Whole Blood Reactivity to Viral and Bacterial Pathogens after Non-Emergent Cardiac Surgery during the Acute and Convalescence Periods Demonstrates a Distinctive Profile of Cytokines Production Compared to the Preoperative Baseline in Cohort of 108 Patients, Suggesting Immunological Reprogramming during the 28 Days Traditionally Recognized as the Post-Surgical Recovery Period
Abstract
1. Introduction
2. Materials and Methods
2.1. Consents
2.2. Studied Population
2.3. Clinical Data Collection
2.4. Study Procedure
2.5. Stimulation of the Blood
2.6. Statistical Analysis
3. Results
3.1. Patient Characteristics
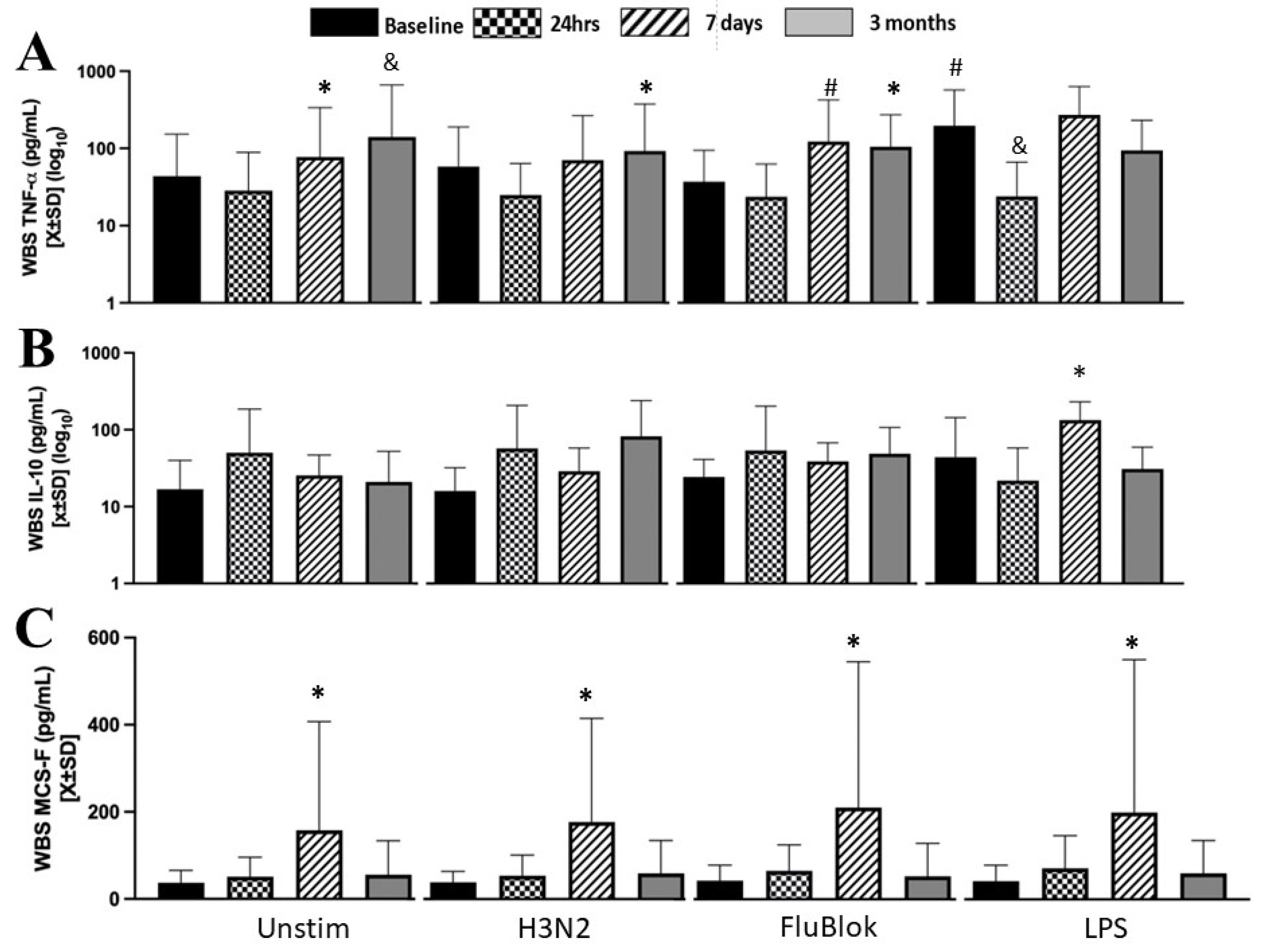
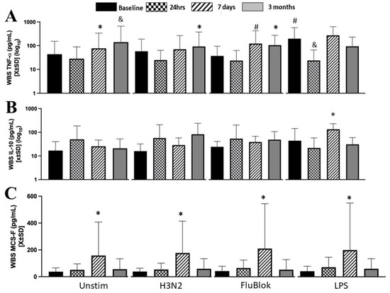
3.2. Responsiveness of the Whole Blood to Bacterial and Viral Pathogens Evolves after Cardiac Surgery
3.3. Other Cytokine Levels in Studied Whole Blood Serum
3.4. Dynamic Changes in Markers of the Inflammation in the Peri-Surgical Period
3.5. Perioperative Management and Cytokine Production
3.6. Whole Blood Simulation and Clinical Outcome
4. Discussion
5. Conclusions
Supplementary Materials
Author Contributions
Funding
Institutional Review Board Statement
Informed Consent Statement
Data Availability Statement
Acknowledgments
Conflicts of Interest
References
- Chew, M.M.S.; Brandslund, I.; Brix-Christensen, V.; Ravn, H.B.; Hjortdal, V.E.; Pedersen, J.; Hjortholm, K.; Hansen, O.K.; Tønnesen, E. Tissue Injury and the Inflammatory Response to Pediatric Cardiac Surgery with Cardiopulmonary Bypass. Anesthesiology 2001, 94, 745–753. [Google Scholar] [CrossRef] [PubMed]
- Tárnok, A.; Hambsch, J.; Emmrich, F.; Sack, U.; van Son, J.; Bellinghausen, W.; Borte, M.; Schneider, P. Complement Activation, Cytokines, and Adhesion Molecules in Children Undergoing Cardiac Surgery with or without Cardiopulmonary Bypass. Pediatr. Cardiol. 1999, 20, 113–125. [Google Scholar] [CrossRef] [PubMed]
- Starkopf, J.; Tamme, K.; Zilmer, M.; Talvik, R.; Samarütel, J. The evidence of oxidative stress in cardiac surgery and septic patients: A comparative study. Clin. Chim. Acta 1997, 262, 77–88. [Google Scholar] [CrossRef] [PubMed]
- Belboul, A.; Krotkiewski, M.; Al-Khaja, N.; Brzezinzka, Z.; El-Gatit, A.; Liu, B.; Uchino, T.; Roberts, D. Oxygen Free Radical (OFR) Generation During Cardiac Surgery Induces Lipid Peroxidation and Decreases Blood Cell Rheology. Vasc. Surg. 1993, 27, 288–292. [Google Scholar] [CrossRef]
- Ackland, G.; Abbott, T.; Cain, D.; Edwards, M.; Sultan, P.; Karmali, S.; Fowler, A.; Whittle, J.; MacDonald, N.; Reyes, A.; et al. Preoperative systemic inflammation and perioperative myocardial injury: Prospective observational multicentre cohort study of patients undergoing non-cardiac surgery. Br. J. Anaesth. 2019, 122, 180–187. [Google Scholar] [CrossRef] [PubMed]
- Zhang, Z.; Wu, Y.; Zhao, Y.; Xiao, X.; Liu, J.; Zhou, X. Dynamic changes in HMGB1 levels correlate with inflammatory responses during cardiopulmonary bypass. Exp. Ther. Med. 2013, 5, 1523–1527. [Google Scholar] [CrossRef] [PubMed]
- Chenouard, A.; Rimbert, M.; Joram, N.; Braudeau, C.; Roquilly, A.; Bourgoin, P.; Asehnoune, K.; Salabert, N.; Vourc’H, M.; Josien, R.; et al. Monocytic Human Leukocyte Antigen DR Expression in Young Infants Undergoing Cardiopulmonary Bypass. Ann. Thorac. Surg. 2020, 111, 1636–1642. [Google Scholar] [CrossRef] [PubMed]
- Mach, L.; Bedanova, H.; Soucek, M.; Karpisek, M.; Konecny, T.; Nemec, P.; Orban, M. Impact of cardiopulmonary bypass surgery on cytokines in epicardial adipose tissue: Comparison with subcutaneous fat. Perfusion 2017, 32, 279–284. [Google Scholar] [CrossRef]
- McGonigle, N.C.; McBride, W.T.; Campalani, G.; Armstrong, M.A. Off-pump cardiac surgery favourably preserves myeloid: Plasmacytoid dendritic cell ratios compared with cardiopulmonary bypass. Br. J. Anaesth. 2010, 104, 797–808. [Google Scholar]
- Bocsi, J.; Richter, M.; Hambsch, J.; Barten, M.J.; Dähnert, I.; Schneider, P.; Tárnok, A. Transient Th1/Th2 disbalance indicates postoperative effusions and edema after cardiopulmonary bypass in children. Cytom. Part A 2006, 69A, 165–168. [Google Scholar] [CrossRef]
- Piccoli, M.; Cerquetani, E.; Pastena, G.; Posteraro, A.; Amici, E.; Romeo, M.D.; La Carrubba, S.; Salustri, A. ‘Lone’ increase in C-reactive protein after cardiac surgery: Prevalence, clinical characteristics, in-hospital course, and prognostic value. Eur. J. Prev. Cardiol. 2008, 15, 482–487. [Google Scholar] [CrossRef] [PubMed]
- Ouattara, A.; Lecomte, P.; Le Manach, Y.; Landi, M.; Jacqueminet, S.; Platonov, I.; Bonnet, N.; Riou, B.; Coriat, P. Poor Intraoperative Blood Glucose Control Is Associated with a Worsened Hospital Outcome after Cardiac Surgery in Diabetic Patients. Anesthesiology 2005, 103, 687–694. [Google Scholar] [CrossRef] [PubMed]
- Masayuki, K.; Kikuchi, T.; Sunanaga, J.; Kitahara, K.; Okayama, N.; Moriyama, T.; Omae, T.; Kakihana, Y.; Kanmura, Y.; Arimura, T. Measurement of endotoxin, IL-6, IL-8 and blood lactate after cardiac surgery: Re-evaluation of the systemic inflammatory response induced by cardiopulmonary bypass. Crit. Care 2003, 7, P040. [Google Scholar] [CrossRef]
- Spies, C.D.; Kern, H.; Schröder, T.; Sander, M.; Sepold, H.; Lang, P.; Stangl, K.; Behrens, S.; Sinha, P.; Schaffartzik, W.; et al. Myocardial Ischemia and Cytokine Response Are Associated with Subsequent Onset of Infections after Noncardiac Surgery. Obstet. Anesth. Dig. 2002, 95, 9–18. [Google Scholar] [CrossRef] [PubMed]
- Arozullah, A.M.; Daley, J.; Henderson, W.G.; Khuri, S.F. Multifactorial Risk Index for Predicting Postoperative Respiratory Failure in Men after Major Noncardiac Surgery. Ann. Surg. 2000, 232, 242–253. [Google Scholar] [CrossRef] [PubMed]
- Laudanski, K.; Liu, D.; Okeke, T.; Restrepo, M.; Szeto, W.Y. Persistent depletion of neuroprotective factors accompanies neuroinflammatory, neurodegeneration, and vascular remodeling spectrum in serum three months after non-emergent cardiac surgery. Biomedicines 2022, 10, 2364. [Google Scholar] [CrossRef] [PubMed]
- Zawadka, M.; Wahome, J.; Oszkiel, H.; Szeto, W.Y.; Cobb, B.; Laudanski, K. Long-term alterations in monocyte function after elective cardiac surgery. Anaesthesia 2017, 72, 879–888. [Google Scholar] [CrossRef][Green Version]
- Dominguez-Andres, J.; Netea, M.G. Long-term reprogramming of the innate immune system. J. Leukoc. Biol. 2019, 105, 329–338. [Google Scholar] [CrossRef]
- Németh, K.; Leelahavanichkul, A.; Yuen, P.S.; Mayer, B.; Parmelee, A.; Doi, K.; Robey, P.G.; Leelahavanichkul, K.; Koller, B.H.; Brown, J.M.; et al. Bone marrow stromal cells attenuate sepsis via prostaglandin E2–dependent reprogramming of host macrophages to increase their interleukin-10 production. Nat. Med. 2009, 15, 42–49. [Google Scholar] [CrossRef]
- Bussmann, L.H.; Schubert, A.; Manh, T.P.V.; De Andres, L.; Desbordes, S.C.; Parra, M.; Zimmermann, T.; Rapino, F.; Rodriguez-Ubreva, J.; Ballestar, E.; et al. A Robust and Highly Efficient Immune Cell Reprogramming System. Cell Stem Cell 2009, 5, 554–566. [Google Scholar] [CrossRef]
- Cavaillon, J.-M.; Adib-Conquy, M. Bench-to-bedside review: Endotoxin tolerance as a model of leukocyte reprogramming in sepsis. Crit. Care 2006, 10, 233. [Google Scholar] [CrossRef] [PubMed][Green Version]
- Cavaillon, J.M.; Adrie, C.; Fitting, C.; Adib-Conquy, M. Reprogramming of circulatory cells in sepsis and SIRS. J. Endotoxin Res. 2005, 11, 311–320. [Google Scholar] [CrossRef] [PubMed]
- DiMeglio, M.; Furey, W.; Hajj, J.; Lindekens, J.; Patel, S.; Acker, M.; Bavaria, J.; Szeto, W.Y.; Atluri, P.; Haber, M.; et al. Observational study of long-term persistent elevation of neurodegeneration markers after cardiac surgery. Sci. Rep. 2019, 9, 7177. [Google Scholar] [CrossRef] [PubMed]
- Laudanski, K.; Zawadka, M.; Polosak, J.; Modi, J.; DiMeglio, M.; Gutsche, J.; Szeto, W.Y.; Puzianowska-Kuznicka, M. Acquired immunological imbalance after surgery with cardiopulmonary bypass due to epigenetic over-activation of PU.1/M-CSF. J. Transl. Med. 2018, 16, 143. [Google Scholar] [CrossRef] [PubMed]
- Franke, A.; Lante, W.; Kurig, E.; Zöller, L.G.; Weinhold, C.; Markewitz, A. Is Interferon Gamma Suppression after Cardiac Surgery Caused by a Decreased Interleukin-12 Synthesis? Ann. Thorac. Surg. 2006, 82, 103–109. [Google Scholar] [CrossRef] [PubMed]
- Gaudriot, B.; Uhel, F.; Gregoire, M.; Gacouin, A.; Biedermann, S.; Roisne, A.; Flecher, E.; Le Tulzo, Y.; Tarte, K.; Tadié, J.-M. Immune Dysfunction after Cardiac Surgery with Cardiopulmonary Bypass. Shock 2015, 44, 228–233. [Google Scholar] [CrossRef] [PubMed]
- Yuan, S.-M. S100 and S100β: Biomarkers of cerebral damage in cardiac surgery with or without the use of cardiopulmonary bypass. Rev. Bras. Cir. Cardiovasc. 2014, 29, 630–641. [Google Scholar] [CrossRef][Green Version]
- Chen, H.; Mo, L.; Hu, H.; Ou, Y.; Luo, J. Risk factors of postoperative delirium after cardiac surgery: A meta-analysis. J. Cardiothorac. Surg. 2021, 16, 113. [Google Scholar] [CrossRef]
- Scholz, A.S.; Handke, J.; Gillmann, H.-J.; Zhang, Q.; Dehne, S.; Janssen, H.; Arens, C.; Espeter, F.; Sander, A.; Giannitsis, E.; et al. Frontline Science: Low regulatory T cells predict perioperative major adverse cardiovascular and cerebrovascular events after noncardiac surgery. J. Leukoc. Biol. 2019, 107, 717–730. [Google Scholar] [CrossRef]
- Neupane, I.; Arora, R.C.; Rudolph, J.L. Cardiac surgery as a stressor and the response of the vulnerable older adult. Exp. Gerontol. 2017, 87, 168–174. [Google Scholar] [CrossRef]
- Mangusan, R.F.; Hooper, V.; Denslow, S.A.; Travis, L. Outcomes Associated with Postoperative Delirium After Cardiac Surgery. Am. J. Crit. Care 2015, 24, 156–163. [Google Scholar] [CrossRef] [PubMed]
- Lagny, M.-G.; Jouret, F.; Koch, J.-N.; Blaffart, F.; Donneau, A.-F.; Albert, A.; Roediger, L.; Krzesinski, J.-M.; Defraigne, J.-O. Incidence and outcomes of acute kidney injury after cardiac surgery using either criteria of the RIFLE classification. BMC Nephrol. 2015, 16, 76. [Google Scholar] [CrossRef] [PubMed]
- Hudetz, J.A.; Patterson, K.M.; Iqbal, Z.; Gandhi, S.D.; Pagel, P.S. Remote Ischemic Preconditioning Prevents Deterioration of Short-Term Postoperative Cognitive Function after Cardiac Surgery Using Cardiopulmonary Bypass: Results of a Pilot Investigation. J. Cardiothorac. Vasc. Anesth. 2015, 29, 382–388. [Google Scholar] [CrossRef] [PubMed]
- CheheiliSobbi, S.; van Ton, A.M.P.; Wesselink, E.M.; Looije, M.F.; Gerretsen, J.; Morshuis, W.J.; Slooter, A.J.C.; Abdo, W.F.; Pickkers, P.; Boogaard, M.v.D. Case–control study on the interplay between immunoparalysis and delirium after cardiac surgery. J. Cardiothorac. Surg. 2021, 16, 239. [Google Scholar] [CrossRef] [PubMed]
- Larmann, J.; Theilmeier, G. Inflammatory response to cardiac surgery: Cardiopulmonary bypass versus non-cardiopulmonary bypass surgery. Best Pract. Res. Clin. Anaesthesiol. 2004, 18, 425–438. [Google Scholar] [CrossRef] [PubMed]
- Day, J.; Taylor, K. The systemic inflammatory response syndrome and cardiopulmonary bypass. Int. J. Surg. 2005, 3, 129–140. [Google Scholar] [CrossRef] [PubMed]
- Hayashi, Y.; Sawa, Y.; Nishimura, M.; Satoh, H.; Ohtake, S.; Matsuda, H. Avoidance of Full-Sternotomy: Effect on Inflammatory Cytokine Production During Cardiopulmonary Bypass in Rats. J. Card. Surg. 2003, 18, 390–395. [Google Scholar] [CrossRef]
- Brix-Christensen, V.; Vestergaard, C.; Chew, M.; Johnsen, C.K.; Andersen, S.K.; Dreyer, K.; Hjortdal, V.E.; Ravn, H.B.; TØnnesen, E. Plasma cytokines do not reflect expression of pro- and anti-inflammatory cytokine mRNA at organ level after cardiopulmonary bypass in neonatal pigs. Acta Anaesthesiol. Scand. 2003, 47, 525–531. [Google Scholar] [CrossRef]
- Hirai, S.; Sueda, T.; Orihashi, K.; Watari, M.; Okada, K. Kinetics of pro-inflammatory cytokines release in cardiac surgery with cardiopulmonary bypass. Jpn. J. Thorac. Cardiovasc. Surg. 2001, 49, 216–219. [Google Scholar] [CrossRef]
- Carvalho, M.V.H.; Maluf, M.A.; Catani, R.; La Rotta, C.A.A.; Gomes, W.J.; Salomão, R.; da Silva, C.M.; Carvalho, A.C.; Branco, J.N.R.; Buffolo, E. Cytokines and pediatric open heart surgery with cardiopulmonary bypass. Cardiol. Young 2001, 11, 36–43. [Google Scholar] [CrossRef]
- Kotani, N.; Hashimoto, H.; Sessler, D.I.; Muraoka, M.; Wang, J.-S.; O’connor, M.F.; Matsuki, A. Cardiopulmonary Bypass Produces Greater Pulmonary than Systemic Proinflammatory Cytokines. Obstet. Anesth. Dig. 2000, 90, 1039–1045. [Google Scholar] [CrossRef]
- Gu, Y.J.; Mariani, M.A.; Boonstra, P.W.; Grandjean, J.G.; van Oeveren, W. Complement activation in coronary artery bypass grafting patients without cardiopulmonary bypass: The role of tissue injury by surgical incision. Chest 1999, 116, 892–898. [Google Scholar] [CrossRef] [PubMed]
- Roytblat, L.; Talmor, D.; Rachinsky, M.; Greemberg, L.; Pekar, A.; Appelbaum, A.; Gurman, G.M.; Shapira, Y.; Duvdenani, A. Ketamine attenuates the interleukin-6 response after cardiopulmonary bypass. Anesth. Analg. 1998, 87, 266–271. [Google Scholar] [CrossRef] [PubMed]
- Khabar, K.S.; Elbarbary, M.A.; Khouqeer, F.; Devol, E.; Al-Gain, S.; Al-Halees, Z. Circulating Endotoxin and Cytokines after Cardiopulmonary Bypass: Differential Correlation with Duration of Bypass and Systemic Inflammatory Response/Multiple Organ Dysfunction Syndromes. Clin. Immunol. Immunopathol. 1997, 85, 97–103. [Google Scholar] [CrossRef] [PubMed]
- Dieterlen, M.-T.; Bittner, H.B.; Tarnok, A.; Garbade, J.; Dhein, S.; Mohr, F.W.; Barten, M.J. Flow Cytometric Evaluation of T Cell Activation Markers after Cardiopulmonary Bypass. Surg. Res. Pract. 2014, 2014, 801643. [Google Scholar] [CrossRef] [PubMed]
- Hubert, P.; Grenot, P.; Autran, B.; Debre, P. Analysis by flow cytometry of tyrosine-phosphorylated proteins in activated T-cell subsets on whole blood samples. Cytometry 1997, 29, 83–91. [Google Scholar] [CrossRef]
- Villain, E.; Chanson, A.; Mainka, M.; Kampschulte, N.; Le Faouder, P.; Bertrand-Michel, J.; Brandolini-Bunlon, M.; Charbit, B.; Musvosvi, M.; Bilek, N.; et al. Integrated analysis of whole blood oxylipin and cytokine responses after bacterial, viral, and T cell stimulation reveals new immune networks. iScience 2023, 26, 107422. [Google Scholar] [CrossRef] [PubMed]
- Schildberger, A.; Rossmanith, E.; Eichhorn, T.; Strassl, K.; Weber, V. Monocytes, peripheral blood mononuclear cells, and THP-1 cells exhibit different cytokine expression patterns following stimulation with lipopolysaccharide. Mediat. Inflamm. 2013, 2013, 697972. [Google Scholar] [CrossRef]
- Duffy, D.; Rouilly, V.; Braudeau, C.; Corbière, V.; Djebali, R.; Ungeheuer, M.-N.; Josien, R.; LaBrie, S.T.; Lantz, O.; Louis, D.; et al. Standardized whole blood stimulation improves immunomonitoring of induced immune responses in multi-center study. Clin. Immunol. 2017, 183, 325–335. [Google Scholar] [CrossRef]
- Rodrigues, K.B.; Dufort, M.J.; Llibre, A.; Speake, C.; Rahman, M.J.; Bondet, V.; Quiel, J.; Linsley, P.S.; Greenbaum, C.J.; Duffy, D.; et al. Innate immune stimulation of whole blood reveals IFN-1 hyper-responsiveness in type 1 diabetes. Diabetologia 2020, 63, 1576–1587. [Google Scholar] [CrossRef]
- Schumacher, K.; Korr, S.; Vazquez-Jimenez, J.F.; Von Bernuth, G.; Duchateau, J.; Seghaye, M.-C. Does cardiac surgery in newborn infants compromise blood cell reactivity to endotoxin? Crit. Care 2005, 9, R549–R555. [Google Scholar] [CrossRef] [PubMed]
- O’brien, M.B.; McLoughlin, R.M.; Meade, K.G. Application of the TruCulture whole blood stimulation system for immune response profiling in cattle. Vet. Immunol. Immunopathol. 2020, 221, 110025. [Google Scholar] [CrossRef] [PubMed]
- Segre, E.; Fullerton, J.N. Stimulated Whole Blood Cytokine Release as a Biomarker of Immunosuppression in the Critically Ill. Shock 2016, 45, 490–494. [Google Scholar] [CrossRef] [PubMed]
- Kagina, B.M.; Mansoor, N.; Kpamegan, E.P.; Penn-Nicholson, A.; Nemes, E.; Smit, E.; Gelderbloem, S.; Soares, A.P.; Abel, B.; Keyser, A.; et al. Qualification of a whole blood intracellular cytokine staining assay to measure mycobacteria-specific CD4 and CD8 T cell immunity by flow cytometry. J. Immunol. Methods 2015, 417, 22–33. [Google Scholar] [CrossRef] [PubMed]
- Dorresteijn, M.J.; Draisma, A.; van der Hoeven, J.G.; Pickkers, P. Lipopolysaccharide-stimulated whole blood cytokine production does not predict the inflammatory response in human endotoxemia. Innate Immun. 2010, 16, 248–253. [Google Scholar] [CrossRef] [PubMed]
- Feezor, R.J.; Baker, H.V.; Mindrinos, M.; Hayden, D.; Tannahill, C.L.; Brownstein, B.H.; Fay, A.; MacMillan, S.; Laramie, J.; Xiao, W.; et al. Whole blood and leukocyte RNA isolation for gene expression analyses. Physiol. Genom. 2004, 19, 247–254. [Google Scholar] [CrossRef] [PubMed]
- Dehoux, M.S.; Hernot, S.; Asehnoune, K.; Boutten, A.; Paquin, S.; Leçon-Malas, V.; Toueg, M.-L.; Desmonts, J.-M.; Durand, G.; Philip, I. Cardiopulmonary bypass decreases cytokine production in lipopolysaccharide-stimulated whole blood cells: Roles of interleukin-10 and the extracorporeal circuit. Crit. Care Med. 2000, 28, 1721–1727. [Google Scholar] [CrossRef] [PubMed]
- Knaus, W.A.; Draper, E.A.; Wagner, D.P.; Zimmerman, J.E. APACHE II: A severity of disease classification system. Crit. Care Med. 1985, 13, 818–829. [Google Scholar] [CrossRef]
- Cox, M.M.; Hollister, J.R. FluBlok, a next generation influenza vaccine manufactured in insect cells. Biologicals 2009, 37, 182–189. [Google Scholar] [CrossRef]
- Cox, M.M.; Patriarca, P.A.; Treanor, J. FluBlok, a recombinant hemagglutinin influenza vaccine. Influenza Other Respir. Viruses 2008, 2, 211–219. [Google Scholar] [CrossRef]
- Aparicio-Siegmund, S.; Garbers, C. The biology of interleukin-27 reveals unique pro- and anti-inflammatory functions in immunity. Cytokine Growth Factor Rev. 2015, 26, 579–586. [Google Scholar] [CrossRef] [PubMed]
- Yang, Y.; Qin, J.; Lan, L.; Li, N.; Wang, C.; He, P.; Liu, F.; Ni, H.; Wang, Y. M-CSF cooperating with NFκB induces macrophage transformation from M1 to M2 by upregulating c-Jun. Cancer Biol. Ther. 2014, 15, 99–107. [Google Scholar] [CrossRef] [PubMed]
- Chung, S.; Ranjan, R.; Lee, Y.G.; Park, G.Y.; Karpurapu, M.; Deng, J.; Xiao, L.; Kim, J.Y.; Unterman, T.G.; Christman, J.W. Distinct role of FoxO1 in M-CSF- and GM-CSF-differentiated macrophages contributes LPS-mediated IL-10: Implication in hyperglycemia. J. Leukoc. Biol. 2014, 97, 327–339. [Google Scholar] [CrossRef] [PubMed]
- Menzies, F.M.; Henriquez, F.L.; Alexander, J.; Roberts, C.W. Sequential expression of macrophage anti-microbial/inflammatory and wound healing markers following innate, alternative and classical activation. Clin. Exp. Immunol. 2010, 160, 369–379. [Google Scholar] [CrossRef]
- Sauër, A.-M.C.; Slooter, A.J.C.; Veldhuijzen, D.S.; van Eijk, M.M.J.; Devlin, J.W.; van Dijk, D. Intraoperative Dexamethasone and Delirium After Cardiac Surgery. Obstet. Anesth. Dig. 2014, 119, 1046–1052. [Google Scholar] [CrossRef] [PubMed]
- Haim, Y.O.; Unger, N.D.; Souroujon, M.C.; Mittelman, M.; Neumann, D. Resistance of LPS-activated bone marrow derived macrophages to apoptosis mediated by dexamethasone. Sci. Rep. 2014, 4, 4323. [Google Scholar] [CrossRef] [PubMed]
- Abbadi, A.; Loftis, J.; Wang, A.; Yu, M.; Wang, Y.; Shakya, S.; Li, X.; Maytin, E.V.; Hascall, V.C. Heparin inhibits proinflammatory and promotes anti-inflammatory macrophage polarization under hyperglycemic stress. J. Biol. Chem. 2020, 295, 4849–4857. [Google Scholar] [CrossRef] [PubMed]
- Bruno, V.; Svensson-Arvelund, J.; Rubér, M.; Berg, G.; Piccione, E.; Jenmalm, M.C.; Ernerudh, J. Effects of low molecular weight heparin on the polarization and cytokine profile of macrophages and T helper cells in vitro. Sci. Rep. 2018, 8, 4166. [Google Scholar] [CrossRef]
- Gawdat, K.; Legere, S.; Wong, C.; Myers, T.; Marshall, J.S.; Hassan, A.; Brunt, K.R.; Kienesberger, P.C.; Pulinilkunnil, T.; Legare, J.-F. Changes in Circulating Monocyte Subsets (CD16 Expression) and Neutrophil-to-Lymphocyte Ratio Observed in Patients Undergoing Cardiac Surgery. Front. Cardiovasc. Med. 2017, 4, 12. [Google Scholar] [CrossRef]








| Demographics (N = 90) | ||
| Age (Mean ± SD) [Years] | 64.1 ± 12.2 | |
| Over 60 Years [%] | 72.22% | |
| Sex | Male [%] | 76.85% |
| Female [%] | 23.15% | |
| Race | African American [%] | 3.70% |
| White [%] | 87.04% | |
| Other/Asian/Unknown [%] | 9.26% | |
| Pre-Existing Conditions | ||
| Weight (Mean ± SD) [kg] | 38.76 ± 9.30 | |
| BMI (Mean ± SD) | 28.34 ± 5.92 | |
| Charlson Comorbidity Index (Mean ± SD) | 3.80 ± 2.08 | |
| ACS/MI [%] | 10.20% | |
| CHF [%] | 19.40% | |
| PVD [%] | 9.30% | |
| CVA/TIA [%] | 10.20% | |
| COPD [%] | 7.40% | |
| DM [%] | 28.70% | |
| Anesthesia & Surgery Data | ||
| Duration of anesthesia (Mean ± SD) [min] | 371.5 ± 100.7 | |
| Duration of surgery (Mean ± SD) [min] | 264.8 ± 92.84 | |
| Duration of cardiopulmonary bypass (Mean ± SD) [min] | 128.2 ± 60.71 | |
| Coronary artery bypass surgery [n] | 57 | |
| Mitral valvuloplasty & replacement [n] | 81 | |
| Aortic valvuloplasty & replacement [n] | 75 | |
| Aortic aneurysm repair [n] | 12 | |
| Estimated Blood Loss (Mean ± SD) [mL] | 198.5 ± 283.6 | |
| Perioperative management | ||
| Transfusions during surgery | ||
| Packed Red Blood Cells (Mean, IQR) [mL] | 99.06, 244 | |
| Fresh Frozen Plasma (Mean, IQR) [mL] | 51.98, 194.3 | |
| Total crystalloid during surgery (Mean, IQR) [mL] | 1332, 619.9 | |
| Clinical Care during 24 h post-surgery | ||
| Packed Red Blood Cells (Mean, IQR) [mL] | 22.86, 99.28 | |
| Fresh Frozen Plasma (Mean, IQR) [mL] | 8.57, 87.83 | |
| Corticosteroid Administration [% of all cases] | 12.96% | |
| Ketorolac Administration [% of all cases] | 8.33% | |
| Acetaminophen Administration [% of all cases] | 79.62% | |
| Acetylsalicylic acid Administration [% of all cases] | 75.00% | |
| Opioids Administration (Mean ± SD) [mg] | 704 ± 219 | |
| Benzodiazepine administration (Mean ± SD) [mg] | 3.78 ± 1.95 | |
| Outcome at 28 days | ||
| LOS ICU (Mean ± SD) [Days] | 7.64 ± 40.89 | |
| LOS Hospital (Mean ± SD) [Days] | 9.55 ± 20.79 | |
| Discharged home/In the healthcare facility/expired [%] | 87.3%/6.39%/1.26% | |
Disclaimer/Publisher’s Note: The statements, opinions and data contained in all publications are solely those of the individual author(s) and contributor(s) and not of MDPI and/or the editor(s). MDPI and/or the editor(s) disclaim responsibility for any injury to people or property resulting from any ideas, methods, instructions or products referred to in the content. |
© 2023 by the authors. Licensee MDPI, Basel, Switzerland. This article is an open access article distributed under the terms and conditions of the Creative Commons Attribution (CC BY) license (https://creativecommons.org/licenses/by/4.0/).
Share and Cite
Laudanski, K.; Liu, D.; Karnatovskaia, L.; Devang, S.; Mathew, A.; Szeto, W.Y. Whole Blood Reactivity to Viral and Bacterial Pathogens after Non-Emergent Cardiac Surgery during the Acute and Convalescence Periods Demonstrates a Distinctive Profile of Cytokines Production Compared to the Preoperative Baseline in Cohort of 108 Patients, Suggesting Immunological Reprogramming during the 28 Days Traditionally Recognized as the Post-Surgical Recovery Period. Biomedicines 2024, 12, 28. https://doi.org/10.3390/biomedicines12010028
Laudanski K, Liu D, Karnatovskaia L, Devang S, Mathew A, Szeto WY. Whole Blood Reactivity to Viral and Bacterial Pathogens after Non-Emergent Cardiac Surgery during the Acute and Convalescence Periods Demonstrates a Distinctive Profile of Cytokines Production Compared to the Preoperative Baseline in Cohort of 108 Patients, Suggesting Immunological Reprogramming during the 28 Days Traditionally Recognized as the Post-Surgical Recovery Period. Biomedicines. 2024; 12(1):28. https://doi.org/10.3390/biomedicines12010028
Chicago/Turabian StyleLaudanski, Krzysztof, Da Liu, Lioudmila Karnatovskaia, Sanghavi Devang, Amal Mathew, and Wilson Y. Szeto. 2024. "Whole Blood Reactivity to Viral and Bacterial Pathogens after Non-Emergent Cardiac Surgery during the Acute and Convalescence Periods Demonstrates a Distinctive Profile of Cytokines Production Compared to the Preoperative Baseline in Cohort of 108 Patients, Suggesting Immunological Reprogramming during the 28 Days Traditionally Recognized as the Post-Surgical Recovery Period" Biomedicines 12, no. 1: 28. https://doi.org/10.3390/biomedicines12010028
APA StyleLaudanski, K., Liu, D., Karnatovskaia, L., Devang, S., Mathew, A., & Szeto, W. Y. (2024). Whole Blood Reactivity to Viral and Bacterial Pathogens after Non-Emergent Cardiac Surgery during the Acute and Convalescence Periods Demonstrates a Distinctive Profile of Cytokines Production Compared to the Preoperative Baseline in Cohort of 108 Patients, Suggesting Immunological Reprogramming during the 28 Days Traditionally Recognized as the Post-Surgical Recovery Period. Biomedicines, 12(1), 28. https://doi.org/10.3390/biomedicines12010028

