Llatas, M.C.; Vanni, A.; Bosi, M.; Braghiroli, A.; Campanini, A.; de Vries, N.; Hamans, E.; Hohenhorst, W.; Kotecha, B.T.; et al. European position paper on drug-induced sedation endoscopy (DISE). Sleep Breath. 2014, 18, 453–465. [Google Scholar] [CrossRef] [PubMed]
- Simons, J.C.P.; Pierce, E.; Diaz-Gil, D.; Malviya, S.A.; Meyer, M.J.; Timm, F.P.; Stokholm, J.B.; Rosow, C.E.; Kacmarek, R.M.; Eikermann, M. Effects of depth of propofol and sevoflurane anesthesia on upper airway collapsibility, respiratory genioglossus activation, and breathing in healthy volunteers. Anesthesiology 2016, 125, 525–534. [Google Scholar] [CrossRef] [PubMed]
- Ulualp, S.O.; Kezirian, E.J. Advanced diagnostic techniques in obstructive sleep apnea. Otolaryngol. Clin. N. Am. 2024, 57, 371–383. [Google Scholar] [CrossRef] [PubMed]
- Marzetti, A.; Tripodi, C.; Raponi, I. Role of functional and anatomic study in sleep endoscopy for treatment of OSA. Acta Otorhinolaryngol. Ital. 2022, 42, 554–559. [Google Scholar] [CrossRef] [PubMed] [PubMed Central]
- Marsh, B.; White, M.; Morton, N.; Kenny, G.N.C. Pharmacokinetic model driven infusion of propofol in children. Br. J. Anaesth. 1991, 67, 41–48. [Google Scholar] [CrossRef] [PubMed]
- Schnider, T.W.; Minto, C.F.; Cambus, P.L.; Andresen, C.; Goodale, D.B.; Shafer, S.L.; Youngs, E.J. The influence of method of administration and covariates on the pharmacokinetics of propofol in adult volunteers. Anesthesiology 1998, 88, 1170–1182. [Google Scholar]
- Heiser, C.; Fthenakis, P.; Hapfelmeier, A.; Berger, S.; Hofauer, B.; Hohenhorst, W.; Kochs, E.F.; Wagner, K.J.; Edenharter, G.M. Drug-induced sleep endoscopy with target-controlled infusion using propofol and monitored depth of sedation to determine treatment strategies in obstructive sleep apnea. Sleep Breath. 2017, 21, 737–744. [Google Scholar] [CrossRef]
- Traxdorf, M.; Tschaikowsky, K.; Scherl, C.; Bauer, J.; Iro, H.; Angerer, F. Drug-Induced Sleep Endoscopy (DISE) with Target Con-trolled Infusion (TCI) and Bispectral Analysis in Obstructive Sleep Apnea. J. Vis. Exp. 2016, 118, 54739. [Google Scholar] [CrossRef] [PubMed] [PubMed Central]
- De Vito, A.; Agnoletti, V.; Zani, G.; Corso, R.M.; D’agostino, G.; Firinu, E.; Marchi, C.; Hsu, Y.S.; Maitan, S.; Vicini, C. The importance of drug-induced sedation endoscopy (D.I.S.E.) techniques in surgical decision making: Conventional versus target controlled infusion techniques—A prospective randomized controlled study and a retrospective surgical outcomes analysis. Eur. Arch. Oto-Rhino-Laryngol. 2017, 274, 2307–2317. [Google Scholar] [CrossRef]
- Eleveld, D.; Colin, P.; Absalom, A.; Struys, M.M.R.F. Pharmacokinetic-pharmacodynamic model for propofol for broad application in anaesthesia and sedation. Br. J. Anaesth. 2018, 120, 942–959. [Google Scholar] [CrossRef]
- Vellinga, R.; Eleveld, D.J.; Struys, M.M.R.F.; van den Berg, J.P. General purpose models for intravenous anesthetics, the next generation for target-controlled infusion and total intravenous anesthesia? Curr. Opin. Anaesthesiol. 2023, 36, 602–607. [Google Scholar]
- Vandemoortele, O.; Hannivoort, L.N.; Vanhoorebeeck, F.; Struys, M.M.R.F.; Vereecke, H.E.M. General purpose pharmacokinetic-pharmacodynamic models for target-controlled infusion of anaesthetic drugs: A narrative review. J. Clin. Med. 2022, 11, 2487. [Google Scholar] [CrossRef] [PubMed]
- Esmaeili, N.; Gell, L.; Taranto-Montemurro, L.; Messineo, L.; Imler, T.; Sands, S.; Yee, J.; Cronin, J.; Wellman, A.; White, D.P.; et al. Prevalence of obesity in obstructive sleep apnea within a large community-based cohort of middle-aged/older adults. Sleep 2024, 47 (Suppl. S1), A372. [Google Scholar]
- Messineo, L.; Bakker, J.P.; Cronin, J.; Yee, J.; White, D.P. Obstructive sleep apnea and obesity: A review of epidemiology, pathophysiology and the effect of weight-loss treatments. Sleep Med. Rev. 2024, 78, 101996. [Google Scholar] [CrossRef] [PubMed]
- Epstein, L.J.; Kristo, D.; Strollo, P.J., Jr.; Friedman, N.; Malhotra, A.; Patil, S.P.; Ramar, K.; Rogers, R.; Schwab, R.J.; Weaver, E.M.; et al. Clinical guideline for the evaluation, management and long-term care of obstructive sleep apnea in adults. J. Clin. Sleep Med. 2009, 5, 263–276. [Google Scholar] [PubMed] [PubMed Central]
- Kezirian, E.J.; Hohenhorst, W.; de Vries, N. Drug-induced sleep endoscopy: The VOTE classification. Eur. Arch. Otorhinolaryngol. 2011, 268, 1233–1236. [Google Scholar] [CrossRef] [PubMed]
- Linassi, F.; Zanatta, P.; Spano, L.; Burelli, P.; Farnia, A.; Carron, M. Schnider and Eleveld models for propofol target-controlled infusion anesthesia: A clinical comparison. Life 2023, 13, 2065. [Google Scholar] [CrossRef]
- Hüppe, T.; Maurer, F.; Sessler, D.I.; Volk, T.; Kreuer, S. Retrospective comparison of Eleveld, Marsh, and Schnider propofol pharmacokinetic models in 50 patients. Br. J. Anaesth. 2020, 124, e22–e24. [Google Scholar] [CrossRef] [PubMed]
- Tănase, N.V.; Hainăroșie, R.; Brîndușe, L.A.; Cobilinschi, C.; Dutu, M.; Corneci, D.; Zainea, V. Study of two sedative protocols for drug-induced sleep endoscopy: Propofol versus propofol-remifentanil combination, delivered in target-controlled infusion mode. Medicina 2024, 60, 1123. [Google Scholar] [CrossRef] [PubMed]
- Absalom, A.; Mani, V.; De Smet, T.; Struys, M.F. Pharmacokinetic models for propofol—Defining and illuminating the devil in the detail. Br. J. Anaesth. 2009, 103, 26–37. [Google Scholar] [CrossRef] [PubMed]
- Seo, J.H.; Goo, E.K.; Song, I.A.; Park, S.H.; Park, H.P.; Jeon, Y.T.; Hwang, J.W. Influence of a modified propofol equilibration rate con-stant (ke0) on the effect-site concentration at loss and recovery of consciousness with the Marsh model. Anaesthesia 2013, 68, 1232–1238. [Google Scholar] [CrossRef] [PubMed]
- Soehle, M.; Wolter, A.; Thudium, M.; Frede, S.; Coburn, M. Different behaviour of target-controlled infusion pumps despite apparently using the same Schnider pharmacokinetic model: An observational in vitro study. Eur. J. Anaesthesiol. Intensive Care 2022, 1, e011. [Google Scholar] [CrossRef]
- Lo, Y.L.; Ni, Y.L.; Wang, T.Y.; Lin, T.Y.; Li, H.Y.; White, D.P.; Lin, J.R.; Kuo, H.P. Bispectral index in evaluating effects of sedation depth on drug-induced sleep endoscopy. J. Clin. Sleep Med. 2015, 11, 1011–1020. [Google Scholar] [CrossRef] [PubMed] [PubMed Central]
- Lechner, M.; Wilkins, D.; Kotecha, B. A review on drug-induced sedation endoscopy—Technique, grading systems and controversies. Sleep Med. Rev. 2018, 41, 141–148. [Google Scholar] [CrossRef]
- Vellinga, R.; Hannivoort, L.N.; Introna, M.; Touw, D.J.; Absalom, A.R.; Eleveld, D.J.; Struys, M.M.F. Prospective clinical validation of the Eleveld propofol pharmacokinetic-pharmacodynamic model in general anaesthesia. Br. J. Anaesth. 2021, 126, 386–394. [Google Scholar] [CrossRef] [PubMed]
- Obara, S.; Yoshida, K.; Inoue, S. How obesity affects the disposition of intravenous anesthetics. Curr. Opin. Anaesthesiol. 2023, 36, 414–421. [Google Scholar] [CrossRef] [PubMed]
- Stierer, T.L.; Ishman, S.L. Bispectral index in evaluating effects of sedation depth on drug-induced sleep endoscopy: DISE or no dice. J. Clin. Sleep Med. 2015, 11, 965–966. [Google Scholar] [CrossRef][Green Version]
- Öner, Ö.; Ecevit, M.C.; Gökmen, A.N. The relationship between bi-spectral index and VOTE score in evaluation of drug-induced sleep endoscopy: A systematic meta-analysis. Medicine 2023, 102, e35209. [Google Scholar] [CrossRef] [PubMed]
- Lee, C.H.; Kim, D.K.; Kim, S.Y.; Rhee, C.S.; Won, T.B. Changes in site of obstruction in obstructive sleep apnea patients according to sleep position: A DISE study. Laryngoscope 2015, 125, 248–254. [Google Scholar] [CrossRef] [PubMed]

| Characteristic | Group S (Schnider) (n = 12) | Group E (Eleveld) (n = 13) | p-Value |
|---|---|---|---|
| Age (year) (mean ± SD) | 45.7 ± 8.0 | 50.8 ± 9.7 | 0.160 |
| Sex | |||
| Male (%) | 12 (100.0) | 11 (84.6) | 0.157 |
| Female (%) | 0 (0.0) | 2 (15.4) | |
| Height (cm) (mean ± SD) | 178.2 ± 6.4 | 173.4 ± 7.4 | 0.098 |
| Weight (kg) (mean ± SD) | 96.7 ± 14.7 | 85.7 ± 14.7 | 0.073 |
| Body mass index (kg/m2) (mean ± SD) | 30.4 ± 3.8 | 28.4 ± 3.9 | 0.206 |
| Ponderal status | |||
| Normoponderal (BMI 18.5–24.9 kg/m2) | 1 (8.3) | 2 (15.4) | 0.199 |
| Overweight (BMI 25–29.9 kg/m2) | 4 (33.3) | 8 (61.5) | |
| Obese (BMI > 30 kg/m2) | 7 (58.3) | 3 (23.1) |
| Characteristic | Group 1 (Schnider) (n = 12) | Group 2 (Eleveld) (n = 13) | p-Value |
|---|---|---|---|
| Apnea–hypoxia index in PSG (mean ± SD) | 43.5 ± 20.8 | 31.2 ± 15.7 | 0.106 |
| Hypertension (%) | 5 (41.7) | 5 (38.5) | 0.870 |
| Smoking (%) | 3 (25.0) | 3 (23.1) | 0.910 |
| Lowest SpO2 in normal sleep (%) (mean ± SD) | 76.4 ± 10.6 | 83.9 ± 9.4 | 0.073 |
| ASA physical status I/II (%) | 5 (41.7)/7 (58.3) | 6 (46.2)/7 (53.8) | 0.821 |
| Characteristic | Group S (Schnider) (n = 12) | Group E (Eleveld) (n = 13) | p-Value |
|---|---|---|---|
| Success (%) | 12 (100.0) | 13 (100.0) | 1.000 |
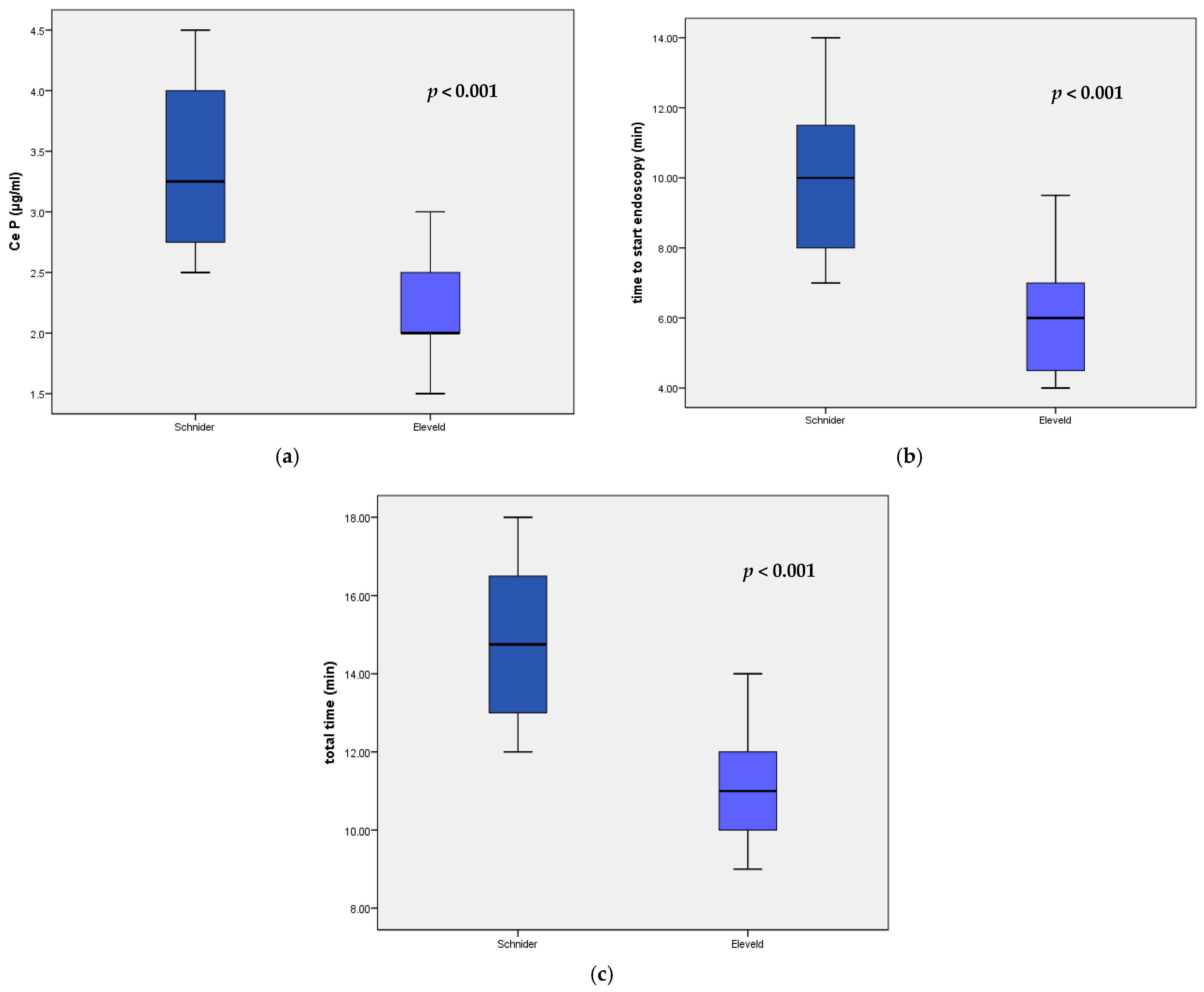
| Time to start endoscopy (min) (mean ± SD) | 9.8 ± 2.2 | 6.1 ± 1.7 | <0.001 |
| Total time of the procedure (min) (mean ± SD) | 15.0 ± 2.1 | 11.2 ± 1.4 | <0.001 |
| Lowest SpO2 during DISE (mean ± SD) | 87.4 ± 9.6 | 88.7 ± 6.1 | 0.693 |
| Preprocedural SpO2 (mean ± SD) | 98.3 ± 1.2 | 98.5 ± 1.5 | 0.810 |
| CeP * (mean ± SD) | 3.3 ± 0.7 | 2.1 ± 0.4 | <0.001 |
| BIS at starting endoscopy (mean ± SD) | 68.8 ± 5.8 | 66.0 ± 4.1 | 0.169 |
| BIS baseline (mean ± SD) | 97.2 ± 1.4 | 95.8 ± 1.8 | 0.077 |
| Propofol dose (mg) until reaching adequate sedation plane | 124.2 ± 38.7 | 123.6 ± 36.1 | 0.971 |
| Propofol dose total (mg) | 182.6 ± 44.9 | 158.3 ± 40.0 | 0.166 |
| Characteristic | Group S (Schnider) (n = 12) | Group E (Eleveld) (n = 13) | p-Value |
|---|---|---|---|
| Cough (%) | 4 (33.3%) | 2 (15.4%) | 0.294 |
| Hypoxemia (%) | 2 (16.7%) | 2 (15.4%) | 0.930 |
| Hypotension (%) | 1 (8.3%) | 2 (15.4%) | 0.930 |
| Bradycardia (%) | 0 (0.0%) | 1 (7.7%) | 0.327 |
| Characteristics of Obstruction | Schnider Group (n = 12) | Eleveld Group (n = 13) | p-Value |
|---|---|---|---|
| Velum | |||
| Anteroposterior (partial/complete) | 2 (16.7)/2 (16.7) | 3 (23.1)/3 (23.1) | 0.808 |
| Lateral (partial/complete) | 0 (0.0)/1 (8.3) | 1(7.7)/0 (0.0) | 0.367 |
| Concentric (partial/complete) | 2 (16.7)/5 (41.7) | 2 (15.4)/4 (30.8) | 0.817 |
| Oropharynx | |||
| Lateral (partial/complete) | 5 (41.7)/3 (25.0) | 7 (53.8)/1 (7.7) | 0.495 |
| Tongue base | |||
| Anteroposterior (partial/complete) | 4 (33.3)/0 (0.0) | 3 (23.1)/0 (0.0) | 0.673 |
| Epiglottis | |||
| Anteroposterior (partial/complete) | 1 (8.3)/0 (0.0) | 2 (15.4)/0 (0.0) | 0.588 |
| Lateral (partial/complete) | 0 (0.0)/0 (0.0) | 2 (15.4)/0 (0.0) | 0.157 |
Disclaimer/Publisher’s Note: The statements, opinions and data contained in all publications are solely those of the individual author(s) and contributor(s) and not of MDPI and/or the editor(s). MDPI and/or the editor(s) disclaim responsibility for any injury to people or property resulting from any ideas, methods, instructions or products referred to in the content. |
© 2025 by the authors. Licensee MDPI, Basel, Switzerland. This article is an open access article distributed under the terms and conditions of the Creative Commons Attribution (CC BY) license (https://creativecommons.org/licenses/by/4.0/).
Share and Cite
Tănase, N.-V.; Hainăroșie, R.; Brîndușe, L.-A.; Corneci, D.; Voiosu, C.; Rusescu, A.; Cobilinschi, C.; Stanciu Găvan, C.; Zainea, V. A Clinical Comparative Study of Schnider and Eleveld Pharmacokinetic–Pharmacodynamic Models for Propofol Target-Controlled Infusion Sedation in Drug-Induced Sleep Endoscopy. Biomedicines 2025, 13, 822. https://doi.org/10.3390/biomedicines13040822
Tănase N-V, Hainăroșie R, Brîndușe L-A, Corneci D, Voiosu C, Rusescu A, Cobilinschi C, Stanciu Găvan C, Zainea V. A Clinical Comparative Study of Schnider and Eleveld Pharmacokinetic–Pharmacodynamic Models for Propofol Target-Controlled Infusion Sedation in Drug-Induced Sleep Endoscopy. Biomedicines. 2025; 13(4):822. https://doi.org/10.3390/biomedicines13040822
Chicago/Turabian StyleTănase, Narcis-Valentin, Răzvan Hainăroșie, Lăcrămioara-Aurelia Brîndușe, Dan Corneci, Catalina Voiosu, Andreea Rusescu, Cristian Cobilinschi, Camelia Stanciu Găvan, and Viorel Zainea. 2025. "A Clinical Comparative Study of Schnider and Eleveld Pharmacokinetic–Pharmacodynamic Models for Propofol Target-Controlled Infusion Sedation in Drug-Induced Sleep Endoscopy" Biomedicines 13, no. 4: 822. https://doi.org/10.3390/biomedicines13040822
APA StyleTănase, N.-V., Hainăroșie, R., Brîndușe, L.-A., Corneci, D., Voiosu, C., Rusescu, A., Cobilinschi, C., Stanciu Găvan, C., & Zainea, V. (2025). A Clinical Comparative Study of Schnider and Eleveld Pharmacokinetic–Pharmacodynamic Models for Propofol Target-Controlled Infusion Sedation in Drug-Induced Sleep Endoscopy. Biomedicines, 13(4), 822. https://doi.org/10.3390/biomedicines13040822

