Depressive Symptoms Associated with Peripheral Artery Disease and Predicting Mortality in Type 2 Diabetes
Abstract
1. Introduction
2. Materials and Methods
2.1. Study Design and Population
2.2. Assessment of Risk Factors
2.3. Assessments of GDS-5 and ABI
2.4. Statistical Analysis
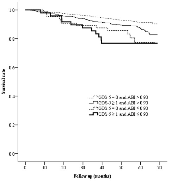
3. Results
4. Discussion
5. Conclusions
Author Contributions
Funding
Institutional Review Board Statement
Informed Consent Statement
Data Availability Statement
Acknowledgments
Conflicts of Interest
References
- Liu, Q.; He, H.; Yang, J.; Feng, X.; Zhao, F.; Lyu, J. Changes in the global burden of depression from 1990 to 2017: Findings from the Global Burden of Disease study. J. Psychiatr. Res. 2019, 126, 134–140. [Google Scholar] [CrossRef]
- Ren, X.; Yu, S.; Dong, W.; Yin, P.; Xu, X.; Zhou, M. Burden of depression in China, 1990–2017: Findings from the global burden of disease study 2017. J. Affect. Disord. 2020, 268, 95–101. [Google Scholar] [CrossRef]
- Wu, C.-S.; Yu, S.-H.; Lee, C.-Y.; Tseng, H.-Y.; Chiu, Y.-F.; Hsiung, C.A. Prevalence of and risk factors for minor and major depression among community-dwelling older adults in Taiwan. Int. Psychogeriatr. 2017, 29, 1113–1121. [Google Scholar] [CrossRef]
- Yang, H.; Sun, D.; Yang, Y.; Lin, R.; Xu, J.; Wu, J.; Cui, X.; Li, J.; Qin, G.; Han, X.; et al. Association of depression with all-cause and cardiovascular mortality among US adults with high and low baseline risk of cardiovascular disease. Psychiatry Res. 2023, 320, 115051. [Google Scholar] [CrossRef]
- Charlson, F.J.; Moran, A.; Freedman, G.; Norman, R.; Stapelberg, N.J.; Baxter, A.J.; Vos, T.; A Whiteford, H. The contribution of major depression to the global burden of ischemic heart disease: A comparative risk assessment. BMC Med. 2013, 11, 250. [Google Scholar] [CrossRef]
- Lee, J.; Kim, K.H.; Ahn, J.C.; Kim, J.A.; Lee, G.; Son, J.S.; Park, S.M. Prevalence, awareness, treatment, and control of diabetes mellitus by depressive symptom severity: A cross-sectional analysis of NHANES 2011–2016. BMJ Open Diabetes Res. Care 2021, 9, e002268. [Google Scholar] [CrossRef]
- van Gennip, A.C.; Schram, M.T.; Köhler, S.; Kroon, A.A.; Koster, A.; Eussen, S.J.; de Galan, B.; van Sloten, T.T.; Stehouwer, C.D. Association of type 2 diabetes according to the number of risk factors within the recommended range with incidence of major depression and clinically relevant depressive symptoms: A prospective analysis. Lancet Healthy Longev. 2023, 4, e63–e71. [Google Scholar] [CrossRef]
- Chen, P.-C.; Chan, Y.-T.; Chen, H.-F.; Ko, M.-C.; Li, C.-Y. Population-Based Cohort Analyses of the Bidirectional Relationship Between Type 2 Diabetes and Depression. Diabetes Care 2013, 36, 376–382. [Google Scholar] [CrossRef]
- Prigge, R.; Wild, S.H.; Jackson, C.A. Depression, diabetes, comorbid depression and diabetes and risk of all-cause and cause-specific mortality: A prospective cohort study. Diabetologia 2022, 65, 1450–1460. [Google Scholar] [CrossRef]
- Chen, V.C.-H.; Wang, T.-N.; Hsieh, M.-C.; Chou, S.-Y.; Lee, M.-C.; McIntyre, R.S.; Lu, M.-L.; Liao, Y.-T.; Yeh, C.-J. Depression, Diabetes Mellitus and Mortality in Older Adults: A National Cohort Study in Taiwan. Neuropsychiatr. Dis. Treat. 2022, 18, 2639–2648. [Google Scholar] [CrossRef]
- Agnelli, G.; Belch, J.J.F.; Baumgartner, I.; Giovas, P.; Hoffmann, U. Morbidity and mortality associated with atherosclerotic peripher-al artery disease: A systematic review. Atherosclerosis 2020, 293, 94–100. [Google Scholar] [CrossRef] [PubMed]
- Tavintharan, S.; Cheung, N.; Lim, S.C.; Tay, W.; Shankar, A.; Shyong Tai, E.; Wong, T.Y. Prevalence and risk factors for peripheral artery dis-ease in an Asian population with diabetes mellitus. Diabetes Vasc. Dis. Res. 2009, 6, 80–86. [Google Scholar] [CrossRef] [PubMed]
- Caro, J.; Migliaccio-Walle, K.; Ishak, K.J.; Proskorovsky, I. The morbidity and mortality following a diagnosis of peripheral arterial disease: Long-term follow-up of a large database. BMC Cardiovasc. Disord. 2005, 5, 14. [Google Scholar] [CrossRef] [PubMed]
- Hong, Y.; Sebastianski, M.; Makowsky, M.; Tsuyuki, R.; McMurtry, M.S. Administrative data are not sensitive for the detection of peripheral artery disease in the community. Vasc. Med. 2016, 21, 331–336. [Google Scholar] [CrossRef] [PubMed]
- Aboyans, V.; Ricco, J.B.; Bartelink, M.E.L.; Bjorck, M.; Brodmann, M.; Cohnert, T.; Collet, J.P.; Czerny, M.; De Carlo, M.; Debus, S.; et al. 2017 ESC Guidelines on the Diagnosis and Treatment of Peripheral Arterial Diseases, in collaboration with the European Society for Vascular Surgery (ESVS): Document covering atherosclerotic disease of extracranial carotid and vertebral, mesenteric, renal, upper and lower extremity arter-iesEndorsed by: The European Stroke Organization (ESO)The Task Force for the Diagnosis and Treatment of Peripheral Arte-rial Diseases of the European Society of Cardiology (ESC) and of the European Society for Vascular Surgery (ESVS). Eur. Heart J. 2018, 39, 763–816. [Google Scholar] [PubMed]
- Gerhard-Herman, M.D.; Gornik, H.L.; Barrett, C.; Barshes, N.R.; Corriere, M.A.; Drachman, D.E.; Walsh, M.E. 2016 AHA/ACC Guideline on the Management of Patients With Lower Extremity Peripheral Artery Disease: A Report of the American College of Cardiolo-gy/American Heart Association Task Force on Clinical Practice Guidelines. Circulation 2017, 135, e686–e725. [Google Scholar] [PubMed]
- Scierka, L.E.; Mena-Hurtado, C.; Ahmed, Z.V.; Yousef, S.; Arham, A.; Grimshaw, A.A.; Smolderen, K.G. The association of depression with mortal-ity and major adverse limb event outcomes in patients with peripheral artery disease: A systematic review and meta-analysis. J. Affect. Disord. 2023, 320, 169–177. [Google Scholar] [CrossRef] [PubMed]
- Welch, K.G.; Faria, I.; Browder, S.E.; Drudi, L.M.; McGinigle, K.L. Depression in Patients with Peripheral Artery Disease: An Underdi-agnosis with Increased Mortality. Ann. Vasc. Surg. 2023, 95, 80–86. [Google Scholar] [CrossRef]
- Weeks, S.K.; McGann, P.E.; Michaels, T.K.; Penninx, B.W. Comparing various short-form Geriatric Depression Scales leads to the GDS-5/15. J. Nurs. Scholarsh. 2003, 35, 133–137. [Google Scholar] [CrossRef]
- Brañez-Condorena, A.; Soriano-Moreno, D.R.; Navarro-Flores, A.; Solis-Chimoy, B.; Diaz-Barrera, M.E.; Taype-Rondan, A. Accuracy of the Geriatric Depression Scale (GDS)-4 and GDS-5 for the screening of depression among older adults: A systematic review and meta-analysis. PLoS ONE 2021, 16, e0253899. [Google Scholar] [CrossRef]
- Lee, I.-T.; Hsu, C.-C.; Sheu, W.H.-H.; Su, S.-L.; Wu, Y.-L.; Lin, S.-Y. Pay-for-performance for shared care of diabetes in Taiwan. J. Formos. Med. Assoc. 2019, 118, S122–S129. [Google Scholar] [CrossRef] [PubMed]
- Chen, Y.C.; Lee, C.T.; Lin, B.J.; Chang, Y.Y.; Shi, H.Y. Impact of pay-for-performance on mortality in diabetes patients in Taiwan: A population-based study. Medicine 2016, 95, e4197. [Google Scholar] [CrossRef]
- Pan, W.H.; Flegal, K.M.; Chang, H.Y.; Yeh, W.T.; Yeh, C.J.; Lee, W.C. Body mass index and obesity-related metabolic disorders in Tai-wanese and US whites and blacks: Implications for definitions of overweight and obesity for Asians. Am. J. Clin. Nutr. 2004, 79, 31–99. [Google Scholar] [CrossRef] [PubMed]
- Lee, C.H.; Shih, A.Z.L.; Woo, Y.C.; Fong, C.H.Y.; Yuen, M.M.A.; Chow, W.S.; Lam, K.S.L. Which creatinine-based estimated glomerular filtration rate equation best predicts all-cause mortality in Chinese subjects with type 2 diabetes? Diabetes Res. Clin. Pract. 2017, 126, 25–29. [Google Scholar] [CrossRef] [PubMed]
- Wu, L.F.; Yang, S.H.; Koo, M. Psychometric properties of the Chinese version of Spiritual Index of Well-Being in elderly Taiwan-ese. BMC Geriatr. 2017, 17, 3. [Google Scholar] [CrossRef] [PubMed]
- Huang, C.H.; Hsu, C.C.; Yu, P.C.; Peng, L.N.; Lin, M.H.; Chen, L.K. Hospitalization-associated muscle weakness and functional out-comes among oldest old patients: A hospital-based cohort study. Exp. Gerontol. 2021, 150, 111353. [Google Scholar] [CrossRef]
- Hiatt, W.R. Medical Treatment of Peripheral Arterial Disease and Claudication. N. Engl. J. Med. 2001, 344, 1608–1621. [Google Scholar] [CrossRef]
- Lee, I.-T. Mean and variability of annual haemoglobin A1c are associated with high-risk peripheral artery disease. Diabetes Vasc. Dis. Res. 2020, 17, 1479164120909030. [Google Scholar] [CrossRef]
- Salinero-Fort, M.; Gómez-Campelo, P.; Cárdenas-Valladolid, J.; Andrés-Rebollo, F.S.; de Miguel-Yanes, J.; de Burgos-Lunar, C. Effect of depression on mortality in type 2 diabetes mellitus after 8 years of follow-up. The DIADEMA study. Diabetes Res. Clin. Pract. 2021, 176, 108863. [Google Scholar] [CrossRef]
- Lin, C.; Lee, Y.; Liu, C.; Chen, H.; Ko, M.; Li, C. Urbanization and prevalence of depression in diabetes. Public Health 2012, 126, 104–111. [Google Scholar] [CrossRef]
- Liu, X.; Li, Y.; Guan, L.; He, X.; Zhang, H.; Zhang, J.; Li, J.; Zhong, D.; Jin, R. A Systematic Review and Meta-Analysis of the Prevalence and Risk Factors of Depression in Type 2 Diabetes Patients in China. Front. Med. 2022, 9, 759499. [Google Scholar] [CrossRef] [PubMed]
- Majumdar, S.; Sinha, B.; Dastidar, B.G.; Gangopadhyay, K.K.; Ghoshal, S.; Mukherjee, J.J.; Mazumdar, A.; Ray, S.; Dasgupta, S.; Bhattacharjee, K. Assessing prevalence and predictors of depression in Type 2 Diabetes Mellitus (DM) patients—The DEPDIAB study. Diabetes Res. Clin. Pract. 2021, 178, 108980. [Google Scholar] [CrossRef] [PubMed]
- Grenon, S.M.; Hiramoto, J.; Smolderen, K.G.; Vittinghoff, E.; Whooley, M.A.; Cohen, B.E. Association between depression and periph-eral artery disease: Insights from the heart and soul study. J. Am. Heart Assoc. 2012, 1, e002667. [Google Scholar] [CrossRef] [PubMed]
- Seldenrijk, A.; Vogelzangs, N.; van Hout, H.P.; van Marwijk, H.W.; Diamant, M.; Penninx, B.W. Depressive and anxiety disorders and risk of subclinical atherosclerosis Findings from the Netherlands Study of Depression and Anxiety (NESDA). J. Psychosom. Res. 2010, 69, 203–210. [Google Scholar] [CrossRef]
- Wattanakit, K.; E Williams, J.; Schreiner, P.J.; Hirsch, A.T.; Folsom, A.R. Association of anger proneness, depression and low social support with peripheral arterial disease: The Atherosclerosis Risk in Communities Study. Vasc. Med. 2005, 10, 199–206. [Google Scholar] [CrossRef]
- McDermott, M.M.; Guralnik, J.M.; Tian, L.; Kibbe, M.R.; Ferrucci, L.; Zhao, L.; Liu, K.; Liao, Y.; Gao, Y.; Criqui, M.H. Incidence and Prognostic Significance of Depressive Symptoms in Peripheral Artery Disease. J. Am. Heart Assoc. 2016, 5, e002959. [Google Scholar] [CrossRef]
- Wada, T.; Kasahara, Y.; Ishimoto, Y.; Fukutomi, E.; Kimura, Y.; Imai, H.; Chen, W.-L.; Sakamoto, R.; Ishine, M.; Fujisawa, M.; et al. Fifteen-Item Geriatric Depression Scale Predicts 8-Year Mortality in Older Japanese. J. Am. Geriatr. Soc. 2011, 59, 2159–2160. [Google Scholar] [CrossRef]
- Miller, A.H.; Raison, C.L. The role of inflammation in depression: From evolutionary imperative to modern treatment target. Nat. Rev. Immunol. 2015, 16, 22–34. [Google Scholar] [CrossRef]
- Bhattacharyya, M.R.; Molloy, G.J.; Steptoe, A. Depression is associated with flatter cortisol rhythms in patients with coronary ar-tery disease. J. Psychosom. Res. 2008, 65, 107–113. [Google Scholar] [CrossRef]
- Otte, C.; Neylan, T.C.; Pipkin, S.S.; Browner, W.S.; Whooley, M.A. Depressive symptoms and 24-hour urinary norepinephrine excre-tion levels in patients with coronary disease: Findings from the Heart and Soul Study. Am. J. Psychiatry 2005, 162, 2139–2145. [Google Scholar] [CrossRef][Green Version]
- Ramirez, J.L.; Drudi, L.M.; Grenon, S.M. Review of biologic and behavioral risk factors linking depression and peripheral artery disease. Vasc. Med. 2018, 23, 478–488. [Google Scholar] [CrossRef]
- Lee, I.T.; Wang, J.S.; Lee, W.J.; Lin, S.Y.; Fu, C.P.; Liang, K.W.; Sheu, W.H.H. The synergistic effect of vascular cell adhesion molecule-1 and coro-nary artery disease on brain-derived neurotrophic factor. Clin. Chim. Acta. 2017, 466, 194–200. [Google Scholar] [CrossRef]
- Cavaleri, D.; Moretti, F.; Bartoccetti, A.; Mauro, S.; Crocamo, C.; Carrà, G.; Bartoli, F. The role of BDNF in major depressive disorder, related clinical features, and antidepressant treatment: Insight from meta-analyses. Neurosci. Biobehav. Rev. 2023, 149, 105159. [Google Scholar] [CrossRef]
- Lee, I.-T.; Li, Y.-H.; Sheu, W.H.-H. Brain-Derived Neurotrophic Factor during Oral Glucose Tolerance Test Predicts Cardiovascular Outcomes. Int. J. Mol. Sci. 2020, 21, 5008. [Google Scholar] [CrossRef]
- Hsu, C.-Y.; Sheu, W.H.-H.; Lee, I.-T. Brain-derived neurotrophic factor associated with kidney function. Diabetol. Metab. Syndr. 2023, 15, 1–10. [Google Scholar] [CrossRef]
- Hsu, C.Y.; Sheu, W.H.; Lee, I.T. Brain-Derived Neurotrophic Factor Reduces Long-Term Mortality in Patients with Coronary Ar-tery Disease and Chronic Kidney Disease. Front Cardiovasc. Med. 2022, 9, 881441. [Google Scholar] [CrossRef]
- Novak, M.; Mucsi, I.; Rhee, C.M.; Streja, E.; Lu, J.L.; Kalantar-Zadeh, K.; Molnar, M.Z.; Kovesdy, C.P. Increased Risk of Incident Chronic Kidney Disease, Cardiovascular Disease, and Mortality in Patients with Diabetes with Comorbid Depression. Diabetes Care 2016, 39, 1940–1947. [Google Scholar] [CrossRef]
- Maimaitituerxun, R.; Chen, W.; Xiang, J.; Kaminga, A.C.; Wu, X.Y.; Chen, L.; Yang, J.; Liu, A.; Dai, W. Prevalence of comorbid depression and associated factors among hospitalized patients with type 2 diabetes mellitus in Hunan, China. BMC Psychiatry 2023, 23, 1–11. [Google Scholar] [CrossRef]
- Li, H.-Y.; Wu, Y.-L.; Tu, S.T.; Hwu, C.-M.; Liu, J.-S.; Chuang, L.-M. Trends of mortality in diabetic patients in Taiwan: A nationwide survey in 2005–2014. J. Formos. Med. Assoc. 2019, 118 (Suppl. S2), S83–S89. [Google Scholar] [CrossRef]
- Martin, H.; Bullich, S.; Martinat, M.; Chataigner, M.; Di Miceli, M.; Simon, V.; Clark, S.; Butler, J.; Schell, M.; Chopra, S.; et al. Insulin modulates emotional behavior through a serotonin-dependent mechanism. Mol. Psychiatry, 2022. (in press) [CrossRef]
- Sabbagh, F.; Muhamad, I.I.; Niazmand, R.; Dikshit, P.K.; Kim, B.S. Recent progress in polymeric non-invasive insulin delivery. Int. J. Biol. Macromol. 2022, 203, 222–243. [Google Scholar] [CrossRef]
- Cha, D.S.; Best, M.W.; Bowie, C.R.; Gallaugher, L.A.; Woldeyohannes, H.O.; Soczynska, J.K.; McIntyre, R.S. A randomized, double-blind, place-bo-controlled, crossover trial evaluating the effect of intranasal insulin on cognition and mood in individuals with treat-ment-resistant major depressive disorder. J. Affect Disord. 2017, 210, 57–65. [Google Scholar] [CrossRef] [PubMed]
- Lian, W.-C.; Livneh, H.; Huang, H.-J.; Lu, M.-C.; Guo, H.-R.; Tsai, T.-Y. Adding Pay-for-Performance Program to Routine Care Was Related to a Lower Risk of Depression Among Type 2 Diabetes Patients in Taiwan. Front. Public Health 2021, 9, 650452. [Google Scholar] [CrossRef] [PubMed]
- Chang, P.; Nead, K.T.; Olin, J.W.; Cooke, J.P.; Leeper, N.J. Clinical and socioeconomic factors associated with unrecognized peripheral artery disease. Vasc. Med. 2014, 19, 289–296. [Google Scholar] [CrossRef] [PubMed]



| GDS-5 = 0 (n = 1134) | GDS-5 ≥ 1 (n = 539) | p | |||
|---|---|---|---|---|---|
| Age (years) | 71 | ± 7 | 73 | ± 8 | <0.001 |
| Male, n (%) | 556 | (49.0%) | 268 | (49.7%) | 0.832 |
| Current smoker, n (%) | 56 | (4.9%) | 45 | (8.3%) | 0.009 |
| CVD, n (%) | 235 | (20.7%) | 150 | (27.8%) | 0.002 |
| BMI (kg/m2) | 25.4 | ± 3.8 | 25.3 | ± 4.0 | 0.664 |
| Hypertension, n (%) | 948 | (83.6%) | 465 | (86.3%) | 0.181 |
| Systolic BP (mmHg) | 138 | ± 20 | 139 | ± 20 | 0.152 |
| Diastolic BP (mmHg) | 75 | ± 10 | 76 | ± 11 | 0.343 |
| Use of antihypertensive agents, n (%) | 678 | (59.8%) | 342 | (63.5%) | 0.167 |
| Fasting glucose (mmol/L) | 7.7 | ± 2.5 | 7.8 | ± 2.6 | 0.635 |
| HbA1c (%) | 7.3 | ± 1.2 | 7.4 | ± 1.4 | 0.382 |
| HbA1c (mmol/mol) | 56.6 | ± 13.5 | 57.3 | ± 15.5 | |
| Total cholesterol (mmol/L) | 4.0 | ± 0.8 | 4.0 | ± 0.8 | 0.618 |
| HDL cholesterol (mmol/L) | 1.3 | ± 0.4 | 1.3 | ± 0.4 | 0.426 |
| Triglycerides (mmol/L) | 1.4 | ± 1.0 | 1.5 | ± 1.0 | 0.154 |
| ALT (U/L) | 24 | ± 17 | 25 | ± 19 | 0.129 |
| Diabetic kidney disease, n (%) | 604 | (53.3%) | 287 | (53.2%) | 0.999 |
| eGFR (mL/min/1.73 m2) | 67 | ± 15 | 66 | ± 15 | 0.246 |
| UACR (mg/g) | 184 | ± 554 | 247 | ± 795 | 0.062 |
| ABI | 1.09 | ± 0.12 | 1.07 | ± 0.13 | 0.007 |
| Use of antiplatelet drugs, n (%) | 363 | (32.0%) | 193 | (35.8%) | 0.138 |
| Use of statins, n (%) | 856 | (75.5%) | 382 | (70.9%) | 0.051 |
| Use of antidiabetic drugs | |||||
| Insulin or insulin secretagogues, n (%) | 656 | (57.8%) | 328 | (60.9%) | 0.265 |
| Metformin, n (%) | 400 | (35.3%) | 191 | (35.4%) | 0.992 |
| Thiazolidinediones, n (%) | 292 | (25.7%) | 120 | (22.3%) | 0.137 |
| α-Glucosidase inhibitors, n (%) | 131 | (11.6%) | 64 | (11.9%) | 0.912 |
| DPP4 inhibitors, n (%) | 733 | (64.6%) | 324 | (60.1%) | 0.082 |
| SGLT2 inhibitors, n (%) | 90 | (7.9%) | 49 | (9.1%) | 0.481 |
| Mortality, n (%) | 96 | (8.5%) | 72 | (13.4%) | 0.002 |
| Group | N | ABI > 0.90 GDS-5 = 0 (n = 1069) | ABI > 0.90 GDS-5 ≥ 1 (n = 491) | ABI ≤ 0.90 GDS-5 = 0 (n = 65) | ABI ≤ 0.90 GDS-5 ≥ 1 (n = 48) | p | |||||
|---|---|---|---|---|---|---|---|---|---|---|---|
| Age (years) | <70 | 797 | 534 | (50.0%) | 224 | (45.6%) | 22 | (33.8%) | 17 | (35.4%) | 0.012 |
| ≥70 | 876 | 535 | (50.0%) | 267 | (54.4%) | 43 | (66.2%) | 31 | (64.6%) | ||
| Sex | Female | 849 | 540 | (50.5%) | 251 | (51.1%) | 38 | (58.5%) | 20 | (41.7%) | 0.364 |
| Male | 824 | 529 | (49.5%) | 240 | (48.9%) | 27 | (41.5%) | 28 | (58.3%) | ||
| Current smoker | No | 1572 | 1020 | (95.4%) | 454 | (92.5%) | 58 | (89.2%) | 40 | (83.3%) | <0.001 |
| Yes | 101 | 49 | (4.6%) | 37 | (7.5%) | 7 | (10.8%) | 8 | (16.7%) | ||
| CVD | No | 1288 | 853 | (79.8%) | 368 | (74.9%) | 46 | (70.8%) | 21 | (43.8%) | <0.001 |
| Yes | 385 | 216 | (20.2%) | 123 | (25.1%) | 19 | (29.2%) | 27 | (56.3%) | ||
| BMI (kg/m2) | <24 | 662 | 417 | (39.0%) | 201 | (40.9%) | 26 | (40.0%) | 18 | (37.5%) | 0.893 |
| ≥24 | 1011 | 652 | (61.0%) | 290 | (59.1%) | 39 | (60.0%) | 30 | (62.5%) | ||
| Hypertension | No | 243 | 170 | (15.9%) | 67 | (13.6%) | 2 | (3.1%) | 4 | (8.3%) | 0.016 |
| Yes | 1430 | 899 | (84.1%) | 424 | (86.4%) | 63 | (96.9%) | 44 | (91.7%) | ||
| Systolic BP (mmHg) | <130 | 596 | 387 | (36.2%) | 181 | (36.9%) | 17 | (26.2%) | 11 | (22.9%) | 0.093 |
| ≥130 | 1077 | 682 | (63.8%) | 310 | (63.1%) | 48 | (73.8%) | 37 | (77.1%) | ||
| Diastolic BP (mmHg) | <80 | 1167 | 747 | (69.9%) | 347 | (70.7%) | 44 | (67.7%) | 29 | (60.4%) | 0.509 |
| ≥80 | 506 | 322 | (30.1%) | 144 | (29.3%) | 21 | (32.3%) | 19 | (39.6%) | ||
| Fasting glucose (mmol/L) | <7.2 | 802 | 506 | (47.3%) | 240 | (48.9%) | 36 | (55.4%) | 20 | (41.7%) | 0.470 |
| ≥7.2 | 871 | 563 | (52.7%) | 251 | (51.1%) | 29 | (44.6%) | 28 | (58.3%) | ||
| HbA1c | <7% | 739 | 476 | (44.5%) | 218 | (44.4%) | 24 | (36.9%) | 21 | (43.8%) | 0.693 |
| >7% | 934 | 593 | (55.5%) | 273 | (55.6%) | 41 | (63.1%) | 27 | (56.3%) | ||
| Total cholesterol (mmol/L) | <4.1 | 1029 | 661 | (61.8%) | 297 | (60.5%) | 37 | (56.9%) | 34 | (70.8%) | 0.457 |
| ≥4.1 | 644 | 408 | (38.2%) | 194 | (39.5%) | 28 | (43.1%) | 14 | (29.2%) | ||
| Low HDL cholesterol | No | 1086 | 696 | (65.1%) | 327 | (66.6%) | 35 | (53.8%) | 28 | (58.3%) | 0.169 |
| Yes | 587 | 373 | (34.9%) | 164 | (33.4%) | 30 | (46.2%) | 20 | (41.7%) | ||
| Triglycerides (mmol/L) | <1.7 | 1231 | 807 | (75.5%) | 349 | (71.1%) | 41 | (63.1%) | 34 | (70.8%) | 0.059 |
| ≥1.7 | 442 | 262 | (24.5%) | 142 | (28.9%) | 24 | (36.9%) | 14 | (29.2%) | ||
| Diabetic kidney disease | No | 782 | 514 | (48.1%) | 239 | (48.7%) | 16 | (24.6%) | 13 | (27.1%) | <0.001 |
| Yes | 891 | 555 | (51.9%) | 252 | (51.3%) | 49 | (75.4%) | 35 | (72.9%) | ||
| eGFR (mL/min/1.73 m2) | ≥60 | 1130 | 739 | (69.1%) | 336 | (68.4%) | 32 | (49.2%) | 23 | (47.9%) | <0.001 |
| <60 | 543 | 330 | (30.9%) | 155 | (31.6%) | 33 | (50.8%) | 25 | (52.1%) | ||
| UACR (mg/g) | <30 | 980 | 648 | (60.6%) | 292 | (59.5%) | 24 | (36.9%) | 16 | (33.3%) | <0.001 |
| ≥30 | 693 | 421 | (39.4%) | 199 | (40.5%) | 41 | (63.1%) | 32 | (66.7%) | ||
| ALT (U/L) | <20 | 806 | 520 | (48.6%) | 222 | (45.2%) | 33 | (50.8%) | 31 | (64.6%) | 0.067 |
| ≥20 | 867 | 549 | (51.4%) | 269 | (54.8%) | 32 | (49.2%) | 17 | (35.4%) | ||
| Use of antiplatelet | No | 1117 | 744 | (69.6%) | 328 | (66.8%) | 27 | (41.5%) | 18 | (37.5%) | <0.001 |
| Yes | 556 | 325 | (30.4%) | 163 | (33.2%) | 38 | (58.5%) | 30 | (62.5%) | ||
| Use of statins | No | 435 | 267 | (25.0%) | 146 | (29.7%) | 11 | (16.9%) | 11 | (22.9%) | 0.067 |
| Yes | 1238 | 802 | (75.0%) | 345 | (70.3%) | 54 | (83.1%) | 37 | (77.1%) | ||
| Use of antidiabetic drugs | |||||||||||
| Insulin or insulin secretagogues | No | 689 | 454 | (42.5%) | 196 | (39.9%) | 24 | (36.9%) | 15 | (31.3%) | 0.321 |
| Yes | 984 | 615 | (57.5%) | 295 | (60.1%) | 41 | (63.1%) | 33 | (68.8%) | ||
| Metformin | No | 1082 | 691 | (64.6%) | 312 | (63.5%) | 43 | (66.2%) | 36 | (75.0%) | 0.461 |
| Yes | 591 | 378 | (35.4%) | 179 | (36.5%) | 22 | (33.8%) | 12 | (25.0%) | ||
| Thiazolidinediones | No | 1261 | 794 | (74.3%) | 380 | (77.4%) | 48 | (73.8%) | 39 | (81.3%) | 0.432 |
| Yes | 412 | 275 | (25.7%) | 111 | (22.6%) | 17 | (26.2%) | 9 | (18.8%) | ||
| α-Glucosidase inhibitors | No | 1478 | 944 | (88.3%) | 434 | (88.4%) | 59 | (90.8%) | 41 | (85.4%) | 0.856 |
| Yes | 195 | 125 | (11.7%) | 57 | (11.6%) | 6 | (9.2%) | 7 | (14.6%) | ||
| DPP4 inhibitors | No | 616 | 380 | (35.5%) | 199 | (40.5%) | 21 | (32.3%) | 16 | (33.3%) | 0.215 |
| Yes | 1057 | 689 | (64.5%) | 292 | (59.5%) | 44 | (67.7%) | 32 | (66.7%) | ||
| SGLT2 inhibitors | No | 1534 | 981 | (91.8%) | 446 | (90.8%) | 63 | (96.9%) | 44 | (91.7%) | 0.421 |
| Yes | 139 | 88 | (8.2%) | 45 | (9.2%) | 2 | (3.1%) | 4 | (8.3%) | ||
| Crude | Model 1 | Model 2 | ||||||||||
|---|---|---|---|---|---|---|---|---|---|---|---|---|
| HR | 95% | CI | p | HR | 95% | CI | p | HR | 95% | CI | p | |
| GDS-5 = 0 and ABI > 0.90 | 1.000 | 1.000 | 1.000 | |||||||||
| GDS-5 ≥ 1 and ABI > 0.90 | 1.628 | (1.171, | 2.264) | 0.004 | 1.558 | (1.120, | 2.167) | 0.008 | 1.576 | (1.131, | 2.196) | 0.007 |
| GDS-5 = 0 and ABI ≤ 0.90 | 2.604 | (1.422, | 4.770) | 0.002 | 2.238 | (1.220, | 4.105) | 0.009 | 1.958 | (1.060, | 3.618) | 0.032 |
| GDS-5 ≥ 1 and ABI ≤ 0.90 | 3.294 | (1.756, | 6.177) | <0.001 | 2.758 | (1.469, | 5.178) | 0.002 | 2.209 | (1.158, | 4.217) | 0.016 |
| Age ≥ 70 years | 3.245 | (2.257, | 4.666) | <0.001 | 2.519 | (1.733, | 3.662) | <0.001 | ||||
| Male | 1.776 | (1.302, | 2.424) | <0.001 | 1.488 | (1.074, | 2.062) | 0.017 | ||||
| Current smoker | 0.942 | (0.502, | 1.768) | 0.853 | ||||||||
| Cardiovascular disease | 1.442 | (0.991, | 2.096) | 0.056 | ||||||||
| Hypertension | 1.501 | (0.840, | 2.680) | 0.170 | ||||||||
| Diabetic kidney disease | 2.469 | (1.656, | 3.680) | <0.001 | ||||||||
| Use of antiplatelet drugs | 0.826 | (0.575, | 1.185) | 0.299 | ||||||||
Disclaimer/Publisher’s Note: The statements, opinions and data contained in all publications are solely those of the individual author(s) and contributor(s) and not of MDPI and/or the editor(s). MDPI and/or the editor(s) disclaim responsibility for any injury to people or property resulting from any ideas, methods, instructions or products referred to in the content. |
© 2023 by the authors. Licensee MDPI, Basel, Switzerland. This article is an open access article distributed under the terms and conditions of the Creative Commons Attribution (CC BY) license (https://creativecommons.org/licenses/by/4.0/).
Share and Cite
Li, Y.-H.; Cheng, Y.-C.; Liu, H.-C.; Wu, J.; Lee, I.-T. Depressive Symptoms Associated with Peripheral Artery Disease and Predicting Mortality in Type 2 Diabetes. Biomedicines 2024, 12, 29. https://doi.org/10.3390/biomedicines12010029
Li Y-H, Cheng Y-C, Liu H-C, Wu J, Lee I-T. Depressive Symptoms Associated with Peripheral Artery Disease and Predicting Mortality in Type 2 Diabetes. Biomedicines. 2024; 12(1):29. https://doi.org/10.3390/biomedicines12010029
Chicago/Turabian StyleLi, Yu-Hsuan, Yu-Cheng Cheng, Hsiu-Chen Liu, Junyi Wu, and I-Te Lee. 2024. "Depressive Symptoms Associated with Peripheral Artery Disease and Predicting Mortality in Type 2 Diabetes" Biomedicines 12, no. 1: 29. https://doi.org/10.3390/biomedicines12010029
APA StyleLi, Y.-H., Cheng, Y.-C., Liu, H.-C., Wu, J., & Lee, I.-T. (2024). Depressive Symptoms Associated with Peripheral Artery Disease and Predicting Mortality in Type 2 Diabetes. Biomedicines, 12(1), 29. https://doi.org/10.3390/biomedicines12010029

