Electrochemically Activated Screen-Printed Graphene Electrochemical Sensor for Daidzein Determination in Edible Peanut Oils
Abstract
1. Introduction
2. Materials and Methods
2.1. Reagents and Solutions
2.2. Apparatus and Software
2.3. Procedure
2.4. Edible Oil and Peanut Paste Samples
3. Results and Discussion
3.1. Electrochemical Measurements of SPGEs
3.1.1. Electrochemical Behavior of Dz
3.1.2. Effect of the Supporting Electrolyte and pH on Electrochemical Behavior
3.1.3. Effect of the Scan Rate in Cyclic Voltammetry
3.2. Generation of Activated Screen-Printed Graphene Electrodes (aSPGEs)
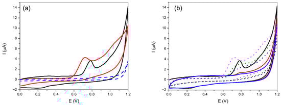
3.2.1. Activation of SPGEs by Different Methods
3.2.2. Electrochemical Characterization of the Electrode Surface of aSPGE
3.3. Selection of Electrochemical Technique
3.4. Optimization of the Linear Sweep Stripping Voltammetry Parameters
3.5. Analytical Parameters
3.6. Application of the Electrochemical Method to the Analysis of Edible Peanut Oil Samples
3.7. Comparison with Other Electrochemical Methods
3.8. Greenness Assessment of the Proposed Method
4. Conclusions
Supplementary Materials
Author Contributions
Funding
Data Availability Statement
Acknowledgments
Conflicts of Interest
References
- Singh, S.; Grewal, S.; Sharma, N.; Behl, T.; Gupta, S.; Anwer, K.; Vargas-De-La-Cruz, C.; Mohan, S.; Bungau, S.G.; Bumbu, A. Unveiling the Pharmacological and Nanotechnological Facets of Daidzein: Present State-of-the-Art and Future Perspectives. Molecules 2023, 28, 1765. [Google Scholar] [CrossRef]
- Krishna, S.S.; Kuriakose, B.B.; Lakshmi, P.K. Effects of phytoestrogens on reproductive organ health. Arch. Pharmacal Res. 2022, 45, 849–864. [Google Scholar] [CrossRef]
- Yamagata, K.; Yamori, Y. Potential Effects of Soy Isoflavones on the Prevention of Metabolic Syndrome. Molecules 2021, 26, 5863. [Google Scholar] [CrossRef]
- Ahmad, S.; Ahsan, F.; Ansari, J.A.; Mahmood, T.; Shamim, A.; Bano, S.; Tiwari, R.; Ansari, V.A.; Shafiurrahman; Kesari, M. A review on daidzein as food supplement: Exploring its phytopharmacological and preclinical status. Efood 2024, 5, e70008. [Google Scholar] [CrossRef]
- Morton, M.; Arisaka, O.; Miyake, A.; Evans, B. Analysis of phyto-oestrogens by gas chromatography-mass spectrometry. Environ. Toxicol. Pharmacol. 1999, 7, 221–225. [Google Scholar] [CrossRef]
- Kuo, H.-W.; Ding, W.-H. Trace determination of bisphenol A and phytoestrogens in infant formula powders by gas chromatography–mass spectrometry. J. Chromatogr. A 2004, 1027, 67–74. [Google Scholar] [CrossRef] [PubMed]
- Benedetti, B.; Di Carro, M.; Mirasole, C.; Magi, E. Fast derivatization procedure for the analysis of phytoestrogens in soy milk by gas chromatography tandem mass spectrometry. Microchem. J. 2018, 137, 62–70. [Google Scholar] [CrossRef]
- Mitani, K.; Narimatsu, S.; Kataoka, H. Determination of daidzein and genistein in soybean foods by automated on-line in-tube solid-phase microextraction coupled to high-performance liquid chromatography. J. Chromatogr. A 2003, 986, 169–177. [Google Scholar] [CrossRef]
- Wang, Y.; Yao, Y.; An, R.; You, L.; Wang, X. Simultaneous determination of puerarin, daidzein, baicalin, wogonoside and li-quiritin of GegenQinlian decoction in rat plasma by ultra-performance liquid chromatography–mass spectrometry. J. Chromatogr. B 2009, 877, 1820–1826. [Google Scholar] [CrossRef]
- Hosoda, K.; Furuta, T.; Ishii, K. Simultaneous determination of glucuronic acid and sulfuric acid conjugated metabolites of daidzein and genistein in human plasma by high-performance liquid chromatography. J. Chromatogr. B 2010, 878, 628–636. [Google Scholar] [CrossRef] [PubMed]
- Redruello, B.; Guadamuro, L.; Cuesta, I.; Álvarez-Buylla, J.R.; Mayo, B.; Delgado, S. A novel UHPLC method for the rapid and simultaneous determination of daidzein, genistein and equol in human urine. J. Chromatogr. B 2015, 1005, 1–8. [Google Scholar] [CrossRef]
- Jornet-Martínez, N.; Moliner-Martínez, Y.; Molins-Legua, C.; Campíns-Falcó, P. Trends for the Development of In Situ Analy-sis Devices. Encycl. Anal. Chem. 2017, 1–23. [Google Scholar] [CrossRef]
- Gu, Y.; Li, Y.; Ren, D.; Sun, L.; Zhuang, Y.; Yi, L.; Wang, S. Recent advances in nanomaterial-assisted electrochemical sensors for food safety analysis. Food Front. 2022, 3, 453–479. [Google Scholar] [CrossRef]
- Li, Y.; Chen, X.; Lin, Y.; Yang, Y.; Zhang, L.; Zhao, P.; Wang, C.; Fei, J.; Xie, Y. Detection of catechins in tea beverages using a novel electrochemical sensor based on cyclodextrin nanosponges composite. Efood 2023, 4, e64. [Google Scholar] [CrossRef]
- Ibanez, J.G.; Fitch, A.; Frontana-Uribe, B.A.; Vasquez-Medrano, R. Green Electrochemistry. In Encyclopedia of Applied Electrochemistry; Kreysa, G., Ota, K.-i., Savinell, R.F., Eds.; Springer: New York, NY, USA, 2014; pp. 964–971. [Google Scholar]
- Wang, J. Real-Time Electrochemical Monitoring: Toward Green Analytical Chemistry. Accounts Chem. Res. 2002, 35, 811–816. [Google Scholar] [CrossRef]
- Berkel, C.; Özbek, O. Green Electrochemical Sensors, Their Applications and Greenness Metrics Used: A Review. Electroanalysis 2024, 36, e202400286. [Google Scholar] [CrossRef]
- Fernandes, I.P.G.; Oliveira, S.C.B.; Ghalkhani, M.; Shahrokhian, S.; Oliveira-Brett, A.M. Electrochemical Oxidation Mechanisms of the Antioxidants Daidzein and 7-Hydroxy-4-chromone. Electroanalysis 2012, 24, 618–626. [Google Scholar] [CrossRef]
- Cai, Z.; Gan, J.N.; Lu, D.F.; Zhang, X. Electrochemical Behaviours of Daidzein at Multi-Wall Carbon Nanotubes Modified Glassy Carbon Electrode. Asian J. Chem. 2012, 24, 4986–4990. [Google Scholar]
- Li, Y.; Li, Y.; Gao, J.; Wang, L.; Zou, L.; Ye, B. A Novel Strategy of Electrochemically Treated ZrOCl2 Doped Carbon Paste Electrode for Sensitive Determination of Daidzein. Electroanalysis 2015, 27, 1719–1725. [Google Scholar] [CrossRef]
- Wang, L.; Li, Y.; Wang, Q.; Zou, L.; Ye, B. The construction of well-aligned MWCNTs-PANI Langmuir–Blodgett film modified glassy carbon electrode and its analytical application. Sens. Actuators B Chem. 2016, 228, 214–220. [Google Scholar] [CrossRef]
- Fu, Y.; Wang, L.; Duan, Y.; Zou, L.; Ye, B. Facile synthesized SnO2 decorated functionalized graphene modified electrode for sensitive determination of daidzein. Talanta 2017, 168, 1–9. [Google Scholar] [CrossRef] [PubMed]
- Liang, Y.; Qu, C.; Yang, R.; Qu, L.; Li, J. Molecularly imprinted electrochemical sensor for daidzein recognition and detection based on poly(sodium 4-styrenesulfonate) functionalized graphene. Sens. Actuators B Chem. 2017, 251, 542–550. [Google Scholar] [CrossRef]
- Olejnik, P.; Gniadek, M.; Echegoyen, L.; Plonska-Brzezinska, M.E. A Nanocomposite Containing Carbon Nano-onions and Polyaniline Nanotubes as a Novel Electrode Material for Electrochemical Sensing of Daidzein. Electroanalysis 2021, 33, 1107–1114. [Google Scholar] [CrossRef]
- Zhang, Z.; Zuo, Y.; Fan, Y.; Wang, X.; Wang, C.; Yang, S.; Zhao, X.; Wang, M.; Xu, R. In situ fabrication of Ag nanoparticles modified vertically-grown ZnO nanorods on carbon fiber paper electrode for simultaneous detection of luteolin, daidzein and baicalein. Colloids Surfaces A Physicochem. Eng. Asp. 2024, 694, 134118. [Google Scholar] [CrossRef]
- Liu, J.; Ai, Q.; Zuo, Y.; Zhao, X.; Wu, Q.; Wang, M.; Chen, J. Simultaneous Electrochemical Detection of Puerarin and Daidzein by Ag Nanoparticles and CuO Nanowires Coated ZnO Nanorod Arrays Self-Supporting Electrode. ChemElectroChem 2025, 12, e202400592. [Google Scholar] [CrossRef]
- Couto, R.A.S.; Lima, J.L.F.C.; Quinaz, M.B. Recent developments, characteristics and potential applications of screen-printed electrodes in pharmaceutical and biological analysis. Talanta 2016, 146, 801–814. [Google Scholar] [CrossRef]
- Li, M.; Li, D.-W.; Xiu, G.; Long, Y.-T. Applications of screen-printed electrodes in current environmental analysis. Curr. Opin. Electrochem. 2017, 3, 137–143. [Google Scholar] [CrossRef]
- Paimard, G.; Ghasali, E.; Baeza, M. Screen-printed electrodes: Fabrication, modification, and biosensing applications. Chemosensors 2023, 11, 113. [Google Scholar] [CrossRef]
- Azeredo, N.F.B.; Santos, M.S.F.; Sempionatto, J.R.; Wang, J.; Angnes, L. Screen-Printed Technologies Combined with Flow Analysis Techniques: Moving from Benchtop to Everywhere. Anal. Chem. 2022, 94, 250–268. [Google Scholar] [CrossRef]
- Sher, M.; Faheem, A.; Asghar, W.; Cinti, S. Nano-engineered screen-printed electrodes: A dynamic tool for detection of virus-es. TrAC Trends Anal. Chem. 2021, 143, 116374. [Google Scholar] [CrossRef] [PubMed]
- Negahdary, M.; Ameku, W.A.; Santos, B.G.; Lima, I.d.S.; de Oliveira, T.G.; França, M.C.; Angnes, L. Recent electrochemical sensors and biosensors for toxic agents based on screen-printed electrodes equipped with nanomaterials. Microchem. J. 2023, 185, 108281. [Google Scholar] [CrossRef]
- Rubino, A.; Queirós, R. Electrochemical determination of heavy metal ions applying screen-printed electrodes based sensors. A review on water and environmental samples analysis. Talanta Open 2023, 7, 100203. [Google Scholar] [CrossRef]
- Randviir, E.P.; Brownson, D.A.C.; Metters, J.P.; Kadara, R.O.; Banks, C.E. The fabrication, characterisation and electrochemical investigation of screen-printed graphene electrodes. Phys. Chem. Chem. Phys. 2014, 16, 4598–4611. [Google Scholar] [CrossRef] [PubMed]
- Pierini, G.D.; Foster, C.W.; Rowley-Neale, S.J.; Fernández, H.; Banks, C.E. A facile electrochemical intercalation and micro-wave assisted exfoliation methodology applied to screen-printed electrochemical-based sensing platforms to impart im-proved electroanalytical outputs. Analyst 2018, 143, 3360–3365. [Google Scholar] [CrossRef] [PubMed]
- Pierini, G.D.; Maccio, S.A.; Robledo, S.N.; Ferrari, A.G.-M.; Banks, C.E.; Fernández, H.; Zon, M.A. Screen-printed electrochemical-based sensor for taxifolin determination in edible peanut oils. Microchem. J. 2020, 159, 105442. [Google Scholar] [CrossRef]
- González-Sánchez, M.; Gómez-Monedero, B.; Agrisuelas, J.; Iniesta, J.; Valero, E. Electrochemical performance of activated screen printed carbon electrodes for hydrogen peroxide and phenol derivatives sensing. J. Electroanal. Chem. 2019, 839, 75–82. [Google Scholar] [CrossRef]
- Robledo, S.N.; Zachetti, V.G.L.; Zon, M.A.; Fernández, H. Quantitative determination of tocopherols in edible vegetable oils using electrochemical ultra-microsensors combined with chemometric tools. Talanta 2013, 116, 964–971. [Google Scholar] [CrossRef]
- Robledo, S.N.; Tesio, A.Y.; Ceballos, C.D.; Zon, M.A.; Fernández, H. Electrochemical ultra-micro sensors for the determination of synthetic and natural antioxidants in edible vegetable oils. Sens. Actuators B Chem. 2014, 192, 467–473. [Google Scholar] [CrossRef]
- Bard, A.J.; Faulkner, L.R. Electrochemical Methods: Fundamentals and Applications; Wiley: Hoboken, NJ, USA, 2000. [Google Scholar]
- González-Sánchez, M.I.; Gómez-Monedero, B.; Agrisuelas, J.; Iniesta, J.; Valero, E. Highly activated screen-printed carbon electrodes by electrochemical treatment with hydrogen peroxide. Electrochem. Commun. 2018, 91, 36–40. [Google Scholar] [CrossRef]
- Wang, S.; Chang, K.; Yuan, C. Enhancement of electrochemical properties of screen-printed carbon electrodes by oxygen plasma treatment. Electrochim. Acta 2009, 54, 4937–4943. [Google Scholar] [CrossRef]
- Cumba, L.R.; Foster, C.W.; Brownson, D.A.C.; Smith, J.P.; Iniesta, J.; Thakur, B.; Carmo, D.R.D.; Banks, C.E. Can the mechanical activation (polishing) of screen-printed electrodes enhance their electroanalytical response? Analyst 2016, 141, 2791–2799. [Google Scholar] [CrossRef]
- Cui, G.; Yoo, J.H.; Lee, J.S.; Yoo, J.; Uhm, J.H.; Cha, G.S.; Nam, H. Effect of pre-treatment on the surface and electrochemical properties of screen-printed carbon paste electrodes. Analyst 2001, 126, 1399–1403. [Google Scholar] [CrossRef]
- Huang, Y.M.; Settu, K.; Tsai, J.Z. Chemically-Treated Screen-Printed Graphene Electrode for Electrochemical Sensing. In Proceedings of the 2020 IEEE International Conference on Consumer Electronics—Taiwan (ICCE-Taiwan), Taoyuan, Taiwan, 28–30 September 2020; pp. 1–2. [Google Scholar]
- Chen, P.; McCreery, R.L. Control of Electron Transfer Kinetics at Glassy Carbon Electrodes by Specific Surface Modification. Anal. Chem. 1996, 68, 3958–3965. [Google Scholar] [CrossRef]
- Trachioti, M.G.; Lazanas, A.C.; Prodromidis, M.I. Shedding light on the calculation of electrode electroactive area and heterogeneous electron transfer rate constants at graphite screen-printed electrodes. Microchim. Acta 2023, 190, 251. [Google Scholar] [CrossRef] [PubMed]
- Miller, J.C.; Miller, J.N. Statistics for Analytical Chemistry; Ellis Horwood PTR Prentice Hall: Englewood Cliffs, NJ, USA, 1993. [Google Scholar]
- Pena-Pereira, F.; Wojnowski, W.; Tobiszewski, M. AGREE—Analytical GREEnness Metric Approach and Software. Anal. Chem. 2020, 92, 10076–10082. [Google Scholar] [CrossRef] [PubMed]
- Manousi, N.; Wojnowski, W.; Płotka-Wasylka, J.; Samanidou, V. Blue applicability grade index (BAGI) and software: A new tool for the evaluation of method practicality. Green Chem. 2023, 25, 7598–7604. [Google Scholar] [CrossRef]




| Sample | Added/µM | Recovery/µM | Recovery/% | Relative Error/% |
|---|---|---|---|---|
| Edible Peanut Oil | ||||
| M1 | 1.000 | 1.04 ± 0.02 | 104 | +4 |
| M1 | 0.500 | 0.49 ± 0.02 | 97.2 | −2.8 |
| M1 | 0.050 | 0.050 ± 0.001 | 102 | +2 |
| M2 | 1.000 | 0.98 ± 0.02 | 98.2 | −1.8 |
| M2 | 0.500 | 0.49 ± 0.02 | 98.6 | −1.4 |
| M2 | 0.050 | 0.050 ± 0.001 | 104 | +4 |
| Sensor | Sample | Linear Range/µM | Electrochemical Technique | LOD/µM | Reference |
|---|---|---|---|---|---|
| GCE | No sample reported | 0.1–1 | SWV | 0.08 | [18] |
| MWCNT/GCE | Daidzein tablets | 6–100 | LSV | 0.72 | [19] |
| ZrOCl2/CPE | Pueraria, pharmaceutical preparations, and human uric sample | 0.03–2 | LSV | 0.01 | [20] |
| MWCNTs-PANI LB/GCE | Daidzein tablets and pueraria lobata | 0.1–9 | LSV | 0.08 | [21] |
| SnO2-PDDA-GR/GCE | Traditional Chinese medicine and Daidzein tablets | 0.02–1 | LSV | 0.0067 | [22] |
| MIP/PSS-rGO/GCE | Human serum and pueraria | 0.001–0.020 | DPV | 0.0005 | [23] |
| PANInt/CNOs/GCE | No sample reported | 1–10 | LSV | 0.77 | [24] |
| AgNP/ZnONR@CFP | Japanese honeysuckle, soybean, and Chrysanthemum morifolium | 0.01–1 | DPV | 0.066 | [25] |
| AgNP-CuONW/ZnONR/CFP | Traditional Chinese medicine sample | 0.05–15 | DPV | 0.0178 | [26] |
| aSPGE | Edible peanut oil | 0.05–1 | LSSV | 0.012 | This work |
Disclaimer/Publisher’s Note: The statements, opinions and data contained in all publications are solely those of the individual author(s) and contributor(s) and not of MDPI and/or the editor(s). MDPI and/or the editor(s) disclaim responsibility for any injury to people or property resulting from any ideas, methods, instructions or products referred to in the content. |
© 2025 by the authors. Licensee MDPI, Basel, Switzerland. This article is an open access article distributed under the terms and conditions of the Creative Commons Attribution (CC BY) license (https://creativecommons.org/licenses/by/4.0/).
Share and Cite
Cárdenas, M.A.; Alaníz, R.D.; Crapnell, R.D.; Robledo, S.N.; Fernández, H.; Arévalo, F.J.; Granero, A.M.; Banks, C.E.; Pierini, G.D. Electrochemically Activated Screen-Printed Graphene Electrochemical Sensor for Daidzein Determination in Edible Peanut Oils. Chemosensors 2025, 13, 304. https://doi.org/10.3390/chemosensors13080304
Cárdenas MA, Alaníz RD, Crapnell RD, Robledo SN, Fernández H, Arévalo FJ, Granero AM, Banks CE, Pierini GD. Electrochemically Activated Screen-Printed Graphene Electrochemical Sensor for Daidzein Determination in Edible Peanut Oils. Chemosensors. 2025; 13(8):304. https://doi.org/10.3390/chemosensors13080304
Chicago/Turabian StyleCárdenas, Matias Alberto, Rubén Darío Alaníz, Robert D. Crapnell, Sebastian Noel Robledo, Héctor Fernández, Fernando Javier Arévalo, Adrian Marcelo Granero, Craig E. Banks, and Gastón Darío Pierini. 2025. "Electrochemically Activated Screen-Printed Graphene Electrochemical Sensor for Daidzein Determination in Edible Peanut Oils" Chemosensors 13, no. 8: 304. https://doi.org/10.3390/chemosensors13080304
APA StyleCárdenas, M. A., Alaníz, R. D., Crapnell, R. D., Robledo, S. N., Fernández, H., Arévalo, F. J., Granero, A. M., Banks, C. E., & Pierini, G. D. (2025). Electrochemically Activated Screen-Printed Graphene Electrochemical Sensor for Daidzein Determination in Edible Peanut Oils. Chemosensors, 13(8), 304. https://doi.org/10.3390/chemosensors13080304

