Sign in to use this feature.

Years

Between: -

Subjects

remove_circle_outline
remove_circle_outline
remove_circle_outline
remove_circle_outline
remove_circle_outline
remove_circle_outline
remove_circle_outline
remove_circle_outline
remove_circle_outline

Journals

remove_circle_outline
remove_circle_outline
remove_circle_outline
remove_circle_outline
remove_circle_outline
remove_circle_outline
remove_circle_outline
remove_circle_outline
remove_circle_outline
remove_circle_outline
remove_circle_outline
remove_circle_outline

Article Types

Countries / Regions

remove_circle_outline
remove_circle_outline
remove_circle_outline
remove_circle_outline
remove_circle_outline
remove_circle_outline

Search Results (651)

Search Parameters:
Keywords = M-CSF

Order results
Result details
Results per page
Select all
Export citation of selected articles as:
19 pages, 1398 KB  
Review
From Development, Disease, and Decline: A Review of What Defines an Osteoclast Progenitor
by Mitchell J. Shimak, Grant Kim, Ismael Y. Karkache, Elizabeth K. Vu, Emily Chavez, Joseph C. Manser, Emily Patterson, Archisha Basak, Keng Cha Vu, Samuel Mitchell, Jinsha Koroth and Elizabeth W. Bradley
Int. J. Mol. Sci. 2025, 26(21), 10619; https://doi.org/10.3390/ijms262110619 (registering DOI) - 31 Oct 2025
Abstract
Our understanding of the different developmental origins of osteoclast progenitors and their respective roles during homeostatic bone remodeling at different skeletal sites as well as their roles within bone regeneration and degenerative conditions is evolving. In this narrative review article, we summarize what [...] Read more.
Our understanding of the different developmental origins of osteoclast progenitors and their respective roles during homeostatic bone remodeling at different skeletal sites as well as their roles within bone regeneration and degenerative conditions is evolving. In this narrative review article, we summarize what is known about the developmental origins, anatomical sources, and markers of osteoclast progenitors. We touch on how osteoclast progenitors vary during different disease contexts, including periodontitis, rheumatoid arthritis, and osteoarthritis. In addition, we also characterize osteoclast progenitors that contribute to bone healing and define changes observed with advancing age. In this regard, we offer a critical review of gaps within our understanding and opportunities for future development within the field. Because of their diverse nature under different contexts, identifying and characterizing osteoclast progenitors may help to advance condition-specific therapies. Full article
Show Figures

Figure 1

13 pages, 1088 KB  
Article
Inflammatory Biomarkers for Thrombotic Risk Assessment in Multiple Myeloma Patients on IMiD/aCD38-Based Regimens: Insights from a Prospective Observational Study
by Cirino Botta, Anna Maria Corsale, Claudia Cammarata, Fabiana Di Fazio, Emilia Gigliotta, Andrea Rizzuto, Manuela Ingrascì, Maria Speciale, Cristina Aquilina, Marta Biondo, Andrea Romano, Mariasanta Napolitano, Marta Mattana and Sergio Siragusa
Biomolecules 2025, 15(11), 1533; https://doi.org/10.3390/biom15111533 - 31 Oct 2025
Abstract
Thrombosis is a common complication in multiple myeloma (MM) patients treated with immunomodulatory drugs (IMiDs), including thalidomide, lenalidomide, and pomalidomide. When combined with anti-CD38 monoclonal antibodies, these agents are highly effective but may increase thrombotic events (TE), potentially delaying therapy. This exploratory, hypothesis-generating [...] Read more.
Thrombosis is a common complication in multiple myeloma (MM) patients treated with immunomodulatory drugs (IMiDs), including thalidomide, lenalidomide, and pomalidomide. When combined with anti-CD38 monoclonal antibodies, these agents are highly effective but may increase thrombotic events (TE), potentially delaying therapy. This exploratory, hypothesis-generating analysis, conducted within the MMVision mono-institutional prospective study, included 53 MM patients who initiated IMiD plus anti-CD38 therapy between May 2021 and December 2022 (median follow-up: 18 months). Treatment regimens comprised lenalidomide (n = 36) or thalidomide (n = 15) with daratumumab, and pomalidomide (n = 2) with isatuximab. Most patients (n = 38) received frontline therapy, and all were given thromboprophylaxis according to guidelines, mainly aspirin (73%). Five patients (9.4%) developed VTE after a median of 48 days, managed with short-term low-molecular-weight heparin (LMWH). Exploratory analysis of 27 clinical/laboratory parameters suggested possible associations between VTE and low levels of beta-2 microglobulin, ferritin, intact/free lambda light chains, and monocyte-to-lymphocyte ratio. Notably, four of the five VTEs occurred in patients without lytic bone disease, typically associated with bone-driven inflammation in MM. Although all patients received aspirin prophylaxis from treatment initiation, it remains unclear whether thrombosis would also have occurred among those with higher inflammatory burden. These preliminary observations may indicate that in patients with relatively lower inflammation, aspirin prophylaxis could be less effective, potentially favoring VTE onset. In two VTE cases, cytokine profiling showed decreased M-CSF, SCLF-β, and MIP-1α, with increased G-CSF, raising the hypothesis of distinct immune-inflammatory pathways contributing to TEs. Given the limited number of patients and thrombotic events, and the cytokine data available for only two VTE cases, these associations should be regarded as exploratory and interpreted with caution. Overall, these exploratory findings warrant validation in larger, independent cohorts and may help generate hypotheses on how inflammatory signatures influence thrombotic risk and prophylaxis efficacy in MM patients receiving IMiD/anti-CD38-based regimens. Full article
Show Figures

Figure 1

24 pages, 5353 KB  
Article
Comparative Accuracy Assessment of Unmanned and Terrestrial Laser Scanning Systems for Tree Attribute Estimation in an Urban Mediterranean Forest
by Ante Šiljeg, Katarina Kolar, Ivan Marić, Fran Domazetović and Ivan Balenović
Remote Sens. 2025, 17(21), 3557; https://doi.org/10.3390/rs17213557 - 28 Oct 2025
Viewed by 217
Abstract
Urban mediterranean forests are key components of urban ecosystems. Accurate, high-resolution data on forest structural attributes are essential for effective management. This study evaluates the efficiency of unmanned laser scanning systems (ULS) and terrestrial LiDAR (TLS) in deriving key tree attributes, diameter at [...] Read more.
Urban mediterranean forests are key components of urban ecosystems. Accurate, high-resolution data on forest structural attributes are essential for effective management. This study evaluates the efficiency of unmanned laser scanning systems (ULS) and terrestrial LiDAR (TLS) in deriving key tree attributes, diameter at breast height (DBH) and tree height, within a small urban park in Zadar, Croatia. Accuracy assessment of the ULS and TLS-derived DBH was conducted based on traditional ground-based measurement (TGBM) data. For ULS, an automatic Spatix workflow was applied that classified points into a Tree class, segmented trees using trunk-based logic, and estimated DBH by fitting a circle to a 1.3 m slice; tree height was computed from the ground-normalized cloud with the Output Tree Cells tool. A semi-automatic CloudCompare/ArcMap workflow used CSF ground filtering, Connected Components segmentation, extraction of a 10 cm slice, manual trunk vectorization, and DBH calculation via Minimum Bounding Geometry. TLS scans, processed in FARO SCENE, were then analyzed in Spatix using the same automatic trunk-fitting procedure to derive DBH and height. Accuracy for DBH was evaluated against TGBM; comparative performance was summarized with standard error metrics, while ULS and TLS tree heights were compared using Concordance Correlation Coefficient (CCC) and Bland–Altman statistics. Results indicate that the semi-automatic approach outperformed the automatic approach in deriving DBH. TLS-derived DBH values demonstrated higher consistency and agreement with TGBM, as evidenced by their strong linear correlation, minimal bias, and narrow residual spread, while ULS exhibited greater variability and systematic deviation. Tree height comparisons between ULS and TLS revealed that ULS consistently produced slightly higher and more uniform measurements. This study highlights limitations in the evaluated techniques and proposes a hybrid approach combining ULS scanning with personal laser scanning (PLS) systems to enhance data accuracy in urban forest assessments. Full article
Show Figures

Figure 1

31 pages, 1480 KB  
Review
Overcoming Treatment Challenges in HIV-Associated Mycobacterial Diseases: New Therapeutic Frontiers
by Omid Nikjeh, Seyedehparmis Rejali, Kayvan Sasaninia and Vishwanath Venketaraman
Int. J. Mol. Sci. 2025, 26(21), 10325; https://doi.org/10.3390/ijms262110325 - 23 Oct 2025
Viewed by 324
Abstract
For drug-susceptible TB, the WHO-endorsed first-line regimen (isoniazid, rifampicin, ethambutol, pyrazinamide) remains the global reference. Therapy must always be tailored to drug susceptibility, especially in MDR- and XDR-TB. HIV-associated mycobacterial infections—including Mycobacterium tuberculosis (TB), disseminated Mycobacterium avium complex (MAC), and Mycobacterium leprae ( [...] Read more.
For drug-susceptible TB, the WHO-endorsed first-line regimen (isoniazid, rifampicin, ethambutol, pyrazinamide) remains the global reference. Therapy must always be tailored to drug susceptibility, especially in MDR- and XDR-TB. HIV-associated mycobacterial infections—including Mycobacterium tuberculosis (TB), disseminated Mycobacterium avium complex (MAC), and Mycobacterium leprae (M. leprae)—remain leading causes of morbidity and mortality in people living with HIV (PLWH). TB continues to account for the highest burden of AIDS-related deaths worldwide, while MAC and leprosy complicate care in advanced immunosuppression. This review synthesizes current evidence on epidemiology, clinical features, and management challenges of HIV–mycobacterial co-infections. We discuss drug-susceptible and drug-resistant TB therapies, drug–drug interactions with antiretroviral therapy (ART), and the clinical impact of immune reconstitution inflammatory syndrome (IRIS). Beyond established regimens, we highlight host-directed strategies such as metformin, glutathione augmentation, mTOR modulation, and vitamin D; immunotherapies including interferon-γ, GM-CSF, and IL-7; and therapeutic vaccines (M72/AS01E, MTBVAC, VPM1002) as promising adjuncts. Distinct from guideline-focused overviews, this review emphasizes non-tuberculous mycobacterial disease (NTM, including MAC) and leprosy in PLWH and synthesizes host-directed and adjunctive strategies with their translational prospects, including ART compatibility and IRIS. By integrating TB, NTM, and leprosy across the HIV care continuum, we highlight opportunities not treated in detail elsewhere—particularly HDT-enabled approaches and implementation considerations in PLWH. Full article
(This article belongs to the Special Issue Advances in Molecular Therapeutics for HIV Co-Infections)
Show Figures

Figure 1

7 pages, 471 KB  
Case Report
Acute Sulcal FLAIR Hyperintensity in Severe Tick-Borne Encephalitis: A Potential Prognostic Marker
by Vincent Böhm, Bogdan-Andrei Ianosi, Caterina Kulyk, Franz Gruber, Maria Lorenz, Thomas Mitterling, Amadeus Hauser, Stephan Eger, Ulrike Köhl, Serge Weis, Sibylle Wimmer, Michael Sonnberger and Raimund Helbok
Life 2025, 15(11), 1655; https://doi.org/10.3390/life15111655 - 23 Oct 2025
Viewed by 322
Abstract
(1) Background: To report two cases of severe tick-borne encephalitis (TBE) in elderly patients presenting with a previously undescribed subarachnoid T2/FLAIR hyperintensity on repeated MRI examinations, which may serve as an early imaging biomarker of disease severity. (2) Methods: Two unvaccinated 82-year-old patients [...] Read more.
(1) Background: To report two cases of severe tick-borne encephalitis (TBE) in elderly patients presenting with a previously undescribed subarachnoid T2/FLAIR hyperintensity on repeated MRI examinations, which may serve as an early imaging biomarker of disease severity. (2) Methods: Two unvaccinated 82-year-old patients (one male and one female) presented with acute encephalitis and required intensive care. Serial brain MRI, EEG, CSF analysis, and neurophysiological assessments were performed. (3) Results: Both patients showed rapid progressive neurological deterioration in the context of TBE, confirmed by elevated serum and CSF IgM and IgG titers. Early follow-up MRI revealed striking sulcal hyperintensities on T2/FLAIR sequences, interpreted as protein-rich subarachnoid inflammatory changes. These changes paralleled clinical worsening and resolved on follow-up imaging. The male patient developed meningoencephalomyeloradiculitis, remained comatose, and died from respiratory failure (the brain and spinal cord were examined postmortem). The female patient had meningoencephaloradiculitis with severe dysphagia and was discharged with a modified Rankin Scale score of four. Both patients demonstrated epileptiform EEG activity. The CSF analysis revealed markedly elevated total protein, lactate, tau protein, and CXCL13, as evidence of blood–brain barrier disruption and inflammatory neurodegeneration. (4) Conclusions: We describe acute subarachnoid T2/FLAIR hyperintensity in TBE as an imaging feature that may correlate with severe systemic inflammation and a poor prognosis. This radiological finding could serve as a potential early prognostic marker in TBE. Full article
(This article belongs to the Special Issue Encephalitis: From Molecular Pathophysiology to Therapy)
Show Figures

Figure 1

17 pages, 9594 KB  
Article
Isolation of an Anti-hG-CSF Nanobody and Its Application in Quantitation and Rapid Detection of hG-CSF in Pharmaceutical Testing
by Qiang Ma, Liuqiang Zhu, Xiang Li, Dening Pei, Lei Yu, Xinchang Shi, Yong Zhou, Zhihao Fu, Chenggang Liang, Xi Qin and Junzhi Wang
Biophysica 2025, 5(4), 47; https://doi.org/10.3390/biophysica5040047 - 17 Oct 2025
Viewed by 282
Abstract
Human granulocyte colony-stimulating factor (hG-CSF) is primarily used to treat neutropenia induced by cancer chemotherapy and bone marrow transplantation. The current identification test for hG-CSF relies on Western blot (WB), a labor-intensive and technically demanding method. This study aimed to screen and prepare [...] Read more.
Human granulocyte colony-stimulating factor (hG-CSF) is primarily used to treat neutropenia induced by cancer chemotherapy and bone marrow transplantation. The current identification test for hG-CSF relies on Western blot (WB), a labor-intensive and technically demanding method. This study aimed to screen and prepare an anti-hG-CSF nanobody to identify and quantify hG-CSF, with the ultimate goal of developing colloidal gold-labeled nanobody test strips for rapid identification. An alpaca was immunized with hG-CSF, and the VHH gene sequence encoding the anti-hG-CSF nanobody was obtained through sequencing following phage display library construction and multiple rounds of biopanning. The nanobody C68, obtained from screening, was expressed by E. coli, and its physicochemical properties such as molecular weight, isoelectric point, and affinity were characterized after purification. WB analysis demonstrated excellent performance of the nanobody in identification tests in terms of specificity, limit of detection (LOD), applicability with products from various manufacturers, and thermal stability. Additionally, we established an ELISA method for hG-CSF quantification utilizing the nanobody C68 and conducted methodological validation. Finally, colloidal gold-based test strips were constructed using the nanobody C68, with a LOD of 30 μg/mL, achieving rapid identification for hG-CSF. This study represents a novel application of nanobodies in pharmaceutical testing and offers valuable insights for developing identification tests for other recombinant protein drugs. Full article
Show Figures

Graphical abstract

16 pages, 531 KB  
Review
Bing–Neel Syndrome in Waldenström Macroglobulinemia: Updates on Clinical Management and BTK Inhibitor Efficacy
by Masuho Saburi and Naohiro Sekiguchi
Cancers 2025, 17(20), 3358; https://doi.org/10.3390/cancers17203358 - 17 Oct 2025
Viewed by 416
Abstract
Bing–Neel syndrome (BNS), a rare complication of Waldenström macroglobulinemia (WM), is caused by the direct infiltration of lymphoplasmacytic cells into the central nervous system (CNS). Since clinical manifestations are heterogeneous and may overlap with IgM-related neuropathies, BNS is often under-recognized and diagnosed late. [...] Read more.
Bing–Neel syndrome (BNS), a rare complication of Waldenström macroglobulinemia (WM), is caused by the direct infiltration of lymphoplasmacytic cells into the central nervous system (CNS). Since clinical manifestations are heterogeneous and may overlap with IgM-related neuropathies, BNS is often under-recognized and diagnosed late. The incidence of BNS has been reported to be approximately 1% of patients with WM. Because of its extreme rarity, there are no prospective studies on BNS. In 2025, a consensus panel from the 12th international workshop on WM updated the guidelines for BNS, recognizing zanubrutinib as a standard therapy, clarifying imaging and cerebrospinal fluid (CSF) assessments during follow-up, and introducing revised response categories. Although the incidence of BNS is approximately 1% of WM, it decreases overall survival compared to WM alone, and early deaths were reported in historical series. Diagnostic confirmation requires a high index of suspicion and a multimodal approach combining MRI of the brain and spine with gadolinium, CSF cytology and flow cytometry, molecular testing such as MYD88 L265P, and occasionally tissue biopsy. Importantly, MYD88 L265P is also observed in most cases of diffuse large B-cell lymphoma of the CNS and is therefore not disease-specific. Differentiation from IgM-mediated neuropathies is critical because management strategies markedly differ. Historically, high-dose methotrexate- or cytarabine-based chemotherapy, intrathecal therapy, and radiotherapy have been used; however, responses varied, and toxicity was considerable. In contrast, CNS-penetrant Bruton tyrosine kinase (BTK) inhibitors have reshaped therapeutic strategies. Retrospective data support durable responses with ibrutinib, tirabrutinib, and zanubrutinib, while early findings suggest that non-covalent BTK inhibitors expand options for relapsed or refractory cases. Herein, we synthesize current evidence on epidemiology, pathophysiology, and diagnostic work-up. We also outline therapeutic recommendations integrating the genotype, disease pattern, and patient fitness and conclude with unmet needs and future directions. Full article
Show Figures

Figure 1

10 pages, 1779 KB  
Case Report
Next-Generation Sequencing for Diagnosis of Fatal Balamuthia Amoebic Encephalitis: A Case Report
by Yuanyuan Feng, Huiyu Feng, Xuegao Yu, Jing Zhao, Hongyan Zhou, Jiaoxing Li, Peisong Chen and Li Feng
Diagnostics 2025, 15(20), 2590; https://doi.org/10.3390/diagnostics15202590 - 14 Oct 2025
Viewed by 429
Abstract
Background: Balamuthia mandrillaris is a free-living amoebic parasite that primarily causes rare opportunistic infections in immunocompromised hosts. Balamuthia amoebic encephalitis (BAE) is a rare yet severe parasitic infection affecting the central nervous system. It has an extremely low incidence in China but [...] Read more.
Background: Balamuthia mandrillaris is a free-living amoebic parasite that primarily causes rare opportunistic infections in immunocompromised hosts. Balamuthia amoebic encephalitis (BAE) is a rare yet severe parasitic infection affecting the central nervous system. It has an extremely low incidence in China but can have a mortality rate as high as 98%. The clinical manifestations of amebic infections are similar to those of bacterial and tuberculous meningitis, lacking specificity, which makes accurate diagnosis challenging in the clinical setting. Case Presentation: A 61-year-old immunocompetent woman experienced worsening headache and a moderate fever over the course of five days, initially treated as a common cold. On 25 February 2025, she exhibited behavioral abnormalities, dysphagia, and a high fever of 40.2 °C, which progressed to a coma. On 26 February, her cranial CT scan revealed multifocal hemorrhagic lesions in the right frontotemporoparietal lobes. The MRI revealed similar lesions with slight enhancement and herniation. She underwent an emergency decompressive craniectomy, yet her condition continued to deteriorate following the surgery. On 27 February, serum targeted next-generation sequencing (tNGS) detected B. mandrillaris. Additionally, metagenomic NGS (mNGS) of the cerebrospinal fluid (CSF) sample confirmed the presence on 28 February. Finally, B. mandrillaris was identified through a brain tissue biopsy on 3 March. However, due to the delayed diagnosis and lack of effective drugs, her condition rapidly deteriorated and became irreversible. Her family ultimately chose to withdraw treatment. Conclusions: This study highlights the application of NGS for early diagnosis of patients with severe CNS infection. Both tNGS and mNGS can be considered for the rapid detection of rare or novel pathogens and for facilitating diagnosis. Full article
Show Figures

Figure 1

13 pages, 1371 KB  
Article
Cerebrospinal Pharmacokinetic Modeling and Pharmacodynamic Simulation of High-Dose Cefazolin for Meningitis Caused by Methicillin-Susceptible Staphylococcus aureus
by Tetsushu Onita, Kazuro Ikawa, Noriyuki Ishihara, Hiroki Tamaki and Takahisa Yano
Antibiotics 2025, 14(10), 1008; https://doi.org/10.3390/antibiotics14101008 - 11 Oct 2025
Viewed by 355
Abstract
Background: Cefazolin is being increasingly used to treat central nervous system infections caused by methicillin-susceptible Staphylococcus aureus (MSSA) to mitigate the side effects of existing anti-Staphylococcal drugs. This study aims to develop a cerebrospinal pharmacokinetic (PK) model to predict the cefazolin concentration in [...] Read more.
Background: Cefazolin is being increasingly used to treat central nervous system infections caused by methicillin-susceptible Staphylococcus aureus (MSSA) to mitigate the side effects of existing anti-Staphylococcal drugs. This study aims to develop a cerebrospinal pharmacokinetic (PK) model to predict the cefazolin concentration in cerebrospinal fluid (CSF) and to individualize the dosing regimen for MSSA meningitis. Methods: A cerebrospinal PK model was developed based on the existing literature and used to estimate the probability of attaining PK/ pharmacodynamic (PD) targets. These targets were set as 100% time above the minimum inhibitory concentration (T > MIC) in CSF. The cerebrospinal PK/PD breakpoint was defined as the highest MIC at which target attainment probability in CSF was ≥90%. The mean CSF/serum ratio estimated from the literature was 0.0525 after a dose of 1–3 g (sampling time: 1–9 h after dose) in adult patients with suspected meningitis. This ratio was incorporated into this PK model based on a hybrid approach. Results: For patients with creatinine clearance (CLcr) = 90 mL/min, the cerebrospinal PK/PD breakpoint MICs of continuous infusion regimens (6–12 g/day) reached 0.5 µg/mL, which can inhibit the growth of 90% of the MSSA population (MIC90). Furthermore, for patients with renal dysfunction (CLcr = 30 mL/min), a dose reduction (4 g/day) may be required to avoid excessive drug exposure. Conclusions: High-dose continuous infusion of cefazolin may be appropriate for MSSA meningitis in patients with normal renal function, while dose adjustments are needed for those with renal impairment. Full article
Show Figures

Figure 1

21 pages, 11538 KB  
Article
Genomic Analysis Defines Increased Circulating, Leukemia-Induced Macrophages That Promote Immune Suppression in Mouse Models of FGFR1-Driven Leukemogenesis
by Ting Zhang, Atsuko Matsunaga, Xiaocui Lu, Hui Fang, Nandini Chatterjee, Ahmad Alimadadi, Stephanie F. Mori, Xuexiu Fang, Gavin Wang, Huidong Shi, Litao Zhang, Catherine C. Hedrick, Bo Cheng, Tianxiang Hu and John K. Cowell
Cells 2025, 14(19), 1533; https://doi.org/10.3390/cells14191533 - 30 Sep 2025
Viewed by 527
Abstract
The development of FGFR1-driven stem cell leukemia and lymphoma syndrome (SCLL) in mouse models is accompanied by an increase in highly heterogenous myeloid derived suppressor cells (MDSCs), which promote immune evasion. To dissect this heterogeneity, we used a combination of CyTOF and scRNA-Seq [...] Read more.
The development of FGFR1-driven stem cell leukemia and lymphoma syndrome (SCLL) in mouse models is accompanied by an increase in highly heterogenous myeloid derived suppressor cells (MDSCs), which promote immune evasion. To dissect this heterogeneity, we used a combination of CyTOF and scRNA-Seq to define the phenotypes and genotypes of these MDSCs. CyTOF demonstrated increased levels of circulating macrophages in the peripheral blood of leukemic mice, and flow cytometry demonstrated that these macrophages were derived from Ly6CHi M-MDSC as well as the Ly6CInt and Ly6CLow monocytic populations. Consistently, scRNA-Seq analysis demonstrated the accumulation of non-classical monocytes (ncMono) during leukemia progression, which also express macrophage markers. These leukemia-induced macrophages show continuous transcriptional reprogramming during leukemia progression, with the upregulation of cellular stress response genes Hspa1a and Hspa1b and inflammation-related gene Nfkbia. Trajectory analysis revealed a transition from classical monocytes (cMono) to ncMono, and potential genes orchestrating this transition process have been identified. Furthermore, T-cell suppression assays demonstrated the immune suppressive abilities of leukemia-induced circulatory macrophages. Targeting these macrophages with the GW2580 CSF1R inhibitor leads to restored immune surveillance and improved survival. Overall, we demonstrate that circulating macrophages are responsible, at least in part, for the immune suppression in SCLL leukemia models, and targeting macrophages in this system improves the survival of leukemic mice. Full article
(This article belongs to the Section Cell Microenvironment)
Show Figures

Figure 1

22 pages, 4431 KB  
Review
Macrophages—Target and Tool in Tumor Treatment: Insights from Ovarian Cancer
by Małgorzata Górczak and Łukasz Kiraga
Cancers 2025, 17(19), 3182; https://doi.org/10.3390/cancers17193182 - 30 Sep 2025
Viewed by 730
Abstract
Today, science and medicine are striving to develop novel techniques for treating deadly diseases, including a wide range of cancers. Efforts are being made to better understand the molecular and biochemical mechanisms of tumor cell functioning, but a particular emphasis has recently been [...] Read more.
Today, science and medicine are striving to develop novel techniques for treating deadly diseases, including a wide range of cancers. Efforts are being made to better understand the molecular and biochemical mechanisms of tumor cell functioning, but a particular emphasis has recently been given to investigating immune cells residing in the tumor microenvironment, which may lead to revolutionary benefits in the design of new immunotherapies. Among these cells, tumor-associated macrophages (TAMs) are highly abundant and act as critical regulators of ovarian cancer progression, metastasis, and resistance to therapy. Their dual nature—as drivers of malignancy and as potential therapeutic mediators—has positioned them at the forefront of research into next-generation immunotherapies. As therapeutic targets, approaches include blocking macrophage recruitment (e.g., CSF-1/CSF-1R inhibitors), selectively depleting subsets of TAMs (e.g., via Folate Receptor Beta), or reprogramming immunosuppressive M2-like macrophages toward an anti-tumor M1 phenotype. On the other hand, macrophages can also serve as a therapeutic tool—they may be engineered to enhance anti-tumor immunity, as exemplified by the development of Chimeric Antigen Receptor Macrophages (CAR-Ms), or leveraged as delivery vehicles for targeted drug transport into the tumor microenvironment. A particularly innovative strategy involves Macrophage–Drug Conjugates (MDCs), which employs the transfer of iron-binding proteins (TRAIN) mechanism for precise intracellular delivery of therapeutic agents, thereby enhancing drug efficacy while minimizing systemic toxicity. This review integrates current knowledge of TAM biology, highlights emerging therapeutic approaches, and underscores the promise of macrophage-based interventions in ovarian cancer. By integrating macrophage-targeting strategies with advanced immunotherapeutic platforms, novel treatment paradigms may be determined that could substantially improve outcomes for patients with ovarian cancer and other solid tumors. Our work highlights that macrophages should be a particular area of research interest in the context of cancer treatment. Full article
(This article belongs to the Section Cancer Immunology and Immunotherapy)
Show Figures

Figure 1

24 pages, 29797 KB  
Article
Predictors of Tuberculous Meningitis Mortality Among Persons with HIV in Mozambique
by Edy Nacarapa, Isabelle Munyangaju, Dulce Osório and Jose-Manuel Ramos-Rincon
Trop. Med. Infect. Dis. 2025, 10(10), 276; https://doi.org/10.3390/tropicalmed10100276 - 24 Sep 2025
Viewed by 725
Abstract
Background: Tuberculous meningitis (TBM) is the most severe form of tuberculosis and is associated with high morbidity and mortality, especially in resource-limited settings. In Mozambique, where both tuberculosis and HIV are highly prevalent, TBM poses significant diagnostic and therapeutic challenges. This study [...] Read more.
Background: Tuberculous meningitis (TBM) is the most severe form of tuberculosis and is associated with high morbidity and mortality, especially in resource-limited settings. In Mozambique, where both tuberculosis and HIV are highly prevalent, TBM poses significant diagnostic and therapeutic challenges. This study aimed to describe the clinical characteristics and to identify predictors of TBM mortality among persons living with HIV (PLWH) in a rural hospital in Mozambique. Methods: We conducted a retrospective cohort study at Carmelo Hospital of Chokwe (CHC) between 2015 and 2020. We included 372 PLWH diagnosed with TBM (PTBM); data on demographics, clinical presentation, and laboratory findings were extracted from patient records. TBM diagnosis was considered for confirmed cases based on a hospital-adapted algorithm incorporating clinical features, cerebrospinal fluid (CSF) analysis, TB-LAM, and Xpert MTB/RIF testing. Cox proportional hazard models were used to identify independent predictors of mortality, and Kaplan–Meier survival curves with log-rank tests were used to assess survival differences across clinical subgroups. Significance was considered at a p value ≤ 0.05 with an adjusted hazard ratio (AHR) 95% CI in the multivariate analysis. Results: Overall, 372 PTBM contributed to a total of 3720 person-months (PM) of treatment follow-up, corresponding to a mortality incidence of 3.76 deaths per 100 person-months. Factors independently associated with increased mortality included male sex (adjusted hazard ratio [aHR]: 1.80; 95% CI: 1.21–2.68; p = 0.004), BMI < 18.5 kg/m2 (aHR: 2.84; 95% CI: 1.46–5.55; p = 0.002), Immunovirological failure to ART (aHR: 2.86; 95% CI: 1.56–5.23; p = 0.001), CSF opening pressure >40 cmH2O (aHR: 2.67; 95% CI: 1.46–4.86; p = 0.001), and TBM severity grading III (aHR: 4.59; 95% CI: 1.79–11.76; p = 0.001). TBM involving other organs also significantly worsened survival (aHR: 2.03; 95% CI: 1.27–3.25; p = 0.003). Conclusions: TBM mortality in PLWH was driven by ART failure, high CSF pressure, and malnutrition. Male sex and severe neurology also increased risk. Urgent interventions are proposed: optimize ART, manage intracranial pressure, provide nutritional support, and use corticosteroids. An integrated care approach is essential to improving survival in resource-limited settings. Full article
(This article belongs to the Special Issue Tuberculosis Control in Africa and Asia)
Show Figures

Figure 1

17 pages, 1443 KB  
Brief Report
Priming Canine Adipose Tissue-Derived Mesenchymal Stem Cells with CBD-Rich Cannabis Extract Modulates Neurotrophic Factors Expression Profile
by Vinicius Skau Perino, Lucas Vinícius de Oliveira Ferreira, Beatriz da Costa Kamura, Natielly Dias Chimenes, Alisson Vinícius Gimenes Olbera, Thiago Tourinho Pereira, Aline Márcia Marques Braz, Marjorie de Assis Golim, Márcio de Carvalho and Rogério Martins Amorim
Vet. Sci. 2025, 12(10), 926; https://doi.org/10.3390/vetsci12100926 - 24 Sep 2025
Viewed by 479
Abstract
The endocannabinoid system regulates key biological functions such as neuroprotection, pain modulation, inflammation, and immunomodulation. Cannabis-based therapies have gained attention due to the therapeutic potential of their bioactive compounds, particularly phytocannabinoids like cannabidiol (CBD), which exhibit anti-inflammatory, neuroprotective, and immunomodulatory properties. Mesenchymal stem [...] Read more.
The endocannabinoid system regulates key biological functions such as neuroprotection, pain modulation, inflammation, and immunomodulation. Cannabis-based therapies have gained attention due to the therapeutic potential of their bioactive compounds, particularly phytocannabinoids like cannabidiol (CBD), which exhibit anti-inflammatory, neuroprotective, and immunomodulatory properties. Mesenchymal stem cells (MSCs) are widely studied for their regenerative and immunomodulatory potential. This study evaluated the effects of priming canine adipose tissue-derived MSCs (cAT-MSCs) with a CBD-rich cannabis extract on cell morphology, viability, neurotrophic factor gene expression, and cytokine gene and protein expression. cAT-MSCs (n = 5) were primed for 24 h and divided into three groups: Control (C, unprimed), D1 (2.25 µM CBD), and D2 (225 nM CBD). No morphological or viability changes were observed. Gene expression analysis showed that groups D1 and D2 exhibited increased HGF expression. D1 also showed increased IDO and decreased BDNF expression. In contrast, no significant changes were observed in GDNF, IL-10, TNF-α, IFN-γ, or PTGES2. Regarding the cytokine profile, GM-CSF, IL-2, and IL-10 were undetectable. Notably, IL-8 and MCP-1 levels were significantly reduced in D1 compared to the control. These findings suggest that CBD priming modulates key regenerative and inflammatory mediators in cAT-MSCs, supporting its potential application in enhancing the efficacy of cell-based therapies. Full article
(This article belongs to the Special Issue Animal Anesthesia and Analgesia Management: Pain Relief and Sedation)
Show Figures

Figure 1

12 pages, 1158 KB  
Systematic Review
Neurogranin as a Synaptic Biomarker in Mild Traumatic Brain Injury: A Systematic Review of Diagnostic and Pathophysiological Evidence
by Ioannis Mavroudis, Foivos Petridis, Eleni Karantali and Dimitrios Kazis
Proteomes 2025, 13(3), 46; https://doi.org/10.3390/proteomes13030046 - 19 Sep 2025
Viewed by 534
Abstract
Neurogranin (NRGN), a synaptic protein essential for plasticity and memory function, is gaining recognition as a promising biomarker for mild traumatic brain injury (mTBI). This systematic review brings together findings from six studies that measured neurogranin levels in biofluids—including serum, cerebrospinal fluid (CSF), [...] Read more.
Neurogranin (NRGN), a synaptic protein essential for plasticity and memory function, is gaining recognition as a promising biomarker for mild traumatic brain injury (mTBI). This systematic review brings together findings from six studies that measured neurogranin levels in biofluids—including serum, cerebrospinal fluid (CSF), plasma, and exosomes—during both the acute and chronic phases following injury. In the acute phase of mTBI, elevated levels of neurogranin were consistently observed in serum samples, suggesting its potential as a diagnostic marker. These increases appear to reflect immediate synaptic disturbances caused by injury. In contrast, studies focusing on the chronic phase reported a decrease in exosomal neurogranin levels, pointing to ongoing synaptic dysfunction well after the initial trauma. This temporal shift in neurogranin expression highlights its dual utility—both as an early indicator of injury and as a longer-term marker of synaptic integrity. However, interpreting these findings is not straightforward. The studies varied considerably in terms of sample type, timing of measurements, and control for potential confounding factors such as physical activity. Such variability makes direct comparisons difficult and may influence the outcomes observed. Additionally, none of the studies included proteoform-specific analyses of neurogranin, an omission that limits our understanding of the molecular changes underlying mTBI-related synaptic alterations. Due to heterogeneity across study designs and outcome measures, a meta-analysis could not be performed. Instead, a narrative synthesis was conducted, revealing consistent patterns in neurogranin dynamics over time and underscoring the influence of biofluid selection on measured outcomes. Overall, the current evidence supports neurogranin’s potential as both a diagnostic and mechanistic biomarker for mTBI. Yet, to fully realize its clinical utility, future research must prioritize standardized protocols, the inclusion of proteoform profiling, and rigorous longitudinal validation studies. Full article
Show Figures

Figure 1

18 pages, 1362 KB  
Article
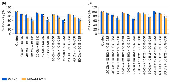
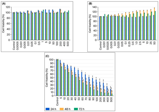
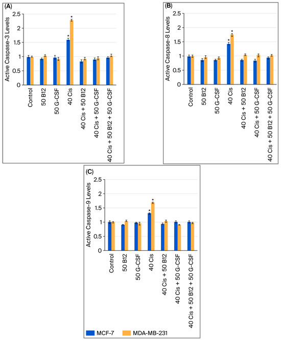
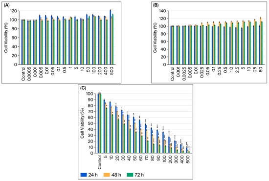
The Responsiveness of Breast Cancer Cells to Varied Levels of Vitamin B12, Cisplatin, and G-CSF
by Volkan Aslan, Duygu Deniz Usta, Atiye Seda Yar Sağlam, Ahmet Özet, Osman Sütcüoglu, Kürşat Dikmen and Nuriye Özdemir
Int. J. Mol. Sci. 2025, 26(18), 9086; https://doi.org/10.3390/ijms26189086 - 18 Sep 2025
Viewed by 534
Abstract
Supportive agents, such as vitamin B12 (cobalamin, B12) and granulocyte colony-stimulating factor (G-CSF), are widely used during chemotherapy; however, their direct effects on tumor biology are not well understood. We evaluated the impact of pharmacological B12 and G-CSF, alone or in combination with [...] Read more.
Supportive agents, such as vitamin B12 (cobalamin, B12) and granulocyte colony-stimulating factor (G-CSF), are widely used during chemotherapy; however, their direct effects on tumor biology are not well understood. We evaluated the impact of pharmacological B12 and G-CSF, alone or in combination with cisplatin, on hormone receptor-positive (MCF-7) and triple-negative (MDA-MB-231) breast cancer cells, conducting in vitro assays of cell viability, cytotoxicity, caspase activation, mitochondrial membrane potential, and cytolytic protein expression. Neither B12 nor G-CSF alone induced cytotoxicity; instead, both promoted proliferation in a dose- and time-dependent manner. When combined with cisplatin, they consistently attenuated drug-induced cytotoxicity, suppressed caspase-3/-8/-9 activation, preserved mitochondrial integrity, and reduced perforin/granzyme expression, exhibiting stronger effects in MCF-7 cells. G-CSF markedly increased proliferation (>130% at 50 ng/mL), while B12 modestly enhanced viability and mitigated cisplatin-induced damage, particularly in triple-negative cells. These findings indicate that B12 and G-CSF can impair cisplatin efficacy by blunting apoptotic signaling and mitochondrial injury in different breast cancer subtypes. These preclinical findings warrant prospective, biomarker-driven in vivo and clinical studies to delineate the clinical contexts in which B12 and G-CSF can be safely integrated into supportive care without compromising antitumor efficacy. Full article
(This article belongs to the Special Issue Drug Resistance Mechanisms in Human Cancer Cells to Anticancer Drugs)
Show Figures

Figure 1

Back to TopTop